Upcycling Spent Coffee Grounds-Based Composite for 3D Printing: A Review of Current Research
Abstract
1. Introduction
2. SCG Waste Threats and Opportunities
3. SCG Composition and Properties
| Chemical Compounds | Content (wt. %) 1 | References | Minerals Compounds | Content 2 (mg/g) 1 | References |
|---|---|---|---|---|---|
| Hemicellulose | 30–40 | Potassium | 3.7 | ||
| Lignin | 20–30 | Phosphorus | 1.47 | ||
| Proteins | 13–17 | Calcium | 1.38 | ||
| Cellulose | 8–15 | [7,31,34] | Magnesium | 1.29 | [36,37,38] |
| Lipids | 7–21 | Aluminum | 0.28 | ||
| Ashes | 1–2 | Iron | 0.12 | ||
| Sodium | 0.07 | ||||
| Manganese | 0.05 | ||||
| Copper | 0.03 | ||||
| Zinc | 0.01 |
3.1. Water and Oil Holding Capacity
3.2. Emulsifying Activity and Emulsion Stability
3.3. Antioxidant Potential
3.4. Crystallinity
3.5. Thermal Behavior
3.6. Morphology and Porosity
4. SCG Upcycling
5. SCG-Based Composite for 3D Printing
5.1. Composite Preparations
5.2. Three-Dimensional Printing Techniques for SCG-Based Composites
5.3. Composite Characterizations
5.3.1. Mechanical and Physical Properties
5.3.2. Morphology and Surface Quality
5.3.3. Thermal Properties
6. Overall Comparison Between SCG Composites and Fibers
7. Challenges and Outlook for SCG-Based Composites in AM
- Improved filler dispersion using a combination of mechanical grinding and chemical modification techniques.
- Enhanced interfacial adhesion through advanced compatibilizers and surface treatments.
- Optimization of filament and pellet production to ensure uniform diameter and improved flow behavior during extrusion.
- Refinement of extrusion and printing parameters to prevent common defects such as nozzle clogging, poor layer bonding, and inconsistent mechanical performance.
Author Contributions
Funding
Conflicts of Interest
References
- Mohammed, R.; Shaik, A.S.; Mohammed, S.; Kumar, K.; Aggala, C.; Babu, B.P.; Badruddin, I.A. Advancements and Challenges in Additive Manufacturing: Future Directions and Implications for Sustainable Engineering. Adv. Sustain. Sci. Eng. Technol. 2025, 7, 0250108. [Google Scholar] [CrossRef]
- Zhou, L.; Miller, J.; Vezza, J.; Mayster, M.; Raffay, M.; Justice, Q.; Al Tamimi, Z.; Hansotte, G.; Sunkara, L.D.; Bernat, J. Additive Manufacturing: A Comprehensive Review. Sensors 2024, 24, 2668. [Google Scholar] [CrossRef]
- Moshood, T.D.; Nawanir, G.; Mahmud, F.; Mohamad, F.; Ahmad, M.H.; AbdulGhani, A. Sustainability of Biodegradable Plastics: New Problem or Solution to Solve the Global Plastic Pollution? Curr. Res. Green Sustain. Chem. 2022, 5, 100273. [Google Scholar] [CrossRef]
- Yusufoğlu, B.; Kezer, G.; Wang, Y.; Ziora, Z.M.; Esatbeyoglu, T. Bio-Recycling of Spent Coffee Grounds: Recent Advances and Potential Applications. Curr. Opin. Food Sci. 2024, 55, 101111. [Google Scholar] [CrossRef]
- Murthy, P.S.; Madhava Naidu, M. Sustainable Management of Coffee Industry By-Products and Value Addition—A Review. Resour. Conserv. Recycl. 2012, 66, 45–58. [Google Scholar] [CrossRef]
- McNutt, J.; He, Q. Spent Coffee Grounds: A Review on Current Utilization. J. Ind. Eng. Chem. 2019, 71, 78–88. [Google Scholar] [CrossRef]
- Ballesteros, L.F.; Teixeira, J.A.; Mussatto, S.I. Chemical, Functional, and Structural Properties of Spent Coffee Grounds and Coffee Silverskin. Food Bioprocess Technol. 2014, 7, 3493–3503. [Google Scholar] [CrossRef]
- Bomfim, A.; Oliveira, D.; Voorwald, H.; Benini, K.; Dumont, M.-J.; Rodrigue, D. Valorization of Spent Coffee Grounds as Precursors for Biopolymers and Composite Production. Polymers 2022, 14, 437. [Google Scholar] [CrossRef]
- Anwajler, B.; Zdybel, E.; Tomaszewska-Ciosk, E. Innovative Polymer Composites with Natural Fillers Produced by Additive Manufacturing (3D Printing)—A Literature Review. Polymers 2023, 15, 3534. [Google Scholar] [CrossRef]
- Hassan, M.; Mohanty, A.K.; Misra, M. 3D Printing in Upcycling Plastic and Biomass Waste to Sustainable Polymer Blends and Composites: A Review. Mater. Des. 2024, 237, 112558. [Google Scholar] [CrossRef]
- Putra, N.E.; Zhou, J.; Zadpoor, A.A. Sustainable Sources of Raw Materials for Additive Manufacturing of Bone-Substituting Biomaterials. Adv. Healthc. Mater. 2024, 13, 2301837. [Google Scholar] [CrossRef]
- Xie, M.; Xu, L.; Wu, K.; Wen, Y.; Jiang, H.; Jiang, Z. Rheology and Microstructure Effects of Waste Spent Coffee Grounds in Modifying Asphalt Binder. Low-Carbon Mater. Green Constr. 2023, 1, 3. [Google Scholar] [CrossRef] [PubMed]
- Chang, Y.-C.; Chen, Y.; Ning, J.; Hao, C.; Rock, M.; Amer, M.; Feng, S.; Falahati, M.; Wang, L.-J.; Chen, R.K.; et al. No Such Thing as Trash: A 3D-Printable Polymer Composite Composed of Oil-Extracted Spent Coffee Grounds and Polylactic Acid with Enhanced Impact Toughness. ACS Sustain. Chem. Eng. 2019, 7, 15304–15310. [Google Scholar] [CrossRef]
- Li, S.; Shi, C.; Sun, S.; Chan, H.; Lu, H.; Nilghaz, A.; Tian, J.; Cao, R. From Brown to Colored: Polylactic Acid Composite with Micro/Nano-Structured White Spent Coffee Grounds for Three-Dimensional Printing. Int. J. Biol. Macromol. 2021, 174, 300–308. [Google Scholar] [CrossRef]
- Yu, W.; Yuan, T.; Yao, Y.; Deng, Y.; Wang, X. PLA/Coffee Grounds Composite for 3D Printing and Its Properties. Forests 2023, 14, 367. [Google Scholar] [CrossRef]
- Lage-Rivera, S.; Ares-Pernas, A.; Dopico-García, M.S.; Covas, J.; Abad, M.J. Comparing Lignin and Spent Coffee Grounds as Bio-Fillers in PLA 3D-Printable Filaments. Polym. Compos. 2024. [Google Scholar] [CrossRef]
- Paramatti, M.; Romani, A.; Pugliese, G.; Levi, M. PLA Feedstock Filled with Spent Coffee Grounds for New Product Applications with Large-Format Material Extrusion Additive Manufacturing. ACS Omega 2024, 9, 6423–6431. [Google Scholar] [CrossRef]
- Romani, A.; Paramatti, M.; Gallo, L.; Levi, M. Large-Format Material Extrusion Additive Manufacturing of PLA, LDPE, and HDPE Compound Feedstock with Spent Coffee Grounds. Int. J. Adv. Manuf. Technol. 2024, 134, 1845–1861. [Google Scholar] [CrossRef]
- Alhelal, A.; Mohammed, Z.; Jeelani, S.; Rangari, V.K. 3D Printing of Spent Coffee Ground Derived Biochar Reinforced Epoxy Composites. J. Compos. Mater. 2021, 55, 3651–3660. [Google Scholar] [CrossRef]
- International Coffee Organization ICO. International Coffee Organization Coffee Report and Outlook. 2023. Available online: https://icocoffee.org/documents/cy2023-24/Coffee_Report_and_Outlook_December_2023_ICO.pdf (accessed on 19 August 2025).
- Ramalakshmi, K.; Rao, L.J.M.; Takano-Ishikawa, Y.; Goto, M. Bioactivities of Low-Grade Green Coffee and Spent Coffee in Different in Vitro Model Systems. Food Chem. 2009, 115, 79–85. [Google Scholar] [CrossRef]
- Pfluger, R.A. Soluble Coffee Processing. In Solid Wastes: Origin, Collection, Processing, and Disposal; Wiley: New York, NY, USA, 1975. [Google Scholar]
- Mussatto, S.I.; Machado, E.M.S.S.; Martins, S.; Teixeira, J.A. Production, Composition, and Application of Coffee and Its Industrial Residues. Food Bioprocess Technol. 2011, 4, 661–672. [Google Scholar] [CrossRef]
- Cervera-Mata, A.; Delgado, G.; Fernández-Arteaga, A.; Fornasier, F.; Mondini, C. Spent Coffee Grounds By-Products and Their Influence on Soil C–N Dynamics. J. Environ. Manage. 2022, 302, 114075. [Google Scholar] [CrossRef]
- Lirio-Paredes, J.; Ogata-Gutiérrez, K.; Zúñiga-Dávila, D. Effects of Rhizobia Isolated from Coffee Fields in the High Jungle Peruvian Region, Tested on Phaseolus vulgaris L. Var. Red Kidney. Microorganisms 2022, 10, 823. [Google Scholar] [CrossRef]
- Talalaj, I.A.; Biedka, P. Use of the Landfill Water Pollution Index (LWPI) for Groundwater Quality Assessment near the Landfill Sites. Environ. Sci. Pollut. Res. 2016, 23, 24601–24613. [Google Scholar] [CrossRef]
- Forcina, A.; Petrillo, A.; Travaglioni, M.; di Chiara, S.; De Felice, F. A Comparative Life Cycle Assessment of Different Spent Coffee Ground Reuse Strategies and a Sensitivity Analysis for Verifying the Environmental Convenience Based on the Location of Sites. J. Clean. Prod. 2023, 385, 135727. [Google Scholar] [CrossRef]
- Caetano, N.S.; Borrego, C.; Nunes, M.I.; Felgueiras, C. ICEER2019@Aveiro: Energy and Environment—Challenges towards Circular Economy. Energy Rep. 2020, 6, 1–14. [Google Scholar] [CrossRef]
- Lindauere, D.; Martinez, E.; Fernández-Casatejada, R.; Santamaria, C. A Global Push for Circular Economy Projects. In Proceedings of the SPE International Conference and Exhibition on Health, Safety, Environment, and Sustainability, Virtual, 27–30 July 2020. [Google Scholar]
- Atabani, A.E.; Mercimek, S.M.; Arvindnarayan, S.; Shobana, S.; Kumar, G.; Cadir, M.; Al-Muhatseb, A.H. Valorization of Spent Coffee Grounds Recycling as a Potential Alternative Fuel Resource in Turkey: An Experimental Study. J. Air Waste Manage. Assoc. 2018, 68, 196–214. [Google Scholar] [CrossRef]
- Battista, F.; Barampouti, E.M.; Mai, S.; Bolzonella, D.; Malamis, D.; Moustakas, K.; Loizidou, M. Added-Value Molecules Recovery and Biofuels Production from Spent Coffee Grounds. Renew. Sustain. Energy Rev. 2020, 131, 110007. [Google Scholar] [CrossRef]
- Coelho, G.O.; Batista, M.J.A.; Ávila, A.F.; Franca, A.S.; Oliveira, L.S. Development and Characterization of Biopolymeric Films of Galactomannans Recovered from Spent Coffee Grounds. J. Food Eng. 2021, 289, 110083. [Google Scholar] [CrossRef]
- Toda, T.A.; de Cássia Franco Visioli, P.; de Oliveira, A.L.; da Costa Rodrigues, C.E. Conventional and Pressurized Ethanolic Extraction of Oil from Spent Coffee Grounds: Kinetics Study and Evaluation of Lipid and Defatted Solid Fractions. J. Supercrit. Fluids 2021, 177, 105332. [Google Scholar] [CrossRef]
- Kovalcik, A.; Obruca, S.; Marova, I. Valorization of Spent Coffee Grounds: A Review. Food Bioprod. Process. 2018, 110, 104–119. [Google Scholar] [CrossRef]
- Santos, C.; Fonseca, J.; Aires, A.; Coutinho, J.; Trindade, H. Effect of Different Rates of Spent Coffee Grounds (SCG) on Composting Process, Gaseous Emissions and Quality of End-Product. Waste Manag. 2017, 59, 37–47. [Google Scholar] [CrossRef]
- Mussatto, S.I.; Carneiro, L.M.; Silva, J.P.A.; Roberto, I.C.; Teixeira, J.A. A Study on Chemical Constituents and Sugars Extraction from Spent Coffee Grounds. Carbohydr. Polym. 2011, 83, 368–374. [Google Scholar] [CrossRef]
- Afriliana, A.; Hidayat, E.; Yoshiharu, M.; Taizo, M.; Harada, H. Evaluation of Potency Spent Coffee Grounds for Make Black Compost. E3S Web Conf. 2020, 142, 04002. [Google Scholar] [CrossRef]
- Morikawa, C.K.; Saigusa, M. Recycling Coffee Grounds and Tea Leaf Wastes to Improve the Yield and Mineral Content of Grains of Paddy Rice. J. Sci. Food Agric. 2011, 91, 2108–2111. [Google Scholar] [CrossRef]
- Murthy, P.S.; Naidu, M.M. Recovery of Phenolic Antioxidants and Functional Compounds from Coffee Industry By-Products. Food Bioprocess Technol. 2012, 5, 897–903. [Google Scholar] [CrossRef]
- Raghavendra, S.N.; Rastogi, N.K.; Raghavarao, K.S.M.S.; Tharanathan, R.N. Dietary Fiber from Coconut Residue: Effects of Different Treatments and Particle Size on the Hydration Properties. Eur. Food Res. Technol. 2004, 218, 563–567. [Google Scholar] [CrossRef]
- Betancur-Ancona, D.; Peraza-Mercado, G.; Moguel-Ordoñez, Y.; Fuertes-Blanco, S. Physicochemical Characterization of Lima Bean (Phaseolus lunatus) and Jack Bean (Canavalia ensiformis) Fibrous Residues. Food Chem. 2004, 84, 287–295. [Google Scholar] [CrossRef]
- Sánchez-Zapata, E.; Fuentes-Zaragoza, E.; Fernández-López, J.; Sendra, E.; Sayas, E.; Navarro, C.; Pérez-Álvarez, J.A. Preparation of Dietary Fiber Powder from Tiger Nut (Cyperus esculentus) Milk (“Horchata”) Byproducts and Its Physicochemical Properties. J. Agric. Food Chem. 2009, 57, 7719–7725. [Google Scholar] [CrossRef] [PubMed]
- Kuan, C.-Y.; Yuen, K.-H.; Bhat, R.; Liong, M.-T. Physicochemical Characterization of Alkali Treated Fractions from Corncob and Wheat Straw and the Production of Nanofibres. Food Res. Int. 2011, 44, 2822–2829. [Google Scholar] [CrossRef]
- Kuan, Y.-H.; Liong, M.-T. Chemical and Physicochemical Characterization of Agrowaste Fibrous Materials and Residues. J. Agric. Food Chem. 2008, 56, 9252–9257. [Google Scholar] [CrossRef] [PubMed]
- Fang, Z. (Ed.) Pretreatment Techniques for Biofuels and Biorefineries; Green Energy and Technology; Springer: Berlin/Heidelberg, Germany, 2013; ISBN 978-3-642-32734-6. [Google Scholar]
- Rivera, W.; Velasco, X.; Gálvez, C.; Rincón, C.; Rosales, A.; Arango, P. Effect of the Roasting Process on Glass Transition and Phase Transition of Colombian Arabic Coffee Beans. Procedia Food Sci. 2011, 1, 385–390. [Google Scholar] [CrossRef]
- ASTM E437; Standard Terminology Relating to Thermal Analysis and Rheology. ASTM International: West Conshohocken, PA, USA, 2016.
- Fermoso, J.; Mašek, O. Thermochemical Decomposition of Coffee Ground Residues by TG-MS: A Kinetic Study. J. Anal. Appl. Pyrolysis 2018, 130, 358–367. [Google Scholar] [CrossRef]
- Kwon, E.E.; Yi, H.; Jeon, Y.J. Sequential Co-Production of Biodiesel and Bioethanol with Spent Coffee Grounds. Bioresour. Technol. 2013, 136, 475–480. [Google Scholar] [CrossRef] [PubMed]
- Zarrinbakhsh, N.; Wang, T.; Rodriguez-Uribe, A.; Misra, M.; Mohanty, A.K. Characterization of Wastes and Coproducts from the Coffee Industry for Composite Material Production. BioResources 2016, 11, 7637–7653. [Google Scholar] [CrossRef]
- Cervera-Mata, A.; Lara, L.; Fernández-Arteaga, A.; Ángel Rufián-Henares, J.; Delgado, G. Washed Hydrochar from Spent Coffee Grounds: A Second Generation of Coffee Residues. Evaluation as Organic Amendment. Waste Manag. 2021, 120, 322–329. [Google Scholar] [CrossRef]
- Abdullah, M.; Bulent Koc, A. Oil Removal from Waste Coffee Grounds Using Two-Phase Solvent Extraction Enhanced with Ultrasonication. Renew. Energy 2013, 50, 965–970. [Google Scholar] [CrossRef]
- Bejenari, V.; Marcu, A.; Ipate, A.-M.; Rusu, D.; Tudorachi, N.; Anghel, I.; Şofran, I.-E.; Lisa, G. Physicochemical Characterization and Energy Recovery of Spent Coffee Grounds. J. Mater. Res. Technol. 2021, 15, 4437–4451. [Google Scholar] [CrossRef]
- Arrigo, R.; Jagdale, P.; Bartoli, M.; Tagliaferro, A.; Malucelli, G. Structure–Property Relationships in Polyethylene-Based Composites Filled with Biochar Derived from Waste Coffee Grounds. Polymers 2019, 11, 1336. [Google Scholar] [CrossRef] [PubMed]
- Franca, A.S.; Oliveira, L.S. Potential Uses of Spent Coffee Grounds in the Food Industry. Foods 2022, 11, 2064. [Google Scholar] [CrossRef]
- San Martin, D.; Ibarruri, J.; Luengo, N.; Ferrer, J.; García-Rodríguez, A.; Goiri, I.; Atxaerandio, R.; Medjadbi, M.; Zufía, J.; Sáez de Cámara, E.; et al. Evaluation of Valorisation Strategies to Improve Spent Coffee Grounds’ Nutritional Value as an Ingredient for Ruminants’ Diets. Animals 2023, 13, 1477. [Google Scholar] [CrossRef] [PubMed]
- Stylianou, M.; Agapiou, A.; Omirou, M.; Vyrides, I.; Ioannides, I.M.; Maratheftis, G.; Fasoula, D. Converting Environmental Risks to Benefits by Using Spent Coffee Grounds (SCG) as a Valuable Resource. Environ. Sci. Pollut. Res. 2018, 25, 35776–35790. [Google Scholar] [CrossRef]
- Horgan, F.G.; Floyd, D.; Mundaca, E.A.; Crisol-Martínez, E. Spent Coffee Grounds Applied as a Top-Dressing or Incorporated into the Soil Can Improve Plant Growth While Reducing Slug Herbivory. Agriculture 2023, 13, 257. [Google Scholar] [CrossRef]
- Іващук, O.C.; Атаманюк, B.M.; Чижoвич, P.A.; Сoбечкo, I.Б. Using Coffee Production Waste as a Raw Material for Solid Fuel. J. Chem. Technol. 2023, 30, 588–594. [Google Scholar] [CrossRef]
- Colantoni, A.; Paris, E.; Bianchini, L.; Ferri, S.; Marcantonio, V.; Carnevale, M.; Palma, A.; Civitarese, V.; Gallucci, F. Spent Coffee Ground Characterization, Pelletization Test and Emissions Assessment in the Combustion Process. Sci. Rep. 2021, 11, 5119. [Google Scholar] [CrossRef]
- Nguyen, V.-T.; Vo, T.-D.-H.; Tran, T.; Nguyen, T.-N.; Le, T.-N.-C.; Bui, X.-T.; Bach, L.-G. Biochar Derived from the Spent Coffee Ground for Ammonium Adsorption from Aqueous Solution. Case Stud. Chem. Environ. Eng. 2021, 4, 100141. [Google Scholar] [CrossRef]
- Lee, K.-T.; Cheng, C.-L.; Lee, D.-S.; Chen, W.-H.; Vo, D.-V.N.; Ding, L.; Lam, S.S. Spent Coffee Grounds Biochar from Torrefaction as a Potential Adsorbent for Spilled Diesel Oil Recovery and as an Alternative Fuel. Energy 2022, 239, 122467. [Google Scholar] [CrossRef]
- Charmas, B.; Zięzio, M.; Tomaszewski, W.; Kucio, K. Smart Preparation of Microporous Carbons from Spent Coffee Grounds. Comprehensive Characterization and Application in Explosives Removal from Water Samples. Colloids Surfaces A Physicochem. Eng. Asp. 2022, 645, 128889. [Google Scholar] [CrossRef]
- Pawarangan, I.; Pongsapan, F.P.; Jefriyanto, W.; Pineng, M.; Tana, D.P.; Anum, S.A. Spent Coffee Grounds and Its Potential Applications for Electronic Devices: A Review. AIP Conf. Proc. 2022, 2542, 050014. [Google Scholar] [CrossRef]
- Pawarangan, I.; Jefriyanto, W. Identification of Electrical Properties of Bio-Battery Based on Spent Coffee Grounds. Bul. Fis. 2021, 23, 92. [Google Scholar] [CrossRef]
- La Scalia, G.; Saeli, M.; Miglietta, P.P.; Micale, R. Coffee Biowaste Valorization within Circular Economy: An Evaluation Method of Spent Coffee Grounds Potentials for Mortar Production. Int. J. Life Cycle Assess. 2021, 26, 1805–1815. [Google Scholar] [CrossRef]
- Muñoz Velasco, P.; Mendívil, M.A.; Morales, M.P.; Muñoz, L. Eco-Fired Clay Bricks Made by Adding Spent Coffee Grounds: A Sustainable Way to Improve Buildings Insulation. Mater. Struct. 2016, 49, 641–650. [Google Scholar] [CrossRef]
- Chamarraví-Guerra, O.; Moreno-Arias, C.A. Mechanical Characterization of Spent- Coffee-Grounds Briquettes. Rev. Energías Renov. 2022, 6, 15–23. [Google Scholar] [CrossRef]
- Saberian, M.; Li, J.; Donnoli, A.; Bonderenko, E.; Oliva, P.; Gill, B.; Lockrey, S.; Siddique, R. Recycling of Spent Coffee Grounds in Construction Materials: A Review. J. Clean. Prod. 2021, 289, 125837. [Google Scholar] [CrossRef]
- Reinecke, F.; Steinbüchel, A. Ralstonia Eutropha Strain H16 as Model Organism for PHA Metabolism and for Biotechnological Production of Technically Interesting Biopolymers. Microb. Physiol. 2009, 16, 91–108. [Google Scholar] [CrossRef]
- Povolo, S.; Toffano, P.; Basaglia, M.; Casella, S. Polyhydroxyalkanoates Production by Engineered Cupriavidus Necator from Waste Material Containing Lactose. Bioresour. Technol. 2010, 101, 7902–7907. [Google Scholar] [CrossRef]
- Bhatia, S.K.; Kim, J.H.; Kim, M.S.; Kim, J.; Hong, J.W.; Hong, Y.G.; Kim, H.J.; Jeon, J.M.; Kim, S.H.; Ahn, J.; et al. Production of (3-Hydroxybutyrate-Co-3-Hydroxyhexanoate) Copolymer from Coffee Waste Oil Using Engineered Ralstonia Eutropha. Bioprocess Biosyst. Eng. 2018, 41, 229–235. [Google Scholar] [CrossRef] [PubMed]
- Cruz, M.V.; Paiva, A.; Lisboa, P.; Freitas, F.; Alves, V.D.; Simões, P.; Barreiros, S.; Reis, M.A.M. Production of Polyhydroxyalkanoates from Spent Coffee Grounds Oil Obtained by Supercritical Fluid Extraction Technology. Bioresour. Technol. 2014, 157, 360–363. [Google Scholar] [CrossRef] [PubMed]
- Dattatraya Saratale, G.; Bhosale, R.; Shobana, S.; Banu, J.R.; Pugazhendhi, A.; Mahmoud, E.; Sirohi, R.; Kant Bhatia, S.; Atabani, A.E.; Mulone, V.; et al. A Review on Valorization of Spent Coffee Grounds (SCG) towards Biopolymers and Biocatalysts Production. Bioresour. Technol. 2020, 314, 123800. [Google Scholar] [CrossRef]
- Hudeckova, H.; Neureiter, M.; Obruca, S.; Frühauf, S.; Marova, I. Biotechnological Conversion of Spent Coffee Grounds into Lactic Acid. Lett. Appl. Microbiol. 2018, 66, 306–312. [Google Scholar] [CrossRef]
- Mak, S.L.; Wu, M.Y.T.; Chak, W.Y.; Kwong, W.K.; Tang, W.F.; Li, C.Y.C.H.; Lee, C.C.; Li, C.Y.C.H. A Review of the Feasibility of Producing Polylactic Acid (PLA) Polymers Using Spent Coffee Ground. Sustainability 2023, 15, 13498. [Google Scholar] [CrossRef]
- Wu, H.; Hu, W.; Zhang, Y.; Huang, L.; Zhang, J.; Tan, S.; Cai, X.; Liao, X. Effect of Oil Extraction on Properties of Spent Coffee Ground–Plastic Composites. J. Mater. Sci. 2016, 51, 10205–10214. [Google Scholar] [CrossRef]
- Thanh, N.N.; Tan, V.M.; Trung, D.H.; Huong, P.T.M.; Nhung, L.T.H.; Ha, N.M.; Van, N.T.; Tung, N.T.; Thuy, N.T.T. Effect of Alkaline-treated Spent Coffee Grounds and Compatibilizer on the Mechanical Properties of Bio-composite Based on Polypropylene Matrix. Vietnam J. Chem. 2023, 61, 148–153. [Google Scholar] [CrossRef]
- Akindoyo, J.O.; Beg, M.D.H.; Ghazali, S.; Islam, M.R.; Jeyaratnam, N.; Yuvaraj, A.R. Polyurethane Types, Synthesis and Applications—A Review. RSC Adv. 2016, 6, 114453–114482. [Google Scholar] [CrossRef]
- Muniappan, A.; Srinivasan, R.; Sai Sandeep, M.V.V.; Senthilkumar, N.; Senthiil, P.V. Mode-1 Fracture Toughness Analysis of Coffee Bean Powder Reinforced Polymer Composite. Mater. Today Proc. 2020, 21, 537–542. [Google Scholar] [CrossRef]
- Boopasiri, S.; Sae-Oui, P.; Lundee, S.; Takaewnoi, S.; Siriwong, C. Reinforcing Efficiency of Pyrolyzed Spent Coffee Ground in Styrene-Butadiene Rubber. Macromol. Res. 2021, 29, 597–604. [Google Scholar] [CrossRef]
- Moustafa, H.; Guizani, C.; Dufresne, A. Sustainable Biodegradable Coffee Grounds Filler and Its Effect on the Hydrophobicity, Mechanical and Thermal Properties of Biodegradable PBAT Composites. J. Appl. Polym. Sci. 2017, 134, 44498. [Google Scholar] [CrossRef]
- Lessa, E.F.; Nunes, M.L.; Fajardo, A.R. Chitosan/Waste Coffee-Grounds Composite: An Efficient and Eco-Friendly Adsorbent for Removal of Pharmaceutical Contaminants from Water. Carbohydr. Polym. 2018, 189, 257–266. [Google Scholar] [CrossRef] [PubMed]
- Suaduang, N.; Ross, S.; Ross, G.M.M.; Pratumshat, S.; Mahasaranon, S. Effect of Spent Coffee Grounds Filler on the Physical and Mechanical Properties of Poly(Lactic Acid) Bio-Composite Films. Mater. Today Proc. 2019, 17, 2104–2110. [Google Scholar] [CrossRef]
- Baek, B.-S.; Park, J.-W.; Lee, B.-H.; Kim, H.-J. Development and Application of Green Composites: Using Coffee Ground and Bamboo Flour. J. Polym. Environ. 2013, 21, 702–709. [Google Scholar] [CrossRef]
- Madhavan Nampoothiri, K.; Nair, N.R.; John, R.P. An Overview of the Recent Developments in Polylactide (PLA) Research. Bioresour. Technol. 2010, 101, 8493–8501. [Google Scholar] [CrossRef]
- Wu, C.-S. Renewable Resource-Based Green Composites of Surface-Treated Spent Coffee Grounds and Polylactide: Characterisation and Biodegradability. Polym. Degrad. Stab. 2015, 121, 51–59. [Google Scholar] [CrossRef]
- Gama, N.; Ferreira, A.; Evtuguin, D.V. New Poly(Lactic Acid) Composites Produced from Coffee Beverage Wastes. J. Appl. Polym. Sci. 2022, 139. [Google Scholar] [CrossRef]
- Xu, H.; Xie, L.; Li, J.; Hakkarainen, M. Coffee Grounds to Multifunctional Quantum Dots: Extreme Nanoenhancers of Polymer Biocomposites. ACS Appl. Mater. Interfaces 2017, 9, 27972–27983. [Google Scholar] [CrossRef]
- Garcia, C.V.; Kim, Y.-T.T. Spent Coffee Grounds and Coffee Silverskin as Potential Materials for Packaging: A Review. J. Polym. Environ. 2021, 29, 2372–2384. [Google Scholar] [CrossRef]
- Hejna, A. Potential Applications of By-Products from the Coffee Industry in Polymer Technology—Current State and Perspectives. Waste Manag. 2021, 121, 296–330. [Google Scholar] [CrossRef] [PubMed]
- Sibele Piedade, C.; Luis Claudio, M. Thermal Properties and Morphology of High-Density Polyethylene Filled with Coffee Dregs. J. Therm. Anal. Calorim. 2013, 114, 1–4. [Google Scholar] [CrossRef]
- Mendes, J.F.; Martins, J.T.; Manrich, A.; Luchesi, B.R.; Dantas, A.P.S.; Vanderlei, R.M.; Claro, P.C.; de Sena Neto, A.R.; Mattoso, L.H.C.; Martins, M.A. Thermo-Physical and Mechanical Characteristics of Composites Based on High-Density Polyethylene (HDPE) e Spent Coffee Grounds (SCG). J. Polym. Environ. 2021, 29, 2888–2900. [Google Scholar] [CrossRef]
- Sohn, J.; Ryu, Y.; Yun, C.-S.; Zhu, K.; Cha, S. Extrusion Compounding Process for the Development of Eco-Friendly SCG/PP Composite Pellets. Sustainability 2019, 11, 1720. [Google Scholar] [CrossRef]
- García-García, D.; Carbonell, A.; Samper, M.D.; García-Sanoguera, D.; Balart, R. Green Composites Based on Polypropylene Matrix and Hydrophobized Spend Coffee Ground (SCG) Powder. Compos. Part B Eng. 2015, 78, 256–265. [Google Scholar] [CrossRef]
- Essabir, H.; Raji, M.; Laaziz, S.A.; Rodrique, D.; Bouhfid, R.; el kacem Qaiss, A. Thermo-Mechanical Performances of Polypropylene Biocomposites Based on Untreated, Treated and Compatibilized Spent Coffee Grounds. Compos. Part B Eng. 2018, 149, 1–11. [Google Scholar] [CrossRef]
- Vitale, E.; Motta, C.M.; Avallone, B.; Amoresano, A.; Fontanarosa, C.; Battaglia, G.; Spinelli, M.; Fogliano, C.; Paradiso, R.; Arena, C. Sustainable Reuse of Expresso Coffee By-Products as a Natural Fertilizer to Improve Growth and Photosynthesis in Cucumber (Cucumis sativus L.) Plants. Waste Biomass Valorization 2024, 15, 543–559. [Google Scholar] [CrossRef]
- Ahmed, J.; Varshney, S.K. Polylactides—Chemistry, Properties and Green Packaging Technology: A Review. Int. J. Food Prop. 2011, 14, 37–58. [Google Scholar] [CrossRef]
- Block, I.; Günter, C.; Duarte Rodrigues, A.; Paasch, S.; Hesemann, P.; Taubert, A. Carbon Adsorbents from Spent Coffee for Removal of Methylene Blue and Methyl Orange from Water. Materials 2021, 14, 3996. [Google Scholar] [CrossRef]
- Cestari, S.P.; Mendes, L.C.; da Silva, D.F.; Chimanowsky, J.P.; Altstädt, V.; Demchuk, V.; Lang, A.; Leonhardt, R.G.; Keller, J.-H. Properties of Recycled High Density Polyethylene and Coffee Dregs Composites. Polímeros Ciência e Tecnol. 2013, 23, 733–737. [Google Scholar] [CrossRef]
- Lee, H.J.; Lee, H.K.; Lim, E.; Song, Y.S. Synergistic Effect of Lignin/Polypropylene as a Compatibilizer in Multiphase Eco-Composites. Compos. Sci. Technol. 2015, 118, 193–197. [Google Scholar] [CrossRef]
- Boughanmi, O.; Allegue, L.; Marouani, H.; Koubaa, A.; Fouad, Y. Repetitive Recycling Effects on Mechanical Characteristics of Poly-lactic Acid and <scp>PLA</Scp> /Spent Coffee Grounds Composite Used for <scp>3D</Scp> Printing Filament. Polym. Eng. Sci. 2024, 64, 5613–5626. [Google Scholar] [CrossRef]
- Boughanmi, O.; Allegue, L.; Marouani, H.; Koubaa, A. Experimental Investigations of the Influence of Spent Coffee Grounds Content on PLA Based Composite for 3D Printing. J. Res. Updates Polym. Sci. 2024, 13, 226–233. [Google Scholar] [CrossRef]
- Yu, I.K.M.; Chan, O.Y.; Zhang, Q.; Wang, L.; Wong, K.-H.; Tsang, D.C.W. Upcycling of Spent Tea Leaves and Spent Coffee Grounds into Sustainable 3D-Printing Materials: Natural Plasticization and Low-Energy Fabrication. ACS Sustain. Chem. Eng. 2023, 11, 6230–6240. [Google Scholar] [CrossRef]
- Wang, L.; Yong, L.X.; Loo, S.C.J. Utilizing Food Waste in 3D-Printed PLA Formulations to Achieve Sustainable and Customizable Controlled Delivery Systems. ACS Omega 2024, 9, 34140–34150. [Google Scholar] [CrossRef] [PubMed]
- García-Collado, A.; Blanco, J.M.; Gupta, M.K.; Dorado-Vicente, R. Advances in Polymers Based Multi-Material Additive-Manufacturing Techniques: State-of-Art Review on Properties and Applications. Addit. Manuf. 2022, 50, 102577. [Google Scholar] [CrossRef]
- Zhuo, P.; Li, S.; Ashcroft, I.A.; Jones, A.I. Material Extrusion Additive Manufacturing of Continuous Fibre Reinforced Polymer Matrix Composites: A Review and Outlook. Compos. Part B Eng. 2021, 224, 109143. [Google Scholar] [CrossRef]
- ASTM D638-22; Standard Test Method for Tensile Properties of Plastics. ASTM International: West Conshohocken, PA, USA, 2022.
- Moreno Nieto, D.; Molina, S.I. Large-Format Fused Deposition Additive Manufacturing: A Review. Rapid Prototyp. J. 2020, 26, 793–799. [Google Scholar] [CrossRef]
- Cruz Sanchez, F.A.; Boudaoud, H.; Camargo, M.; Pearce, J.M. Plastic Recycling in Additive Manufacturing: A Systematic Literature Review and Opportunities for the Circular Economy. J. Clean. Prod. 2020, 264, 121602. [Google Scholar] [CrossRef]
- Balani, S.B.; Ghaffar, S.H.; Chougan, M.; Pei, E.; Şahin, E. Processes and Materials Used for Direct Writing Technologies: A Review. Results Eng. 2021, 11, 100257. [Google Scholar] [CrossRef]
- Ahn, S.H.; Montero, M.; Odell, D.; Roundy, S.; Wright, P.K. Anisotropic Material Properties of Fused Deposition Modeling ABS. Rapid Prototyp. J. 2002, 8, 248–257. [Google Scholar] [CrossRef]
- Kishore, V.; Ajinjeru, C.; Nycz, A.; Post, B.; Lindahl, J.; Kunc, V.; Duty, C. Infrared Preheating to Improve Interlayer Strength of Big Area Additive Manufacturing (BAAM) Components. Addit. Manuf. 2017, 14, 7–12. [Google Scholar] [CrossRef]
- Mak, S.L.; Tang, W.F.; Li, C.H.; Lee, C.C.; Wu, M.Y.; Chak, W.Y.; Kwong, W.K. Spent Coffee Ground–Based Polymeric Materials for 3D Printing. In 3D Printing and Sustainable Product Development; CRC Press: Boca Raton, FL, USA, 2023; pp. 125–138. [Google Scholar]
- Wilburn, F.W. Introduction to Thermal Analysis, Techniques and Applications; Springer: Berlin/Heidelberg, Germany, 1989; Volume 155, pp. 383–385. [Google Scholar]
- Joshi, S.; Patel, S. Review on Mechanical and Thermal Properties of Pineapple Leaf Fiber (PALF) Reinforced Composite. J. Nat. Fibers 2022, 19, 10157–10178. [Google Scholar] [CrossRef]
- Gan, P.G.; Sam, S.T.; bin Abdullah, M.F.; Omar, M.F. Thermal Properties of Nanocellulose-reinforced Composites: A Review. J. Appl. Polym. Sci. 2020, 137, 48544. [Google Scholar] [CrossRef]
- Yu, W.; Wang, Y. Research on the Change in Chemical Composition and Fungal Resistance of Moso Bamboo with Heat Treatment. Polymers 2023, 15, 453. [Google Scholar] [CrossRef]
- Khoo, R.Z.; Ismail, H.; Chow, W.S. Thermal and Morphological Properties of Poly (Lactic Acid)/Nanocellulose Nanocomposites. Procedia Chem. 2016, 19, 788–794. [Google Scholar] [CrossRef]
- Khan, B.A.; Chevali, V.S.; Na, H.; Zhu, J.; Warner, P.; Wang, H. Processing and Properties of Antibacterial Silver Nanoparticle-Loaded Hemp Hurd/Poly(Lactic Acid) Biocomposites. Compos. Part B Eng. 2016, 100, 10–18. [Google Scholar] [CrossRef]
- Ayrilmis, N.; Kaymakci, A. Fast Growing Biomass as Reinforcing Filler in Thermoplastic Composites: Paulownia Elongata Wood. Ind. Crops Prod. 2013, 43, 457–464. [Google Scholar] [CrossRef]
- Venkategowda, T.; Manjunatha, L.H.; Anilkumar, P.R. Dynamic Mechanical Behavior of Natural Fibers Reinforced Polymer Matrix Composites—A Review. Mater. Today Proc. 2022, 54, 395–401. [Google Scholar] [CrossRef]
- Arora, N.; Dua, S.; Singh, V.K.; Singh, S.K.; Senthilkumar, T. A Comprehensive Review on Fillers and Mechanical Properties of 3D Printed Polymer Composites. Mater. Today Commun. 2024, 40, 109617. [Google Scholar] [CrossRef]
- Narlıoğlu, N.; Salan, T.; Alma, M.H. Properties of 3D-Printed Wood Sawdust-Reinforced PLA Composites. BioResources 2021, 16, 5467–5480. [Google Scholar] [CrossRef]
- Rahimizadeh, A.; Kalman, J.; Henri, R.; Fayazbakhsh, K.; Lessard, L. Recycled Glass Fiber Composites from Wind Turbine Waste for 3D Printing Feedstock: Effects of Fiber Content and Interface on Mechanical Performance. Materials 2019, 12, 3929. [Google Scholar] [CrossRef] [PubMed]
















| Fields | Process | Products | References |
|---|---|---|---|
| Food industry | Extraction of Bioactive Compound | Feed ingredient | [55,56] |
| Food products and ingredients | |||
| Agriculture | Composting | Fertilizers, soil improvers | [57,58] |
| Substrate | Mushroom growth | ||
| Renewable energy | Extraction | Biodiesel | [7,59,60] |
| Pressing | Solid fuel pellets | ||
| Adsorbent | Synthesis | Biochar | [57,61,62,63] |
| Electronic devices | Extraction | Biobattery | [64,65] |
| Construction materials | Mixing | Bricks | [66,67,68,69] |
| Biopolymers production | Hydrolysis, Synthesis | PLA | [69,70,71,72,73,74,75,76] |
| Composite manufacturing | Extrusion, injection molding | Biocomposite | [13,16,76,77,78,79,80,81,82,83,84,85,86,87,88,89,90,91,92,93,94,95,96] |
| 3D Printing Technique | Full Name | Principle | Advantages | Limitations | Ref |
|---|---|---|---|---|---|
| FDM | Fused Deposition Modeling | Deposition of a melted filament layer by layer through a heated nozzle | Widely used, Low cost, Easy to adapt for SCG-based filaments | Requires good filament quality, Risk of nozzle clogging | [13,14,15,102,103,104] |
| FGF | Fused Granular Fabrication (Pellet-based) | Direct extrusion of melted polymer pellets without filament | Uses raw pellets, Lower material preparation, and Cost-effective | Less common, more complex process control | [17,18] |
| DW | Direct Writing | Extrusion of viscoelastic inks or pastes through a fine nozzle | Allows for printing of bio-based or water-based pastes, a low-energy process | Low resolution, Slow speed, Requires optimized paste formulation | [19] |
| Polymer Matrix | Filler | Filler Content (wt%) | Filler Size | Treatment | Methods | Results | Ref |
|---|---|---|---|---|---|---|---|
| PLA | SCG | 0, 5, 10, 15, 20 | _ | Oil extraction | FDM | At 20 wt%, Ox-SCG loading resulted in a remarkable 418.7% increase in toughness, reaching 25.24 MJ/m3, while only incurring a 26% reduction in storage modulus compared to pure PLA. | [13] |
| PLA | SCG | 2, 4, 6, 8, 10, 15, 20 | 700 μm | Alkaline treatment | FDM | PLA/MN-DSCG composites show good mechanical performance up to 10% MN-DSCGs. Viscosity decreases with MN-DSCG content up to 15%, improving melt flow and processability, but increases beyond 15% due to the rigid structure of MN-DSCGs. | [14] |
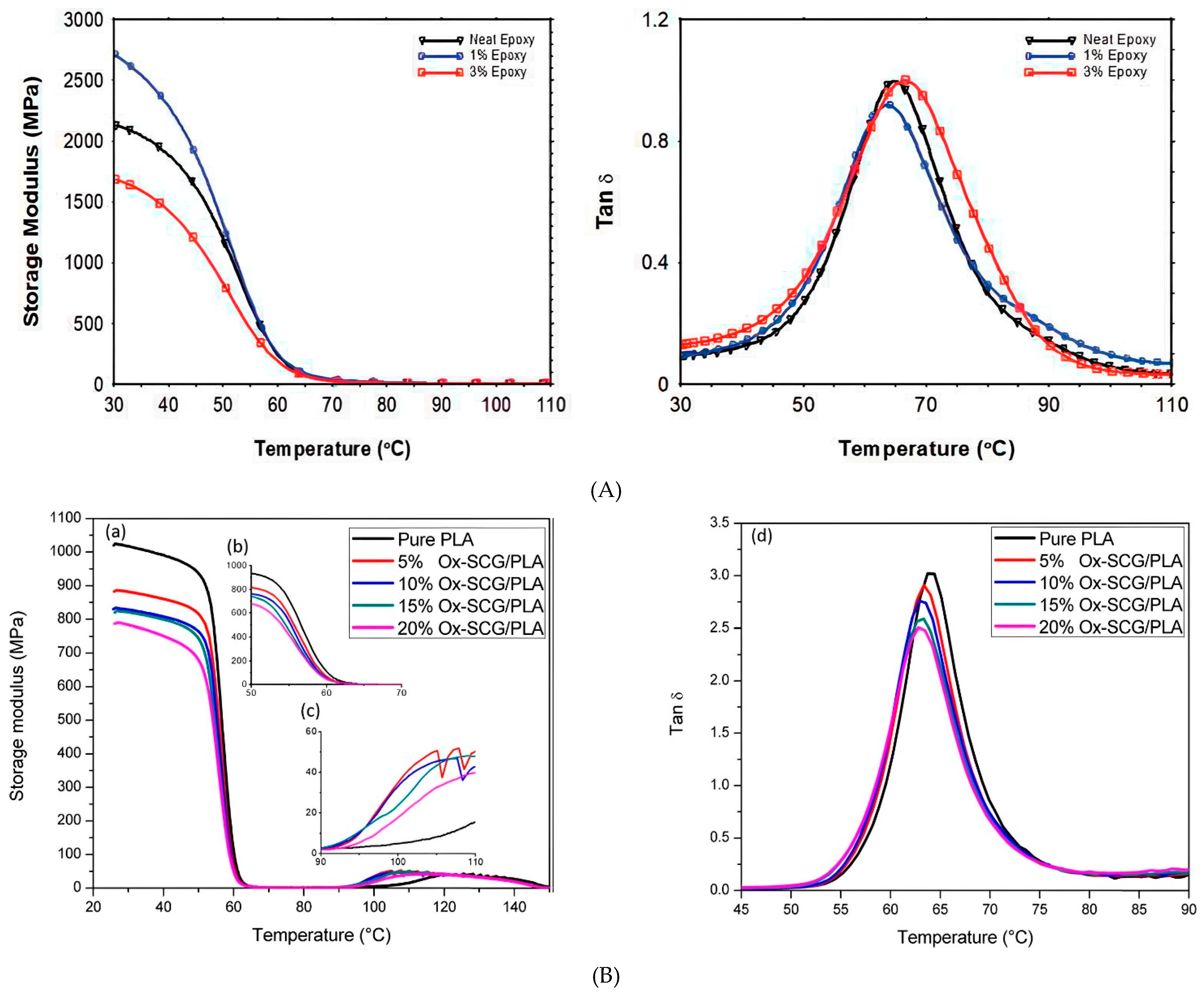
| EP | SCG | 1, 3 | <100 μm | Pyrolysis | DW | Storage modulus at 1 wt% biochar filler improved up to 27.5%, flexural modulus improved by 55.55%, and flexural strength improved by 43.30%. At 3 wt% biochar, the storage and flexural modulus decrease significantly due to agglomeration and poor polymer crosslinking. | [19] |
| PLA, LDPE and HDPE | SCG | 10 | >900 µm | _ | FGF | PLA/SCG composites exhibit stable tensile strength (13.9 MPa) and higher elongation at break (3%) compared to conventional filaments. The elastic modulus varies, with rLDPE/SCGs reaching 107.4 MPa and HDPE/SCGs 587 MPa. The composites show non-Newtonian behavior, with decreasing viscosity improving printability. | [18] |
| PLA | SCG | 5, 10 | _ | _ | FGF | PLA/SCG composites maintain good tensile strength (49 MPa for 95PLA5CM, ~47 MPa for 90PLA10CM) with a slight decrease in elastic modulus (10%). They exhibit non- Newtonian behavior, improving printability, and interlayer adhesion. | [17] |
| Matrix | Process Methods | Composition | Tg (°C) | Tcc (°C) | ΔHcc (J/g) | Tm (°C) | ΔHm (J/g) | Xc (%) | Ref |
|---|---|---|---|---|---|---|---|---|---|
| PLA | - | PLA | 60.4 | 108.2 | −29.6 | 169.5 | 35.0 | 5.8 | [15] |
| PLA/1% SCG | 60.6 | 110.4 | −25.0 | 170.2 | 29.8 | 5.2 | |||
| PLA/3% SCG | 60.2 | 109.7 | −28.8 | 169.4 | 31.8 | 3.3 | |||
| PLA/5% SCG | 60.5 | 108.6 | −25.2 | 169.5 | 33.3 | 9.2 | |||
| PLA/7% SCG | 60.2 | 110.3 | −21.2 | 169.8 | 26.5 | 6.1 | |||
| PLA | Alkaline treatment | PLA | 61 | 106.13 | - | 151.93 | - | 1.60 | [14] |
| PLA/2% MN-DSCGs | 60.76 | 105.72 | - | 151.69 | - | 1.81 | |||
| PLA/4% MN-DSCGs | 60.53 | 104.87 | - | 151.05 | - | 1.83 | |||
| PLA/6% MN-DSCGs | 60.77 | 104.73 | - | 151.78 | - | 1.86 | |||
| PLA/8% MN-DSCGs | 60.86 | 104.65 | - | 152.07 | - | 2.54 | |||
| PLA/10% MN-DSCGs | 60.58 | 104.80 | - | 151.26 | - | 2.66 | |||
| PLA/15% MN-DSCGs | 60.42 | 104.95 | - | 150.71 | - | 3.09 | |||
| PLA/20% MN-DSCGs | 60.28 | 105.27 | - | 151.23 | - | 2.66 | |||
| PLA | PLA | 61.2 | 133.6 | 0.6 | 154.2 | 1.9 | 2 | [18] | |
| PLA/10% SCG | 59 | 131.4 | 5.8 | 153.5 | 6.7 | 7.2 | |||
| rLDPE | - | rLDPE | 109.0 | - | - | 112.0 | 107.0 | 39.0 | |
| rLDPE/10% SCG | 72.3 | - | - | 106.6 | 82.9 | 28.3 | |||
| HDPE | - | HDPE | - | - | - | 134.1 | 187.4 | 63.8 | |
| HDPE/10% SCG | - | - | - | 131.5 | 171.5 | 58.5 | |||
| PLA | - | PLA | 361.2 | 133.6 | 0.6 | 154.2 | 1.9 | - | [17] |
| CM | 61.8 | - | - | 121.2 | 6.9 | - | |||
| 95PLA5CM | 61.8 | 131.1 | 8 | 154.7 | 10.6 | - | |||
| 90PLA10CM | 59.5 | 130 | 6.8 | 154 | 8.3 | - |
| Filler Types | Tensile Strength (MPa) | Tensile Modulus (GPa) | Thermal Stability | Environmental Impact | Cost |
|---|---|---|---|---|---|
| SCG | 41.6 | 1.3 | Low | Low CO2 footprint, circular waste valorization | Very low (waste material) |
| Wood sawdust | 7.08 | 3.5 | Medium | Low to moderate | Very low (waste material) |
| Flax | 50 | 5 | Good | Low | Moderate—more expensive than waste |
| Jute | 40 | 3 | Medium | Low-biodegradable | Low-widely used in packaging/textiles |
| Sisal | 30 | 2 | Low | Low | Moderate |
| Kenaf | 45 | 4 | Medium | Low | Low to moderate |
| Ramie | 35 | 3 | Low | Low to moderate | Moderate to high |
| Cotton (lyocell) | 25 | 2 | Low | Moderate | High processing |
| Glass fibers | 47 | - | Good | Higher pollutant emissions | Expensive production process |
Disclaimer/Publisher’s Note: The statements, opinions and data contained in all publications are solely those of the individual author(s) and contributor(s) and not of MDPI and/or the editor(s). MDPI and/or the editor(s) disclaim responsibility for any injury to people or property resulting from any ideas, methods, instructions or products referred to in the content. |
© 2025 by the authors. Licensee MDPI, Basel, Switzerland. This article is an open access article distributed under the terms and conditions of the Creative Commons Attribution (CC BY) license (https://creativecommons.org/licenses/by/4.0/).
Share and Cite
Boughanmi, O.; Allegue, L.; Marouani, H.; Koubaa, A.; Beauregard, M. Upcycling Spent Coffee Grounds-Based Composite for 3D Printing: A Review of Current Research. J. Compos. Sci. 2025, 9, 467. https://doi.org/10.3390/jcs9090467
Boughanmi O, Allegue L, Marouani H, Koubaa A, Beauregard M. Upcycling Spent Coffee Grounds-Based Composite for 3D Printing: A Review of Current Research. Journal of Composites Science. 2025; 9(9):467. https://doi.org/10.3390/jcs9090467
Chicago/Turabian StyleBoughanmi, Oumaima, Lamis Allegue, Haykel Marouani, Ahmed Koubaa, and Martin Beauregard. 2025. "Upcycling Spent Coffee Grounds-Based Composite for 3D Printing: A Review of Current Research" Journal of Composites Science 9, no. 9: 467. https://doi.org/10.3390/jcs9090467
APA StyleBoughanmi, O., Allegue, L., Marouani, H., Koubaa, A., & Beauregard, M. (2025). Upcycling Spent Coffee Grounds-Based Composite for 3D Printing: A Review of Current Research. Journal of Composites Science, 9(9), 467. https://doi.org/10.3390/jcs9090467

