Synthesis and Properties of Rubidium Salts of Phosphotungstic Acid
Abstract
:1. Introduction
2. Experimental
2.1. Synthesis of the Rubidium Salts of PTA
2.2. Sample Characterization
3. Results and Discussion
3.1. Sample Composition and Morphology
3.2. Crystalline Phases
3.3. FTIR Spectra
3.4. Water Content
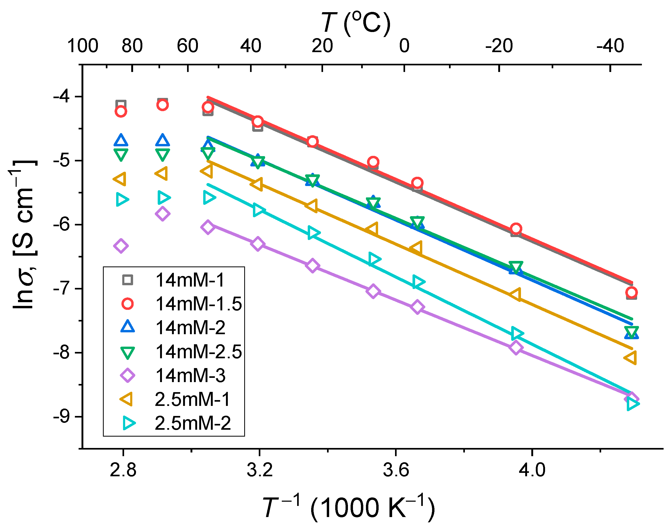
3.5. Ionic Conductivity
4. Conclusions
Author Contributions
Funding
Data Availability Statement
Acknowledgments
Conflicts of Interest
References
- Asensio, J.A.; Sánchez, E.M.; Gómez-Romero, P. Proton-Conducting Membranes Based on Benzimidazole Polymers for High-Temperature PEM Fuel Cells. A Chemical Quest. Chem. Soc. Rev. 2010, 39, 3210. [Google Scholar] [CrossRef]
- Herring, A.M. Inorganic–Polymer Composite Membranes for Proton Exchange Membrane Fuel Cells. J. Macromol. Sci. Part C Polym. Rev. 2006, 46, 245–296. [Google Scholar] [CrossRef]
- Amirinejad, M.; Madaeni, S.S.; Navarra, M.A.; Rafiee, E.; Scrosati, B. Preparation and Characterization of Phosphotungstic Acid-Derived Salt/Nafion Nanocomposite Membranes for Proton Exchange Membrane Fuel Cells. J. Power Sources 2011, 196, 988–998. [Google Scholar] [CrossRef]
- Treglazov, I.; Leonova, L.; Dobrovolsky, Y.; Ryabov, A.; Vakulenko, A.; Vassiliev, S. Electrocatalytic Effects in Gas Sensors Based on Low-Temperature Superprotonics. Sens. Actuators B Chem. 2005, 106, 164–169. [Google Scholar] [CrossRef]
- Ayranci, R.; Torlak, Y.; Soganci, T.; Ak, M. Trilacunary Keggin Type Polyoxometalate-Conducting Polymer Composites for Amperometric Glucose Detection. J. Electrochem. Soc. 2018, 165, B638–B643. [Google Scholar] [CrossRef]
- Morosanova, M.A.; Morosanova, E.I. Silica-Titania Xerogel Doped with Mo,P-Heteropoly Compounds for Solid Phase Spectrophotometric Determination of Ascorbic Acid in Fruit Juices, Pharmaceuticals, and Synthetic Urine. Chem. Cent. J. 2017, 11, 3. [Google Scholar] [CrossRef]
- Kim, C.; Wu, I.; Kuo, M.-C.; Carmosino, D.J.; Bloom, E.W.; Seifert, S.; Cullen, D.A.; Ha, P.; Lindell, M.J.; Jiang, R.; et al. Improved Fuel Cell Chemical Durability of an Heteropoly Acid Functionalized Perfluorinated Terpolymer-Perfluorosulfonic Acid Composite Membrane. J. Electrochem. Soc. 2023, 170, 024505. [Google Scholar] [CrossRef]
- Motz, A.R.; Kuo, M.-C.; Bender, G.; Pivovar, B.S.; Herring, A.M. Heteropoly Acid Functionalized Membranes for High Performance and Chemically Stable Fuel Cell Operation. ECS Trans. 2018, 86, 421–429. [Google Scholar] [CrossRef]
- Liu, Y.; Zhang, J.; Lu, S.; Xiang, Y. Polyoxometalate-Based Electrolyte Materials in Redox Flow Batteries: Current Trends and Emerging Opportunities. Mater. Rep. Energy 2022, 2, 100094. [Google Scholar] [CrossRef]
- Barros, Á.; Artetxe, B.; Eletxigerra, U.; Aranzabe, E.; Gutiérrez-Zorrilla, J.M. Systematic Approach to the Synthesis of Cobalt-Containing Polyoxometalates for Their Application as Energy Storage Materials. Materials 2023, 16, 5054. [Google Scholar] [CrossRef]
- Enferadi-Kerenkan, A.; Do, T.-O.; Kaliaguine, S. Heterogeneous Catalysis by Tungsten-Based Heteropoly Compounds. Catal. Sci. Technol. 2018, 8, 2257–2284. [Google Scholar] [CrossRef]
- Bhadra, K.H.; Yadav, G.D. Atom Economical Benzylation of Phenol with Benzyl Alcohol Using 20 % (w/w)Cs2.5H0.5PW12O40 Supported on Mesocellular Foam Silica (MCF) and Its Kinetics. Microporous Mesoporous Mater. 2018, 263, 190–200. [Google Scholar] [CrossRef]
- Galadima, A.; Muraza, O. Role of Zeolite Catalysts for Benzene Removal from Gasoline via Alkylation: A Review. Microporous Mesoporous Mater. 2015, 213, 169–180. [Google Scholar] [CrossRef]
- Zurowski, A.; Kolary-Zurowska, A.; Marassi, R.; Kulesza, P.J. Development of Multifunctional Catalysts for Electrooxidation of Ethanol. ECS Trans. 2010, 25, 147–154. [Google Scholar] [CrossRef]
- Osipov, A.K.; Safronova, E.Y.; Yaroslavtsev, A.B. Hybrid Materials Based on the Nafion Membrane and Acid Salts of Heteropoly Acids MxH3−xPW12O40 and MxH4−xSiW12O40 (M = Rb and Cs). Pet. Chem. 2016, 56, 1014–1019. [Google Scholar] [CrossRef]
- Akbari, S.; Hamed Mosavian, M.T.; Moosavi, F.; Ahmadpour, A. Elucidating the Morphological Aspects and Proton Dynamics in a Hybrid Perfluorosulfonic Acid Membrane for Medium-Temperature Fuel Cell Applications. Phys. Chem. Chem. Phys. 2018, 20, 29778–29789. [Google Scholar] [CrossRef]
- Okamoto, K.; Uchida, S.; Ito, T.; Mizuno, N. Self-Organization of All-Inorganic Dodecatungstophosphate Nanocrystallites. J. Am. Chem. Soc. 2007, 129, 7378–7384. [Google Scholar] [CrossRef]
- Matachowski, L.; Drelinkiewicz, A.; Rachwalik, R.; Zimowska, M.; Mucha, D.; Ruggiero-Mikołajczyk, M. Preparation and Characterization of Mesoporous Cs2HPW12O40 Salt, Active in Transformation of m-Xylene. Appl. Catal. A Gen. 2013, 450, 19–27. [Google Scholar] [CrossRef]
- Izumi, Y.; Ogawa, M.; Urabe, K. Alkali Metal Salts and Ammonium Salts of Keggin-Type Heteropolyacids as Solid Acid Catalysts for Liquid-Phase Friedel-Crafts Reactions. Appl. Catal. A Gen. 1995, 132, 127–140. [Google Scholar] [CrossRef]
- Ukshe, E.A.; Leonova, L.S.; Korosteleva, A.I. Protonic Conduction in Heteropoly Compounds. Solid State Ion. 1989, 36, 219–223. [Google Scholar] [CrossRef]
- Shmygleva, L.V.; Kayumov, R.R.; Baranov, A.A.; Shilov, G.V.; Leonova, L.S. Influence of Calcination Temperature of Acidic Ammonium Salts of Phosphotungstic Acid on Their Composition and Properties. J. Solid State Chem. 2021, 303, 122527. [Google Scholar] [CrossRef]
- Safronova, E.Y.; Osipov, A.K.; Baranchikov, A.E.; Yaroslavtsev, A.B. Proton Conductivity of MxH3−xPX12O40 and MxH4−xSiX12O40 (M = Rb, Cs; X = W, Mo) Acid Salts of Heteropolyacids. Inorg. Mater. 2015, 51, 1157–1162. [Google Scholar] [CrossRef]
- Baranov, A.A.; Domashnev, D.I.; Leonova, L.S.; Belmesov, A.A.; Antonenko, A.O.; Nefedov, D.Y.; Shmygleva, L.V.; Dobrovolsky, Y.A. Effect of Solution PH on Morphology and Electrochemical Properties of Cesium Salts of Phosphotungstic Acid. Mater. Sci. Eng. B Solid-State Mater. Adv. Technol. 2020, 256, 114544. [Google Scholar] [CrossRef]
- Baranov, A.; Leonova, L.; Belmesov, A.; Domashnev, D.; Levchenko, A.; Shmygleva, L.; Karelin, A.; Dremova, N.; Dobrovolsky, Y. Acidic Cesium Salts of Phosphotungstic Acid: Morphology, Water Content and Ionic Conductivity. Solid State Ion. 2022, 379, 115902. [Google Scholar] [CrossRef]
- Okuhara, T.; Watanabe, H.; Nishimura, T.; Inumaru, K.; Misono, M. Microstructure of Cesium Hydrogen Salts of 12-Tungstophosphoric Acid Relevant to Novel Acid Catalysis. Chem. Mater. 2000, 12, 2230–2238. [Google Scholar] [CrossRef]
- Inumaru, K.; Nakajima, H.; Ito, T.; Misono, M. Porous Aggregates of Unidirectionally Oriented (NH4)3PW12O40 Microcrystallites: Epitaxial Self-Assembly. Chem. Lett. 1996, 25, 559–560. [Google Scholar] [CrossRef]
- Inumaru, K. “Sponge Crystal”: A Novel Class of Microporous Single Crystals Formed by Self-Assembly of Polyoxometalate (NH4)3PW12O40 Nanocrystallites. Catal. Surv. Asia 2006, 10, 151–160. [Google Scholar] [CrossRef]
- Chikin, A.I.; Chernyak, A.V.; Jin, Z.; Naumova, Y.S.; Ukshe, A.E.; Smirnova, N.V.; Volkov, V.I.; Dobrovolsky, Y.A. Mobility of Protons in 12-Phosphotungstic Acid and Its Acid and Neutral Salts. J. Solid State Electrochem. 2012, 16, 2767–2775. [Google Scholar] [CrossRef]
- Holclajtner-Antunović, I.; Bajuk-Bogdanović, D.; Popa, A.; Sasca, V.; Nedić Vasiljević, B.; Rakić, A.; Uskoković-Marković, S. Preparation, Characterization and Catalytic Activity of Mesoporous Ag2HPW12O40/SBA-15 and Ag2HPW12O40/TiO2 Composites. Mater. Chem. Phys. 2015, 160, 359–368. [Google Scholar] [CrossRef]
- Holclajtner-Antunović, I.; Bajuk-Bogdanović, D.; Popa, A.; Nedić Vasiljević, B.; Krstić, J.; Mentus, S.; Uskoković-Marković, S. Structural, Morphological and Catalytic Characterization of Neutral Ag Salt of 12-Tungstophosphoric Acid: Influence of Preparation Conditions. Appl. Surf. Sci. 2015, 328, 466–474. [Google Scholar] [CrossRef]
- Okuhara, T. Water-Tolerant Solid Acid Catalysts. Chem. Rev. 2002, 102, 3641–3666. [Google Scholar] [CrossRef]
- Corma, A.; Martínez, A.; Martínez, C. Acidic Cs+, NH4+, and K+ Salts of 12-Tungstophosphoric Acid as Solid Catalysts for Isobutane/2-Butene Alkylation. J. Catal. 1996, 164, 422–432. [Google Scholar] [CrossRef]
- Okuhara, T. Microporous Heteropoly Compounds and Their Shape Selective Catalysis. Appl. Catal. A Gen. 2003, 256, 213–224. [Google Scholar] [CrossRef]
- Moradgholi, F.; Lari, J.; Parsa, M.V.; Mirkharrazi, M. Nano-Rb2HPW12O40 as an Efficient and Novel Catalyst for One-Pot Synthesis of β-Amino Ketones. Acta Chim. Slov. 2016, 63, 781–789. [Google Scholar] [CrossRef] [PubMed]
- Park, S.; Lee, S.H.; Song, S.H.; Park, D.R.; Baeck, S.-H.; Kim, T.J.; Chung, Y.-M.; Oh, S.-H.; Song, I.K. Direct Synthesis of Hydrogen Peroxide from Hydrogen and Oxygen over Palladium-Exchanged Insoluble Heteropolyacid Catalysts. Catal. Commun. 2009, 10, 391–394. [Google Scholar] [CrossRef]
- Lewis, R.J.; Edwards, J.K.; Freakley, S.J.; Hutchings, G.J. Solid Acid Additives as Recoverable Promoters for the Direct Synthesis of Hydrogen Peroxide. Ind. Eng. Chem. Res. 2017, 56, 13287–13293. [Google Scholar] [CrossRef]
- Healy, T.V. Heteropoly Salts. Radiochim. Acta 1964, 2, 146–156. [Google Scholar] [CrossRef]
- Menegazzo, F.; Signoretto, M.; Ghedini, E.; Strukul, G. Looking for the “Dream Catalyst” for Hydrogen Peroxide Production from Hydrogen and Oxygen. Catalysts 2019, 9, 251. [Google Scholar] [CrossRef]
- Bretzler, P.; Köhler, K.; Nikiforov, A.V.; Christensen, E.; Berg, R.W.; Bjerrum, N.J. Efficient Water Splitting Electrolysis on a Platinum-Free Tungsten Carbide Electrocatalyst in Molten CsH2PO4 at 350–390 °C. Int. J. Hydrogen Energy 2020, 45, 21262–21272. [Google Scholar] [CrossRef]
- Osipov, A.K.; Volkov, A.O.; Safronova, E.Y.; Yaroslavtsev, A.B. Ion Transfer Asymmetry in Nafion Membranes with Gradient Distribution of Acid Salts of Heteropoly Acids. Russ. J. Inorg. Chem. 2017, 62, 723–728. [Google Scholar] [CrossRef]
- Pérez-Maqueda, L.A.; Matijević, E. Preparation of Uniform Colloidal Particles of Salts of Tungstophosphoric Acid. Chem. Mater. 1998, 10, 1430–1435. [Google Scholar] [CrossRef]
- Akbay, E.Ö.; Demir, G. A Comparative Study on Characterization of 12-Tungstophosphoric Acid Cesium Salt Depending on Synthesis Methods. Asian J. Chem. 2014, 26, 6061–6066. [Google Scholar] [CrossRef]
- Satam, J.R.; Jayaram, R.V. Acetylation of Alcohols, Phenols and Amines Using Ammonium Salt of 12-Tungstophosphoric Acid: Environmentally Benign Method. Catal. Commun. 2008, 9, 2365–2370. [Google Scholar] [CrossRef]
- Santos, J.S.; Dias, J.A.; Dias, S.C.L.; Garcia, F.A.C.; MacEdo, J.L.; Sousa, F.S.G.; Almeida, L.S. Mixed Salts of Cesium and Ammonium Derivatives of 12-Tungstophosphoric Acid: Synthesis and Structural Characterization. Appl. Catal. A Gen. 2011, 394, 138–148. [Google Scholar] [CrossRef]
- Holclajtner-Antunović, I.; Mioč, U.B.; Todorović, M.; Jovanović, Z.; Davidović, M.; Bajuk-Bogdanović, D.; Laušević, Z. Characterization of Potassium Salts of 12-Tungstophosphoric Acid. Mater. Res. Bull. 2010, 45, 1679–1684. [Google Scholar] [CrossRef]
- Todorović, M.R.; Holclajtner-Antunović, I.; Mioč, U.B.; Bajuk-Bogdanović, D. Characterization of Insoluble Monovalent K+, Tl+ and Ag+ Salts of 12-Tungstophosphoric Acid. Mater. Sci. Forum 2007, 555, 207–212. [Google Scholar] [CrossRef]
- Holclajtner-Antunović, I.D.; Popa, A.; Bajuk-Bogdanović, D.V.; Mentus, S.; Nedić Vasiljević, B.M.; Uskoković-Marković, S.M. Synthesis and Characterization of Acid Silver Salts of 12-Tungstophosphoric Acid. Inorganica Chim. Acta 2013, 407, 197–203. [Google Scholar] [CrossRef]
- Zhu, S.; Gao, X.; Dong, F.; Zhu, Y.; Zheng, H.; Li, Y. Design of a Highly Active Silver-Exchanged Phosphotungstic Acid Catalyst for Glycerol Esterification with Acetic Acid. J. Catal. 2013, 306, 155–163. [Google Scholar] [CrossRef]
- Rosenheim, A.; Jaenicke, J. Zur Kenntnis Der Iso- und Heteropolysäuren. XV. Mitteilung Über Heteropolywolframate und Einige Heteropolymolybdänate. Z. Anorg. Allg. Chem. 1917, 101, 235–275. [Google Scholar] [CrossRef]
- Papynov, E.K.; Portnyagin, A.S.; Modin, E.B.; Mayorov, V.Y.; Shichalin, O.O.; Golikov, A.P.; Pechnikov, V.S.; Gridasova, E.A.; Tananaev, I.G.; Avramenko, V.A. A Complex Approach to Assessing Porous Structure of Structured Ceramics Obtained by SPS Technique. Mater. Charact. 2018, 145, 294–302. [Google Scholar] [CrossRef]
- Essayem, N.; Coudurier, G.; Fournier, M.; Védrine, J.C. Acidic and Catalytic Properties of CsxH3-XPW12O40 Heteropolyacid Compounds. Catal. Lett. 1995, 34, 223–235. [Google Scholar] [CrossRef]
- Inumaru, K.; Nakajima, H.; Hashimoto, M.; Misono, M. Catalysis Heteropoly Compounds. Part 39. Preparation of Acidic Ammonium Dodecatungstophosphate Catalysts by Homogeneous Precipitation and Their Structures. Nippon Kagaki Kaishi 1998, 6, 390–397. [Google Scholar] [CrossRef]
- Gayraud, P.Y.; Essayem, N.; Védrine, J.C. H3PW12O40 Acid Dispersed on Its Cs Salt: Improvement of Its Catalytic Properties by Mechanical Mixture and Grinding. Catal. Lett. 1998, 56, 35–41. [Google Scholar] [CrossRef]
- Chzhao, T.; Ukshe, A.E.; Leonova, L.S.; Dobrovol’skii, Y.A. Platinized-Heteropolycompound-Based Nanostructured Catalysts for Low-Temperature Hydrogen-Air Fuel Cells. Russ. J. Electrochem. 2011, 47, 595–604. [Google Scholar] [CrossRef]
- Okuhara, T.; Mizuno, N.; Misono, M. Catalytic Chemistry of Heteropoly Compounds. Adv. Catal. 1996, 41, 113–252. [Google Scholar] [CrossRef]
- Matachowski, L.; Drelinkiewicz, A.; Mucha, D.; Kryściak-Czerwenka, J.; Rachwalik, R. Preparation of Active Cs2HPW12O40 Catalyst with the ‘Core–Shell’ Secondary Structure by a Self-Organizing Process. Appl. Catal. A Gen. 2014, 469, 239–249. [Google Scholar] [CrossRef]
- Essayem, N.; Holmqvist, A.; Gayraud, P.; Vedrine, J.; Ben Taarit, Y. In Situ FTIR Studies of the Protonic Sites of H3PW12O40 and Its Acidic Cesium Salts MxH3−xPW12O40. J. Catal. 2001, 197, 273–280. [Google Scholar] [CrossRef]







| Sample | Theoretical x | x by EDX | Particle Size, μm | SSA, m2 g–1 | Vmicro (cm3g−1) | V (cm3g−1) | |
|---|---|---|---|---|---|---|---|
| BET | DFT | ||||||
| 14mM-1 | 1 | 2.2 | 0.40 | 83.9 | 0.01 t | 0.11 | 0.091 |
| 14mM-1.5 | 1.5 | 2.2 | 0.30 | 84.1 | 0.011 t | 0.15 | 0.130 |
| 14mM-2 | 2 | 2.2 | 0.42 | 98.6 | 0.010 t | 0.074 | 0.061 |
| 14mM-2.5 | 2.5 | 2.0 | 0.49 | 114 | 0.010 t | – | – |
| 14mM-3 | 3 | 2.6 | 0.50 | 123 | 0.048 DR | – | 0.060 |
| 2.5mM-1 | 1 | 1.7 | 0.34 | 70.6 | 0.007 t | 0.10 | 0.086 |
| 2.5mM-2 | 2 | 2.9 | 0.47 | 120 | 0.040 DR | – | 0.057 |
| Sample | Lattice Parameter a = b = c, Ȧ | Occupancy of Rb Atoms | LXRD, nm | Unit Cell Volume V, nm3 |
|---|---|---|---|---|
| 14mM-1 | 11.681 | 0.8773 | 21.7 | 1.594 |
| 14mM-1.5 | 11.684 | 0.8773 | 41.4 | 1.595 |
| 14mM-2 | 11.682 | 0.9463 | 25.2 | 1.594 |
| 14mM-2.5 | 11.672 | 0.9982 | 20.4 | 1.590 |
| 14mM-3 | 11.669 | 1.0410 | 18.8 | 1.589 |
| 2.5mM-1 | 11.677 | 0.8812 | 45.9 | 1.589 |
| 2.5mM-2 | 11.682 | 0.9891 | 19.7 | 1.589 |
| Sample | n | σ25°C, mS cm−1 | Eσ, eV |
|---|---|---|---|
| 14mM-1 | 6.2 | 9.0 | 0.20 |
| 14mM-1.5 | 5.4 | 9.1 | 0.20 |
| 14mM-2 | 6.7 | 4.9 | 0.20 |
| 14mM-2.5 | 6.8 | 5.0 | 0.19 |
| 14mM-3 | 8.6 | 1.3 | 0.19 |
| 2.5mM-1 | 3.8 | 3.3 | 0.20 |
| 2.5mM-2 | 7.1 | 2.2 | 0.22 |
Disclaimer/Publisher’s Note: The statements, opinions and data contained in all publications are solely those of the individual author(s) and contributor(s) and not of MDPI and/or the editor(s). MDPI and/or the editor(s) disclaim responsibility for any injury to people or property resulting from any ideas, methods, instructions or products referred to in the content. |
© 2023 by the authors. Licensee MDPI, Basel, Switzerland. This article is an open access article distributed under the terms and conditions of the Creative Commons Attribution (CC BY) license (https://creativecommons.org/licenses/by/4.0/).
Share and Cite
Belmesov, A.A.; Glukhov, A.A.; Tsvetkov, M.V.; Shmygleva, L.V.; Shikhov, T.A.; Lembikov, A.O.; Belov, A.A.; Ivanov, N.P.; Shichalin, O.O. Synthesis and Properties of Rubidium Salts of Phosphotungstic Acid. J. Compos. Sci. 2023, 7, 454. https://doi.org/10.3390/jcs7110454
Belmesov AA, Glukhov AA, Tsvetkov MV, Shmygleva LV, Shikhov TA, Lembikov AO, Belov AA, Ivanov NP, Shichalin OO. Synthesis and Properties of Rubidium Salts of Phosphotungstic Acid. Journal of Composites Science. 2023; 7(11):454. https://doi.org/10.3390/jcs7110454
Chicago/Turabian StyleBelmesov, Andrey A., Alexander A. Glukhov, Maxim V. Tsvetkov, Lyubov V. Shmygleva, Timofey A. Shikhov, Aleksey O. Lembikov, Anton A. Belov, Nikita P. Ivanov, and Oleg O. Shichalin. 2023. "Synthesis and Properties of Rubidium Salts of Phosphotungstic Acid" Journal of Composites Science 7, no. 11: 454. https://doi.org/10.3390/jcs7110454
APA StyleBelmesov, A. A., Glukhov, A. A., Tsvetkov, M. V., Shmygleva, L. V., Shikhov, T. A., Lembikov, A. O., Belov, A. A., Ivanov, N. P., & Shichalin, O. O. (2023). Synthesis and Properties of Rubidium Salts of Phosphotungstic Acid. Journal of Composites Science, 7(11), 454. https://doi.org/10.3390/jcs7110454

