Dental Bulk-Fill Resin Composites Polymerization Efficiency: A Systematic Review and Meta-Analysis
Abstract
1. Introduction
2. Materials and Methods
2.1. Search Strategy
2.2. Inclusion and Exclusion Criteria
2.3. Study Selection
2.4. Risk of Bias
2.5. Data Extraction
2.6. Summary Measures
2.7. Statistical Analyses
3. Results
3.1. Study Selection
3.2. Study Characteristics
3.3. Results of the Individual Studies
3.4. Risk of Bias
3.5. Synthesis of Results
4. Discussion
4.1. Data Extraction and Summary Estimates
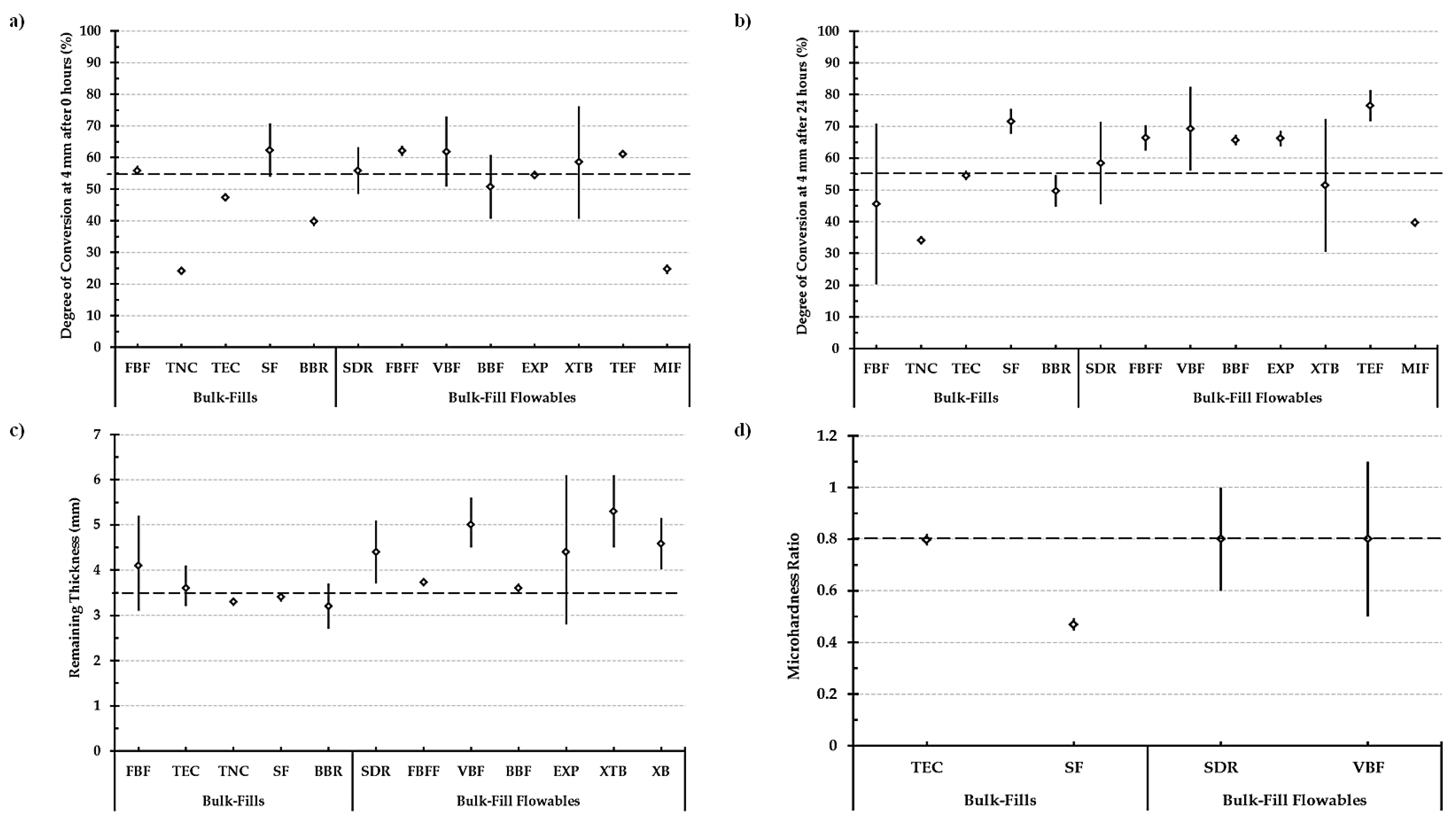
4.2. Degree of Conversion Data
4.3. Depth of Cure Data
4.4. Strengths and Limitations
5. Conclusions
Author Contributions
Funding
Conflicts of Interest
References
- Demarco, F.F.; Corrêa, M.B.; Cenci, M.; Moraes, R.R.; Opdam, N.J. Longevity of posterior composite restorations: Not only a matter of materials. Dent. Mater. 2012, 28, 87–101. [Google Scholar] [CrossRef] [PubMed]
- Chesterman, J.; Jowett, A.; Gallacher, A.; Nixon, P. Bulk-fill resin-based composite restorative materials: A review. Br. Dent. J. 2017, 222, 337–344. [Google Scholar] [CrossRef] [PubMed]
- Poggio, C.; Lombardini, M.; Gaviati, S.; Chiesa, M. Evaluation of Vickers hardness and depth of cure of six composite resins photo-activated with different polymerization modes. J. Conserv. Dent. 2012, 15, 237–241. [Google Scholar] [CrossRef] [PubMed]
- Reis, A.F.; Vestphal, M.; Amaral, R.C.D.; Rodrigues, J.A.; Roulet, J.-F.; Roscoe, M.G. Efficiency of polymerization of bulk-fill composite resins: A systematic review. Braz. Oral Res. 2017, 31, e59. [Google Scholar] [CrossRef]
- Rees, J.S.; Jagger, D.C.; Williams, D.R.; Brown, G.; Duguid, W. A reappraisal of the incremental packing technique for light cured composite resins. J. Oral Rehabil. 2004, 31, 81–84. [Google Scholar] [CrossRef]
- Ferracane, J.L. Placing Dental Composites—A Stressful Experience. Oper. Dent. 2008, 33, 247–257. [Google Scholar] [CrossRef] [PubMed]
- Braga, R.R.; Ballester, R.Y.; Ferracane, J.L. Factors involved in the development of polymerization shrinkage stress in resin-composites: A systematic review. Dent. Mater. 2005, 21, 962–970. [Google Scholar] [CrossRef]
- Vandewalker, J.P.; Casey, J.A.; Lincoln, T.A.; Vandewalle, K.S. Properties of dual-cure, bulk-fill composite resin restorative materials. Gen. Dent. 2016, 64, 68–73. [Google Scholar] [PubMed]
- Van Ende, A.; De Munck, J.; Lise, D.P.; Van Meerbeek, B. Bulk-Fill Composites: A Review of the Current Literature. J. Adhes Dent. 2017, 19, 95–109. [Google Scholar]
- Menees, T.S.; Lin, C.P.; Kojic, D.D.; Burgess, J.O.; Lawson, N.C. Depth of cure of bulk fill composites with monowave and polywave curing lights. Am. J. Dent. 2015, 28, 357–361. [Google Scholar]
- Kim, E.-H.; Jung, K.-H.; Son, S.-A.; Hur, B.; Kwon, Y.-H.; Park, J.-K. Effect of resin thickness on the microhardness and optical properties of bulk-fill resin composites. Restor. Dent. Endod. 2015, 40, 128–135. [Google Scholar] [CrossRef]
- Monterubbianesi, R.; Orsini, G.; Tosi, G.; Conti, C.; Librando, V.; Procaccini, M.; Putignano, A. Spectroscopic and Mechanical Properties of a New Generation of Bulk Fill Composites. Front. Physiol. 2016, 7, 652. [Google Scholar] [CrossRef]
- Bucuta, S.; Ilie, N. Light transmittance and micro-mechanical properties of bulk fill vs. conventional resin based composites. Clin. Oral Investig. 2014, 18, 1991–2000. [Google Scholar] [CrossRef] [PubMed]
- Correa, M.B.; Henn, S.; Marimon, J.L.M.; Rodrigues, S.A.; Demarco, F.F. Factors influencing the microhardness of a microhybrid composite. Gen. Dent. 2010, 58, 94–98. [Google Scholar]
- Estafan, D.; Agosta, C. Eliminating microleakage from the composite resin system. Gen. Dent. 2004, 51, 506–509. [Google Scholar]
- Rastelli, A.N.S.; Jacomassi, D.P.; Bagnato, V.S. Degree of conversion and temperature increase of a composite resin light cured with an argon laser and blue LED. Laser Phys. 2008, 18, 1570–1575. [Google Scholar] [CrossRef]
- Moraes, L.G.; Unesp, P.; Rocha, R.S.; Unesp, F.; Menegazzo, L.M.; Araujo, E.B.; Yukimito, K.; Moraes, J.C.S. Infrared spectroscopy: A tool for determination of the degree of conversion in dental composites. J. Appl. Oral Sci. 2008, 16, 145–149. [Google Scholar] [CrossRef]
- Amirouche-Korichi, A.; Mouzali, M.; Watts, D.C. Effects of monomer ratios and highly radiopaque fillers on degree of conversion and shrinkage-strain of dental resin composites. Dent. Mater. 2009, 25, 1411–1418. [Google Scholar] [CrossRef]
- Ilie, N.; Keßler, A.; Durner, J. Influence of various irradiation processes on the mechanical properties and polymerisation kinetics of bulk-fill resin based composites. J. Dent. 2013, 41, 695–702. [Google Scholar] [CrossRef]
- Aravamudhan, K.; Floyd, C.J.; Rakowski, D.; Flaim, G.; Dickens, S.H.; Eichmiller, F.C.; Fan, P. Light-emitting diode curing light irradiance and polymerization of resin-based composite. J. Am. Dent. Assoc. 2006, 137, 213–223. [Google Scholar] [CrossRef]
- Alshali, R.Z.; Silikas, N.; Satterthwaite, J.D. Degree of conversion of bulk-fill compared to conventional resin-composites at two time intervals. Dent. Mater. 2013, 29, e213–e217. [Google Scholar] [CrossRef]
- Bouschlicher, M.R.; Rueggeberg, F.A.; Wilson, B.M. Correlation of bottom-to-top surface microhardness and conversion ratios for a variety of resin composite compositions. Oper. Dent. 2005, 29, 698–704. [Google Scholar]
- Lloyd, C.H.; Scrimgeour, S.N.; Chudek, J.A.; Mackay, R.L.; Hunter, G.; Pananakis, D.; Abel, E.W. Determination of the depth of cure for VLC composites by nuclear magnetic resonance microimaging. Dent. Mater. 1994, 10, 128–133. [Google Scholar] [CrossRef]
- Flury, S.; Hayoz, S.; Peutzfeldt, A.; Hüsler, J.; Lussi, A. Depth of cure of resin composites: Is the ISO 4049 method suitable for bulk fill materials? Dent. Mater. 2012, 28, 521–528. [Google Scholar] [CrossRef] [PubMed]
- Dewald, J.; Ferracane, J. A Comparison of Four Modes of Evaluating Depth of Cure of Light-activated Composites. J. Dent. Res. 1987, 66, 727–730. [Google Scholar] [CrossRef] [PubMed]
- Moore, B.K.; Platt, J.A.; Borges, G.; Chu, T.-M.G.; Katsilieri, I. Depth of Cure of Dental Resin Composites: ISO 4049 Depth and Microhardness of Types of Materials and Shades. Oper. Dent. 2008, 33, 408–412. [Google Scholar] [CrossRef]
- Moher, D.; Liberati, A.; Tetzlaff, J.; Altman, D.G.; The PRISMA Group. Preferred reporting items for systematic reviews and meta-analyses: The PRISMA statement. PLoS Med. 2009, 6, e1000097. [Google Scholar] [CrossRef]
- International Organization for Standardization. ISO-4049. In Dentistry—Polymer-Based Restorative Materials; ISO: Geneva, Switzerland, 2019. [Google Scholar]
- Higgins, J.P.T.; Thompson, S.G. Quantifying heterogeneity in a meta-analysis. Stat. Med. 2002, 21, 1539–1558. [Google Scholar] [CrossRef] [PubMed]
- El-Damanhoury, H.; Platt, J.A. Polymerization Shrinkage Stress Kinetics and Related Properties of Bulk-fill Resin Composites. Oper. Dent. 2014, 39, 374–382. [Google Scholar] [CrossRef] [PubMed]
- Marovic, D.; Tauböck, T.T.; Attin, T.; Panduric, V.; Tarle, Z. Monomer conversion and shrinkage force kinetics of low-viscosity bulk-fill resin composites. Acta Odontol. Scand. 2015, 73, 474–480. [Google Scholar] [CrossRef]
- Ilie, N.; Fleming, G.J. In vitro comparison of polymerisation kinetics and the micro-mechanical properties of low and high viscosity giomers and RBC materials. J. Dent. 2015, 43, 814–822. [Google Scholar] [CrossRef] [PubMed]
- Alshaafi, M.M.; Haenel, T.; Sullivan, B.; Labrie, D.; Alqahtani, M.Q.; Price, R.B. Effect of a broad-spectrum LED curing light on the Knoop microhardness of four posterior resin based composites at 2, 4 and 6-mm depths. J. Dent. 2016, 45, 14–18. [Google Scholar] [CrossRef]
- Tsujimoto, A.; Barkmeier, W.W.; Takamizawa, T.; Latta, M.A.; Miyazaki, M. Depth of cure, flexural properties and volumetric shrinkage of low and high viscosity bulk-fill giomers and resin composites. Dent. Mater. J. 2017, 36, 205–213. [Google Scholar] [CrossRef] [PubMed]
- Al-Ahdal, K.; Ilie, N.; Silikas, N.; Watts, D.C. Polymerization kinetics and impact of post polymerization on the Degree of Conversion of bulk-fill resin-composite at clinically relevant depth. Dent. Mater. 2015, 31, 1207–1213. [Google Scholar] [CrossRef] [PubMed]
- Czasch, P.; Ilie, N. In vitro comparison of mechanical properties and degree of cure of bulk fill composites. Clin. Oral Investig. 2012, 17, 227–235. [Google Scholar] [CrossRef] [PubMed]
- Benetti, A.R.; Havndrup-Pedersen, C.; Honoré, D.; Pedersen, M.K.; Pallesen, U. Bulk-Fill Resin Composites: Polymerization Contraction, Depth of Cure, and Gap Formation. Oper. Dent. 2015, 40, 190–200. [Google Scholar] [CrossRef] [PubMed]
- Garoushi, S.; Säilynoja, E.; Vallittu, P.K.; Lassila, L. Physical properties and depth of cure of a new short fiber reinforced composite. Dent. Mater. 2013, 29, 835–841. [Google Scholar] [CrossRef] [PubMed]
- Jang, J.-H.; Park, S.-H.; Hwang, I.-N. Polymerization Shrinkage and Depth of Cure of Bulk-Fill Resin Composites and Highly Filled Flowable Resin. Oper. Dent. 2015, 40, 172–180. [Google Scholar] [CrossRef]
- Garcia, D.; Yaman, P.; Dennison, J.; Neiva, G. Polymerization Shrinkage and Depth of Cure of Bulk Fill Flowable Composite Resins. Oper. Dent. 2014, 39, 441–448. [Google Scholar] [CrossRef]
- Goracci, C.; Cadenaro, M.; Fontanive, L.; Giangrosso, G.; Juloski, J.; Vichi, A.; Ferrari, M. Polymerization efficiency and flexural strength of low-stress restorative composites. Dent. Mater. 2014, 30, 688–694. [Google Scholar] [CrossRef]
- Zorzin, J.; Maier, E.; Harre, S.; Fey, T.; Belli, R.; Lohbauer, U.; Petschelt, A.; Taschner, M. Bulk-fill resin composites: Polymerization properties and extended light curing. Dent. Mater. 2015, 31, 293–301. [Google Scholar] [CrossRef]
- Li, X.; Pongprueksa, P.; Van Meerbeek, B.; De Munck, J. Curing profile of bulk-fill resin-based composites. J. Dent. 2015, 43, 664–672. [Google Scholar] [CrossRef] [PubMed]
- Par, M.; Lapas-Barisic, M.; Gamulin, O.; Panduric, V.; Spanovic, N.; Tarle, Z. Long Term Degree of Conversion of two Bulk-Fill Composites. Acta Stomatol. Croat. 2016, 50, 292–300. [Google Scholar] [CrossRef] [PubMed]
- Yap, A.U.J.; Pandya, M.; Toh, W.S. Depth of cure of contemporary bulk-fill resin-based composites. Dent. Mater. J. 2016, 35, 503–510. [Google Scholar] [CrossRef] [PubMed]
- Lempel, Z.; Czibulya, B.; Kovács, J.; Szalma, Á.; Tóth, S.; Kunsági-Máté, Z.; Varga, K.; Böddi, E. Degree of Conversion and BisGMA, TEGDMA, UDMA Elution from Flowable Bulk Fill Composites. Int. J. Mol. Sci. 2016, 17, 732. [Google Scholar] [CrossRef]
- Jain, L.; Mehta, D.; Meena, N.; Gupta, R. Influence of light energy density, composite type, composite thickness, and postcuring phase on degree of conversion of bulk-fill composites. Contemp. Clin. Dent. 2018, 9, S147–S152. [Google Scholar] [CrossRef]
- Gonçalves, F.; Campos, L.M.D.P.; Rodrigues-Júnior, E.C.; Costa, F.V.; Marques, P.A.; Francci, C.E.; Braga, R.R.; Boaro, L.C.C. A comparative study of bulk-fill composites: Degree of conversion, post-gel shrinkage and cytotoxicity. Braz. Oral Res. 2018, 32, e17. [Google Scholar] [CrossRef]
- Nagi, S.M.; Moharam, L.M.; Zaazou, M.H. Effect of resin thickness, and curing time on the micro-hardness of bulk-fill resin composites. J. Clin. Exp. Dent. 2015, 7, e600–e604. [Google Scholar] [CrossRef]
- Pongprueksa, P.; De Munck, J.; Duca, R.C.; Poels, K.; Covaci, A.; Hoet, P.; Godderis, L.; Van Meerbeek, B.; Van Landuyt, K.L. Monomer elution in relation to degree of conversion for different types of composite. J. Dent. 2015, 43, 1448–1455. [Google Scholar] [CrossRef]
- Rohatgi, A. Web Plot Digitizer. Version: 4. Available online: https://automeris.io/WebPlotDigitizer (accessed on 1 August 2020).
- Truffier-Boutry, D.; Demoustier-Champagne, S.; Devaux, J.; Biebuyck, J.-J.; Mestdagh, M.; Larbanois, P.; Leloup, G. A physico-chemical explanation of the post-polymerization shrinkage in dental resins. Dent. Mater. 2006, 22, 405–412. [Google Scholar] [CrossRef]
- Leprince, W.M.; Palin, M.A.; Hadis, J.; Devaux, G.; Leloup, J.G. Progress in dimethacrylate-based dental composite technology and curing efficiency. Dent. Mater. 2013, 29, 139–156. [Google Scholar] [CrossRef] [PubMed]
- Halvorson, R.H.; Erickson, R.L.; Davidson, C.L. The effect of filler and silane content on conversion of resin-based composite. Dent. Mater. 2003, 19, 327–333. [Google Scholar] [CrossRef]
- Lima, R.B.W.; Troconis, C.C.M.; Moreno, M.B.P.; Murillo-Gómez, F.; De Goes, M.F. Depth of cure of bulk fill resin composites: A systematic review. J. Esthet. Restor. Dent. 2018, 30, 492–501. [Google Scholar] [CrossRef] [PubMed]
- von Hippel, P.T. The heterogeneity statistic I2 can be biased in small meta-analyses. BMC Med. Res. Methodol. 2015, 15, 35. [Google Scholar] [CrossRef]
- Ilie, N.; Hilton, T.; Heintze, S.; Hickel, R.; Watts, D.; Silikas, N.; Stansbury, J.; Cadenaro, M.; Ferracane, J. Academy of Dental Materials guidance—Resin composites: Part I—Mechanical properties. Dent. Mater. 2017, 33, 880–894. [Google Scholar] [CrossRef]
- Ferracane, J.; Hilton, T.; Stansbury, J.; Watts, D.; Silikas, N.; Ilie, N.; Heintze, S.; Cadenaro, M.; Hickel, R. Academy of Dental Materials guidance—Resin composites: Part II—Technique sensitivity (handling, polymerization, dimensional changes). Dent. Mater. 2017, 33, 1171–1191. [Google Scholar] [CrossRef] [PubMed]


| Study | Country | Sample Size | Bulk-Fills | Bulk-Fill Flowables | Analysis Methods | |||||||||||||||||
|---|---|---|---|---|---|---|---|---|---|---|---|---|---|---|---|---|---|---|---|---|---|---|
| Filtek Bulk-Fill | Tetric Evo-Ceram Bulk Fill | Tetric N-Ceram Bulk Fill | SonicFill | Beautifil Bulk Restorative | Aura SDI Bulk Fill | X-Tra Fil | SureFil SDR | Filtek Bulk Flow | Tetric Evo-Flow Bulk Fill | Venus Bulk-Fill | Beautifil Bulk Flowable | EverX Posterior | X-Tra Base | MI Fil | Xenius Base | Fourier-Transform Infrared Spectroscopy | Raman Spectroscopy | Scrapping Method | Microhardness Ratio | |||
| Czasch, 2013 | Germany | 6 | ✓ | ✓ | ✓ | ✓ | ||||||||||||||||
| Benetti, 2013 | Denmark | 3 | ✓ | ✓ | ✓ | ✓ | ✓ | ✓ | ||||||||||||||
| Garoushi, 2013 | Finland | 5 | ✓ | ✓ | ✓ | ✓ | ✓ | ✓ | ✓ | ✓ | ||||||||||||
| El-Damanhoury, 2014 | United States * | 5 | ✓ | ✓ | ✓ | ✓ | ✓ | |||||||||||||||
| Garcia, 2014 | United States | 10 | ✓ | ✓ | ✓ | ✓ | ✓ | |||||||||||||||
| Goracci, 2014 | Italy | 5 | ✓ | ✓ | ✓ | ✓ | ✓ | |||||||||||||||
| Jang, 2015 | South Korea | 8 | ✓ | ✓ | ✓ | ✓ | ||||||||||||||||
| Zorzin, 2015 | Germany | 5 | ✓ | ✓ | ✓ | ✓ | ✓ | ✓ | ✓ | |||||||||||||
| Marovic, 2015 | Croatia * | 5 | ✓ | ✓ | ✓ | ✓ | ||||||||||||||||
| Li, 2015 | Belgium | 9 | ✓ | ✓ | ✓ | ✓ | ✓ | |||||||||||||||
| Ilie, 2015 | Germany * | 6 | ✓ | ✓ | ✓ | ✓ | ✓ | |||||||||||||||
| Pongprueksa, 2015 | Belgium | 10 | ✓ | ✓ | ||||||||||||||||||
| Nagi, 2015 | Egypt | 5 | ✓ | ✓ | ✓ | |||||||||||||||||
| Al-Ahdal, 2015 | Germany * | 6 | ✓ | ✓ | ✓ | ✓ | ✓ | ✓ | ✓ | ✓ | ✓ | |||||||||||
| Alshaafi, 2016 | Canada * | 5 | ✓ | ✓ | ✓ | ✓ | ✓ | |||||||||||||||
| Par, 2016 | Croatia | 4 | ✓ | ✓ | ✓ | |||||||||||||||||
| Yap, 2016 | Singapore | 5 | ✓ | ✓ | ✓ | ✓ | ✓ | ✓ | ||||||||||||||
| Lempel, 2016 | Hungary | 5 | ✓ | ✓ | ✓ | ✓ | ||||||||||||||||
| Tsujimoto, 2017 | Japan * | 10 | ✓ | ✓ | ✓ | ✓ | ✓ | ✓ | ✓ | |||||||||||||
| Gonçalve, 2018 | Brazil | 5 | ✓ | ✓ | ✓ | ✓ | ✓ | ✓ | ✓ | |||||||||||||
| Jain, 2018 | India | 5 | ✓ | ✓ | ✓ | ✓ | ✓ | |||||||||||||||
| Material | Resin Matrix | Main Fillers | Filler Load (wt %/vol%) | Photoinitiator | Manufacturer |
|---|---|---|---|---|---|
| Bulk-Fills | |||||
| Filtek Bulk-Fill | AUDMA, UDMA, DDDMA | Silane-treated ceramics, sillica, zirconia | 77/59 | CQ | 3M ESPE, Dental Products, Saint Paul, MN, USA |
| Tetric Evo-Ceram Bulk Fill | Bis-EMA, UDMA, EBPADMA | Barium aluminium silicate glass, ytterbium triluoride | 80/61 | CQ, Ivocerin® | Ivoclar Vivadent, Zurich, Switzerland |
| Tetric N-Ceram Bulk Fill | Bis-GMA, Bis-EMA, UDMA | Barium aluminium silicate glass, ytterbium triluoride | 76/- | CQ, Ivocerin® | Ivoclar Vivadent, Zurich, Switzerland |
| SonicFill | 3-trimethoxysilylpropyl methacrylate, Bis-EMA, Bis-GMA, TEGDMA | Barium, aluminum boron, silicate | 84/83 | CQ | Kerr Dental, Orange, CA, USA |
| Beautifil Bulk Restorative | Bis-GMA, UDMA, Bis-MPEPP, TEGDMA | S-PRG fluoroboroaluminosilicate glass | 87/75 | Not disclosed | Shofu Inc., Kyoto, Japan |
| Aura SDI bulk fill | Not disclosed | Not disclosed | 74/- | Not disclosed | Radii, SDI, Bayswater, Australia |
| X-tra fil | MMA, Bis-EMA, Bis-GMA, UDMA, TEGDMA | Inorganic fillers | 75/58 | Not disclosed | Voco, Cuxhaven, Germany |
| Bulk-Fill Flowables | |||||
| SureFil SDR | UDMA, Bis-EMA, TEGDMA | Barium- and strontium alumino-fluoro-silicate glass | 68/44 | CQ | Dentsply Caulk, Milford, DE, USA |
| Filtek Bulk Flow | Bis-GMA, UDMA, Bis-EMA | Silane treated ceramic, ytterbium fluoride filler | 65/43 | CQ | 3M ESPE, Dental Products, Saint Paul, MN, USA |
| Tetric Evo-Flow Bulk Fill | Dimethacrylates, Copolymers | Barium glass, ytterbium trifluoride | 68/46 | CQ, Ivocerin® | Ivoclar Vivadent, Zurich, Switzerland |
| Venus Bulk-Fill | UDMA, Bis-EMA | Barium glass, ytterbium trifluoride, silicon dioxide glass | 65/38 | Not disclosed | Heraeus Kulzer, South Bend, IN, USA |
| Beautifil Bulk Flowable | Bis-GMA, UDMA, Bis-MPEPP, TEGDMA | S-PRG fluoroboroaluminosilicate glass | 73/51 | Not disclosed | Shofu Inc., Kyoto, Japan |
| EverX Posterior | Bis-GMA, TEGDMA, polymethyl methacrylate | Glass fibers, barium borosilicate glass | 74/54 | CQ | GC Dental Products, Tokyo, Japan |
| X-tra base | Bis-EMA, UDMA | Inorganic fillers | 75/60 | Not disclosed | Voco, Cuxhaven, Germany |
| MI Fil | UDMA, Bis-MEPP, TEGDMA | Silica nanofillers | 69/- | Not disclosed | GC Dental Products, Tokyo, Japan |
| Xenius base | Bis-GMA, PMMA, TEGDMA | Short E-glass fiber filler, barium | 74/54 | Not disclosed | Stick Tech Ltd., Turku, Finland |
| Material | Light Cure Time (sec.) | Raman Spectroscopy | Fourier-Transform Infrared Spectroscopy | References | |||||||||||
|---|---|---|---|---|---|---|---|---|---|---|---|---|---|---|---|
| 0 h # | 24 h | 7 days | 30 days | 0 h # | 24 h | ||||||||||
| top | 4 mm | top | 4 mm | 3 mm | 4 mm | 4 mm | top | 3 mm | 4 mm | 6 mm | top | 4 mm | |||
| Bulk-Fills | |||||||||||||||
| Filtek BF | 10 | 48.63 (0.4) ^ | 19.41 (0.2) ^ | Lempel, 2016 | |||||||||||
| 20 | 52.26 (0.50) ^ | 32.71 (1.2) ^ | |||||||||||||
| 55.8 (1.06) | 58.5 (3.50) | Al-Ahdal, 2015 | |||||||||||||
| 25 | 67.0 (9.3) | 64.2 (7.4) | Gonçalve, 2018 | ||||||||||||
| Tetric Evo-Ceram BF | 10 | 67.45 (6.58) | 63.4 (4.37) | Zorzin, 2015 | |||||||||||
| 20 | 51.0 (1.6) | 47.4 (1.6) | 41.6 (1.4) | Ilie, 2015 | |||||||||||
| 46.9 (4.53) | 54.5 (1.53) | Al-Ahdal, 2015 | |||||||||||||
| 30 | 52.95 (11.07) | 54.63 (3.67) | Zorzin, 2015 | ||||||||||||
| Tetric N-Ceram BF | 20 | 46.3 (1.75) | 24.12 (1.08) | 52.75 (1.11) | 34.13 (1.55) | Jain, 2018 | |||||||||
| Sonic Fill | 20 | 71.46 (2.15) | 57.95 (4.77) | Goracci, 2014 | |||||||||||
| 66.6 (4.96) | 71.6 (3.98) | Al-Ahdal, 2015 | |||||||||||||
| 25 | 74.6 (2.5) | 63.0 (5.0) | Gonçalve, 2018 | ||||||||||||
| Beautifil Bulk Restorative | 20 | 41.9 (2.3) | 40.0 (2.1) | 36.3 (1.7) | Ilie, 2015 | ||||||||||
| 38.9 (4.57) | 49.7 (4.98) | Al-Ahdal, 2015 | |||||||||||||
| Aura SDI BF | 25 | 58.9 (4.5) | 48.1 (7.9) | Gonçalve, 2018 | |||||||||||
| Bulk-Fill Flowables | |||||||||||||||
| SureFil SDR | 10 | 58.9 (2.9) | 58.3 (1.7) | 57.1 (3.0) | Czasch, 2013 | ||||||||||
| 20 | 58.0 (2.5) | 73.0 (2.0) | 79.0 (3.0) | 78.5 (2.5) | Par, 2016 | ||||||||||
| 63.04 (0.2) ^ | 50.05 (0.2) ^ | Lempel, 2016 | |||||||||||||
| 61.1 (1.5) | 59.7 (1.7) | 58.2 (1.7) | Czasch, 2013 | ||||||||||||
| 70.18 (2.01) | 50.36 (2.34) | Goracci, 2014 | |||||||||||||
| 61.4 (1.4) | 70.0 (0.9) | Marovic, 2015 | |||||||||||||
| 55.9 (0.7) | 57.0 (0.7) | 54.8 (0.6) | Ilie, 2015 | ||||||||||||
| 56.53 (10.9) | 52.04 (12.45) | Zorzin, 2015 | |||||||||||||
| 56.95 (2.56) | 39.7 (2.21) | 74.81 (1.62) | 57.67 (2.82) | Jain, 2018 | |||||||||||
| 30 | 70.86 (2.09) | 72.18 (3.29) | Zorzin, 2015 | ||||||||||||
| 40 | 60.4 (3.1) | 61.2 (2.1) | 60.1 (2.0) | Czasch, 2013 | |||||||||||
| Filtek BF Flowable | 20 | 66.02 (2.16) | 62.08 (2.64) | Pongprueksaa, 2015 | |||||||||||
| 55.9 (1.97) | 66.4 (4.6) | Zorzin, 2015 | |||||||||||||
| 25 | 43.4 (5.7) | 41.0 (2.5) | Gonçalve, 2018 | ||||||||||||
| 30 | 59.62 (3.22) | 69.26 (6.49) | Zorzin, 2015 | ||||||||||||
| Tetric EvoFlow BF | 20 | 61.0 (1.0) | 76.5 (5.0) | 77.5 (6.0) | 76.0 (5.0) | Par, 2016 | |||||||||
| Venus BF | 10 | 65.0 (1.9) | 62.9 (2.3) | 62.4 (2.5) | Czasch, 2013 | ||||||||||
| 20 | 64.9 (1.7) | 66.1 (2.8) | 65.6 (2.0) | ||||||||||||
| 66.8 (0.4) | 78.8 (1.1) | Marovic, 2015 | |||||||||||||
| 63.46 (9.61) | 80.07 (2.76) | Zorzin, 2015 | |||||||||||||
| 66.6 (0.89) | 71.9 (2.00) | Al-Ahdal, 2015 | |||||||||||||
| 52.06 (0.91) | 35.41 (3.55) | 64.89 (1.79) | 56.08 (2.03) | Jain, 2018 | |||||||||||
| 25 | 84.9 (9.8) | 86.0 (5.7) | Gonçalve, 2018 | ||||||||||||
| 30 | 65.37 (4.61) | 73.93 (3.26) | Zorzin, 2015 | ||||||||||||
| 40 | 64.6 (1.6) | 67.92 (1.6) | 66.1 (2.8) | Czasch, 2013 | |||||||||||
| Beautifil Bulk Flowable | 20 | 58.7 (0.9) | 57.7 (0.6) | 55.0 (0.4) | Ilie, 2015 | ||||||||||
| 56.3 (1.73) | 65.7 (1.65) | Al-Ahdal, 2015 | |||||||||||||
| Ever-X Posterior | 20 | 54.79 (4.66) | 37.95 (2.01) | Goracci, 2014 | |||||||||||
| 54.4 (0.64) | 66.2 (2.38) | Al-Ahdal, 2015 | |||||||||||||
| 25 | 76.0 (0.9) | 68.2 (2.8) | Gonçalve, 2018 | ||||||||||||
| X-tra Base | 10 | 43.14 (0.9) ^ | 28.77 (1.3) ^ | Lempel, 2016 | |||||||||||
| 20 | 46.45 (1.2) ^ | 34.01 (0.15) ^ | |||||||||||||
| 59.2 (0.8) | 67.5 (0.8) | Marovic, 2015 | |||||||||||||
| 49.4 (1.89) | 57.7 (3.14) | Al-Ahdal, 2015 | |||||||||||||
| 65.24 (2.51) | 62.53 (3.01) | Zorzin, 2015 | |||||||||||||
| 30 | 61.48 (3.96) | 61.53 (4.0) | |||||||||||||
| MI Fil | 20 | 44.72 (0.86) | 24.67 (1.72) | 60.78 (2.34) | 39.7 (1.6) | Jain, 2018 | |||||||||
| Material | Light Cure Time (sec.) | Scrapping Method (Remaining Thickness; mm) | Microhardness | References | |||||||||||
|---|---|---|---|---|---|---|---|---|---|---|---|---|---|---|---|
| Top | Bottom | Ratio | |||||||||||||
| 3 mm | 4 mm | 5 mm | 6 mm | 3 mm | 4 mm | 5 mm | 6 mm | 3 mm | 4 mm | 5 mm | 6 mm | ||||
| Bulk-Fills | |||||||||||||||
| Filtek BF | 20 | 4.64 (0.1) ^ | Garoushi, 2013 | ||||||||||||
| 3.57 (0.11) | Tsujimoto, 2017 | ||||||||||||||
| 30 | 3.81 (0.09) | ||||||||||||||
| 40 | 4.14 (0.09) | ||||||||||||||
| Tetric Evo-Ceram BF | 10 | VHN = 57.00 (1.74) | VHN = 58.69 (0.72) | VHN = 48.12 (3.94) | VHN = 51.81 (1.89) | 0.84 * | 0.88 * | Nagi, 2015 | |||||||
| VHN = 64.52 (2.45) | VHN = 41.92 (4.46) | 0.65 | Zorzin, 2015 | ||||||||||||
| 20 | 3.86 (0.07) | Tsujimoto, 2017 | |||||||||||||
| 3.82 (0.08) | Benetti, 2015 | ||||||||||||||
| 3.18 (0.05)^ | Garoushi, 2013 | ||||||||||||||
| KHN = 55.40 (3.27) | KHN = 44.13 (2.26) | 0.80 (0.03) | El-Damanhoury, 2014 | ||||||||||||
| VHN = 56.21 (1.42) | VHN = 56.36 (0.67) | VHN = 49.51 (2.57) | VHN = 45.91 (1.30) | 0.88 * | 0.81 * | Nagi, 2015 | |||||||||
| KHN = 24.2 (2.3) | KHN = 24.2 (2.3) | KHN = 16.9 (2.1) | KHN = 6.9 (1.9) | 0.70 | 0.29 | Alshaafi, 2016 | |||||||||
| 30 | 4.10 (0.06) | Tsujimoto, 2017 | |||||||||||||
| VHN = 70.88 (2.50) | VHN = 62.27 (3.79) | 0.88 | Zorzin, 2015 | ||||||||||||
| 40 | 4.32 (0.07) | Tsujimoto, 2017 | |||||||||||||
| VHN = 56.40 (1.09) | VHN = 56.82 (1.42) | VHN = 52.44 (0.29) | VHN = 48.14 (2.35) | 0.93 * | 0.85 * | Nagi, 2015 | |||||||||
| 60 | VHN = 60.28 (0.76) | VHN = 56.80 (1.96) | VHN = 55.32 (1.16) | VHN = 51.12 (0.82) | 0.92 * | 0.9 * | |||||||||
| Tetric N-Ceram BF | 20 | 3.3 (0.1) | Yap, 2016 | ||||||||||||
| VHN = 49.05 (3.82) | VHN = 37.83 (5.73) | 0.77 | Jang, 2015 | ||||||||||||
| KHN = 32.42 (1.05) | KHN = 32.42 (1.05) | KHN = 22.53 (0.56) | KHN = 17.67 (0.89) | 0.69 * | 0.55 * | Yap, 2016 | |||||||||
| 40 | 4.32 (0.07) | Tsujimoto, 2017 | |||||||||||||
| Sonic Fill | 20 | 3.20 (0.1) ^ | Garoushi,2013 | ||||||||||||
| 3.46 (0.08) | KHN = 72.3 (3.20) | KHN = 72.4 (2.11) | KHN = 71.1 (2.64) | KHN = 48.9 (2.06) | KHN = 34.0 (1.88) | KHN = 15.1 (1.29) | 0.68 (0.05) | 0.47 (0.04) | 0.21 (0.02) | Garcia, 2014 | |||||
| 3.47 (0.03) | Goracci, 2014 | ||||||||||||||
| 3.43 (0.07) | Benetti, 2015 | ||||||||||||||
| KHN = 35.7 (2.4) | KHN = 35.7 (2.4) | KHN = 24.9 (2.5) | KHN = 3.4 (1.3) | 0.70 | 0.10 | Alshaafi, 2016 | |||||||||
| Beautifil Bulk Restorative | 20 | 2.9 (0.1) | KHN = 34.58 (0.69) | KHN = 27.15 (1.1) | 0.79 * | - | - | Yap, 2016 | |||||||
| 3.42 (0.09) | Tsujimoto, 2017 | ||||||||||||||
| 30 | 3.72 (0.08) | ||||||||||||||
| 40 | 4.02 (0. 08) | ||||||||||||||
| X-tra Fil | 10 | VHN = 93.76 (1.89) | VHN = 93.76 (1.89) | VHN = 89.89 (2.40) | VHN = 89.89 (2.40) | 0.96 * | 0.96 * | Nagi, 2015 | |||||||
| 20 | KHN = 59.07 (6.37) | KHN = 51.20 (7.61) | 0.86 (0.05) | El-Damanhoury, 2014 | |||||||||||
| VHN = 95.39 (0.37) | VHN = 95.90 (0.45) | VHN = 93.87 (0.71) | VHN = 94.12 (0.78) | 0.98 * | 0.98 * | Nagi, 2015 | |||||||||
| KHN = 36.2 (2.9) | KHN = 36.2 (2.9) | KHN = 31.8 (2.8) | KHN = 22.0 (2.1) | 0.88 | 0.61 | Alshaafi,2016 | |||||||||
| 40 | VHN = 88.56 (2.53) | VHN = 93.91 (1.78) | VHN = 90.77 (1.80) | VHN = 91.03 (1.24) | 1.02 * | 0.97 * | Nagi, 2015 | ||||||||
| 60 | VHN = 92.49 (1.86) | VHN = 92.81 (0.65) | VHN = 89.64 (1.09) | VHN = 91.20 (1.45) | 0.97 * | 0.98 * | |||||||||
| Bulk-Fill Flowables | |||||||||||||||
| SureFil SDR | 10 | VHN = 55.1 (2.3) | VHN = 55.1 (2.3) | VHN = 58.2 (4.1) | VHN = 55.4 (3.8) | 1.06 * | 1.01 * | Czasch, 2013 | |||||||
| 20 | 4.37 (0.25) ^ | Garoushi, 2013 | |||||||||||||
| VHN = 69.1 (3.3) | VHN = 69.1 (3.3) | VHN = 59.8 (2.9) | VHN = 59.0 (3.4) | 1.01 * | 1.00 * | Czasch, 2013 | |||||||||
| 5.01 (0.03) | KHN = 29.4 (1.16) | KHN = 29.7 (3.97) | KHN = 31.5 (1.42) | KHN = 21.1 (1.98) | KHN = 19.8 (2.78) | KHN = 19.4 (2.74) | 0.72 (0.08) | 0.69 (0.18) | Garcia, 2014 | ||||||
| 5.35 (0.37) | Goracci, 2014 | ||||||||||||||
| KHN = 48.53 (2.38) | KHN = 44.27 (2.78) | 0.91 (0.06) | El-Damanhoury, 2014 | ||||||||||||
| 4.34 (0.15) | Benetti, 2015 | ||||||||||||||
| VHN = 32.14 (1.42) | VHN = 30.28 (1.73) | 0.94 | Jang, 2015 | ||||||||||||
| VHN = 39.82 (3.64) | VHN = 38.12 (2.22) | 0.96 | Zorzin, 2015 | ||||||||||||
| 3.6 (0.05) | KHN = 24.24 (0.91) | KHN = 24.24 (0.91) | KHN = 18.84 (0.56) | KHN = 16.04 (0.37) | 0.78 * | 0.66 * | Yap, 2016 | ||||||||
| KHN = 9.7 (1.3) | KHN = 9.7 (1.3) | KHN = 7.7 (0.5) | KHN = 5.7 (1.1) | 0.80 | 0.59 | Alshaafi,2016 | |||||||||
| 3.91 (0.09) | Tsujimoto, 2017 | ||||||||||||||
| 30 | VHN = 36.18 (2.87) | VHN = 35.37 (1.94) | 0.99 | Zorzin, 2015 | |||||||||||
| 4.22 (0.11) | Tsujimoto, 2017 | ||||||||||||||
| 40 | VHN = 59.1 (1.3) | VHN = 59.1 (1.3) | VHN = 59.5 (2.9) | VHN = 58.9 (2.6) | 1.01 * | 1.00 * | Czasch, 2013 | ||||||||
| 4.41 (0.09) | Tsujimoto, 2017 | ||||||||||||||
| Filtek Bulk Flow | 20 | 3.73 (0.08) | Tsujimoto, 2017 | ||||||||||||
| 30 | 3.95 (0.06) | ||||||||||||||
| VHN = 40.47 (2.40) | VHN = 36.5 (1.90) | 0.90 | Zorzin, 2015 | ||||||||||||
| 40 | 4.24 (0.19) | Tsujimoto, 2017 | |||||||||||||
| Venus BF | 10 | 5.01 (0.02) | Garcia, 2014 | ||||||||||||
| VHN = 40.7 (4.0) | VHN = 40.7 (4.0) | VHN = 46.5 (4.7) | VHN = 39.1 (2.9) | 1.14 * | 0.96 * | Czasch, 2013 | |||||||||
| 20 | 4.16 (0.75) ^ | Garoushi, 2013 | |||||||||||||
| VHN = 41.4 (1.5) | VHN = 41.4 (1.5) | VHN = 46.4 (0.9) | VHN = 43.0 (1.4) | 1.12 * | 1.04 * | Czasch, 2013 | |||||||||
| KHN = 21.3 (1.02) | KHN = 23.5 (3.25) | KHN = 23.0 (2.34) | KHN = 16.6 (0.70) | KHN = 15.6 (2.09) | KHN = 13.5 (0.74) | 0.78 (0.03) | 0.67 (0.10) | 0.59 (0.07) | Garcia, 2014 | ||||||
| KHN = 36.60 (0.97) | KHN = 35.53 (1.32) | 0.97 (0.02) | El-Damanhoury, 2014 | ||||||||||||
| 5.57 (0.28) | Benetti, 2015 | ||||||||||||||
| VHN = 30.55 (1.17) | VHN = 29.95 (1.16) | 0.98 | Jang, 2015 | ||||||||||||
| VHN = 34.34 (4.34) | VHN = 29.15 (1.93) | 0.85 | Zorzin, 2015 | ||||||||||||
| 30 | VHN = 30.64 (2.12) | VHN = 34.41 (2.07) | 1.12 | Zorzin, 2015 | |||||||||||
| 40 | VHN = 42.7 (4.9) | VHN = 42.7 (4.9) | VHN = 46.4 (1.0) | VHN = 46.0 (1.9) | 1.09 * | 1.08 * | Czasch, 2013 | ||||||||
| Beautifil Bulk Flowable | 20 | 3.62 (0.06) | Tsujimoto, 2017 | ||||||||||||
| 3.55 (0.03) | KHN = 35.74 (1.17) | KHN = 35.74 (1.17) | KHN = 27.16 (0.64) | KHN = 18.19 (1.9) | 0.76 * | 0.51 * | - | Yap, 2016 | |||||||
| 30 | 3.86 (0.07) | Tsujimoto, 2017 | |||||||||||||
| 40 | 4.10 (0.07) | ||||||||||||||
| Ever-X Posterior | 20 | 5.29 (0.19) | Goracci, 2014 | ||||||||||||
| 3.6 (0.03) | KHN = 33.72 (0.89) | KHN = 33.72 (0.89) | KHN = 33.72 (0.89) | KHN = 24.53 (1.17) | KHN = 21.88 (1.07) | KHN = 19.43 (0.6) | 0.73 * | 0.65 * | 0.58 * | Yap, 2016 | |||||
| X-tra Base | 20 | 4.87 (0.3) ^ | Garoushi, 2013 | ||||||||||||
| 5.68 (0.21) | Benetti, 2015 | ||||||||||||||
| VHN = 57.06 (2.76) | VHN = 56.96 (3.07) | 1.00 | Zorzin, 2015 | ||||||||||||
| 30 | VHN = 69.86 (9.29) | VHN = 67.84 (4.7) | 0.97 | ||||||||||||
| Xenius Base | 20 | 4.58 (0.5) ^ | Garoushi,2013 | ||||||||||||
| Material | Degree of Conversion (%) | n | Light Cure Details (Manufacturer; Irradiance in mW/cm2) | Reference | |||||||||
|---|---|---|---|---|---|---|---|---|---|---|---|---|---|
| 0 h $ | 24 h | ||||||||||||
| Top | 4 mm | 6 mm | Top | 4 mm | |||||||||
| Raw | Summary Estimate (95% CI) | Raw | Summary Estimate (95% CI) | Raw | Summary Estimate (95% CI) | Raw | Summary Estimate (95% CI) | Raw | Summary Estimate (95% CI) | ||||
| Bulk-Fills | |||||||||||||
| Filtek BF | 55.8 (1.06) | 58.5 (3.50) | 45.6 (20.3–70.8) | 6 | Elipar S10, 3M ESPE, Seefeld, Germany; 1200 | Al-Ahdal, 2015 | |||||||
| 52.26 (0.5) ^ | 32.71 (1.2) ^ | 5 | LED.C, Woodpecker, Guilin, China; 1100 | Lempel, 2016 | |||||||||
| Tetric N-ceram BF | 46.3 (1.75) | 24.12 (1.08) | 52.75 (1.11) | 34.13 (1.55) | 5 | VALO curing light, Ultradent; 1000 | Jain, 2018 | ||||||
| Tetric Evo-Ceram BF | 46.9 (4.53) | 47.3 (46.1–48.6) | 54.5 (1.53) | 6 | Elipar S10, 3M ESPE, Seefeld, Germany; 1200 | Al-Ahdal, 2015 | |||||||
| 51.0 (1.6) | 47.4 (1.6) | 41.6 (1.4) | 6 | Bluephase 20i, Ivoclar Vivadent, Schaan, Liechtenstein; NA | Ilie, 2015 | ||||||||
| Sonic Fill | 71.46 (2.15) | 57.95 (4.77) | 62.3 (53.8–70.8) | 5 | Demi LED light, Orange, CA, USA; 1100 | Goracci, 2014 | |||||||
| 66.6 (4.96) | 71.6 (3.98) | 6 | Elipar S10, 3M ESPE, Seefeld, Germany; 1200 | Al-Ahdal, 2015 | |||||||||
| Beautifil Bulk Restorative | 41.9 (2.3) | 40.0 (2.1) | 39.8 (38.3–41.3) | 36.3 (1.7) | 6 | Bluephase 20i, Ivoclar Vivadent, Schaan, Liechtenstein; NA | Ilie, 2015 | ||||||
| 38.9 (4.57) | 49.7 (4.98) | 6 | Elipar S10, 3M ESPE, Seefeld, Germany; 1200 | Al-Ahdal, 2015 | |||||||||
| Bulk-Fill Flowables | |||||||||||||
| Surefil SDR | 61.1 (56.5–65.6) | 58.0 (2.5) | 55.8 (48–63.2) | 56.4 (53.1–60.0) | 65.6 (55.8–75.3) | 73.0 (2.0) | 58.4 (45.4–71.4) | 4 | Bluephase G2, Ivoclar-Vivadent, Schaan, Liechtenstein; 1185 | Par, 2016 | |||
| 61.4 (1.4) | 70.0 (0.9) | 5 | Bluephase G2; Ivoclar Viva- dent, Schaan, Liechtenstein; 1170 | Marovic, 2015 | |||||||||
| 55.9 (0.7) | 57.0 (0.7) | 54.8 (0.6) | 6 | Bluephase 20i, Ivoclar Vivadent, Schaan, Liechtenstein; NA | Ilie, 2015 | ||||||||
| 70.18 (2.01) | 50.36 (2.34) | 5 | Demi LED light, Orange, CA, USA; 1100 | Goracci, 2014 | |||||||||
| 61.1 (1.5) | 59.7 (1.7) | 58.2 (1.7) | 6 | Elipar Freelight 2, 3 M ESPE; 1226 | Czasch, 2013 | ||||||||
| 63.04 (0.2) ^ | 50.05 (0.2) ^ | 5 | LED.C, Woodpecker, Guilin, China; 1100 | Lempel, 2016 | |||||||||
| 56.53 (10.9) | 52.04 (12.45) | 5 | Bluephase20i, Ivoclar-Vivadent; 1200 | Zorzin, 2015 | |||||||||
| 56.95 (2.56) | 39.7 (2.21) | 74.81 (1.62) | 57.67 (2.82) | 5 | VALO curing light, Ultradent; 1000 | Jain, 2018 | |||||||
| Filtek BF flowable | 66.02 (2.16) | 62.08 (2.64) | 10 | Bluephase 20i, Vivadent Ivoclar, Schaan, Liechtenstein; 1100 | Pongprueksaa, 2015 | ||||||||
| 65.9 (1.97) | 66.4 (4.6) | 5 | Bluephase20i, Ivoclar-Vivadent; 1200 | Zorzin, 2015 | |||||||||
| Venus BF | 52.06 (0.91) | 61.3 (51–71.5) | 35.41 (3.55) | 61.8 (50.8–72.9) | 64.89 (1.79) | 68.1 (60.0–76.3) | 56.08 (2.03) | 69.3 (56.1–82.5) | 5 | VALO curing light, Ultradent; 1000 | Jain, 2018 | ||
| 66.8 (0.4) | 78.8 (1.1) | 5 | Bluephase G2; Ivoclar Viva- dent, Schaan, Liechtenstein; 1170 | Marovic, 2015 | |||||||||
| 64.9 (1.7) | 66.1 (2.8) | 65.6 (2.0) | 6 | Elipar Freelight 2, 3 M ESPE; 1226 | Czasch, 2013 | ||||||||
| 73.46 (9.61) | 80.07 (2.76) | 5 | Bluephase20i, Ivoclar-Vivadent; 1200 | Zorzin, 2015 | |||||||||
| 66.6 (0.89) | 71.9 (2.00) | 6 | Elipar S10, 3M ESPE, Seefeld, Germany; 1200 | Al-Ahdal, 2015 | |||||||||
| Beautifil Bulk Flow | 58.7 (0.9) | 57.3 (53.6–61.0) | 57.7 (0.6) | 50.7 (40–60.8) | 55.0 (0.4) | 6 | Bluephase 20i, Ivoclar Vivadent, Schaan, Liechtenstein; NA | Ilie, 2015 | |||||
| 54.79 (4.66) | 37.95 (2.01) | 5 | Demi LED light, Orange, CA, USA; 1100 | Goracci, 2014 | |||||||||
| 56.3 (1.73) | 65.7 (1.65) | 6 | Elipar S10, 3M ESPE, Seefeld, Germany; 1200 | Al-Ahdal, 2015 | |||||||||
| Ever-X Posterior | 54.4 (0.64) | 66.2 (2.38) | 6 | Elipar S10, 3M ESPE, Seefeld, Germany; 1200 | Al-Ahdal, 2015 | ||||||||
| X-tra Base | 59.2 (0.8) | 67.5 (0.8) | 58.5 (40–76.2) | 55.8 (37.4–74.2) | 51.4 (30–72.3) | 5 | Bluephase G2; Ivoclar Viva- dent, Schaan, Liechtenstein; 1170 | Marovic, 2015 | |||||
| 46.45 (1.2) ^ | 34.01 (0.15) ^ | 5 | LED.C, Woodpecker, Guilin, China; 1100 | Lempel, 2016 | |||||||||
| 65.24 (2.51) | 62.53 (3.01) | 5 | Bluephase20i, Ivoclar-Vivadent; 1200 | Zorzin, 2015 | |||||||||
| 49.4 (1.89) | 57.7 (3.14) | 6 | Elipar S10, 3M ESPE, Seefeld, Germany; 1200 | Al-Ahdal, 2015 | |||||||||
| Tetric Evo-flow BF | 61.0 (1.0) | 76.5 (5.0) | 4 | Bluephase G2, Ivoclar-Vivadent, Schaan, Liechtenstein; 1185 | Par, 2016 | ||||||||
| MI Fil | 44.72 (0.86) | 24.67 (1.72) | 60.78 (2.34) | 39.7 (1.6) | 5 | VALO curing light, Ultradent; 1000 | Jain, 2018 | ||||||
| Material | Scrapping Method | Microhardness Ratio | References | |||||||||
|---|---|---|---|---|---|---|---|---|---|---|---|---|
| Remaining Thickness (mm) | n | Light Cure Details (Manufacturer; Irradiance in mW/cm2) | Summary Estimate (95% CI) | 3 mm | 4 mm | 5 mm | 6 mm | n | Light Cure Details (Manufacturer; Irradiance in mW/cm2) | |||
| Raw | Summary Estimate (95% CI) | |||||||||||
| Bulk-Fills | ||||||||||||
| Filtek BF | 4.64 (0.1) ^ | 3 | TC-01, Spring Health Products, USA; 1100 | 4.1 (3.1–5.2) | Garoushi, 2013 | |||||||
| 3.57 (0.11) | 10 | Optilux 501, Kerr, Orange, CA, USA; ≥600 | Tsujimoto, 2017 | |||||||||
| Tetric Evo-Ceram BF | 3.86 (0.07) | 10 | Optilux 501, Kerr, Orange, CA, USA; ≥600 | 3.6 (3.2–4.1) | Tsujimoto, 2017 | |||||||
| 3.82 (0.08) | 3 | Bluephase, Ivoclar Vivadent; 950 ± 50 | Benetti, 2015 | |||||||||
| 0.70 | 0.29 | 5 | Bluephase 20i, Ivoclar Vivadent; 1202 | Alshaafi, 2016 | ||||||||
| 0.80 (0.03) | 5 | Demetron A.1, Kerr/Sybron, Orange, CA, USA; 1000 ± 50 | El-Damanhoury, 2014 | |||||||||
| 0.88 * | 0.81 * | 5 | Elipar S10, 3M ESPE; USA; ≥800 | Nagi, 2015 | ||||||||
| 3.18 (0.05) ^ | 3 | TC-01, Spring Health Products, USA; 1100 | Garoushi, 2013 | |||||||||
| Tetric N-Ceram BF | 0.77 | 8 | Bluephase, Ivoclar Vivadent; 700 | Jang, 2015 | ||||||||
| 3.3 (0.1) | 5 | BlueShot LED curing light, Shofu; 700 | 0.69 * | 0.55 * | 5 | BlueShot LED curing light, Shofu; 700 | Yap, 2016 | |||||
| Sonic Fill | 3.46 (0.08) | 10 | SmartLite iQ2, Model No. 200, Dentsply Caulk; 800 | 3.4 (3.3–3.5) | 0.68 (0.05) | 0.47 (0.04) | 0.21 (0.02) | 10 | SmartLite iQ2, Model No. 200, Dentsply Caulk; 800 | Garcia, 2014 | ||
| 3.47 (0.03) | 5 | Demi LED light, Orange, CA, USA; 1100 | Goracci, 2014 | |||||||||
| 3.43 (0.07) | 3 | Bluephase, Ivoclar Vivadent; 950 ± 50 | Benetti, 2015 | |||||||||
| 0.70 | 0.10 | 5 | Bluephase 20i, Ivoclar Vivadent; 1202 | Alshaafi, 2016 | ||||||||
| 3.20 (0.1) ^ | 3 | TC-01, Spring Health Products, USA; 1100 | Garoushi, 2013 | |||||||||
| Beautifil Bulk Restorative | 3.42 (0.09) | 10 | Optilux 501, Kerr, Orange, CA, USA; ≥600 | 3.2 (2.7–3.7) | Tsujimoto, 2017 | |||||||
| 2.9 (0.1) | 5 | BlueShot LED curing light, Shofu; 700 | 0.79 * | 5 | BlueShot LED curing light, Shofu; 700 | Yap, 2016 | ||||||
| X-tra Fil | 0.88 | 0.61 | 5 | Bluephase 20i, Ivoclar Vivadent; 1202 | Alshaafi, 2016 | |||||||
| 0.98 * | 0.98 * | 5 | Elipar S10, 3M ESPE; USA; ≥800 | Nagi, 2015 | ||||||||
| 0.86 (0.05) | 5 | Demetron A.1, Kerr/Sybron, Orange, CA, USA; 1000 ± 50 | El-Damanhoury, 2014 | |||||||||
| Bulk-Fill Flowables | ||||||||||||
| Sufefil SDR | 3.91 (0.09) | 10 | Optilux 501, Kerr, Orange, CA, USA; ≥ 600 | 4.4 (3.7–5.1) | 0.8 (0.6–1.0) | Tsujimoto, 2017 | ||||||
| 5.01 (0.03) | 10 | SmartLite iQ2, Model No. 200, Dentsply Caulk; 800 | 0.72 (0.08) | 0.69 (0.18) | 0.62 (0.08) | 10 | SmartLite iQ2, Model No. 200, Dentsply Caulk; 800 mW2 | Garcia, 2014 | ||||
| 5.35 (0.37) | 5 | Demi LED light, Orange, CA, USA; 1100 | Goracci, 2014 | |||||||||
| 4.34 (0.15) | 3 | Bluephase, Ivoclar Vivadent; 950 ± 50 | Benetti, 2015 | |||||||||
| 3.6 (0.05) | 5 | BlueShot LED curing light, Shofu; 700 | 0.78 * | 0.66 * | 5 | BlueShot LED curing light, Shofu; 700 | Yap, 2016 | |||||
| 1.01 * | 1.00 * | 6 | Elipar Freelight 2, 3 M ESPE; 1226 | Czasch, 2013 | ||||||||
| 0.80 | 0.59 | 5 | Bluephase 20i, Ivoclar Vivadent; 1202 | Alshaafi, 2016 | ||||||||
| 0.91 (0.06) | 5 | Demetron A.1, Kerr/Sybron, Orange, CA, USA; 1000 ± 50 | El-Damanhoury, 2014 | |||||||||
| 0.94 | 8 | Bluephase, Ivoclar Vivadent; 700 | Jang, 2015 | |||||||||
| 4.37 (0.25) ^ | 3 | TC-01, Spring Health Products, USA, 1100 | Garoushi, 2013 | |||||||||
| 0.96 | 5 | Bluephase20i, Ivoclar-Vivadent; 1200 | Zorzin, 2015 | |||||||||
| Filtek Bulk Flow | 3.73 (0.08) | 10 | Optilux 501, Kerr, Orange, CA, USA; ≥ 600 | Tsujimoto, 2017 | ||||||||
| 0.81 | 5 | Bluephase20i, Ivoclar-Vivadent; 1200 | Zorzin, 2015 | |||||||||
| Venus BF | 5.01 (0.02) | 10 | SmartLite iQ2, Model No. 200, Dentsply Caulk, 800 | 5.0 (4.5–5.6) | 0.78 (0.03) | 0.67 (0.10) | 0.8 (0.5–1.1) | 0.59 (0.07) | 10 | SmartLite iQ2, Model No. 200, Dentsply Caulk; 800 | Garcia, 2014 | |
| 5.57 (0.28) | 3 | Bluephase, Ivoclar Vivadent; 950 ± 50 | Benetti, 2015 | |||||||||
| 1.12 * | 1.04 * | 6 | Elipar Freelight 2, 3 M ESPE; 1226 | Czasch, 2013 | ||||||||
| 0.97 (0.02) | 5 | Demetron A.1, Kerr/Sybron, Orange, CA, USA; 1000 ± 50 | El-Damanhoury, 2014 | |||||||||
| 0.98 | 8 | Bluephase, Ivoclar Vivadent; 700 | Jang, 2015 | |||||||||
| 4.16 (0.75) ^ | 3 | TC-01, Spring Health Products, USA; 1100 | Garoushi, 2013 | |||||||||
| 0.85 | 5 | Bluephase20i, Ivoclar-Vivadent; 1200 | Zorzin, 2015 | |||||||||
| Beautifil Bulk Flow | 3.62 (0.06) | 10 | Optilux 501, Kerr, Orange, CA, USA; ≥600 | 3.6 (3.5–3.7) | Tsujimoto, 2017 | |||||||
| 3.55 (.03) | 5 | BlueShot LED curing light, Shofu; 700 | 0.76 * | 0.51 * | 5 | BlueShot LED curing light, Shofu; 700 | Yap, 2016 | |||||
| Ever-X Posterior | 5.29 (0.19) | 5 | Demi LED light Orange, CA, USA; 1100 | 4.4 (2.8–6.1) | Goracci, 2014 | |||||||
| 3.6 (0.03) | 5 | BlueShot LED curing light, Shofu; 700 | 0.73 * | 0.65 * | 0.58 * | 5 | BlueShot LED curing light, Shofu; 700 | Yap, 2016 | ||||
| X-tra Base | 5.68 (0.21) | 3 | Bluephase, Ivoclar Vivadent; 950 ± 50 | 5.3 (4.5–6.1) | Benetti, 2015 | |||||||
| 4.87 (0.3) ^ | 3 | TC-01, Spring Health Products, USA; 1100 | Garoushi, 2013 | |||||||||
| 1.00 | 5 | Bluephase20i, Ivoclar-Vivadent; 1200 | Zorzin, 2015 | |||||||||
| Xenius Base | 4.58 (0.5) ^ | 3 | TC-01, Spring Health Products, USA; 1100 | Garoushi, 2013 | ||||||||
Publisher’s Note: MDPI stays neutral with regard to jurisdictional claims in published maps and institutional affiliations. |
© 2021 by the authors. Licensee MDPI, Basel, Switzerland. This article is an open access article distributed under the terms and conditions of the Creative Commons Attribution (CC BY) license (https://creativecommons.org/licenses/by/4.0/).
Share and Cite
Ajaj, R.A.; Farsi, N.J.; Alzain, L.; Nuwaylati, N.; Ghurab, R.; Nassar, H.M. Dental Bulk-Fill Resin Composites Polymerization Efficiency: A Systematic Review and Meta-Analysis. J. Compos. Sci. 2021, 5, 149. https://doi.org/10.3390/jcs5060149
Ajaj RA, Farsi NJ, Alzain L, Nuwaylati N, Ghurab R, Nassar HM. Dental Bulk-Fill Resin Composites Polymerization Efficiency: A Systematic Review and Meta-Analysis. Journal of Composites Science. 2021; 5(6):149. https://doi.org/10.3390/jcs5060149
Chicago/Turabian StyleAjaj, Reem A., Nada J. Farsi, Lama Alzain, Nour Nuwaylati, Raneem Ghurab, and Hani M. Nassar. 2021. "Dental Bulk-Fill Resin Composites Polymerization Efficiency: A Systematic Review and Meta-Analysis" Journal of Composites Science 5, no. 6: 149. https://doi.org/10.3390/jcs5060149
APA StyleAjaj, R. A., Farsi, N. J., Alzain, L., Nuwaylati, N., Ghurab, R., & Nassar, H. M. (2021). Dental Bulk-Fill Resin Composites Polymerization Efficiency: A Systematic Review and Meta-Analysis. Journal of Composites Science, 5(6), 149. https://doi.org/10.3390/jcs5060149

