Fractal-Fractional Caputo Maize Streak Virus Disease Model
Abstract
:1. Introduction
2. Preliminaries
3. Formulation of the Mathematical Model
- The growth rate of the healthy maize population takes a logistic nature, thus where r is the intrinsic growth rate, and K represents the carrying capacity.
- The healthy (susceptible) maize plants become exposed to MSVD at a rate of when unhealthy (infected) leafhoppers feed on the maize plants. Here, the parameter is the likelihood that the disease will spread from the infected leafhopper to the susceptible maize plant.
- The possibility of MSVD transfer from an unhealthy maize plant to a healthy leafhopper is , and it occurs at a rate of .
- We assume that farmers will grow MSVD-resistant maize varieties so that only a part of the exposed maize plants advance to the infected class at rate and the remainder revert to the susceptible class. The parameter denotes the level of MSVD infection resistance in maize.
- The assumed natural mortality rates for maize plants and leafhoppers are and , respectively, while the estimated mortality rate for plants exposed to MSV is .
- The green lacewing (leafhoppers) population increases at a constant rate b. Here, we set, where would be the constant rate of invasion of the maize field and are the respective conversion rates of consumed susceptible, exposed, and infected maize plant by leafhoppers.
4. Basic Qualitative Properties of the Caputo Fractal-Fractional Model
4.1. Positivity and Boundedness
4.2. Existence and Uniqueness
Existence
- is -permissible.
- .
- with and , we have .
- and ,with and .
- such that ,and also
- with ,for every and .
- such that ; or
- and such that .
4.3. Uniqueness
4.4. Stability Criterion
- (i).
- , and
- (ii).
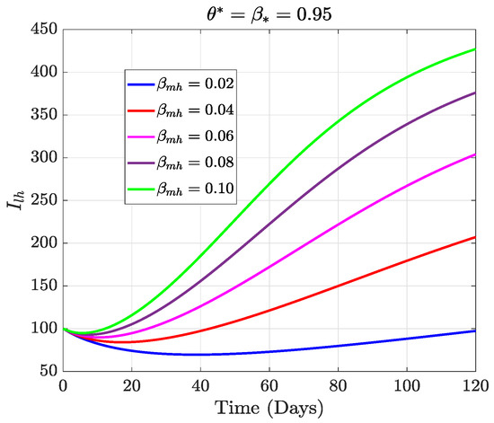
5. Numerical Simulation and Discussion
6. Conclusions
Author Contributions
Funding
Data Availability Statement
Conflicts of Interest
Abbreviations
| MDPI | Multidisciplinary Digital Publishing Institute |
| DOAJ | Directory of open access journals |
| TLA | Three-letter acronym |
| LD | Linear dichroism |
References
- FAO. International Year of Plant Health—Final Report; FAO: Rome, Italy, 2021. [Google Scholar]
- Collins, O.C.; Duffy, K.J. Optimal control of maize foliar diseases using the plants population dynamics. Acta Agric. Scand. Sect. B Soil Plant Sci. 2016, 66, 20–26. [Google Scholar] [CrossRef]
- Aloyce, W.; Kuznetsov, D.; Luboobi, L. A mathematical model for the mlnd dynamics and sensitivity analysis in a maize population. Asian J. Math. Appl. 2017, 2017, ama0435. [Google Scholar]
- Alemneh, H.T.; Makinde, O.D.; Theuri, D.M. Ecoepidemiological Model and Analysis of MSV Disease Transmission Dynamics in Maize Plant. Int. J. Math. Math. Sci. 2019, 2019, 7965232. [Google Scholar] [CrossRef]
- Alemneh, H.T.; Makinde, O.D.; Theuri, D.M. Optimal Control Model and Cost Effectiveness Analysis of Maize Streak Virus Pathogen Interaction with Pest Invasion in Maize Plant. Egypt. J. Basic Appl. Sci. 2020, 7, 180–193. [Google Scholar] [CrossRef]
- Alemneh, H.T.; Kassa, A.S.; Godana, A.A. An optimal control model with cost effectiveness analysis of Maize streak virus disease in maize plant. Infect. Dis. Model. 2021, 6, 169–182. [Google Scholar]
- Seidu, B.; Asamoah, J.K.K.; Wiah, E.N.; Ackora-Prah, J. A comprehensive cost-effectiveness analysis of control of maize streak virus disease with Holling’s Type II predation form and standard incidence. Results Phys. 2022, 40, 105862. [Google Scholar]
- Ayembillah, A.F.O.; Seidu, B.; Bornaa, C. Mathematical modeling of the dynamics of maize streak virus disease (MSVD). Math. Model. Control 2022, 2, 153–164. [Google Scholar]
- Asamoah, J.K.K. Fractal–fractional model and numerical scheme based on Newton polynomial for Q fever disease under Atangana–Baleanu derivative. Results Phys. 2022, 34, 105189. [Google Scholar]
- Atangana, A. Fractal-fractional differentiation and integration: Connecting fractal calculus and fractional calculus to predict complex system. Chaos Solitons Fractals 2017, 102, 396–406. [Google Scholar]
- Owolabi, K.M.; Atangana, A.; Akgul, A. Modelling and analysis of fractal-fractional partial differential equations: Application to reaction-diffusion model. Alex. Eng. J. 2020, 59, 2477–2490. [Google Scholar]
- Atangana, A.; Qureshi, S. Modeling attractors of chaotic dynamical systems with fractal–fractional operators. Chaos Solitons Fractals 2019, 123, 320–337. [Google Scholar] [CrossRef]
- Atangana, A.; Araz, S.İ. New numerical approximation for Chua attractor with fractional and fractal-fractional operators. Alex. Eng. J. 2020, 59, 3275–3296. [Google Scholar]
- Atangana, A. Modelling the spread of COVID-19 with new fractal-fractional operators: Can the lockdown save mankind before vaccination? Chaos Solitons Fractals 2020, 136, 109860. [Google Scholar] [PubMed]
- Ali, Z.; Rabiei, F.; Shah, K.; Khodadadi, T. Modeling and analysis of novel COVID-19 under fractal-fractional derivative with case study of Malaysia. Fractals 2021, 29, 2150020. [Google Scholar]
- Saad, K.M.; Alqhtani, M.; Gómez-Aguilar, J. Fractal-fractional study of the hepatitis C virus infection model. Results Phys. 2020, 19, 103555. [Google Scholar]
- Shah, K.; Arfan, M.; Mahariq, I.; Ahmadian, A.; Salahshour, S.; Ferrara, M. Fractal-fractional mathematical model addressing the situation of corona virus in Pakistan. Results Phys. 2020, 19, 103560. [Google Scholar] [PubMed]
- Abdulwasaa, M.A.; Abdo, M.S.; Shah, K.; Nofal, T.A.; Panchal, S.K.; Kawale, S.V.; Abdel-Aty, A.H. Fractal-fractional mathematical modeling and forecasting of new cases and deaths of COVID-19 epidemic outbreaks in India. Results Phys. 2021, 20, 103702. [Google Scholar] [PubMed]
- Ahmad, S.; Ullah, A.; Abdeljawad, T.; Akgül, A.; Mlaiki, N. Analysis of fractal-fractional model of tumor-immune interaction. Results Phys. 2021, 25, 104178. [Google Scholar] [CrossRef]
- Al Qurashi, M.M. Role of fractal-fractional operators in modeling of rubella epidemic with optimized orders. Open Phys. 2020, 18, 1111–1120. [Google Scholar] [CrossRef]
- Fatmawati; Khan, M.A.; Alfiniyah, C.; Alzahrani, E. Analysis of dengue model with fractal-fractional Caputo–Fabrizio operator. Adv. Differ. Equations 2020, 2020, 1–23. [Google Scholar]
- Akgül, A.; Ahmed, N.; Raza, A.; Iqbal, Z.; Rafiq, M.; Rehman, M.; Baleanu, D. A fractal fractional model for cervical cancer due to human papillomavirus infection. Fractals 2021, 29, 2140015-19. [Google Scholar] [CrossRef]
- Gomez-Aguilar, J.; Cordova-Fraga, T.; Abdeljawad, T.; Khan, A.; Khan, H. Analysis of fractal–fractional malaria transmission model. Fractals 2020, 28, 2040041. [Google Scholar] [CrossRef]
- Sinan, M.; Ahmad, H.; Ahmad, Z.; Baili, J.; Murtaza, S.; Aiyashi, M.; Botmart, T. Fractional mathematical modeling of malaria disease with treatment & insecticides. Results Phys. 2022, 34, 105220. [Google Scholar]
- Ahmad, Z.; Bonanomi, G.; di Serafino, D.; Giannino, F. Transmission dynamics and sensitivity analysis of pine wilt disease with asymptomatic carriers via fractal-fractional differential operator of Mittag-Leffler kernel. Appl. Numer. Math. 2023, 185, 446–465. [Google Scholar] [CrossRef]
- Malik, A.; Alkholief, M.; Aldakheel, F.M.; Khan, A.A.; Ahmad, Z.; Kamal, W.; Gatasheh, M.K.; Alshamsan, A. Sensitivity analysis of COVID-19 with quarantine and vaccination: A fractal-fractional model. Alex. Eng. J. 2022, 61, 8859–8874. [Google Scholar] [CrossRef]
- Rezapour, S.; Asamoah, J.K.K.; Hussain, A.; Ahmad, H.; Banerjee, R.; Etemad, S.; Botmart, T. A theoretical and numerical analysis of a fractal-fractional two-strain model of meningitis. Results Phys. 2022, 39, 105775. [Google Scholar] [CrossRef]
- Samet, B.; Vetro, C.; Vetro, P. Fixed point theorems for α–ψ-contractive type mappings. Nonlinear Anal. Theory Methods Appl. 2012, 75, 2154–2165. [Google Scholar] [CrossRef]
- Asamoah, J.K.K.; Bornaa, C.; Seidu, B.; Jin, Z. Mathematical analysis of the effects of controls on transmission dynamics of SARS-CoV-2. Alex. Eng. J. 2020, 59, 5069–5078. [Google Scholar] [CrossRef]
- Yang, X.; Chen, L.; Chen, J. Permanence and positive periodic solution for the single-species nonautonomous delay diffusive models. Comput. Math. Appl. 1996, 32, 109–116. [Google Scholar] [CrossRef]
- Granas, A.; Dugundji, J. Fixed Point Theory; Springer: Berlin/Heidelberg, Germany, 2003; Volume 14. [Google Scholar]
- Hyers, D.H. On the stability of the linear functional equation. Proc. Natl. Acad. Sci. USA 1941, 27, 222–224. [Google Scholar] [CrossRef]
- Rassias, T.M. On the stability of the linear mapping in Banach spaces. Proc. Am. Math. Soc. 1978, 72, 297–300. [Google Scholar] [CrossRef]
- Bosque-Pérez, N.A. Eight decades of maize streak virus research. Virus Res. 2000, 71, 107–121. [Google Scholar] [CrossRef] [PubMed]
- GreenLife. MAIZE: Harvesting Period: In General, Maize Requires 120 Days (12 Weeks) to Reach Maturity. However, Early Maturing Varieties Take 75–80 Days. Available online: http://gis4agricgh.net/POLICIES/commodities/Commodity%20Profile_maize.pdf (accessed on 15 December 2022).
- BioNet-Eatrinet. Cicadulina mbila (Naude)-Maize Leafhopper. Available online: https://keys.lucidcentral.org/keys/v3/eafrinet/maize_pests/key/maize_pests/Media/Html/Cicadulina_mbila_(Naude)_-_Maize_Leafhopper.htm (accessed on 15 December 2022).
- Alemneh, H.T.; Makinde, O.D.; Theuri, D.M. Mathematical modelling of msv pathogen interaction with pest invasion on maize plant. Glob. J. Pure Appl. Math. 2019, 15, 55–79. [Google Scholar]



















| Parameter | Description | Baseline Value | Source |
|---|---|---|---|
| Relative increase rate of leafhoppers | 20 | [7] | |
| Rate of maize streak virus transmission from infected leafhoppers to maize | 0.06 | Assumed | |
| Rate of maize streak virus transmission from infected plants to leafhoppers | 0.04 | [34] | |
| Maize plant mortality due to natural causes | 1/120 | [35] | |
| Leafhoppers mortality due to natural causes | 1/33 | [36] | |
| a | Rate of conversion of infected leafhopper | 0.0045 | Assumed |
| Maize with the ability to resist infection from MSVD | 0.001 | [7] | |
| The percentage of exposed maize | 0.50 | [7] | |
| Death of maize plants caused by MSV | 0.001 | [7] | |
| r | The maize plant grows at an intrinsic rate | 0.0005 | [4,37] |
| Product of leafhopper attack rate and time spent processing maize plant | 0.4 | [4] | |
| K | Carrying capacity | [4] | |
| Relative rate of conversion of susceptible maize by leafhopper | Assumed | ||
| Relative rate of conversion of exposed maize by leafhopper | Assumed | ||
| Relative rate of conversion of infected maize by leafhopper | Assumed |
Disclaimer/Publisher’s Note: The statements, opinions and data contained in all publications are solely those of the individual author(s) and contributor(s) and not of MDPI and/or the editor(s). MDPI and/or the editor(s) disclaim responsibility for any injury to people or property resulting from any ideas, methods, instructions or products referred to in the content. |
© 2023 by the authors. Licensee MDPI, Basel, Switzerland. This article is an open access article distributed under the terms and conditions of the Creative Commons Attribution (CC BY) license (https://creativecommons.org/licenses/by/4.0/).
Share and Cite
Ackora-Prah, J.; Seidu, B.; Okyere, E.; Asamoah, J.K.K. Fractal-Fractional Caputo Maize Streak Virus Disease Model. Fractal Fract. 2023, 7, 189. https://doi.org/10.3390/fractalfract7020189
Ackora-Prah J, Seidu B, Okyere E, Asamoah JKK. Fractal-Fractional Caputo Maize Streak Virus Disease Model. Fractal and Fractional. 2023; 7(2):189. https://doi.org/10.3390/fractalfract7020189
Chicago/Turabian StyleAckora-Prah, Joseph, Baba Seidu, Eric Okyere, and Joshua K. K. Asamoah. 2023. "Fractal-Fractional Caputo Maize Streak Virus Disease Model" Fractal and Fractional 7, no. 2: 189. https://doi.org/10.3390/fractalfract7020189
APA StyleAckora-Prah, J., Seidu, B., Okyere, E., & Asamoah, J. K. K. (2023). Fractal-Fractional Caputo Maize Streak Virus Disease Model. Fractal and Fractional, 7(2), 189. https://doi.org/10.3390/fractalfract7020189

