Benzoxazine Copolymers with Mono- and Difunctional Epoxy Active Diluents with Enhanced Tackiness and Reduced Viscosity
Abstract
:1. Introduction
2. Materials and Methods
2.1. Starting Materials
2.2. Synthesis of Benzoxazine Monomer Based on Bisphenol A, M-Toluidine and Paraphormaldehyde (BA-mt)
2.3. Composition Preparation
2.4. Measurements
3. Results and Discussion
3.1. Synthesis and Characteristics of BA-mt
3.2. DSC Measurements of the Curing Process and Polymers
3.3. Rheological Study
3.3.1. The Influence of Epoxy Diluents on the Processing Characteristics of the Resins
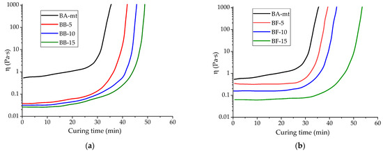
3.3.2. Structure Formation during Curing of Modified Compositions
3.4. Tensile Properties of Cured Compositions
4. Conclusions
Supplementary Materials
Author Contributions
Funding
Institutional Review Board Statement
Informed Consent Statement
Data Availability Statement
Conflicts of Interest
References
- Petrakova, V.; Kireev, V.; Onuchin, D.; Sarychev, I.; Shutov, V.; Kuzmich, A.; Bornosuz, N.; Gorlov, M.; Pavlov, N.; Shapagin, A.; et al. Benzoxazine Monomers and Polymers Based on 3,3′-Dichloro-4,4′-Diaminodiphenylmethane: Synthesis and Characterization. Polymers 2020, 13, 1421. [Google Scholar] [CrossRef]
- Bornosuz, N.V.; Gorbunova, I.Y.; Kireev, V.V.; Bilichenko, Y.V.; Chursova, L.V.; Svistunov, Y.S.; Onuchin, D.V.; Shutov, V.V.; Petrakova, V.V.; Kolenchenko, A.A.; et al. Synthesis and Application of Arylaminophosphazene as a Flame Retardant and Catalyst for the Polymerization of Benzoxazines. Polymers 2020, 13, 263. [Google Scholar] [CrossRef]
- Bulgakov, B.A.; Sulimov, A.V.; Babkin, A.V.; Afanasiev, D.V.; Solopchenko, A.V.; Afanaseva, E.S.; Kepmana, A.V.; Avdeeva, V.V. Flame-Retardant Carbon Fiber Reinforced Phthalonitrile Composite for High-Temperature Applications Obtained by Resin Transfer Molding. Mendeleev Commun. 2017, 27, 257–259. [Google Scholar] [CrossRef]
- Ning, X.; Ishida, H. Phenolic Materials via Ring-Opening Polymerization of Benzoxazines: Effect of Molecular Structure on Mechanical and Dynamic Mechanical Properties. J. Polym. Sci. Part B Polym. Phys. 1994, 32, 921–927. [Google Scholar] [CrossRef]
- Ishida, H.; Agag, T. Handbook of Benzoxazine Resins; Elsevier: Amsterdam, The Netherlands, 2011. [Google Scholar]
- Sonnier, R.; Otazaghine, B.; Dumazert, L.; Ménard, R.; Viretto, A.; Dumas, L.; Bonnaud, L.; Dubois, P.; Safronava, N.; Walters, R.; et al. Prediction of Thermosets Flammability Using a Model Based on Group Contributions. Polymer 2017, 127, 203–213. [Google Scholar] [CrossRef]
- Sirotin, I.S.; Sarychev, I.A.; Vorobyeva, V.V.; Kuzmich, A.A.; Bornosuz, N.V.; Onuchin, D.V.; Gorbunova, I.Y.; Kireev, V.V. Synthesis of Phosphazene-Containing, Bisphenol A-Based Benzoxazines and Properties of Corresponding Polybenzoxazines. Polymers 2020, 12, 1225. [Google Scholar] [CrossRef]
- Isayev, A.I.; Palsule, S. Encyclopedia of Polymer Blends, Volume 2: Processing; John Wiley & Sons: Hoboken, NJ, USA, 2011; ISBN 978-3-527-31930-5. [Google Scholar]
- Huang, M.T.; Ishida, H. Dynamic Mechanical Analysis of Reactive Diluent Modified Benzoxazine-Based Phenolic Resin. Polym. Polym. Compos. 1999, 7, 233–247. [Google Scholar]
- Lou, Y.; Zhao, Z.; Chen, Z.; Dai, Z.; Fu, F.; Zhang, Y.; Zhang, L.; Liu, X. Processability Improvement of a 4-Vinlyguiacol Derived Benzoxazine Using Reactive Diluents. Polymer 2019, 160, 316–324. [Google Scholar] [CrossRef]
- Jubsilp, C.; Takeichi, T.; Rimdusit, S. Effect of Novel Benzoxazine Reactive Diluent on Processability and Thermomechanical Characteristics of Bi-Functional Polybenzoxazine. J. Appl. Polym. Sci. 2007, 104, 2928–2938. [Google Scholar] [CrossRef]
- Ishida, H.; Allen, D.J. Mechanical Characterization of Copolymers Based on Benzoxazine and Epoxy. Polymer 1996, 37, 4487–4495. [Google Scholar] [CrossRef]
- Zhang, L.; Wang, M.; Wu, J. Study on an Amine-Containing Benzoxazine: Homo- and Copolymerization with Epoxy Resin. Express Polym. Lett. 2016, 10, 617–626. [Google Scholar] [CrossRef]
- Yue, J.; He, L.; Zhao, P.; Gu, Y. Engineering Benzoxazine/Epoxy/Imidazole Blends with Controllable Microphase Structures for Toughness Improvement. ACS Appl. Polym. Mater. 2020, 2, 3458–3464. [Google Scholar] [CrossRef]
- Barjasteh, E.; Gouni, S.; Sutanto, C.; Narongdej, P. Bisphenol-A Benzoxazine and Cycloaliphatic Epoxy Copolymer for Composite Processing by Resin Infusion. J. Compos. Mater. 2019, 53, 1777–1790. [Google Scholar] [CrossRef]
- Malkin, A.Y. Rheology Fundamentals; ChemTec Publishing: Scarborough, ON, Canada, 1994; ISBN 1-895198-09-7. [Google Scholar]
- Arinina, M.P.; Kostenko, V.A.; Gorbunova, I.Y.; Il’in, S.O.; Malkin, A.Y. Kinetics of Curing of Epoxy Oligomer by Diaminodiphenyl Sulfone: Rheology and Calorimetry. Polym. Sci. Ser. A 2018, 60, 683–690. [Google Scholar] [CrossRef]
- Palmese, G.; Gillham, J. Time–Temperature–Transformation (TTT) Cure Diagrams: Relationship between Tg and the Temperature and Time of Cure for a Polyamic Acid/Polyimide System. J. Appl. Polym. Sci. 1987, 34, 1925–1939. [Google Scholar] [CrossRef]
- Xue, X.; Xiao, T.; Liu, Y.; Ran, Q. Time–Temperature–Transformation (TTT) and TTT–Viscosity Diagrams of a Typical Benzoxazine Resin. J. Appl. Polym. Sci. 2021, 138, 49737. [Google Scholar] [CrossRef]
- Malkin, A.; Kulichikhin, S. Polymer Compositions Stabilizers/Curing SE-5; Springer: Berlin/Heidelberg, Germany, 1991. [Google Scholar]
- Shambilova, G.K.; Pavlyuchkova, E.A.; Govorov, V.A.; Gumennyi, I.V.; Taltenov, A.A.; Malkin, A.Y. Rheology of Polysulfone and Its Solutions. Polym. Sci. Ser. A 2019, 61, 208–214. [Google Scholar] [CrossRef]
- Ondarçuhu, T. Tack of a Polymer Melt: Adhesion Measurements and Fracture Profile Observations. J. Phys. II France 1997, 7, 1893–1916. [Google Scholar] [CrossRef]
- Léger, L.; Creton, C. Adhesion Mechanisms at Soft Polymer Interfaces. Philos. Trans. R. Soc. A Math. Phys. Eng. Sci. 2008, 366, 1425–1442. [Google Scholar] [CrossRef] [PubMed]
- Deformation Behavior of Thin, Compliant Layers under Tensile Loading Conditions—Shull—2004—Journal of Polymer Science Part B: Polymer Physics—Wiley Online Library. Available online: https://onlinelibrary.wiley.com/doi/10.1002/polb.20258 (accessed on 9 September 2021).
- Riddick, J.A.; Bunger, W.B.; Sakano, T.; Weissberger, A. Organic Solvents: Physical Properties and Methods of Purification, 4th ed.; Techniques of Chemistry; Wiley: New York, NY, USA, 1986; ISBN 978-0-471-08467-9. [Google Scholar]
- Ishida, H.; Sanders, D.P. Regioselectivity and Network Structure of Difunctional Alkyl-Substituted Aromatic Amine-Based Polybenzoxazines. Macromolecules 2000, 33, 8149–8157. [Google Scholar] [CrossRef]
- Vyazovkin, S.; Burnham, A.K.; Criado, J.M.; Pérez-Maqueda, L.A.; Popescu, C.; Sbirrazzuoli, N. ICTAC Kinetics Committee Recommendations for Performing Kinetic Computations on Thermal Analysis Data. Thermochim. Acta 2011, 520, 1–19. [Google Scholar] [CrossRef]
- 14:00–17:00 ISO 11357-5:1999. Available online: https://www.iso.org/cms/render/live/en/sites/isoorg/contents/data/standard/02/71/27143.html (accessed on 14 January 2021).
- 14:00–17:00 ISO 11357-2:1999. Available online: https://www.iso.org/cms/render/live/en/sites/isoorg/contents/data/standard/02/55/25545.html (accessed on 14 January 2021).
- Aizawa, T.; Hirai, Y.; Numata, S. Method for Producing Benzoxazine Resin. U.S. Patent US7041772B2, 9 May 2006. [Google Scholar]
- Chow, W.S.; Grishchuk, S.; Burkhart, T.; Karger-Kocsis, J. Gelling and Curing Behaviors of Benzoxazine/Epoxy Formulations Containing 4,4′-Thiodiphenol Accelerator. Thermochim. Acta 2012, 543, 172–177. [Google Scholar] [CrossRef]
- Jubsilp, C.; Punson, K.; Takeichi, T.; Rimdusit, S. Curing Kinetics of Benzoxazine–Epoxy Copolymer Investigated by Non-Isothermal Differential Scanning Calorimetry. Polym. Degrad. Stab. 2010, 95, 918–924. [Google Scholar] [CrossRef]
- Ishida, H.; Rodriguez, Y. Curing Kinetics of a New Benzoxazine-Based Phenolic Resin by Differential Scanning Calorimetry. Polymer 1995, 36, 3151–3158. [Google Scholar] [CrossRef]
- Cox, W.; Merz, E. Correlation of Dynamic and Steady Flow Viscosities. J. Polym. Sci. 1958, 28, 619–622. [Google Scholar] [CrossRef]
- Malkin, A.Y. Rheokinetics of curing of an epoxyorganosilicon oligomer by agents of various functionality. Polym. Sci. U.S.S.R. 1986, 28, 2350–2359. [Google Scholar]
- Budelmann, D.; Schmidt, C.; Meiners, D. Prepreg Tack: A Review of Mechanisms, Measurement, and Manufacturing Implication. Polym. Compos. 2020, 41, 3440–3458. [Google Scholar] [CrossRef]
- Budelmann, D.; Detampel, H.; Schmidt, C.; Meiners, D. Interaction of Process Parameters and Material Properties with Regard to Prepreg Tack in Automated Lay-up and Draping Processes. Compos. Part A Appl. Sci. Manuf. 2019, 117, 308–316. [Google Scholar] [CrossRef]
- Mohammed, I.K.; Charalambides, M.N.; Kinloch, A.J. Modelling the Interfacial Peeling of Pressure-Sensitive Adhesives. J. Non-Newton. Fluid Mech. 2015, 222, 141–150. [Google Scholar] [CrossRef] [Green Version]
- Malkin, A.Y.; Kulichikhin, S.G. Rheokinetics: Rheological Transformations in Synthesis and Reactions of Oligomers and Polymers; John Wiley & Sons: Hoboken, NJ, USA, 2008; ISBN 978-3-527-61494-3. [Google Scholar]
- Malkin, A.Y.; Kulichikhin, S.G. Rheokinetics of curing. In Polymer Compositions Stabilizers/Curing; Advances in Polymer Science; Springer: Berlin/Heidelberg, Germany, 1991; pp. 217–257. ISBN 978-3-540-46462-4. [Google Scholar]









| Formulation | BD 2, phr | FUR 3, phr |
|---|---|---|
| BA-mt 1 | 0 | 0 |
| BB-5 | 5 | 0 |
| BB-10 | 10 | 0 |
| BB-15 | 15 | 0 |
| BF-5 | 0 | 5 |
| BF-10 | 0 | 10 |
| BF-15 | 0 | 15 |
| Formulation Index | Resin | Polymer | ||||
|---|---|---|---|---|---|---|
| Tg, °C | Tonset, °C | Tpeak, °C | Tend, °C | ΔH, J/g | Tg, °C | |
| BA-mt | 16 | 225 | 233 | 242 | 346.1 | 217 |
| BB-5 | 5 | 230 | 239 | 248 | 352.6 | 214 |
| BB-10 | −5 | 232 | 242 | 250 | 355.2 | 217 |
| BB-15 | −8 | 237 | 246 | 253 | 359.2 | 216 |
| BF-5 | 3 | 300 | 240 | 246 | 325.2 | 208 |
| BF-10 | −8 | 235 | 242 | 251 | 315.5 | 205 |
| BF-15 | −13 | 237 | 245 | 252 | 306.9 | 204 |
| Formulation Index | Gelation at 180 °C | η at 40 °C, Pa·s | Tack at 25 °C | |||
|---|---|---|---|---|---|---|
| τgel, min | τ(G′ = G″), min | Thumb Test | Wadh, μJ/mm2 | |||
| BA-mt | 32 | 34 | 59,000 | no | 376 * | 345 * |
| BB-5 | 38 | 38 | 7900 | low | - | - |
| BB-10 | 43 | 42 | 850 | medium | 615 | 514 |
| BB-15 | 46 | 53 | 210 | medium | - | - |
| BF-5 | 36 | 41 | 5340 | low | - | - |
| BF-10 | 40 | 45 | 503 | medium | 499 | 2630 |
| BF-15 | 49 | 47 | 100 | medium | - | - |
| Formulation | BA-mt | BB-5 | BB-10 | BB-15 | BF-5 | BF-10 | BF-15 |
|---|---|---|---|---|---|---|---|
| , min−1 | 0.039 | 0.032 | 0.028 | 0.020 | 0.009 | 0.007 | 0.006 |
| Formulation Index | Time, min | ||
|---|---|---|---|
| τn = 3.5 | τn = 4.5 | τgel | |
| BA-mt | 20 | 33 | 32 |
| BB-5 | 34 | 40 | 38 |
| BB-10 | 38 | 44 | 43 |
| BB-15 | 41 | 47 | 46 |
| BF-5 | 28 | 36 | 36 |
| BF-10 | 33 | 39 | 40 |
| BF-15 | 40 | 50 | 49 |
| Formulation Index | σ, MPa |
|---|---|
| BA-mt | 47 |
| BB-10 | 55 |
| BF-10 | 45 |
Publisher’s Note: MDPI stays neutral with regard to jurisdictional claims in published maps and institutional affiliations. |
© 2021 by the authors. Licensee MDPI, Basel, Switzerland. This article is an open access article distributed under the terms and conditions of the Creative Commons Attribution (CC BY) license (https://creativecommons.org/licenses/by/4.0/).
Share and Cite
Bornosuz, N.V.; Korotkov, R.F.; Shutov, V.V.; Sirotin, I.S.; Gorbunova, I.Y. Benzoxazine Copolymers with Mono- and Difunctional Epoxy Active Diluents with Enhanced Tackiness and Reduced Viscosity. J. Compos. Sci. 2021, 5, 250. https://doi.org/10.3390/jcs5090250
Bornosuz NV, Korotkov RF, Shutov VV, Sirotin IS, Gorbunova IY. Benzoxazine Copolymers with Mono- and Difunctional Epoxy Active Diluents with Enhanced Tackiness and Reduced Viscosity. Journal of Composites Science. 2021; 5(9):250. https://doi.org/10.3390/jcs5090250
Chicago/Turabian StyleBornosuz, Natalia V., Roman F. Korotkov, Vyacheslav V. Shutov, Igor S. Sirotin, and Irina Yu. Gorbunova. 2021. "Benzoxazine Copolymers with Mono- and Difunctional Epoxy Active Diluents with Enhanced Tackiness and Reduced Viscosity" Journal of Composites Science 5, no. 9: 250. https://doi.org/10.3390/jcs5090250
APA StyleBornosuz, N. V., Korotkov, R. F., Shutov, V. V., Sirotin, I. S., & Gorbunova, I. Y. (2021). Benzoxazine Copolymers with Mono- and Difunctional Epoxy Active Diluents with Enhanced Tackiness and Reduced Viscosity. Journal of Composites Science, 5(9), 250. https://doi.org/10.3390/jcs5090250

