Thermoelastic Stress and Deformation Analyses of Functionally Graded Doubly Curved Shells
Abstract
1. Introduction
2. Effective Material Properties
3. Heat Conduction Analysis
4. Coupled Thermoelastic Analysis
4.1. Kinematic and Kinetic Assumptions
4.2. An RMVT-Based Weak-form Formulation
4.3. System Equations and Boundary Conditions
5. Illustrative Examples
5.1. Sandwiched Composite Spherical Shells
5.2. FG Cylindrical Shells
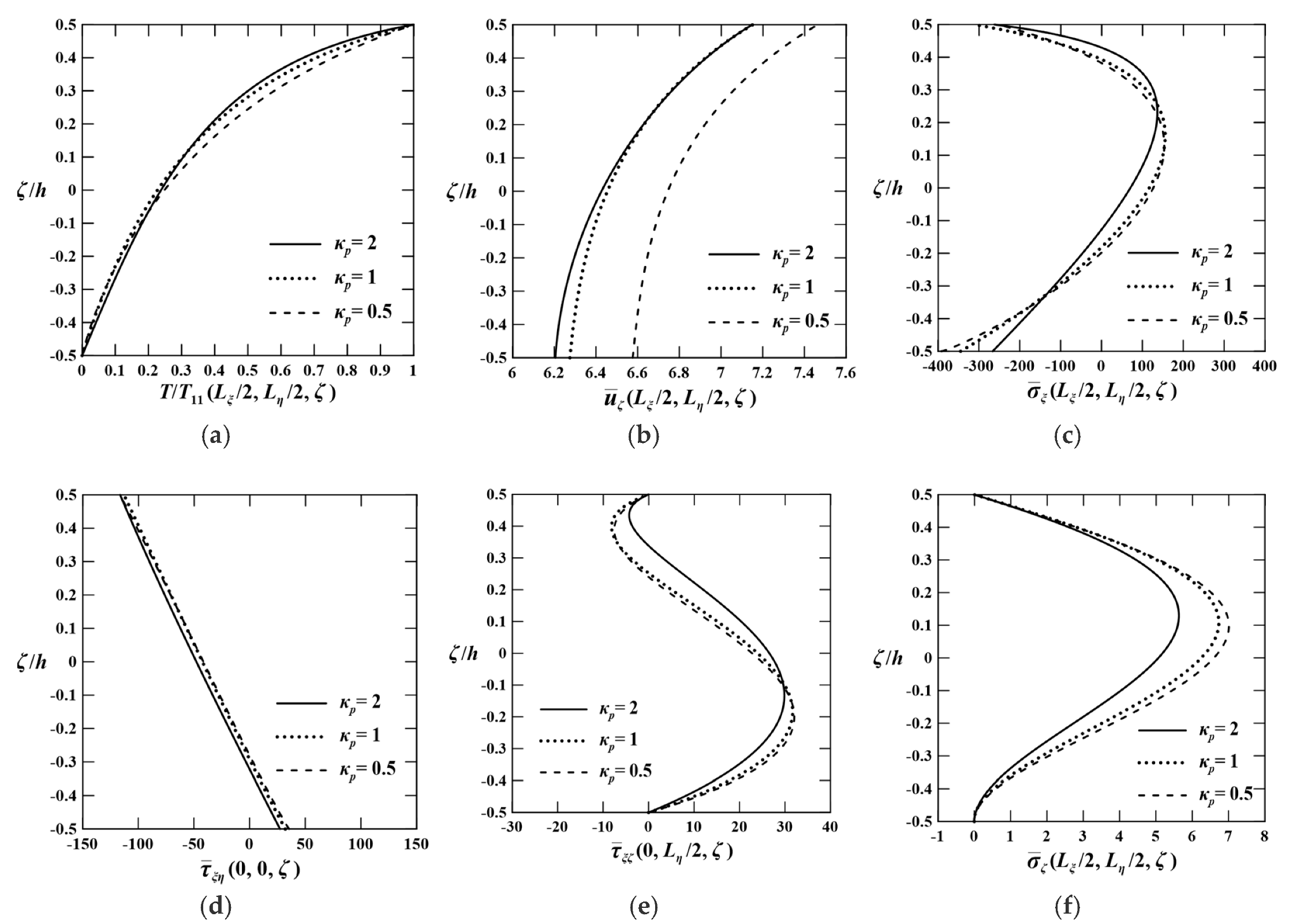
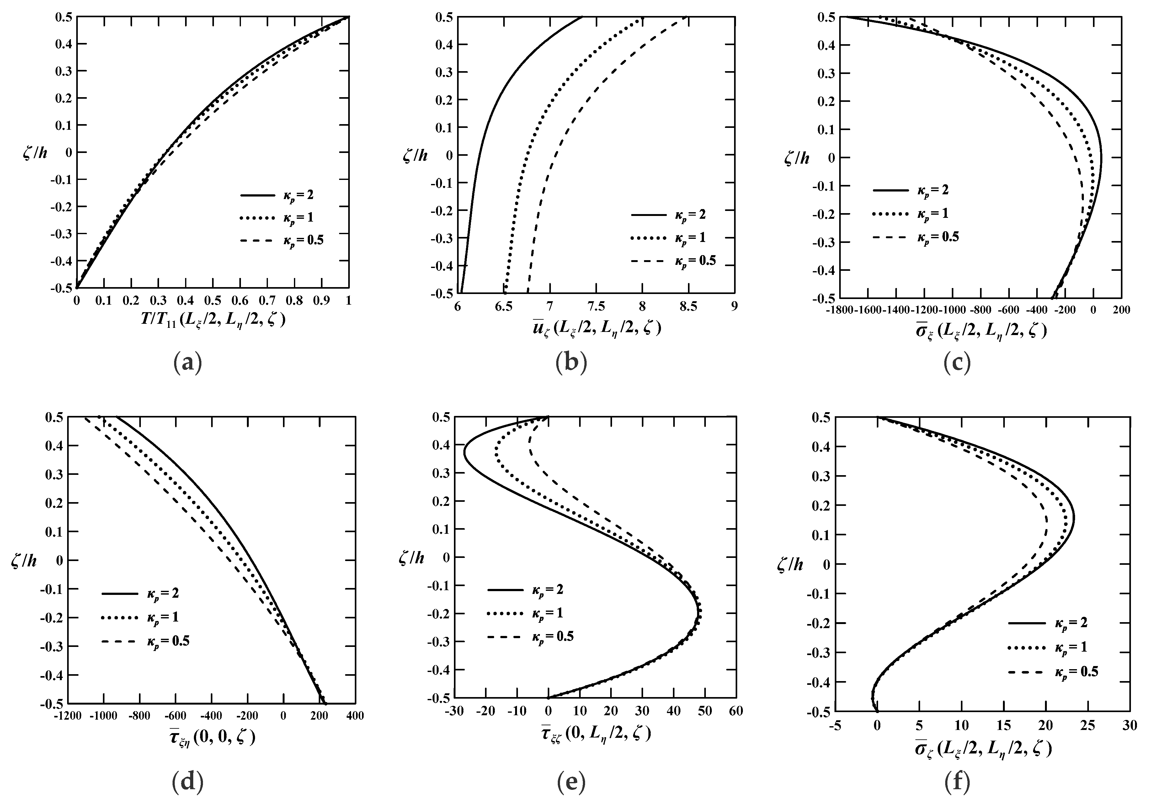
5.3. FGDC Shells
6. Concluding Remarks
Author Contributions
Funding
Conflicts of Interest
References
- Koizumi, M. FGM activities in Japan. Compos. Part B 1997, 28, 1–4. [Google Scholar] [CrossRef]
- Koizumi, M. Recent progress of functionally graded materials in Japan. Ceram. Eng. Sci. Proc. 1992, 13, 333–347. [Google Scholar]
- Shaw, L.L. Thermal residual stresses in plates and coating composed of multi-layered and functionally graded materials. Compos. Part B 1998, 29, 199–210. [Google Scholar] [CrossRef]
- Hill, R. A self-consistent mechanics of composite materials. J. Mech. Phys. Solids 1965, 13, 213–222. [Google Scholar] [CrossRef]
- Chi, S.H.; Chung, Y.L. Mechanical behavior of functionally graded material plates under transverse load-Part I: Analysis. Int. J. Solids Struct. 2006, 43, 3657–3674. [Google Scholar] [CrossRef]
- Chung, Y.L.; Chang, H.X. Mechanical behavior of rectangular plates with functionally graded coefficient of thermal expansion subjected to thermal loading. J. Therm. Stresses 2008, 31, 368–388. [Google Scholar] [CrossRef]
- Dai, H.L.; Dai, T. Analysis of the thermoelastic bending of a functionally graded material cylindrical shell. Meccanica 2014, 49, 1069–1081. [Google Scholar] [CrossRef]
- Zenkour, A.M.; Alghamdi, N.A. Bending analysis of functionally graded sandwich plates under the effect of mechanical and thermal loads. Mech. Adv. Mater. Struct. 2010, 17, 419–432. [Google Scholar] [CrossRef]
- Zenkour, A.M.; Alghamdi, N.A. Thermoelastic bending analysis of functionally graded sandwich plates. J. Mater. Sci. 2008, 43, 2574–2589. [Google Scholar] [CrossRef]
- Kreja, I. Equivalent single-layer models in deformation analysis of laminated multilayered plates. Acta Mech. 2019, 230, 2827–2851. [Google Scholar] [CrossRef]
- Grigolyuk, E.I.; Kulikov, G.M. Numerical solution of problems involving the statics of geometrically nonlinear anisotropic multilayer shells of revolution. Mech. Compos. Mater. 1981, 17, 294–302. [Google Scholar] [CrossRef]
- Grigolyuk, E.I.; Kulikov, G.M. Theory and numerical solution of problems of the statics of multilayered reinforced shells. Mech. Compos. Mater. 1987, 22, 450–457. [Google Scholar] [CrossRef]
- Washizu, K. Variational Methods in Elasticity and Plasticity; Pergamon Press: New York, NY, USA, 1982. [Google Scholar]
- Grigolyuk, E.I.; Kulikov, G.M. Generalized model of the mechanics of thin-walled structures made of composite materials. Mech. Compos. Mater. 1989, 24, 537–543. [Google Scholar] [CrossRef]
- Carrera, E. Theories and finite elements for multilayered plates and shells: A unified compact formulation with numerical assessments and benchmarking. Arch. Comput. Methods Eng. 2003, 10, 215–296. [Google Scholar] [CrossRef]
- Carrera, E.; Boscolo, C.M.; Robaldo, A. Hierarchic multilayered plate elements for coupled multifield problems of piezoelectric adaptive structures: Formulation and numerical assessment. Arch. Comput. Methods Eng. 2007, 14, 383–430. [Google Scholar] [CrossRef]
- Carrera, E. An assessment of mixed and classical theories for the thermal stress analysis of orthotropic multilayered plates. J. Therm. Stresses 2000, 23, 797–831. [Google Scholar] [CrossRef]
- Carrera, E.; Brischetto, S.; Robaldo, A. Variable kinematic model for the analysis of functionally graded materials plates. AIAA J. 2008, 46, 194–203. [Google Scholar] [CrossRef]
- Brischetto, S.; Carrera, E. Coupled thermo mechanical analysis of one-layered and multilayered plates. Compos. Struct. 2010, 92, 1793–1812. [Google Scholar] [CrossRef]
- Brischetto, S.; Carrera, E. Thermal stress analysis by refined multilayered composite shell theories. J. Therm. Stresses 2009, 32, 165–186. [Google Scholar] [CrossRef]
- Carrera, E. Historical review of zig-zag theories for multilayered plates and shells. Appl. Mech. Rev. 2003, 56, 287–308. [Google Scholar] [CrossRef]
- Brischetto, S.; Leetsch, R.; Carrera, E.; Wallmersperger, T.; Kröplin, B. Thermo mechanical bending of functionally graded plates. J. Therm. Stresses 2008, 31, 286–308. [Google Scholar] [CrossRef]
- Carrera, E. An assessment of mixed and classical theories on global and local response of multilayered orthotropic plates. Compos. Struct. 2000, 50, 183–198. [Google Scholar] [CrossRef]
- Carrera, E.; Cinefra, M.; Fazzolari, F.A. Some results on thermal stress of layered plates and shells by using unified formulation. J. Therm. Stresses 2013, 36, 589–625. [Google Scholar] [CrossRef]
- Cinefra, M.; Carrera, E.; Brischetto, S.; Belouettar, S. Thermo mechanical analysis of functionally graded shells. J. Therm. Stresses 2010, 33, 942–963. [Google Scholar] [CrossRef]
- Cinefra, M.; Petrolo, M.; Li, G.; Carrera, E. Variable kinematic shell elements for composite laminates accounting for hygrothermal effects. J. Therm. Stresses 2017, 40, 1523–1544. [Google Scholar] [CrossRef]
- Cinefra, M.; Valvano, S.; Carrera, E. Thermal stress analysis of laminated structures by a variable kinematic MICC9 shell element. J. Therm. Stresses 2016, 39, 121–141. [Google Scholar] [CrossRef]
- Carrera, E.; Cinefra, M.; Zappino, E.; Petrolo, M. Finite Element Analysis of Structures through Unified Formulation; John Wiley & Sons Ltd.: Chichester, UK, 2014. [Google Scholar]
- Fazzolari, F.A. Reissner’s mixed variational theorem and variable kinematics in the modeling of laminated composite and FGM doubly curved shells. Compos. Part B Eng. 2016, 89, 408–423. [Google Scholar] [CrossRef]
- Fazzolari, F.A.; Carrera, E. Coupled thermoelastic effect in free vibration analysis of anisotropic multilayered plates and FGM plates by using a variable-kinematics Ritz formulation. Eur. J. Mech. A/Solids 2014, 44, 157–174. [Google Scholar] [CrossRef]
- Fazzolari, F.A. Model characteristics of P- and S-FGM plates with temperature-dependent materials in thermal environment. J. Therm. Stresses 2016, 39, 854–873. [Google Scholar] [CrossRef]
- Reddy, J.N.; Cheng, Z.Q. Three-dimensional thermomechanical deformations of functionally graded rectangular plates. Eur. J. Mech. A/Solids 2001, 20, 841–855. [Google Scholar] [CrossRef]
- Mori, T.; Tanaka, K. Average stress in matrix and average elastic energy of materials with misfitting inclusions. Acta Metall. 1973, 21, 571–574. [Google Scholar] [CrossRef]
- Reddy, J.N.; Chin, C.D. Thermomechanical analysis of functionally graded cylinders and plates. J. Therm. Stresses 1998, 21, 593–626. [Google Scholar] [CrossRef]
- Jabbari, M.; Sohrabpour, S.; Eslami, M.R. Mechanical and thermal stresses in functionally graded hollow cylinder due to radially symmetric loads. Int. J. Press. Vessel Pip. 2002, 79, 493–497. [Google Scholar] [CrossRef]
- Jabbari, M.; Sohrabpour, S.; Eslami, M.R. General solution for mechanical and thermal stresses in a functionally graded hollow cylinder due to nonaxisymmetric steady-state loads. J. Appl. Mech. 2003, 70, 111–118. [Google Scholar] [CrossRef]
- Poultangari, R.; Jabbari, M.; Eslami, M.R. Functionally graded hollow spheres under non-axisymmetric thermo mechanical loads. Int. J. Pressure Vessel Pip. 2008, 85, 295–305. [Google Scholar] [CrossRef]
- Kulikov, G.M.; Plotnikova, S.V. 3D exact thermoelastic analysis of laminated composite shells via sampling surfaces method. Compos. Struct. 2014, 115, 120–130. [Google Scholar] [CrossRef]
- Kulikov, G.M.; Plotnikova, S.V. Three-dimensional thermal stress analysis of laminated composite plates with general layups by a sampling surfaces method. Eur. J. Mech. A/Solids 2015, 49, 214–226. [Google Scholar] [CrossRef]
- Kulikov, G.M.; Plotnikova, S.V. A sampling surfaces method and its implementation for 3D thermal stress analysis of functionally graded plates. Compos. Struct. 2015, 120, 315–325. [Google Scholar] [CrossRef]
- Akbari Alashti, R.A.; Khorsand, M. Three-dimensional nonlinear thermoelastic analysis of functionally graded cylindrical shells with piezoelectric layers by differential quadrature method. Acta Mech. 2012, 223, 2565–2590. [Google Scholar] [CrossRef]
- Arefi, M. Nonlinear thermoelastic analysis of thick-walled functionally graded piezoelectric cylinder. Acta Mech. 2013, 224, 2771–2783. [Google Scholar] [CrossRef]
- Adineh, M.; Kadkhodayan, M. Three-dimensional thermoelastic analysis of multi-directional functionally graded rectangular plates on elastic foundation. Acta Mech. 2017, 228, 881–899. [Google Scholar] [CrossRef]
- Wu, C.P.; Chiu, K.H.; Wang, Y.M. A review on the three-dimensional analytical approaches of multilayered and functionally graded piezoelectric plates and shells. CMC Comput. Mater. Contin. 2008, 8, 93–132. [Google Scholar]
- Wu, C.P.; Liu, Y.C. A review of semi-analytical numerical methods for laminated composite and multilayered functionally graded elastic/piezoelectric plates and shells. Compos. Struct. 2006, 147, 1–15. [Google Scholar] [CrossRef]
- Reddy, J.N. A simple higher-order theory for laminated composite plates. J. Appl. Mech. 1984, 51, 745–752. [Google Scholar] [CrossRef]
- Shen, H.S. Nonlinear bending response of functionally graded plates subjected to transverse loads and in thermal environments. Int. J. Mech. Sci. 2002, 44, 561–584. [Google Scholar] [CrossRef]
- Shen, H.S. Nonlinear thermal bending response of FGM plates due to heat conduction. Compos. Part B 2007, 38, 201–215. [Google Scholar] [CrossRef]
- Shen, H.S.; Wang, H. Nonlinear bending of FGM cylindrical panels resting on elastic foundations in thermal environments. Eur. J. Mech. A/Solids 2015, 49, 49–59. [Google Scholar] [CrossRef]
- Mahapatra, T.R.; Kar, V.R.; Panda, S.K.; Mehar, K. Nonlinear thermoelastic deflection of temperature-dependent FGM curved shallow shell under nonlinear thermal loading. J. Therm. Stresses 2017, 40, 1184–1199. [Google Scholar] [CrossRef]
- Wu, C.P.; Ding, S. Coupled thermo electro-mechanical analysis of sandwiched hybrid functionally graded elastic material and piezoelectric plates under thermal loads. Proc. Inst. Mech. Eng. Part C J. Mech. Eng. Sci. 2018, 232, 1851–1870. [Google Scholar] [CrossRef]
- Wu, C.P.; Li, H.Y. The RMVT- and PVD-based finite layer methods for the three-dimensional analysis of multilayered composite and FGM plates. Compos. Struct. 2010, 92, 2476–2496. [Google Scholar] [CrossRef]
- Wu, C.P.; Chang, Y.T. A unified formulation of RMVT-based finite cylindrical layer methods for sandwich circular hollow cylinders with an embedded FGM layer. Compos. Part B 2012, 43, 3318–3333. [Google Scholar] [CrossRef]
- Wu, C.P.; Li, H.Y. An RMVT-based finite rectangular prism method for the 3D analysis of sandwich FGM plates with various boundary conditions. CMC Comput. Mater. Contin. 2013, 34, 27–62. [Google Scholar]
- Wu, C.P.; Li, H.Y. RMVT-based finite cylindrical prism methods for multilayered functionally graded circular hollow cylinders with various boundary conditions. Compos. Struct. 2013, 100, 592–608. [Google Scholar] [CrossRef]
- Wu, C.P.; Lu, Y.C. A modified Pagano method for the 3D dynamic responses of functionally graded magneto-electro-elastic plates. Compos. Struct. 2009, 90, 363–372. [Google Scholar] [CrossRef]
- Khare, R.K.; Kant, T.; Garg, A.K. Closed-form thermo mechanical solutions of higher-order theories of cross-ply laminated shallow shells. Compos. Struct. 2003, 59, 313–340. [Google Scholar] [CrossRef]
- Murakami, H. Laminated composite plates theory with improved in-plane response. J. Appl. Mech. 1986, 53, 661–666. [Google Scholar] [CrossRef]






| Theories | (Plates) | |||
|---|---|---|---|---|
| Linear FDCL method | ||||
| (, ) | 4.3444 | 4.3683 | 4.3744 | 4.3764 |
| (, ) | 4.3518 | 4.375 | 4.3809 | 4.3828 |
| (, ) | 4.3422 | 4.3656 | 4.3715 | 4.3734 |
| (, ) | 4.3497 | 4.3732 | 4.3791 | 4.3811 |
| (, ) | 4.3498 | 4.3733 | 4.3792 | 4.3811 |
| (, ) | 4.3496 | 4.373 | 4.3789 | 4.3809 |
| Quadratic FDCL method | ||||
| (, ) | 4.3493 | 4.3728 | 4.3787 | 4.3806 |
| (, ) | 4.3494 | 4.3728 | 4.3787 | 4.3807 |
| (, ) | 4.3495 | 4.373 | 4.3789 | 4.3808 |
| (, ) | 4.3496 | 4.373 | 4.3789 | 4.3809 |
| Cubic FDCL method | ||||
| (, ) | 4.3497 | 4.3731 | 4.379 | 4.381 |
| (, ) | 4.3496 | 4.373 | 4.3789 | 4.3809 |
| (, ) | 4.3496 | 4.373 | 4.3789 | 4.3809 |
| (, ) | 4.3496 | 4.373 | 4.3789 | 4.3809 |
| CLT [20] | 1.8043 | 1.8025 | 1.8021 | 1.8019 |
| FSDT [20] | 3.1472 | 3.1632 | 3.1672 | 3.1685 |
| FSDT [57] | 3.2618 | 3.2745 | 3.2775 | 3.2784 |
| HSDT [57] | 4.2032 | 4.2343 | 3.2422 | 4.2448 |
| ED1 [20] | 3.1466 | 3.1631 | 3.1672 | 3.1685 |
| ED2 [20] | 3.0306 | 3.0471 | 3.0512 | 3.0525 |
| ED3 [20] | 4.1867 | 4.2308 | 4.2419 | 4.2456 |
| ED4 [20] | 4.1928 | 4.236 | 4.2469 | 4.2505 |
| EDZ1 [20] | 4.3705 | 4.419 | 4.4312 | 4.4352 |
| EDZ2 [20] | 4.3228 | 4.372 | 4.3843 | 4.3885 |
| EDZ3 [20] | 4.3261 | 4.3754 | 4.3878 | 4.3919 |
| LD1 [20] | 4.3417 | 4.3653 | 4.3712 | 4.3732 |
| LD2 [20] | 4.342 | 4.3651 | 4.3709 | 4.3729 |
| LD3 [20] | 4.3427 | 4.3658 | 4.3716 | 4.3736 |
| LD4 [20] | 4.3426 | 4.3657 | 4.3715 | 4.3735 |
| Cubic FDCL Methods | |||||||
|---|---|---|---|---|---|---|---|
| 50 | −3.6818 | 0.5008 | 7.4042 | −1444.4 | 27.552 | 5.2791 | |
| −3.5948 | 0.4855 | 7.2241 | −1461.3 | 26.87 | 5.1512 | ||
| −3.5685 | 0.4807 | 7.1693 | −1466.5 | 26.643 | 5.0905 | ||
| −3.5614 | 0.4794 | 7.1546 | −1467.8 | 26.5804 | 5.0744 | ||
| −3.5591 | 0.4789 | 7.1498 | −1468.3 | 26.56 | 5.0692 | ||
| LD2 [25] | −4.162 | 0.9074 | 8.8684 | −1409.8 | −7.3846 | 319.18 | |
| LD8 [25] | −3.5545 | 0.488 | 7.1548 | −1470.8 | 26.664 | 7.5271 | |
| LD14 [25] | −3.5477 | 0.4837 | 7.1361 | −1470.4 | 26.459 | 5.1982 | |
| Quasi-3D [25] | −3.5466 | 0.4833 | 7.1337 | −1481.4 | 26.448 | 5.0753 | |
| 1000 | −1.8435 | −0.4301 | 45.001 | −1127.2 | −5.4085 | 0.2023 | |
| −1.8033 | −0.4214 | 44 | −1150 | −5.2768 | 0.245 | ||
| −1.7913 | −0.4188 | 43.7 | −1156.9 | −5.2373 | 0.24 | ||
| −1.7881 | −0.4181 | 43.62 | −1158.7 | −5.2268 | 0.2393 | ||
| −1.787 | −0.4179 | 43.593 | −1159.3 | −5.2233 | 0.2391 | ||
| LD2 [25] | −1.8872 | −0.3785 | 48.034 | −1098.6 | −6.6837 | 259.6 | |
| LD8 [25] | −1.7886 | −0.4176 | 43.653 | −1159.3 | −5.2415 | −1.7681 | |
| LD14 [25] | −1.7871 | −0.4178 | 43.6 | −1159.2 | −5.2262 | 0.3165 | |
| Quasi-3D [25] | −1.7868 | −0.4178 | 43.59 | −1170.2 | −5.2242 | 0.2428 |
| Materials | Properties P(T) | P0 | P−1 | P1 | P2 | P3 |
|---|---|---|---|---|---|---|
| Zirconia [34] | E (GPa) | 244.27 | 0 | −1.371 × 10−3 | 1.214 × 10−6 | −3.681 × 10−10 |
| ν | 0.2882 | 0 | 1.133 × 10−4 | 0 | 0 | |
| α (1/K) | 12.766 × 10−6 | 0 | −1.491 × 10−3 | 1.00 × 10−5 | −6.778 × 10−11 | |
| λ (W/m K) | 1.7000 | 0 | 1.276 × 10−4 | 6.648 × 10−8 | 0 | |
| Ti-6Al-4V [34] | E (GPa) | 122.56 | 0 | −4.586 × 10−4 | 0 | 0 |
| ν | 0.2884 | 0 | 1.121 × 10−4 | 0 | 0 | |
| α (1/K) | 7.5788 × 10−6 | 0 | 6.638 × 10−4 | −3.147 × 10−6 | 0 | |
| λ (W/m K) | 1.0000 | 0 | 1.704 × 10−2 | 0 | 0 |
© 2019 by the authors. Licensee MDPI, Basel, Switzerland. This article is an open access article distributed under the terms and conditions of the Creative Commons Attribution (CC BY) license (http://creativecommons.org/licenses/by/4.0/).
Share and Cite
Wu, C.-P.; He, Y.-W. Thermoelastic Stress and Deformation Analyses of Functionally Graded Doubly Curved Shells. J. Compos. Sci. 2019, 3, 94. https://doi.org/10.3390/jcs3040094
Wu C-P, He Y-W. Thermoelastic Stress and Deformation Analyses of Functionally Graded Doubly Curved Shells. Journal of Composites Science. 2019; 3(4):94. https://doi.org/10.3390/jcs3040094
Chicago/Turabian StyleWu, Chih-Ping, and Yu-Wen He. 2019. "Thermoelastic Stress and Deformation Analyses of Functionally Graded Doubly Curved Shells" Journal of Composites Science 3, no. 4: 94. https://doi.org/10.3390/jcs3040094
APA StyleWu, C.-P., & He, Y.-W. (2019). Thermoelastic Stress and Deformation Analyses of Functionally Graded Doubly Curved Shells. Journal of Composites Science, 3(4), 94. https://doi.org/10.3390/jcs3040094

