An Accurate Approach to Simulate the Fractional Delay Differential Equations
Abstract
:1. Introduction
2. Preliminaries and Notations
3. Legendre Polynomials of Fractional Order
4. Approximating Polynomials and Estimating Errors
5. Implementation of Legendre-SCM for Solving FDDE
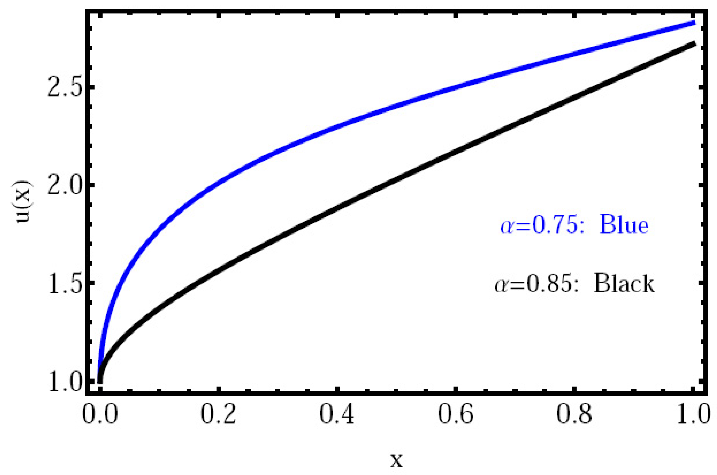
6. Numerical Results
7. Conclusions and Remarks
Author Contributions
Funding
Data Availability Statement
Acknowledgments
Conflicts of Interest
References
- Adel, M.; Srivastava, H.M.; Khader, M.M. Implementation of an accurate method for the analysis and simulation of electrical R-L circuits. Math. Meth. Appl. Sci. 2023, 46, 8362–8371. [Google Scholar] [CrossRef]
- Saadatmandi, A.; Dehghan, M. A new operational matrix for solving fractional-order differential equations. Comput. Math. Appl. 2010, 59, 1326–1336. [Google Scholar] [CrossRef]
- Basti, B.; Hammami, N.; Berrabah, I.; Nouioua, F.; Djemiat, R.; Benhamidouche, N. Stability analysis and existence of solutions for a modified SIRD model of Covid-19 with fractional derivatives. Symmetry 2021, 13, 1431. [Google Scholar] [CrossRef]
- Khoojine, A.S.; Mahsuli, M.; Shadabfar, M.; Hosseini, V.R.; Kordestani, H. A proposed fractional dynamic system and Monte Carlo-based back analysis for simulating the spreading profile of Covid. Eur. Phys. J. Spec. Top. 2022, 19, 1–11. [Google Scholar]
- Butt, A.I.K.; Imran, M.; Batool, S.; Nuwairan, M.A.L. Theoretical analysis of a Covid-19 CF-fractional model to optimally control the spread of Pandemic. Symmetry 2023, 15, 380. [Google Scholar] [CrossRef]
- Adel, M.; Khader, M.M.; Ahmad, H.; Assiri, T.A.; Batool, S.; Nuwairan, M.A.L. Approximate analytical solutions for the blood ethanol concentration system and predator-prey equations by using variational iteration method. Aims Math. 2023, 8, 19083–19096. [Google Scholar] [CrossRef]
- Abd-Elhameed, W.M. New Galerkin operational matrix of derivatives for solving Lane-Emden singular-type equations. Eur. Phys. J. Plus 2015, 130, 52. [Google Scholar] [CrossRef]
- Khan, M.A.; Atangana, A. Modeling the dynamics of novel Coronavirus (2019-nCoV) with fractional derivative. Alex. Eng. J. 2020, 56, 2379–2389. [Google Scholar] [CrossRef]
- Dokuyucu, M.A.; Celik, E.; Bulut, H.; Baskonus, H.M. Cancer treatment model with the Caputo-Fabrizio fractional derivative. Eur. Phys. J. Plus 2018, 133, 92. [Google Scholar] [CrossRef]
- Dokuyucu, M.A.; Celik, E. Analyzing a novel coronavirus model (COVID-19) in the sense of Caputo-Fabrizio fractional operator. Appl. Comput. Math. 2021, 20, 49–69. [Google Scholar]
- Oldham, K.B.; Spanier, J. The Fractional Calculus; Academic Press: New York, NY, VSA, 1974. [Google Scholar]
- Podlubny, I. Fractional Differential Equations; Academic Press: New York, NY, VSA, 1999. [Google Scholar]
- Jafari, H.; Momani, S. Solving fractional diffusion and wave equations by modified homotopy perturbation method. Phys. Lett. 2007, 370, 388–396. [Google Scholar] [CrossRef]
- Adel, M.; Khader, M.M.; Assiri, T.A.; Kallel, W. Simulating Covid-19 model research using a multidomain spectral relaxation technique. Symmetry 2023, 15, 931. [Google Scholar] [CrossRef]
- Srivastava, H.M.; Kilbas, A.A.; Trujillo, J.J. Theory and Application of Fractional Differential Equations; Elsevier: Amsterdam, The Netherlands, 2006. [Google Scholar]
- Khader, M.M. An efficient class of discrete finite difference/element scheme for solving the fractional reaction sub-diffusion equation. Math. Methods Appl. Sci. 2023, 46, 10512–10526. [Google Scholar] [CrossRef]
- Adel, M.; Khader, M.M.; Algelany, S. High-dimensional chaotic Lorenz system: Numerical treated using Changhee polynomials of the Appell type. Fractal Fract. 2023, 7, 398. [Google Scholar] [CrossRef]
- Kazem, S.; Abbasbandy, S.; Kumar, S. Fractional-order Legendre functions for solving fractional-order differential equations. Appl. Math. Model. 2013, 37, 5498–5510. [Google Scholar] [CrossRef]
- Ramadan, M.A. Spline solution of first order delay differential equation. J. Egypt. Math. Soc. 2005, 1, 7–18. [Google Scholar]
- Ramdan, M.A.; Shrif, M.N. Numerical solution of a system of first order delay differential equations using spline functions. Int. J. Comput. Math. 2006, 83, 925–937. [Google Scholar] [CrossRef]
- Miller, K.S.; Ross, B. An Introduction to the Fractional Calculus and Fractional Differential Equations; John Wiley and Sons: New York, NY, USA, 1993. [Google Scholar]
- Odibat, Z.M.; Shawagfeh, N.T. Generalized Taylor’s formula. Appl. Math. Comput. 2007, 186, 286–293. [Google Scholar] [CrossRef]
- Bell, W.W. Special Functions for Scientists and Engineers; Great Britain, Butler and Tanner Ltd.: Frome, UK; London, UK, 1968. [Google Scholar]
- Khader, M.M.; Sweilam, N.H. Approximate solutions for the fractional advection-dispersion equation using Legendre pseudo-spectral method. Comp. Appl. Math. 2014, 33, 739–750. [Google Scholar] [CrossRef]
- Li, B.; Liu, S.; Cui, J.; Li, J. A simple Predator-Prey population model with rich dynamics. Appl. Sci. 2016, 6, 151. [Google Scholar] [CrossRef]
- Bhalekar, S. Stability and bifurcation analysis of a generalized scalar delay differential equation. Chaos Interdiscip. J. Nonlinear Sci. 2016, 26, 084306. [Google Scholar] [CrossRef] [PubMed]
- Lu, J.-G. Chaotic dynamics of the fractional-order Ikeda delay system and its synchronization. Chin. Phys. 2006, 15, 301. [Google Scholar]
- Parand, K.; Delkhosh, M. Operational matrices to solve nonlinear Volterra-Fredholm IDEs of multi-arbitrary order. Gazi Univ. J. Sci. 2016, 29, 895–907. [Google Scholar]
- Bhalekar, S. Analyzing the stability of a delay differential equation involving two delays. Pramana-J. Phys. 2019, 93, 24. [Google Scholar] [CrossRef]








Disclaimer/Publisher’s Note: The statements, opinions and data contained in all publications are solely those of the individual author(s) and contributor(s) and not of MDPI and/or the editor(s). MDPI and/or the editor(s) disclaim responsibility for any injury to people or property resulting from any ideas, methods, instructions or products referred to in the content. |
© 2023 by the authors. Licensee MDPI, Basel, Switzerland. This article is an open access article distributed under the terms and conditions of the Creative Commons Attribution (CC BY) license (https://creativecommons.org/licenses/by/4.0/).
Share and Cite
Adel, M.; Khader, M.M.; Algelany, S.; Aldwoah, K. An Accurate Approach to Simulate the Fractional Delay Differential Equations. Fractal Fract. 2023, 7, 671. https://doi.org/10.3390/fractalfract7090671
Adel M, Khader MM, Algelany S, Aldwoah K. An Accurate Approach to Simulate the Fractional Delay Differential Equations. Fractal and Fractional. 2023; 7(9):671. https://doi.org/10.3390/fractalfract7090671
Chicago/Turabian StyleAdel, Mohamed, Mohamed M. Khader, Salman Algelany, and Khaled Aldwoah. 2023. "An Accurate Approach to Simulate the Fractional Delay Differential Equations" Fractal and Fractional 7, no. 9: 671. https://doi.org/10.3390/fractalfract7090671
APA StyleAdel, M., Khader, M. M., Algelany, S., & Aldwoah, K. (2023). An Accurate Approach to Simulate the Fractional Delay Differential Equations. Fractal and Fractional, 7(9), 671. https://doi.org/10.3390/fractalfract7090671

