Theoretical Analysis of Viscoelastic Friction System Characteristics of Robotic Arm Brake Based on Fractional Differential Theory
Abstract
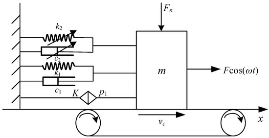
1. Introduction
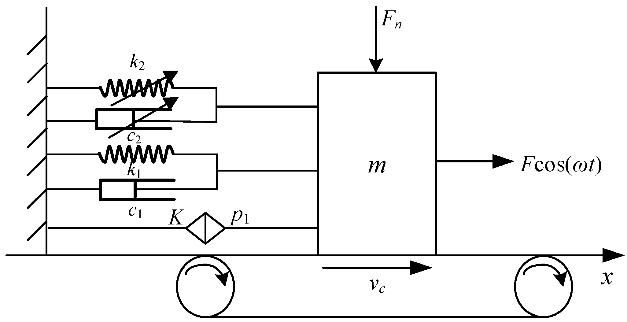
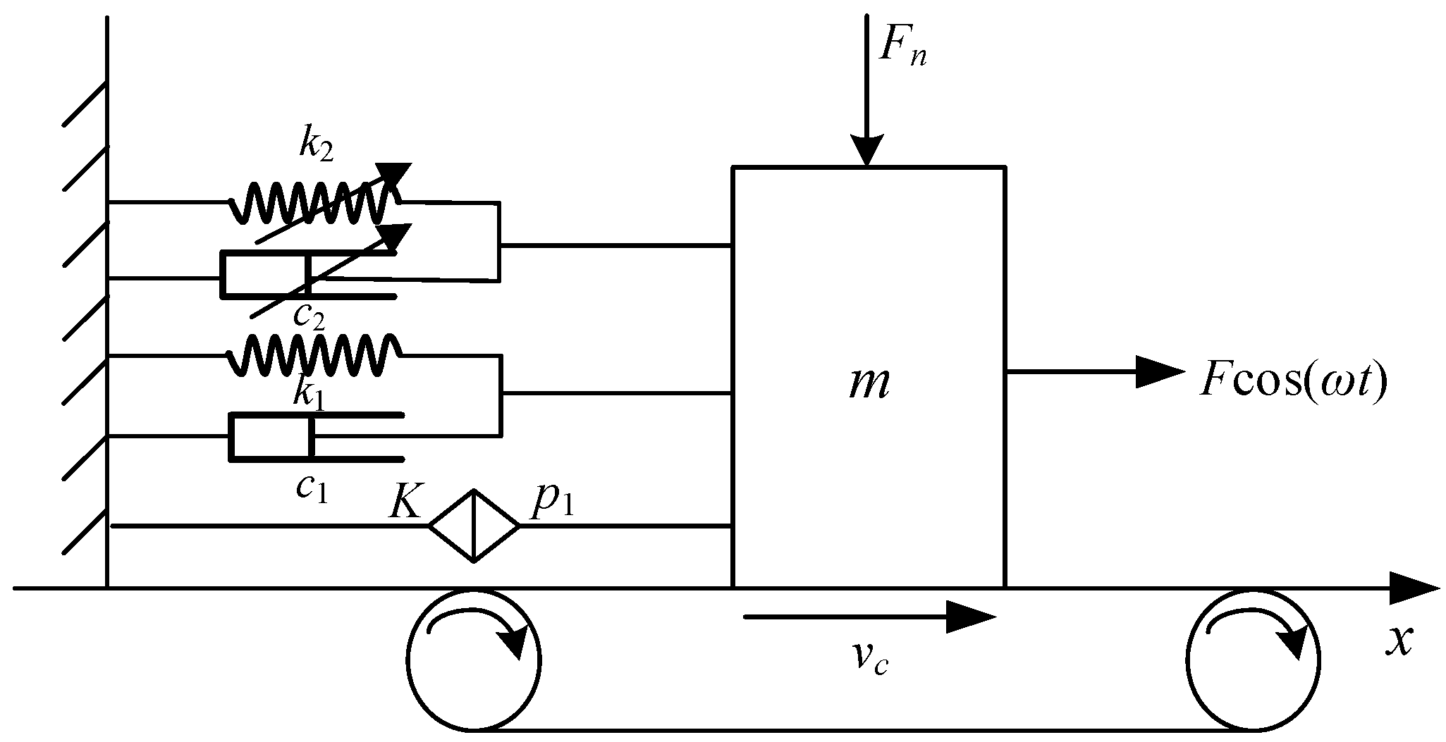
2. Calculating an Approximate Solution
3. Stability Analysis
4. Curve of Amplitude Versus Frequency and Verification of Numerical Solution
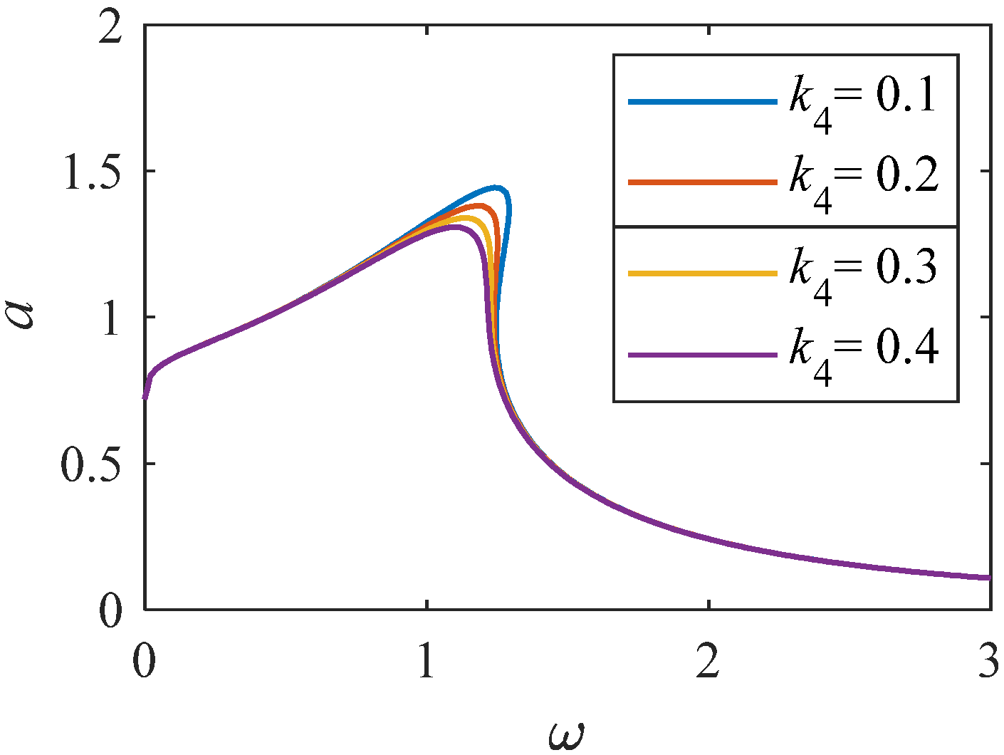
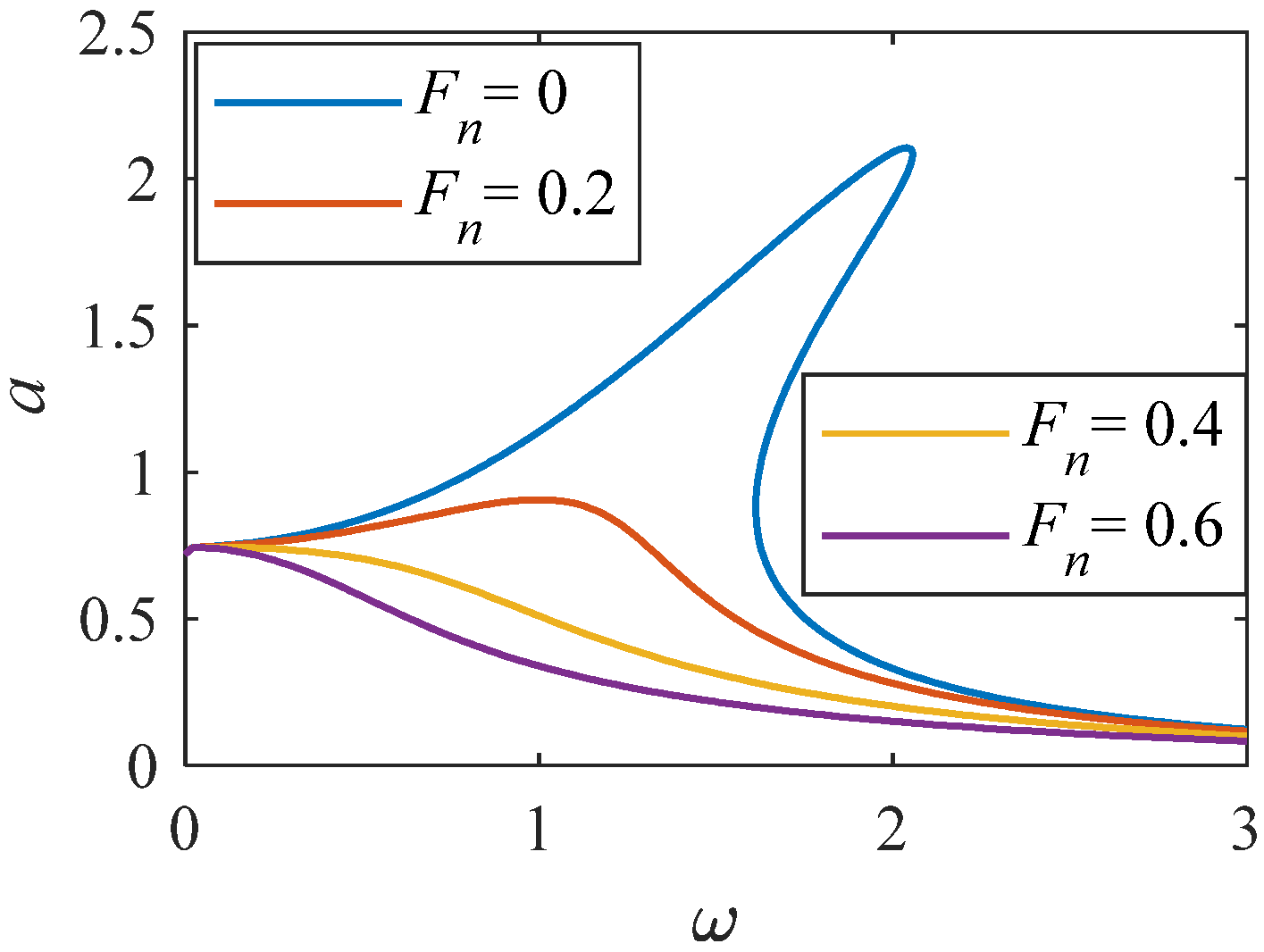
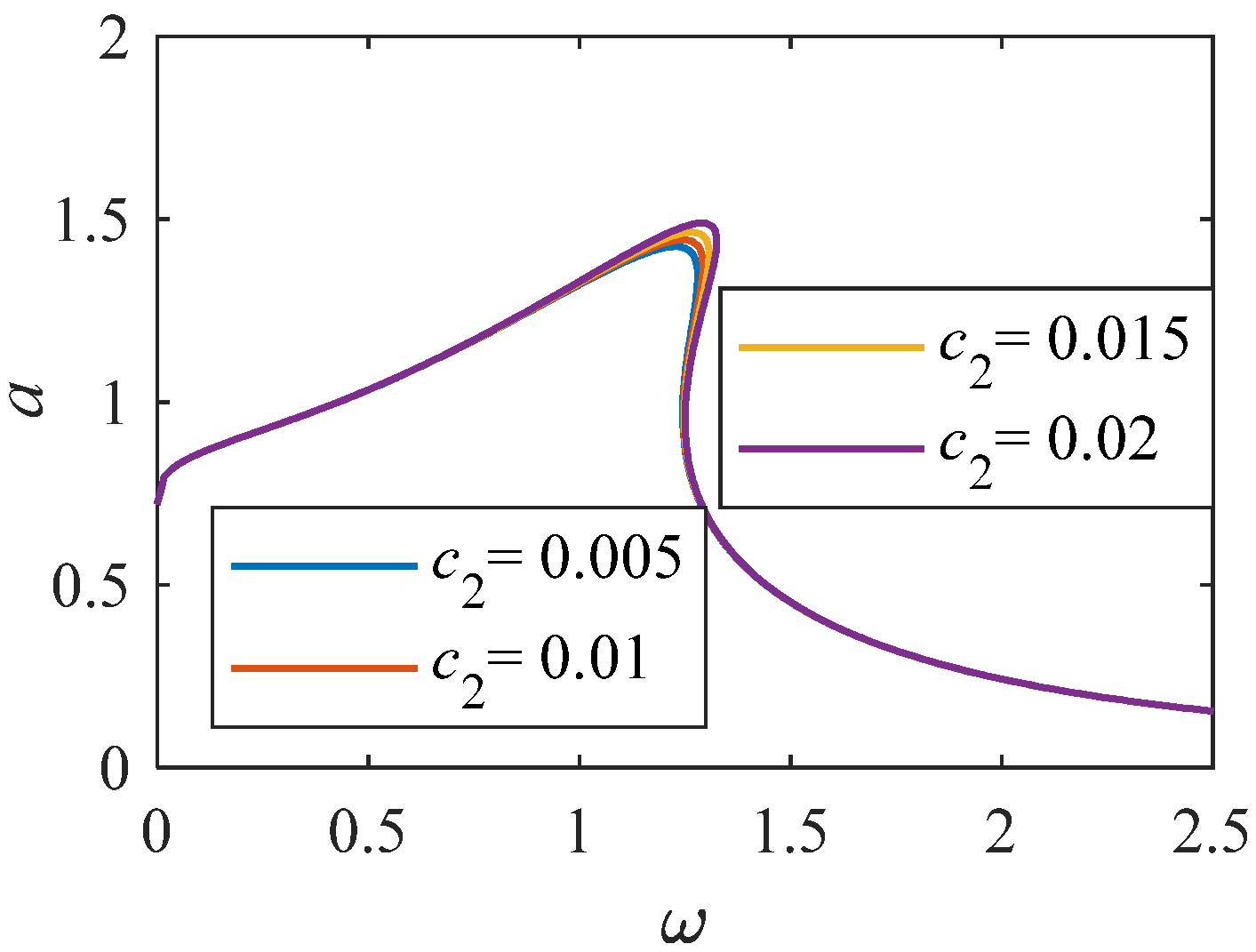
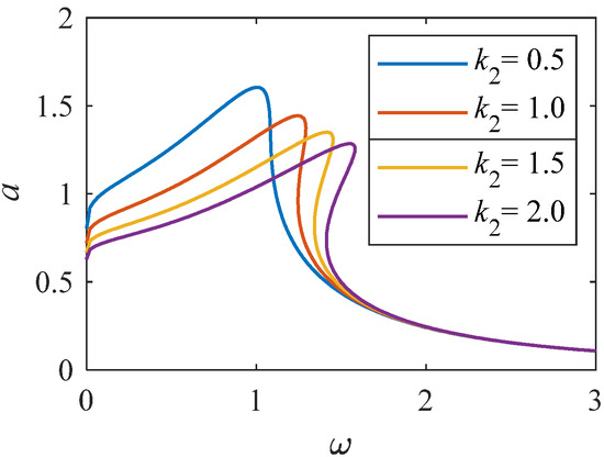
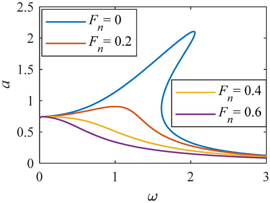
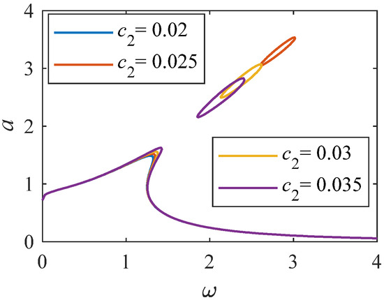
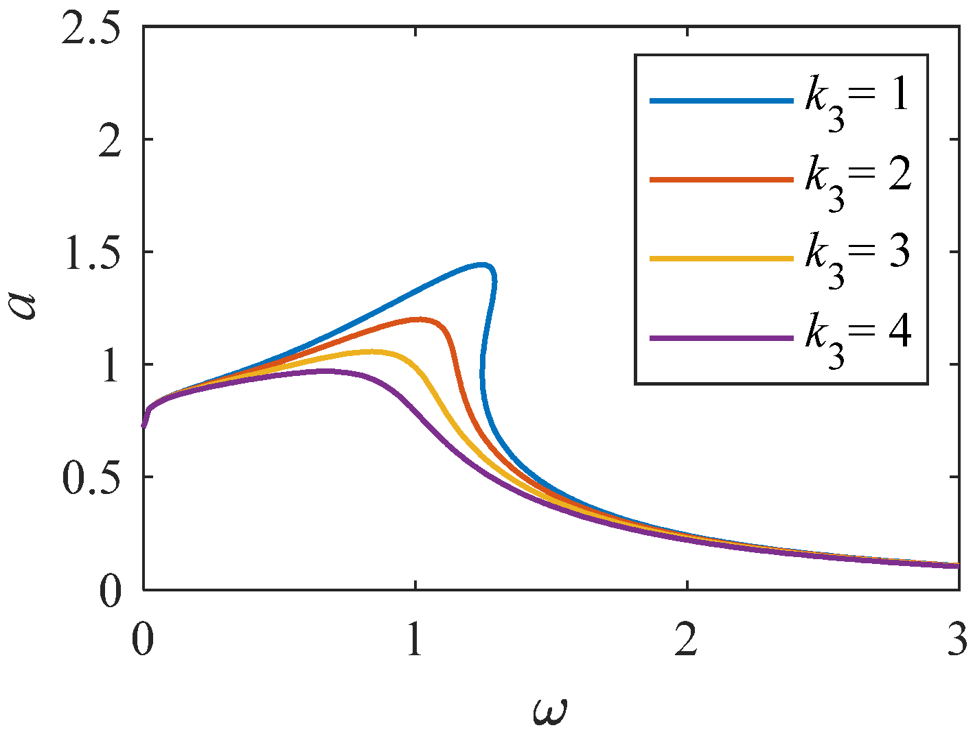
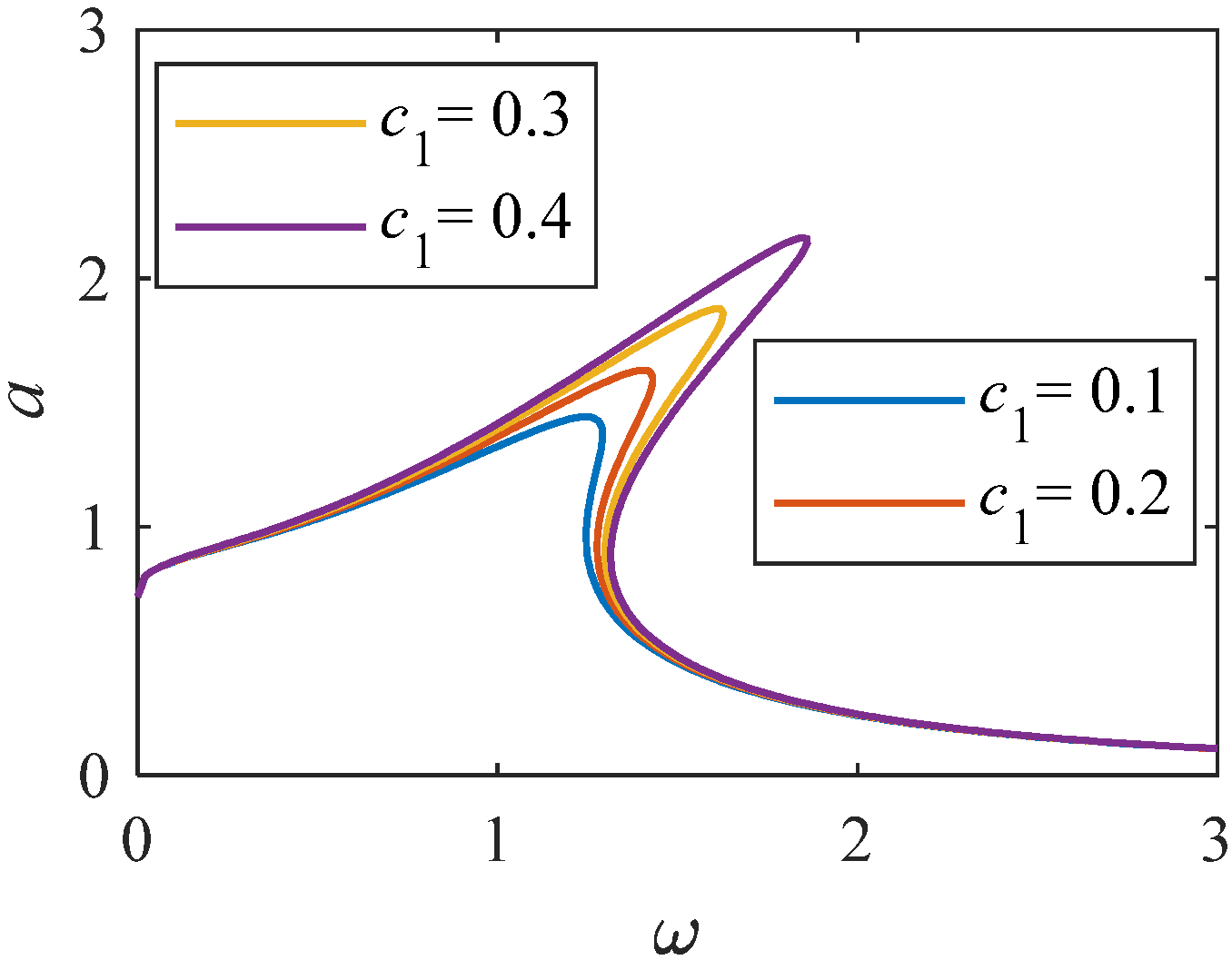
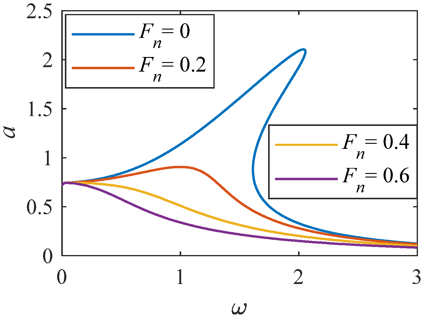
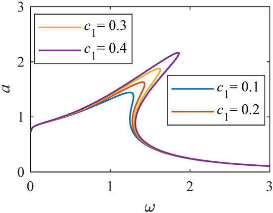
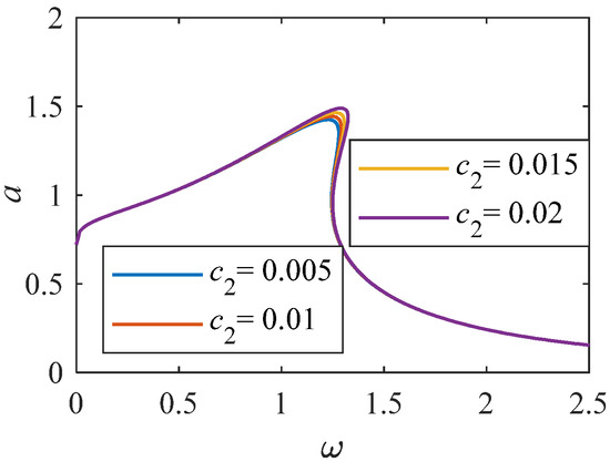
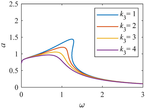
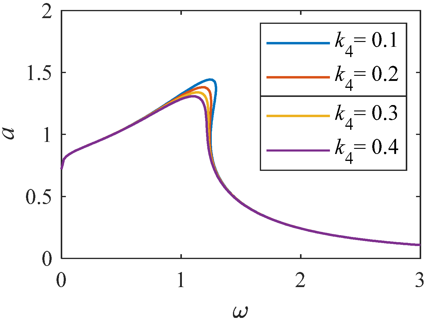
5. Analysis of Amplitude Frequency Response Characteristics
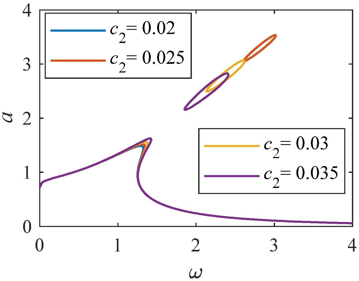
6. Study on the Local Static Bifurcation Response Characteristics of the System
7. Bifurcation Response Characteristics
8. Conclusions
- Adjust fractional order parameters to optimize the vibration characteristics of the system, thereby reducing unnecessary energy loss.
- Based on the amplitude frequency curve, select damping and stiffness parameters reasonably to ensure that the system remains stable under predetermined operating conditions.
- Advantages: (1) Fractional calculus can more accurately describe the memory characteristics and time dependence of viscoelastic materials. (2) Fractional calculus provides a more flexible tool to simulate the complex dynamic behavior of different materials.
- Disadvantages: (1) Compared with integer order calculus, fractional order calculus has more complex calculations, especially in numerical calculations. This may lead to a decrease in computational efficiency, especially when processing large-scale data or conducting real-time simulations. (2) The theoretical foundation of fractional calculus is still relatively weak. The approximate processing of fractional calculus may lead to errors in the results, and further verification and improvement are needed in future research.
Author Contributions
Funding
Data Availability Statement
Conflicts of Interest
References
- Mahdi, H.; Akgun, S.A.; Saleh, S.; Dautenhahn, K. A survey on the design and evolution of social robots—Past, present and future. Robot. Auton. Syst. 2022, 156, 104193. [Google Scholar] [CrossRef]
- Shah, A. Emerging trends in robotic aided additive manufacturing. In Proceedings of the International Conference on Additive Manufacturing and Advanced Materials (AM2), Gandhinagar, India, 6 January 2022. [Google Scholar] [CrossRef]
- Zbiss, K.; Kacem, A.; Santillo, M.; Mohammadi, A. Automatic Collision-Free Trajectory Generation for Collaborative Robotic Car-Painting. IEEE Access 2022, 10, 9950–9959. [Google Scholar] [CrossRef]
- Ju, H.; Park, H.; Kim, N.; Lim, J.; Jung, D.; Lee, J. A Locally Actuatable Soft Robotic Film for Actively Reconfiguring Shapes of Flexible Electronics. Soft Robot. 2022, 9, 767–775. [Google Scholar] [CrossRef] [PubMed]
- Volpe, G.; Cohen, S.; Capps, R.C.; Giacomelli, B.; McManus, R.; Scheckelhoff, K.; Choudhary, K.; Dabestani, A.T.; Hermann, S.; Kuiper, S.; et al. Robotics in acute care hospitals. Am. J. Health Syst. Pharm. 2012, 69, 1601–1603. [Google Scholar] [CrossRef]
- Oran, I.B.; Cezayirlioglu, H.R. AI—Robotic Applications in Logistics Industry and Savings Calculation. J. Organ. Behav. Res. 2021, 6, 148–165. [Google Scholar] [CrossRef]
- Ghiani, L.; Sassu, A.; Palumbo, F.; Mercenaro, L.; Gambella, F. In-Field Automatic Detection of Grape Bunches under a Totally Uncontrolled Environment. Sensors 2021, 21, 3908. [Google Scholar] [CrossRef] [PubMed]
- Liu, X.-F.; Zhang, X.-Y.; Cai, G.-P.; Chen, W.-J. Capturing a Space Target Using a Flexible Space Robot. Appl. Sci. 2022, 12, 984. [Google Scholar] [CrossRef]
- Bocii, L.S.; Sanjuan, J.J.V. Determination of the Braking Characteristics in Case of the Variation Depending on the Temperature of the Material Properties of the Friction Coupling of the Disc Brake of Railway Vehicles. Acta Tech. Napoc. Ser. Appl. Math. Mech. Eng. 2022, 65, 125–134. [Google Scholar]
- Zhang, W.; Zhao, C.; Chen, P.; Chen, E.; Lei, T. Numerical simulation and experimental research on mechanical behaviour of hydraulic disc brakes based on multi-body dynamics. Sci. Rep. 2022, 12, 18594. [Google Scholar] [CrossRef]
- Zhou, S.; Wang, Q.; Liu, J. Control Strategy and Simulation of the Regenerative Braking of an Electric Vehicle Based on an Electromechanical Brake. Trans. Famena 2022, 46, 23–40. [Google Scholar] [CrossRef]
- Yuan, Q. Study on the Influence of Damping Shim on Friction Squeal Characteristics of Automobile Disc Brakes. Noise Vib. Control 2022, 42, 201–207. [Google Scholar]
- Liu, S.H.; Wang, Z.T.; Ren, Y.R.; Ning, K.Y.; Yang, L.L. Research on full-stroke transfer coefficient of brake’s ball-plate forcing mechanism. J. Mach. Des. 2022, 39, 7–12. [Google Scholar]
- Suo, R.; Shi, X. Temperature Field and Stress Field Distribution of Forged Steel Brake Disc for High speed Train. Jordan J. Mech. Ind. Eng. 2022, 16, 113–121. [Google Scholar]
- Christian, S. Canadian space robotic activities. Acta Astronaut. 2004, 41, 239–246. [Google Scholar] [CrossRef]
- Verzijden, P. ERA performance measurements test results. In Proceedings of the 7th ESA Workshop on Advanced Space Technologies for Robotics and Automation ‘ASTRA 2002′ ESTEC, Noordwijk, The Netherlands, 19–21 November 2002. [Google Scholar]
- Shao, Z.Y.; Sun, H.X.; Jia, Q.X. Development of a general 2-dof space module. In Proceedings of the IEEE/RSJ International Conference on Intelligent Robots and Systems, Beijing, China, 9–15 October 2006; pp. 1002–1007. [Google Scholar] [CrossRef]
- Podlubny, I. Chapter 3—Existence and Uniqueness Theorems. In Mathematics in Science and Engineering; Elsevier: Amsterdam, The Netherlands, 1999; Volume 198, pp. 121–136. [Google Scholar] [CrossRef]
- Podlubny, I. Chapter 10—Survey of Applications of the Fractional Calculus. In Mathematics in Science and Engineering; Elsevier: Amsterdam, The Netherlands, 1999; Volume 198, pp. 261–307. [Google Scholar] [CrossRef]
- Podlubny, I. Chapter 9—Fractional-order Systems and Controllers. In Mathematics in Science and Engineering; Elsevier: Amsterdam, The Netherlands, 1999; Volume 198, pp. 243–260. [Google Scholar] [CrossRef]
- Song, Y.; Wang, H.; Chang, Y.; Li, Y. Nonlinear creep model and parameter identification of mudstone based on a modified fractional viscous body. Environ. Earth Sci. 2019, 78, 607. [Google Scholar] [CrossRef]
- Di Paola, M.; Alotta, G.; Burlon, A.; Failla, G. A novel approach to nonlinear variable-order fractional viscoelasticity. Philos. Trans. R. Soc. A Math. Phys. Eng. Sci. 2020, 378, 20190296. [Google Scholar] [CrossRef] [PubMed]
- Mezhoud, R.; Saoudi, K.; Zaraï, A.; Abdelmalek, S. Conditions for the local and global asymptotic stability of the time–fractional Degn–Harrison system. Int. J. Nonlinear Sci. Numer. Simul. 2020, 21, 749–759. [Google Scholar] [CrossRef]
- Birs, I.; Muresan, C.; Nascu, I.; Ionescu, C. A survey of recent advances in fractional order control for time delay systems. IEEE Access 2019, 7, 30951–30965. [Google Scholar] [CrossRef]
- Yavari, M.; Nazemi, A. On fractional infinite-horizon optimal control problems with a combination of conformable and Caputo–Fabrizio fractional derivatives. ISA Trans. 2020, 101, 78–90. [Google Scholar] [CrossRef]
- Pourhashemi, A.; Ramezani, A.; Siahi, M. Dynamic Fractional-Order Sliding Mode Strategy to Control and Stabilize Fractional-Order Nonlinear Biological Systems. IETE J. Research 2020, 68, 2560–2570. [Google Scholar] [CrossRef]
- Tran, N.; Van Au, V.; Zhou, Y.; Tuan, N.H. On a final value problem for fractional reaction-diffusion equation with Riemann-Liouville fractional derivative. Math. Methods Appl. Sci. 2020, 43, 3086–3098. [Google Scholar] [CrossRef]
- Marco, A.; Prabakaran, B.; Ivan, B. Anisotropic fractional viscoelastic constitutive models for human descending thoracic aortas. J. Mech. Behav. Biomed. Mater. 2019, 99, 186–197. [Google Scholar] [CrossRef]
- Lin, Z.L.; Zhang, J.Y.; He, L.Z. Method of Multiple Low-order Harmonic Currents Suppression Based on Fractional-order Capacitor. In Proceedings of the Chinese Society For Electrical Engineering, Wuhan, China, 9 February 2022; Volume 42, pp. 8921–8932. [Google Scholar] [CrossRef]
- Zhuang, B.; Cui, B.T.; Lou, X.Y.; Chen, J. Backstepping-based Output Feedback Boundary Control for Coupled Fractional Reaction-diffusion Systems. Acta Autom. Sin. 2022, 48, 2729–2743. [Google Scholar] [CrossRef]
- Zhu, H.H.; Zhu, J.Z.; Li, S.L.; Fan, J.W.; Done, H.J.; Wu, W.L. Power flow calculation and voltage analysis of fractional order power system. Electr. Mach. Control 2022, 26, 38–46. [Google Scholar] [CrossRef]
- Lu, C.H.; Bai, H.B. Study on Constitutive Model of Viscoelastic Material. Polym. Mater. Sci. Eng. 2007, 23, 28–31. [Google Scholar]
- Dai, J.; Han, M.; Ang, K.K. Moving element analysis of partially filled freight trains subject to abrupt braking. Int. J. Mech. Sci. 2019, 151, 85–94. [Google Scholar] [CrossRef]
- Wu, Q.; Luo, S.; Cole, C. Longitudinal dynamics and energy analysis for heavy haul trains. J. Mod. Transp. 2014, 22, 127–136. [Google Scholar] [CrossRef]
- Mastroddi, F.; Martarelli, F.; Eugeni, M.; Riso, C. Time- and frequency-domain linear viscoelastic modeling of highly damped aerospace structures. Mech. Syst. Signal Process. 2019, 122, 42–55. [Google Scholar] [CrossRef]
- He, Y.; Li, H.B.; Du, J. Dynamic Modulus Fitting Method of Viscoelastic Materials Based on Complex Neural Network. Chin. Q. Mech. 2022, 43, 406–415. [Google Scholar] [CrossRef]
- Li, M.M.; Fang, B.; Zhen, Y.X.; Zhao, J.X. A hybrid vibration isolator based on piezoelectric and viscoelastic materials. J. Vib. Shock 2017, 36, 134–140. [Google Scholar] [CrossRef]
- Tang, Z.H.; Luo, G.H.; Chen, W.; Yang, G.; Fang, J. Parallel dynamic model of rubber isolator about five-parameter fractional derivatives. J. Aerodyn. 2013, 28, 275–282. [Google Scholar] [CrossRef]
- Chang, Y.J.; Tian, W.W.; Chen, E.L.; Shen, Y.J.; Xing, W.C. Dynamic model for the nonlinear hysteresis of metal rubber based on the fractional-order derivative. Vib. Shock 2020, 39, 233–241. [Google Scholar] [CrossRef]
- Hamed, Y.S.; Albogamy, K.M.; Sayed, M. Nonlinear vibrations control of a contact-mode AFM model via a time-delayed positive position feedback. AEJ Alex. Eng. J. 2021, 60, 963–977. [Google Scholar] [CrossRef]
- Kandil, A.; Sayed, M.; Saeed, N.A. On the nonlinear dynamics of constant stiffness coefficients 16-pole rotor active magnetic bearings system. Eur. J. Mech. A/Solids 2020, 84, 104051. [Google Scholar] [CrossRef]
- Ms, A.; Aamb, C.; Imd, E. Stability and bifurcation analysis of a buckled beam via active control. Appl. Math. Model. 2020, 82, 649–665. [Google Scholar] [CrossRef]
- Wang, K. Stability and approximate solution of nonlinear dynamic system of a cylinder with two end faces in relative rotation. Acta Phys. Sin. 2005, 54, 5530–5533. [Google Scholar] [CrossRef]
- Wang, K.; Guan, X.P.; Qiao, J.M. Precise periodic solutions and uniqueness of periodic solutions of some relative rotation nonlinear dynamic system. Acta Phys. Sin. 2010, 59, 3648–3653. [Google Scholar] [CrossRef]
- Podlubny, I. Chapter 2—Fractional Derivatives and Integrals. In Mathematics in Science and Engineering; Elsevier: Amsterdam, The Netherlands, 1999; Volume 198, pp. 41–119. [Google Scholar] [CrossRef]

























| Fn | K | Poincare | Motion State |
|---|---|---|---|
| 2 | 0.5 | Three mapping points | Three cycles |
| 2.5 | 0.5 | Mapping point set | Chaos |
| 4 | 0.5 | Mapping point set | Chaos |
| 5 | 0.5 | Mapping point set | Chaos |
| Fn | K | Poincare | Motion State |
|---|---|---|---|
| 2 | 1.5 | A mapping point | Single cycle |
| 2.55 | 1.5 | Mapping point set | Chaos |
| 2.6 | 1.5 | Three-period mapping | Three cycles |
| 2.71 | 1.5 | Mapping point set | Chaos |
| 2.88 | 1.5 | Biperiodic mapping | Two cycles |
| 3.5 | 1.5 | Mapping point set | Chaos |
| 3.8 | 1.5 | Three-period mapping | Three cycles |
| 4.35 | 1.5 | Mapping point set | Chaos |
| Fn | K | Poincare | Motion State |
|---|---|---|---|
| 2 | 2 | A mapping point | Single cycle |
| 3.5 | 2 | Mapping point set | Chaos |
| 4 | 2 | Biperiodic mapping | Two cycles |
Disclaimer/Publisher’s Note: The statements, opinions and data contained in all publications are solely those of the individual author(s) and contributor(s) and not of MDPI and/or the editor(s). MDPI and/or the editor(s) disclaim responsibility for any injury to people or property resulting from any ideas, methods, instructions or products referred to in the content. |
© 2024 by the authors. Licensee MDPI, Basel, Switzerland. This article is an open access article distributed under the terms and conditions of the Creative Commons Attribution (CC BY) license (https://creativecommons.org/licenses/by/4.0/).
Share and Cite
Ma, W.; Du, Q.; Li, W.; Yang, Z. Theoretical Analysis of Viscoelastic Friction System Characteristics of Robotic Arm Brake Based on Fractional Differential Theory. Fractal Fract. 2024, 8, 565. https://doi.org/10.3390/fractalfract8100565
Ma W, Du Q, Li W, Yang Z. Theoretical Analysis of Viscoelastic Friction System Characteristics of Robotic Arm Brake Based on Fractional Differential Theory. Fractal and Fractional. 2024; 8(10):565. https://doi.org/10.3390/fractalfract8100565
Chicago/Turabian StyleMa, Wenli, Qiaoling Du, Wenhao Li, and Zhenqi Yang. 2024. "Theoretical Analysis of Viscoelastic Friction System Characteristics of Robotic Arm Brake Based on Fractional Differential Theory" Fractal and Fractional 8, no. 10: 565. https://doi.org/10.3390/fractalfract8100565
APA StyleMa, W., Du, Q., Li, W., & Yang, Z. (2024). Theoretical Analysis of Viscoelastic Friction System Characteristics of Robotic Arm Brake Based on Fractional Differential Theory. Fractal and Fractional, 8(10), 565. https://doi.org/10.3390/fractalfract8100565
