2K UV- and Sunlight-Curable Waterborne Polyurethane Coating Through Thiol-Ene Click Reaction
Abstract
1. Introduction
2. Experimental Part
2.1. Materials
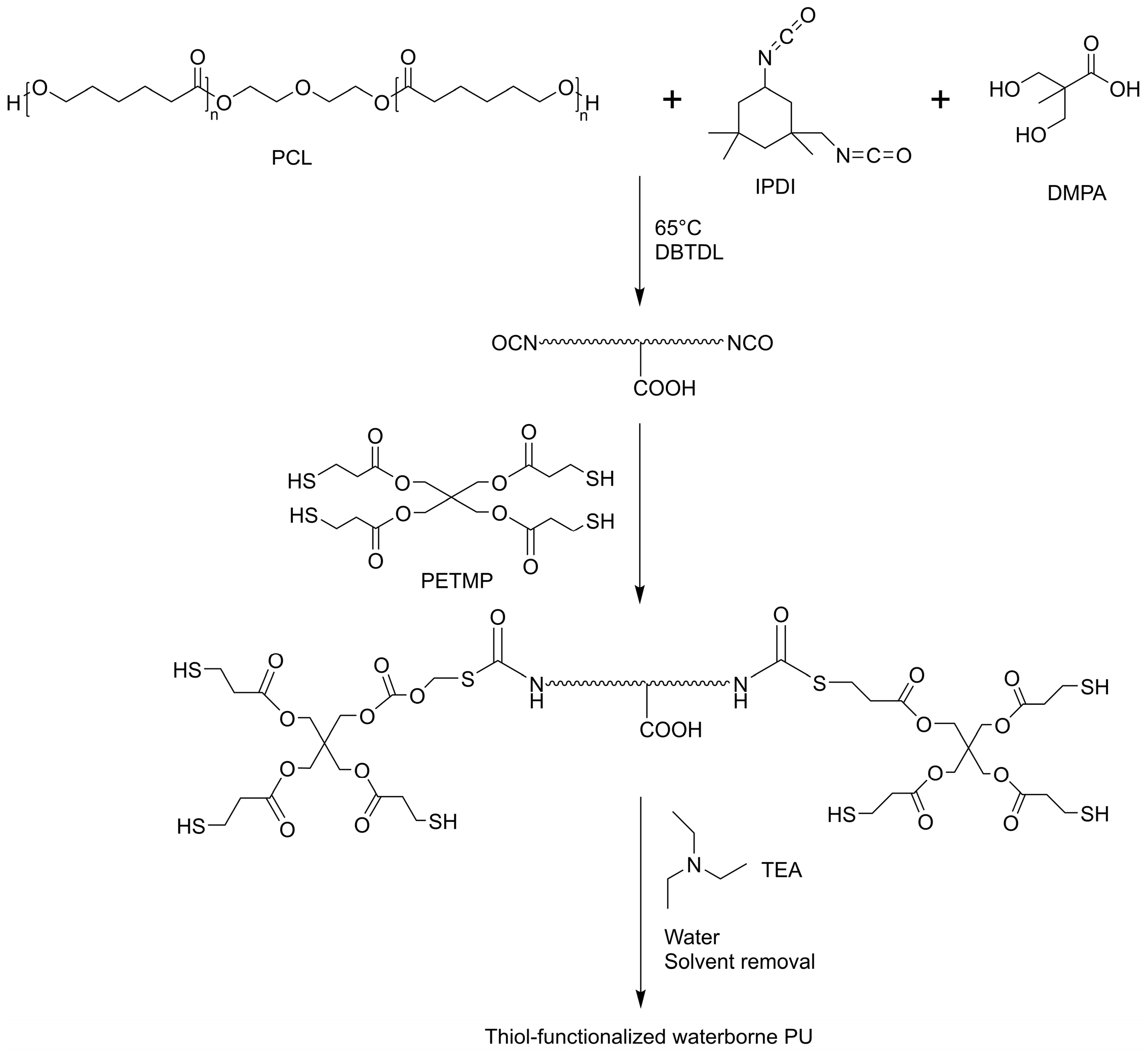
2.2. Synthesis of Thiol-Functionalized Waterborne Polyurethane (Thiol-WPU)
2.3. Synthesis of Ene-Functionalized Waterborne Polyurethane (Ene-WPU)
2.4. Coating Preparation
2.5. Characterization
3. Results and Discussion
3.1. Analysis of Ene-WPU, Thiol-WPU, and Cured WPU Film
3.2. Thermal Behavior of WPU Coatings
3.3. Surface Morphology of WPU Coatings
3.4. Mechanical and General Coatings Properties of WPU Coatings
4. Conclusions
Author Contributions
Funding
Data Availability Statement
Acknowledgments
Conflicts of Interest
References
- Kotanen, S.; Poikelispää, M.; Efimov, A.; Harjunalanen, T.; Mills, C.; Laaksonen, T.; Sarlin, E. Hydrolytic Stability of Polyurethane/Polyhydroxyurethane Hybrid Adhesives. Int. J. Adhes. Adhes. 2021, 110, 102950. [Google Scholar] [CrossRef]
- Król, P. Synthesis Methods, Chemical Structures and Phase Structures of Linear Polyurethanes. Properties and Applications of Linear Polyurethanes in Polyurethane Elastomers, Copolymers and Ionomers. Prog. Mater. Sci. 2007, 52, 915–1015. [Google Scholar] [CrossRef]
- Selvasembian, R.; Gwenzi, W.; Chaukura, N.; Mthembu, S. Recent Advances in the Polyurethane-Based Adsorbents for the Decontamination of Hazardous Wastewater Pollutants. J. Hazard. Mater. 2021, 417, 125960. [Google Scholar] [CrossRef]
- Zhang, L.; Huang, Y.; Dong, H.; Xu, R.; Jiang, S. Flame-Retardant Shape Memory Polyurethane/MXene Paper and the Application for Early Fire Alarm Sensor. Compos. B Eng. 2021, 223, 109149. [Google Scholar] [CrossRef]
- Peyrton, J.; Avérous, L. Structure-Properties Relationships of Cellular Materials from Biobased Polyurethane Foams. Mater. Sci. Eng. R Rep. 2021, 145, 100608. [Google Scholar] [CrossRef]
- Gama, N.; Godinho, B.; Madureira, P.; Marques, G.; Barros-Timmons, A.; Ferreira, A. Polyurethane Recycling Through Acidolysis: Current Status and Prospects for the Future. J. Polym. Environ. 2024, 32, 4777–4793. [Google Scholar] [CrossRef]
- Paraskar, P.M.; Prabhudesai, M.S.; Hatkar, V.M.; Kulkarni, R.D. Vegetable Oil Based Polyurethane Coatings—A Sustainable Approach: A Review. Prog. Org. Coat. 2021, 156, 106267. [Google Scholar] [CrossRef]
- Bakhshi, H.; Yeganeh, H.; Yari, A.; Nezhad, S.K. Castor Oil-Based Polyurethane Coatings Containing Benzyl Triethanol Ammonium Chloride: Synthesis, Characterization, and Biological Properties. J. Mater. Sci. 2014, 49, 5365–5377. [Google Scholar] [CrossRef]
- Ling, Z.; Zhou, Q. Synthesis and Properties of Linseed Oil-Based Waterborne Non-Isocyanate Polyurethane Coating. Green Chem. 2023, 25, 10082–10090. [Google Scholar] [CrossRef]
- Zhang, W.; Wang, T.; Zheng, Z.; Quirino, R.L.; Xie, F.; Li, Y.; Zhang, C. Plant Oil-Based Non-Isocyanate Waterborne Poly(Hydroxyl Urethane)s. Chem. Eng. J. 2023, 452, 138965. [Google Scholar] [CrossRef]
- Xing, Y.; Li, X.; Xu, J.; Zhang, F. Organosilicon-Modified Double Crosslinked Waterborne Polyurethane Coatings. Prog. Org. Coat. 2024, 190, 108372. [Google Scholar] [CrossRef]
- Zhang, J.; Zhai, R.; Zhang, J.; Li, J.; Hong, C.; Xu, Y.; Zhou, C. Waterborne Polyurethane Based on Dual Crosslinked Structure with Excellent Mechanical Properties, Water and Corrosion Resistance. Prog. Org. Coat. 2024, 197, 108784. [Google Scholar] [CrossRef]
- Xiong, W.; Chen, B.; Peng, J.; Luo, X.; Pan, X.; Xiao, Z.; Gong, W.; Huang, Z.; Chu, Z.; Zhang, X.; et al. A Dual-Crosslinking Strategy for Waterborne Polyurethane Coatings to Achieve Outstanding Anti-Smudge and Anti-Corrosion Properties. Chem. Eng. J. 2024, 490, 151509. [Google Scholar] [CrossRef]
- Ling, Z.; Zhang, C.; Zhou, Q. Synthesis and Characterization of 1 K Waterborne Non-Isocyanate Polyurethane Epoxy Hybrid Coating. Prog. Org. Coat. 2022, 169, 106915. [Google Scholar] [CrossRef]
- Decker, C. Kinetic Study and New Applications of UV Radiation Curing. Macromol. Rapid Commun. 2002, 23, 1067–1093. [Google Scholar] [CrossRef]
- Hoyle, C.E.; Bowman, C.N. Thiol-Ene Click Chemistry. Angew. Chem. Int. Ed. 2010, 49, 1540–1573. [Google Scholar] [CrossRef]
- Antosik, A.K.; Mozelewska, K.; Czech, Z.; Piątek-Hnat, M. Influence of Montmorillonite on the Properties of Silicone Pressure-Sensitive Adhesives: Preparation of a Double-Sided Tape Based on the Best Composition. Silicon 2020, 12, 1887–1893. [Google Scholar] [CrossRef]
- Yang, Z.; Wicks, D.A.; Hoyle, C.E.; Pu, H.; Yuan, J.; Wan, D.; Liu, Y. Newly UV-Curable Polyurethane Coatings Prepared by Multifunctional Thiol- and Ene-Terminated Polyurethane Aqueous Dispersions Mixtures: Preparation and Characterization. Polymer 2009, 50, 1717–1722. [Google Scholar] [CrossRef]
- Li, T.; Zhang, Z.P.; Rong, M.Z.; Zhang, M.Q. Self-Healable and Thiol–Ene UV-Curable Waterborne Polyurethane for Anticorrosion Coating. J. Appl. Polym. Sci. 2019, 136, 47700. [Google Scholar] [CrossRef]
- Yuan, H.; Lu, X.; Zeng, Z.; Yang, J.; Chen, Y. Allyl Ether-Modified Unsaturated Polyesters for UV/Air Dual-Curable Coatings. I: Synthesis and Characterization of the Oligomers and Their Cured Films. J. Appl. Polym. Sci. 2004, 92, 2765–2770. [Google Scholar] [CrossRef]
- Schreck, K.M.; Leung, D.; Bowman, C.N. Hybrid Organic/Inorganic Thiol-Ene-Based Photopolymerized Networks. Macromolecules 2011, 44, 7520–7529. [Google Scholar] [CrossRef] [PubMed]
- Nagai, A.; Ochiai, B.; Endo, T. Synthesis and Radical Polymerization of a Novel Macromonomer Obtained by Living Cationic Ring-Opening Polymerization of an Optically Active Cyclic Thiourethane by a New Initiator Carrying Styryl Group. Macromolecules 2004, 37, 4417–4421. [Google Scholar] [CrossRef]
- Ozukanar, O.; Çakmakçi, E.; Sagdic, G.; Gunay, U.S.; Durmaz, H.; Kumbaraci, V. Eugenol-DOPO: A Bio-Based Phosphorous-Containing Monomer for Thiol-Ene Photocurable Thermosets. J. Polym. Environ. 2023, 31, 3259–3271. [Google Scholar] [CrossRef]
- Saller, K.M.; Hubner, G.; Schwarzinger, C. Introducing Free Carboxylic Acid Groups along Polyester Chains Using Dimethylolpropionic Acid as Diol Component. Eur. Polym. J. 2023, 198, 112442. [Google Scholar] [CrossRef]
- Wu, J.; Wang, C.; Mu, C.; Lin, W. A Waterborne Polyurethane Coating Functionalized by Isobornyl with Enhanced Antibacterial Adhesion and Hydrophobic Property. Eur. Polym. J. 2018, 108, 498–506. [Google Scholar] [CrossRef]
- Yu, L.; Wang, L.H.; Hu, Z.T.; You, Y.Z.; Wu, D.C.; Hong, C.Y. Sequential Michael Addition Thiol–Ene and Radical-Mediated Thiol–Ene Reactions in One-Pot Produced Sequence-Ordered Polymers. Polym. Chem. 2015, 6, 1527–1532. [Google Scholar] [CrossRef]
- Aoyagi, S.; Shimasaki, T.; Teramoto, N.; Shibata, M. Bio-Based Polymer Networks by Thiol-Ene Photopolymerization of Allylated l-Glutamic Acids and l-Tyrosines. Eur. Polym. J. 2018, 101, 151–158. [Google Scholar] [CrossRef]
- Lebedevaite, M.; Ostrauskaite, J. Influence of Photoinitiator and Temperature on Photocross-Linking Kinetics of Acrylated Epoxidized Soybean Oil and Properties of the Resulting Polymers. Ind. Crop. Prod. 2021, 161, 113210. [Google Scholar] [CrossRef]
- Narupai, B.; Wong, J.; Sanchez-Rexach, E.; Smith-Jones, J.; Le, V.C.T.; Sadaba, N.; Sardon, H.; Nelson, A. 3D Printing of Ionic Liquid Polymer Networks for Stretchable Conductive Sensors. Adv. Mater. Technol. 2023, 8, 2300226. [Google Scholar] [CrossRef]
- Ling, Z.; Zhou, Q. Effects of NIR-Reflective Pigments on Waterborne Polyurethane Coatings and Their Thermal Insulation Performance. Prog. Org. Coat. 2024, 196, 108678. [Google Scholar] [CrossRef]
- Yong, Q.; Pang, H.; Liao, B.; Mo, W.; Huang, F.; Huang, H.; Zhao, Y. Preparation and Characterization of Low Gloss Aqueous Coating via Forming Self-Roughed Surface Based on Waterborne Polyurethane Acrylate Hybrid Emulsion. Prog. Org. Coat. 2018, 115, 18–26. [Google Scholar] [CrossRef]










| Sample | Mn (g/mol) | Mw (g/mol) | PDI |
|---|---|---|---|
| Ene-WPU | 7075 | 9635 | 1.36 |
| Thiol-WPU | 10,543 | 20,840 | 1.98 |
| ε (%) a | σ (MPa) b | E (MPa) c | |
|---|---|---|---|
| WPU-1 (UV) | 184.20 ± 24.56 | 4.10 ± 0.65 | 3.46 ± 0.41 |
| WPU-3 (UV) | 149.94 ± 16.49 | 3.06 ± 0.89 | 3.95 ± 0.22 |
| WPU-5 (UV) | 195.07 ± 38.68 | 3.80 ± 1.19 | 3.43 ± 0.36 |
| WPU-1 (Sun) | 82.56 ± 9.95 | 1.68 ± 0.23 | 4.02 ± 0.25 |
| WPU-3 (Sun) | 204.38 ± 23.52 | 8.62 ± 1.88 | 8.34 ± 3.00 |
| WPU-5 (Sun) | 119.91± 22.07 | 1.85 ± 0.71 | 4.12 ± 0.34 |
| Pendulum Hardness (s) | Pencil Hardness | Solvent Resistance | Impact Resistance (kg·cm) | |
|---|---|---|---|---|
| WPU (uncured) | 3 | <5B | 26 | 200 + |
| WPU-1 (UV) | 17 | H | 42 | 200 + |
| WPU-3 (UV) | 17 | H | 48 | 200 + |
| WPU-5 (UV) | 17 | H | 45 | 200 + |
| WPU-1 (Sun) | 17 | H | 40 | 200 + |
| WPU-3 (Sun) | 16 | H | 37 | 200 + |
| WPU-5 (Sun) | 16 | H | 41 | 200 + |
Disclaimer/Publisher’s Note: The statements, opinions and data contained in all publications are solely those of the individual author(s) and contributor(s) and not of MDPI and/or the editor(s). MDPI and/or the editor(s) disclaim responsibility for any injury to people or property resulting from any ideas, methods, instructions or products referred to in the content. |
© 2025 by the authors. Licensee MDPI, Basel, Switzerland. This article is an open access article distributed under the terms and conditions of the Creative Commons Attribution (CC BY) license (https://creativecommons.org/licenses/by/4.0/).
Share and Cite
Ling, Z.; Wang, H.; Zhou, Q. 2K UV- and Sunlight-Curable Waterborne Polyurethane Coating Through Thiol-Ene Click Reaction. J. Compos. Sci. 2025, 9, 217. https://doi.org/10.3390/jcs9050217
Ling Z, Wang H, Zhou Q. 2K UV- and Sunlight-Curable Waterborne Polyurethane Coating Through Thiol-Ene Click Reaction. Journal of Composites Science. 2025; 9(5):217. https://doi.org/10.3390/jcs9050217
Chicago/Turabian StyleLing, Zichen, Haoran Wang, and Qixin Zhou. 2025. "2K UV- and Sunlight-Curable Waterborne Polyurethane Coating Through Thiol-Ene Click Reaction" Journal of Composites Science 9, no. 5: 217. https://doi.org/10.3390/jcs9050217
APA StyleLing, Z., Wang, H., & Zhou, Q. (2025). 2K UV- and Sunlight-Curable Waterborne Polyurethane Coating Through Thiol-Ene Click Reaction. Journal of Composites Science, 9(5), 217. https://doi.org/10.3390/jcs9050217

