Effect of Silica Particles on Moisture Resistance and Mechanical Performance in Flax/Epoxy RTM Composites: Matrix Modification
Abstract
1. Introduction
2. Materials and Manufacturing
2.1. Materials
2.2. Matrix Modification Method
2.3. Laminate Fabrication
3. Experimental Methods
3.1. Nanoparticle Characterisation
3.1.1. Dynamic Light Scattering (DLS)
3.1.2. Scanning Transmission Electron Microscopy (STEM)
3.2. Resin Characterisation
3.2.1. Rheology
3.2.2. Differential Scanning Calorimetry (DSC)
3.2.3. Thermogravimetric Analysis (TGA)
3.3. Laminate Characterisation
3.3.1. Void Content
3.3.2. Water Uptake
3.3.3. Tensile Testing
4. Results and Discussion
4.1. Structural and Rheological Properties of Silica-Modified Resins
4.2. Influence on Laminate Quality
4.3. Water Uptake Behaviour
4.4. Effects of Silica and Moisture on
4.5. Thermogravimetric Analysis
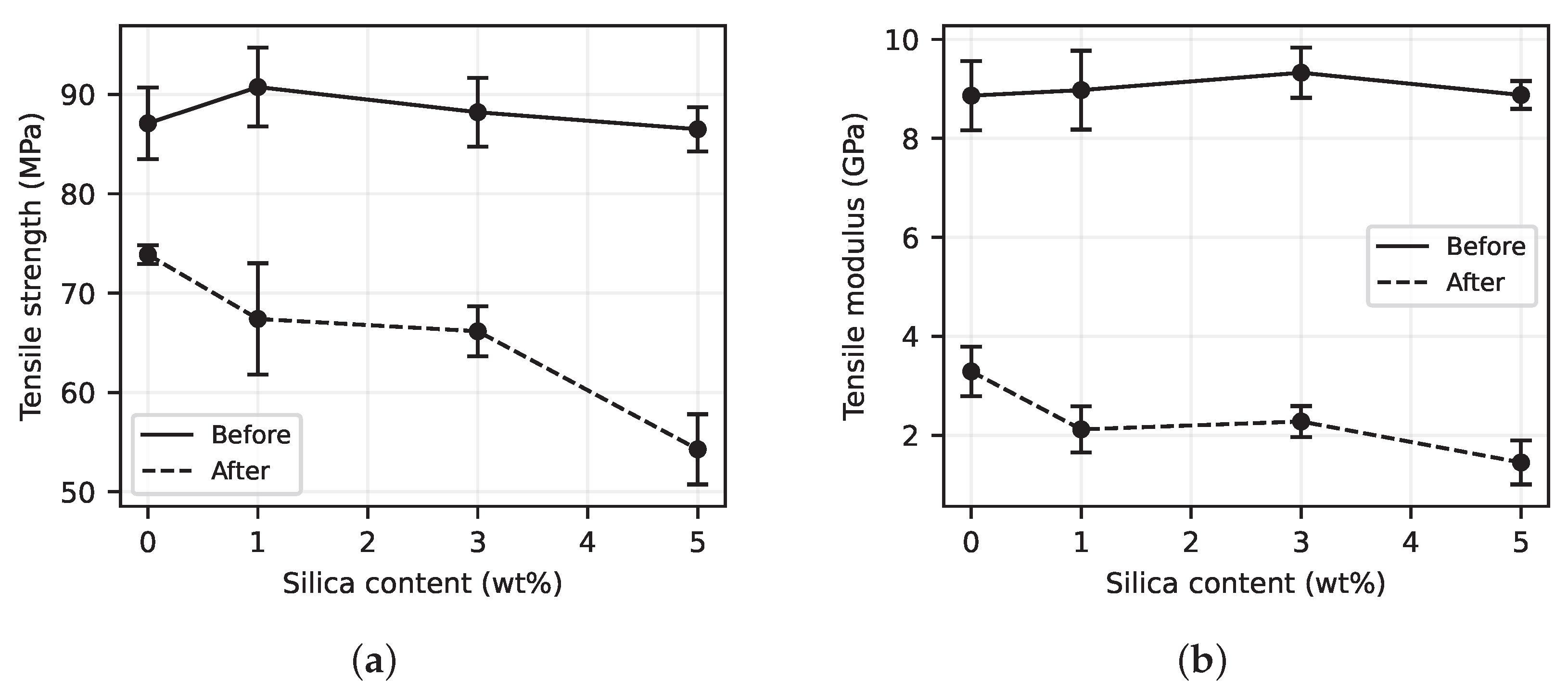
4.6. Mechanical Characterisation
5. Conclusions
- Fumed silica formed aggregates in the epoxy, as evidenced by DLS and STEM measurements, and did not break down to primary particle size during processing. These aggregates caused a strong, non-linear increase in viscosity with rising particle content, with 5 wt% silica leading to pronounced shear-thinning behaviour.
- The higher viscosity at 5 wt% silica content impaired RTM impregnation and led to a substantial increase in void content, whereas laminates with 0–3 wt% silica showed negligible porosity. Thus, matrix modification directly influenced laminate microstructure through its effect on flow behaviour. Future work should explore process parameter optimisation (e.g., injection pressure, mould temperature, and resin preheating) to reduce void formation at silica loadings above 3 wt%.
- Both the epoxy composites and the flax/epoxy laminates showed higher equilibrium water uptake with increasing silica content. In the epoxy composites, this was attributed to silica-related sorption sites and interfacial free volume. In the laminates, elevated void contents, particularly at 5 wt%, further accelerated moisture ingress via capillary transport, causing the highest and fastest uptake in the highest tested concentration.
- DSC revealed a decrease in glass transition temperature with increasing particle content and after water absorption, with the largest decrease seen for the 5 wt% epoxy composite. Together with TGA, which showed only a modest gain in thermal stability, this indicated that silica-induced softening and moisture plasticisation dominated over any small improvements in high-temperature behaviour.
- Under dry conditions, tensile stiffness and strength were only weakly affected by silica addition. After water saturation, however, stiffness and strength were significantly reduced for all laminates, with the most severe degradation in the 5 wt% configuration. This behaviour was consistent with the combined effects of higher moisture uptake and void-related stress concentrations in the highly filled material. As mechanical testing was conducted at 23 °C, the observed degradation reflected both moisture-induced effects and the proximity of the reduced to the test temperature. Multi-temperature testing is recommended for future studies to further distinguish these mechanisms.
Supplementary Materials
Author Contributions
Funding
Data Availability Statement
Acknowledgments
Conflicts of Interest
Abbreviations
| BMC | Bulk Moulding Compound |
| CV | Coefficient of Variation |
| DLS | Dynamic Light Scattering |
| DSC | Differential Scanning Calorimetry |
| NFC | Natural Fibre-reinforced Composite |
| RTM | Resin Transfer Moulding |
| STEM | Scanning Transmission Electron Microscopy |
| TGA | Thermogravimetric Analysis |
References
- Elfaleh, I.; Abbassi, F.; Habibi, M.; Ahmad, F.; Guedri, M.; Nasri, M.; Garnier, C. A comprehensive review of natural fibers and their composites: An eco-friendly alternative to conventional materials. Results Eng. 2023, 19, 101271. [Google Scholar] [CrossRef]
- de Beus, N.; Carus, M.; Barth, M. Carbon Footprint and Sustainability of Different Natural Fibres for Biocomposites and Insulation Material: Full Version Update 2019; nova-Institut GmbH: Hürth, Germany, 2019. [Google Scholar]
- Maiti, S.; Islam, M.R.; Uddin, M.A.; Afroj, S.; Eichhorn, S.J.; Karim, N. Sustainable fiber-reinforced composites: A review. Adv. Sustain. Syst. 2022, 6, 2200258. [Google Scholar] [CrossRef]
- Dittenber, D.B.; GangaRao, H.V. Critical review of recent publications on use of natural composites in infrastructure. Compos. Part A Appl. Sci. Manuf. 2012, 43, 1419–1429. [Google Scholar] [CrossRef]
- Yan, L.; Chouw, N.; Jayaraman, K. Flax fibre and its composites—A review. Compos. Part B Eng. 2014, 56, 296–317. [Google Scholar] [CrossRef]
- Terry, J.S.; Taylor, A.C. The properties and suitability of commercial bio-based epoxies for use in fiber-reinforced composites. J. Appl. Polym. Sci. 2021, 138, 50417. [Google Scholar] [CrossRef]
- Azwa, Z.; Yousif, B.; Manalo, A.; Karunasena, W. A review on the degradability of polymeric composites based on natural fibres. Mater. Des. 2013, 47, 424–442. [Google Scholar] [CrossRef]
- Assarar, M.; Scida, D.; El Mahi, A.; Poilâne, C.; Ayad, R. Influence of water ageing on mechanical properties and damage events of two reinforced composite materials: Flax-fibres and glass-fibres. Mater. Des. 2011, 32, 788–795. [Google Scholar] [CrossRef]
- Scida, D.; Assarar, M.; Poilâne, C.; Ayad, R. Influence of hygrothermal ageing on the damage mechanisms of flax-fibre reinforced epoxy composite. Compos. Part B Eng. 2013, 48, 51–58. [Google Scholar] [CrossRef]
- Lu, M.M.; Fuentes, C.A.; Van Vuure, A.W. Moisture sorption and swelling of flax fibre and flax fibre composites. Compos. Part B Eng. 2022, 231, 109538. [Google Scholar] [CrossRef]
- Moudood, A.; Rahman, A.; Khanlou, H.M.; Hall, W.; Öchsner, A.; Francucci, G. Environmental effects on the durability and the mechanical performance of flax fiber/bio-epoxy composites. Compos. Part B Eng. 2019, 171, 284–293. [Google Scholar] [CrossRef]
- Chaudhary, V.; Bajpai, P.K.; Maheshwari, S. Effect of moisture absorption on the mechanical performance of natural fiber reinforced woven hybrid bio-composites. J. Nat. Fibers 2020, 17, 84–100. [Google Scholar] [CrossRef]
- Mishra, T.; Mandal, P.; Rout, A.K.; Sahoo, D. A state-of-the-art review on potential applications of natural fiber-reinforced polymer composite filled with inorganic nanoparticle. Compos. Part C Open Access 2022, 9, 100298. [Google Scholar] [CrossRef]
- Guchait, A.; Saxena, A.; Chattopadhyay, S.; Mondal, T. Influence of nanofillers on adhesion properties of polymeric composites. ACS Omega 2022, 7, 3844–3859. [Google Scholar] [CrossRef] [PubMed]
- Prasad, V.; Suresh, D.; Joseph, M.; Sekar, K.; Ali, M. Development of flax fibre reinforced epoxy composite with nano TiO2 addition into matrix to enhance mechanical properties. Mater. Today Proc. 2018, 5, 11569–11575. [Google Scholar] [CrossRef]
- Raja, T.; Devarajan, Y.; Logesh, K.; Rajiv, A.; Upadhye, V.J.; Tiwari, K. An in-depth investigation into the utilization of nettle fiber-reinforced epoxy composites with embedded MgO nanoparticles. J. Reinf. Plast. Compos. 2025, 44, 2862–2873. [Google Scholar] [CrossRef]
- Ruksakulpiwat, Y.; Sridee, J.; Suppakarn, N.; Sutapun, W. Improvement of impact property of natural fiber–polypropylene composite by using natural rubber and EPDM rubber. Compos. Part B Eng. 2009, 40, 619–622. [Google Scholar] [CrossRef]
- Ankit; Sharma, R.; Kumar Sharma, D.; Agarwal, R.; Lal Rinawa, M.; Subbiah, R.; Kumar, P.M. Investigating the effect of nanoclay content on the mechanical characteristics of natural fiber epoxy composite. Mater. Today Proc. 2022, 66, 1319–1323. [Google Scholar] [CrossRef]
- Dias, E.; Chalse, H.; Mutha, S.; Mundhe, Y.; Ambhore, N.; Kulkarni, A.; Mache, A. Review on synthetic/natural fibers polymer composite filled with nanoclay and their mechanical performance. Mater. Today Proc. 2023, 77, 916–925. [Google Scholar] [CrossRef]
- Ekbatani, S.; Wang, Y.; Huo, S.; Papageorgiou, D.; Zhang, H. Nano-engineered hierarchical natural fibre composites with localised cellulose nanocrystals and tailored interphase for improved mechanical properties. Compos. Sci. Technol. 2024, 255, 110719. [Google Scholar] [CrossRef]
- Nair, S.N.; Dasari, A. Development and characterization of natural-fiber-based composite panels. Polymers 2022, 14, 2079. [Google Scholar] [CrossRef]
- Barthel, H.; Rösch, L.; Weis, J. Fumed silica-production, properties, and applications. In Organosilicon Chemistry Set; Wiley-VCH Verlag GmbH & Co. KGaA: Weinheim, Germany, 2005; Chapter 91; pp. 761–778. [Google Scholar] [CrossRef]
- Kawaguchi, M. Dispersion stabilities and rheological properties of fumed silica suspensions. J. Dispers. Sci. Technol. 2017, 38, 642–660. [Google Scholar] [CrossRef]
- Cheema, T.; Lichtner, A.; Weichert, C.; Böl, M.; Garnweitner, G. Fabrication of transparent polymer-matrix nanocomposites with enhanced mechanical properties from chemically modified ZrO2 nanoparticles. J. Mater. Sci. 2012, 47, 2665–2674. [Google Scholar] [CrossRef]
- Cheema, T.; Garnweitner, G. Fabrication of Optimized Nanocomposites Employing Chemically Modified Nanoparticles. Chem. Ing. Tech. 2012, 84, 301–308. [Google Scholar] [CrossRef]
- Kockmann, A.; Porsiel, J.; Saadat, R.; Garnweitner, G. Impact of nanoparticle surface modification on the mechanical properties of polystyrene-based nanocomposites. RSC Adv. 2018, 8, 11109–11118. [Google Scholar] [CrossRef]
- Wichmann, M.H.G.; Cascione, M.; Fiedler, B.; Quaresimin, M.; Schulte, K. Influence of surface treatment on mechanical behaviour of fumed silica/epoxy resin nanocomposites. Compos. Interfaces 2006, 13, 699–715. [Google Scholar] [CrossRef]
- Ghaleh, V.R.; Mohammadi, A. The stability and surface activity of environmentally responsive surface-modified silica nanoparticles: The importance of hydrophobicity. J. Dispers. Sci. Technol. 2020, 41, 1299–1310. [Google Scholar] [CrossRef]
- Parida, P.K.; Alam, M.I.; Ghosh, R.; Pradhan, A.K.; Pandit, M.K.; Maharana, S.M. Thermo-mechanical characterizations and erosion wear studies of fumed silica-reinforced jute/epoxy composites. J. Reinf. Plast. Compos. 2025, 44, 1483–1502. [Google Scholar] [CrossRef]
- Pandian, C.K.A.; Jailani, H.S. Formulation and characterisation of jute fabric–linen fabric–fumed silica–epoxy hybrid laminates. J. Text. Inst. 2022, 113, 151–158. [Google Scholar] [CrossRef]
- Tarrío-Saavedra, J.; López-Beceiro, J.; Naya, S.; Artiaga, R. Effect of silica content on thermal stability of fumed silica/epoxy composites. Polym. Degrad. Stab. 2008, 93, 2133–2137. [Google Scholar] [CrossRef]
- Kiaei, M.; Amiri, H.; Samariha, A.; Amani, N. Effect of nanosilica on thermal, flammability, and morphological properties of WF/rPS-based nanocomposites. CERNE 2018, 24, 59–66. [Google Scholar] [CrossRef]
- Dittanet, P.; Pearson, R.A.; Kongkachuichay, P. Thermo-mechanical behaviors and moisture absorption of silica nanoparticle reinforcement in epoxy resins. Int. J. Adhes. Adhes. 2017, 78, 74–82. [Google Scholar] [CrossRef]
- Anbukarasi, K.; Hussain, S.I.; Roseline, A.A.; Kalaiselvam, S. Effect of SiO2 nanospheres on mechanical, thermal and water absorption behaviours of luffa-coir/epoxy hybrid composites. Mater. Res. Express 2019, 6, 125618. [Google Scholar] [CrossRef]
- Ekin, N.; Icduygu, M.G.; Gültek, A. Investigation of long-term water absorption behavior of carbon fabric reinforced epoxy composites containing hydrophobic nanosilica. Turk. J. Chem. 2016, 40, 321–331. [Google Scholar] [CrossRef]
- Gholamian, F.; Ghariban-Lavasani, S.; Garshasbi, M.; Ansari, M.; Bataghv, F.; Moraveji, A.; Ranjbar, Z. The effects of water absorption and surface treatment on mechanical properties of epoxy nanocomposite using response surface methodology. Polym. Bull. 2013, 70, 1677–1695. [Google Scholar] [CrossRef]
- Dufficy, M.K.; Geiger, M.T.; Bonino, C.A.; Khan, S.A. Electrospun Ultrafine Fiber Composites Containing Fumed Silica: From Solution Rheology to Materials with Tunable Wetting. Langmuir 2015, 31, 12455–12463. [Google Scholar] [CrossRef] [PubMed]
- Rishi, K.; Pallerla, L.; Beaucage, G.; Tang, A. Dispersion of surface-modified, aggregated, fumed silica in polymer nanocomposites. J. Appl. Phys. 2020, 127, 174702. [Google Scholar] [CrossRef]
- Barthel, H.; Heinemann, M.; Stintz, M.; Wessely, B. Particle Sizes of Fumed Silica. Chem. Eng. Technol. 1998, 21, 745–752. [Google Scholar] [CrossRef]
- Barthel, H.; Dreyer, M.; Gottschalk-Gaudig, T.; Litvinov, V.; Nikitina, E. Fumed silica-rheological additive for adhesives, resins, and paints. Macromol. Symp. 2002, 187, 752–766. [Google Scholar] [CrossRef]
- Sánchez, J.H.; Rubio-Hernández, F.J.; Páez-Flor, N.M. Time-dependent viscous flow behavior of a hydrophobic fumed silica suspension. Processes 2021, 9, 807. [Google Scholar] [CrossRef]
- Moy, P.; Karasz, F. Epoxy-water interactions. Polym. Eng. Sci. 1980, 20, 315–319. [Google Scholar] [CrossRef]
- Matykiewicz, D.; Barczewski, M.; Sterzyński, T. Morphology and thermomechanical properties of epoxy composites highly filled with waste bulk molding compounds (BMC). J. Polym. Eng. 2015, 35, 805–811. [Google Scholar] [CrossRef]
- Barabanova, A.; Philippova, O.; Askadskii, A.; Khokhlov, A. Transparent epoxy/silica nanocomposites with increased glass transition temperatures. Procedia Chem. 2012, 4, 352–359. [Google Scholar] [CrossRef]
- Ou, C.F.; Shiu, M.C. Epoxy composites reinforced by different size silica nanoparticles. J. Appl. Polym. Sci. 2010, 115, 2648–2653. [Google Scholar] [CrossRef]
- Zeng, C.; Lu, S.; Xiao, X.; Gao, J.; Pan, L.; He, Z.; Yu, J. Enhanced thermal and mechanical properties of epoxy composites by mixing noncovalently functionalized graphene sheets. Polym. Bull. 2014, 72, 453–472. [Google Scholar] [CrossRef]
- Samsudin, S.S.; Abdul Majid, M.S.; Mohd Jamir, M.R.; Osman, A.F.; Jaafar, M.; Alshahrani, H.A. Physical, thermal transport, and compressive properties of epoxy composite filled with graphitic- and ceramic-based thermally conductive nanofillers. Polymers 2022, 14, 1014. [Google Scholar] [CrossRef]
- Alamri, H.; Low, I. Effect of water absorption on the mechanical properties of nano-filler reinforced epoxy nanocomposites. Mater. Des. 2012, 42, 214–222. [Google Scholar] [CrossRef]
- Xian, G.; Niu, Y.; Qi, X.; Tian, J.; Li, C.; Yue, Q.; Guo, R. Water absorption and property evolution of epoxy resin under hygrothermal environment. J. Mater. Res. Technol. 2024, 31, 3982–3997. [Google Scholar] [CrossRef]
- Feng, Y.; Wang, B.; Wang, F.; Zhao, Y.; Liu, C.; Chen, J.; Shen, C. Thermal degradation mechanism and kinetics of polycarbonate/silica nanocomposites. Polym. Degrad. Stab. 2014, 107, 129–138. [Google Scholar] [CrossRef]
- Kashiwagi, T.; Du, F.; Douglas, J.; Winey, K.; Harris, R.H., Jr.; Shields, J. Nanoparticle Networks Reduce the Flammability of Polymer Nanocomposites. Nat. Mater. 2006, 4, 928–933. [Google Scholar] [CrossRef]
- Arbelaiz, A.; Fernández, B.; Ramos, J.; Mondragon, I. Thermal and crystallization studies of short flax fibre reinforced polypropylene matrix composites: Effect of treatments. Thermochim. Acta 2006, 440, 111–121. [Google Scholar] [CrossRef]
- Cao, Y.; Chan, F.; Chui, Y.H.; Xiao, H. Characterization of flax fibres modified by alkaline, enzyme, and steam-heat treatments. Bioresources 2012, 7, 4109–4121. [Google Scholar] [CrossRef]
- Kumar, R.; Ganguly, A.; Purohit, R. Thermogravimetric analysis of natural fiber reinforced hybrid composites—A review. Mater. Today Proc. 2023; in press. [Google Scholar] [CrossRef]
- Kim, K.M.; Kim, H.; Kim, H.J. Enhancing thermo-mechanical properties of epoxy composites using fumed silica with different surface treatment. Polymers 2021, 13, 2691. [Google Scholar] [CrossRef] [PubMed]
- Balaji, D.; Kumar, P.S.; Bhuvaneshwari, V.; Rajeshkumar, L.; Singh, M.K.; Sanjay, M.; Siengchin, S. A review on effect of nanoparticle addition on thermal behavior of natural fiber–reinforced composites. Heliyon 2025, 11, e41192. [Google Scholar] [CrossRef] [PubMed]











| System | Silica Content (wt%) | (%) | CV () | D ( m2·s−1) | CV (D) |
|---|---|---|---|---|---|
| Flax/epoxy laminates (30 d) | |||||
| Flax/epoxy | 0 | 0.0043 | 0.061 | ||
| Flax/epoxy | 1 | 0.0058 | 0.027 | ||
| Flax/epoxy | 3 | 0.0120 | 0.091 | ||
| Flax/epoxy | 5 | 0.1328 | 0.088 | ||
| Resin specimens (92 d) | |||||
| Resin | 0 | 0.0021 | 0.019 | ||
| Resin | 5 | 0.0083 | 0.031 | ||
Disclaimer/Publisher’s Note: The statements, opinions and data contained in all publications are solely those of the individual author(s) and contributor(s) and not of MDPI and/or the editor(s). MDPI and/or the editor(s) disclaim responsibility for any injury to people or property resulting from any ideas, methods, instructions or products referred to in the content. |
© 2026 by the authors. Licensee MDPI, Basel, Switzerland. This article is an open access article distributed under the terms and conditions of the Creative Commons Attribution (CC BY) license.
Share and Cite
Kuhr, I.; Nirmala, T.; Luplow, T.; Garnweitner, G.; Heimbs, S. Effect of Silica Particles on Moisture Resistance and Mechanical Performance in Flax/Epoxy RTM Composites: Matrix Modification. J. Compos. Sci. 2026, 10, 101. https://doi.org/10.3390/jcs10020101
Kuhr I, Nirmala T, Luplow T, Garnweitner G, Heimbs S. Effect of Silica Particles on Moisture Resistance and Mechanical Performance in Flax/Epoxy RTM Composites: Matrix Modification. Journal of Composites Science. 2026; 10(2):101. https://doi.org/10.3390/jcs10020101
Chicago/Turabian StyleKuhr, Isabelle, Teresa Nirmala, Tim Luplow, Georg Garnweitner, and Sebastian Heimbs. 2026. "Effect of Silica Particles on Moisture Resistance and Mechanical Performance in Flax/Epoxy RTM Composites: Matrix Modification" Journal of Composites Science 10, no. 2: 101. https://doi.org/10.3390/jcs10020101
APA StyleKuhr, I., Nirmala, T., Luplow, T., Garnweitner, G., & Heimbs, S. (2026). Effect of Silica Particles on Moisture Resistance and Mechanical Performance in Flax/Epoxy RTM Composites: Matrix Modification. Journal of Composites Science, 10(2), 101. https://doi.org/10.3390/jcs10020101

