Synchronization in a Multiplex Network of Nonidentical Fractional-Order Neurons
Abstract
:1. Introduction
2. The Fractional-Order Hindmarsh–Rose Model
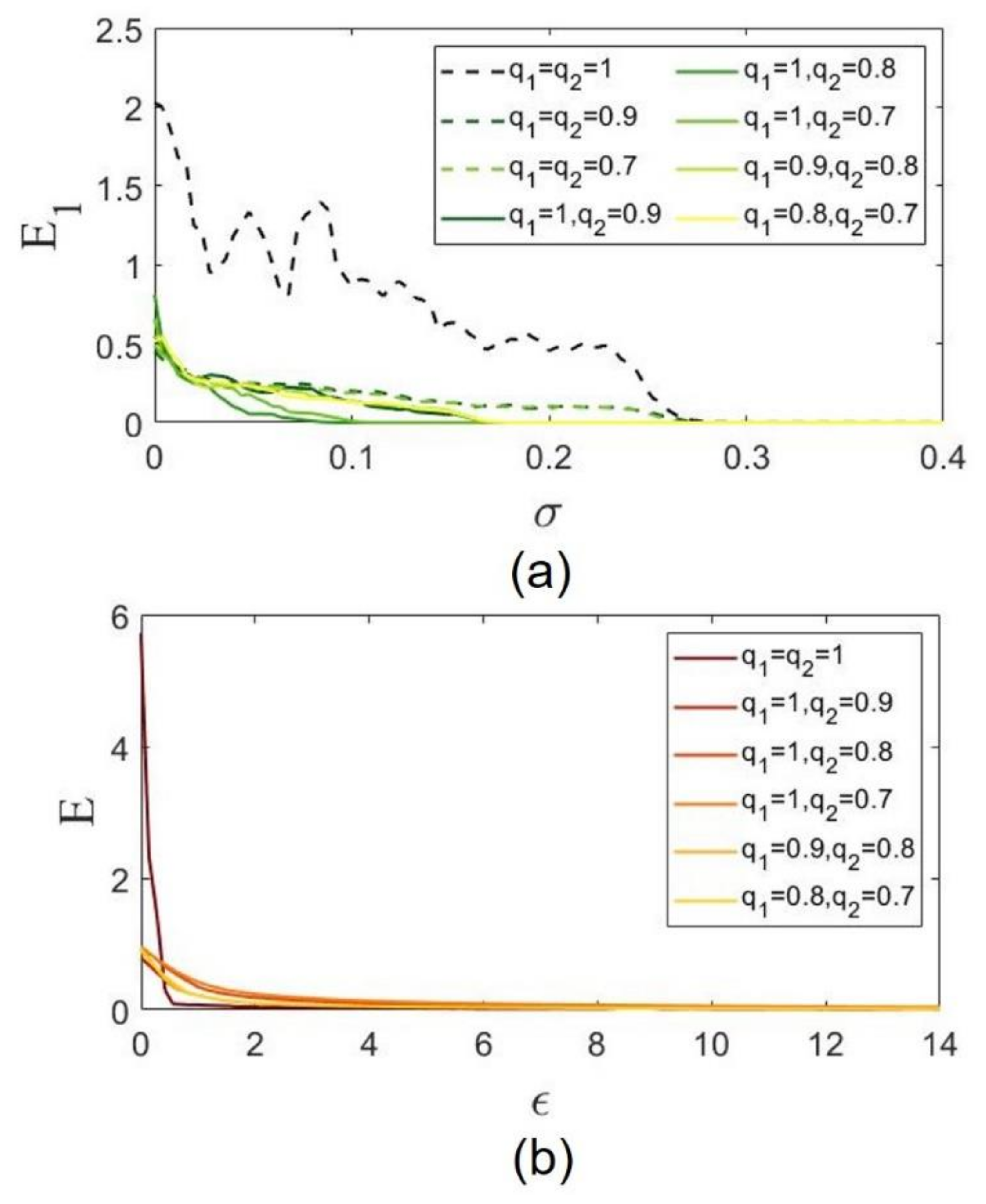
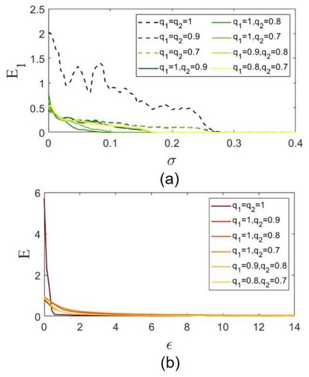
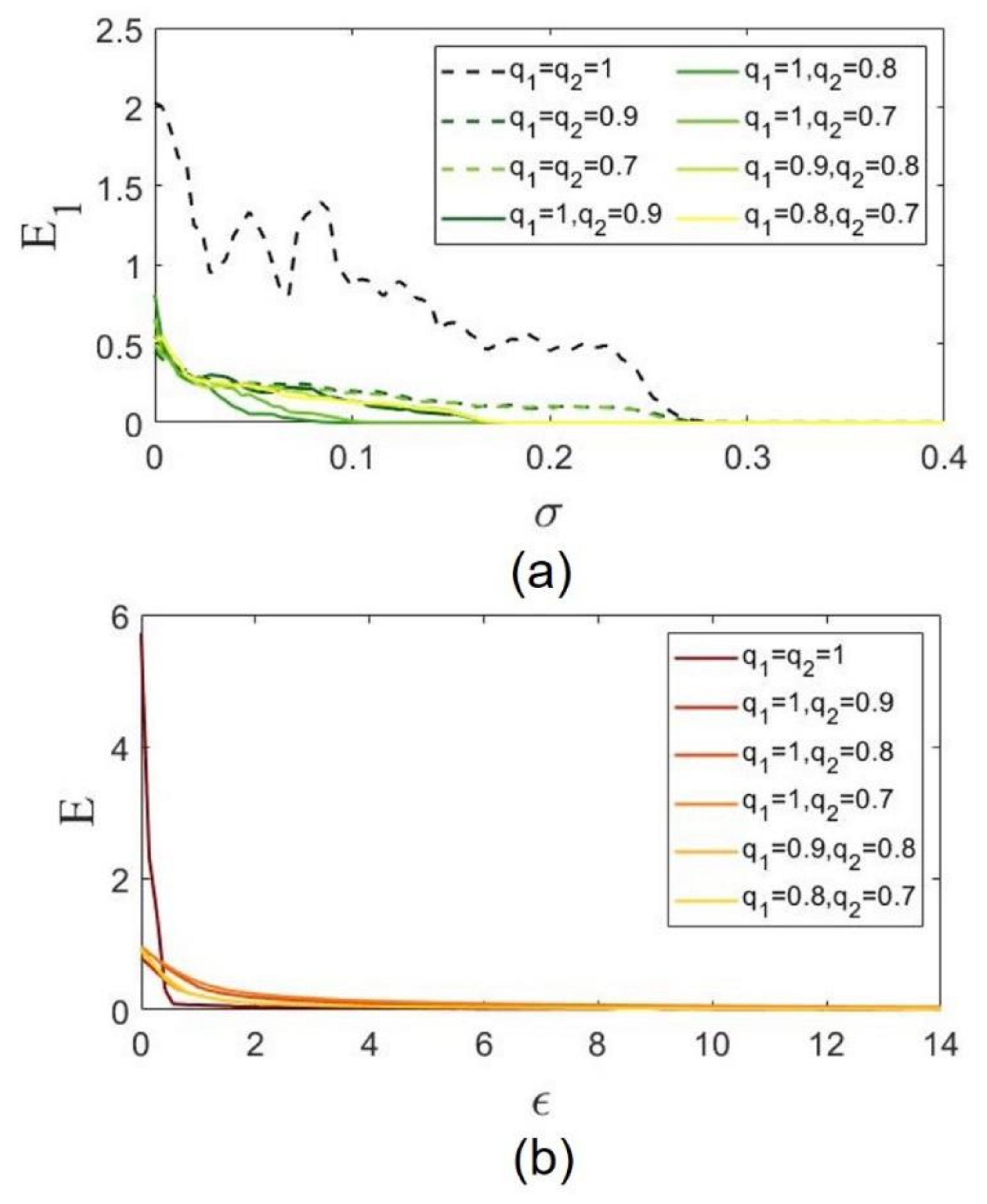
3. Behavior of Network
4. Conclusions
Author Contributions
Funding
Institutional Review Board Statement
Informed Consent Statement
Data Availability Statement
Conflicts of Interest
References
- Magin, R. Fractional Calculus in Bioengineering, 1st ed.; Begell House: Redding, CA, USA, 2006; ISBN 978-1567002157. [Google Scholar]
- Petráš, I. Fractional-Order Nonlinear Systems, 1st ed.; Springer: Berlin/Heidelberg, Germany, 2011; ISBN 978-3-642-18101-6. [Google Scholar]
- Podlubny, I. Fractional Differential Equations, 1st ed.; Academic Press: San Diego, CA, USA, 1999; ISBN 558840-2. [Google Scholar]
- Martínez-Guerra, R.; Pérez-Pinacho, C.A.; Gómez-Cortés, G.C. Synchronization of Integral and Fractional Order Chaotic Systems, 1st ed.; Springer: Cham, Switzerland, 2015; ISBN 978-3-319-15284-4. [Google Scholar]
- Teka, W.; Marinov, T.M.; Santamaria, F. Neuronal spike timing adaptation described with a fractional leaky integrate-and-fire model. PLoS Comput. Biol. 2014, 10, e1003526. [Google Scholar] [CrossRef]
- Moaddy, K.; Radwan, A.G.; Salama, K.N.; Momani, S.; Hashim, I. The fractional-order modeling and synchronization of electrically coupled neuron systems. Comput. Math. Appl. 2012, 64, 3329–3339. [Google Scholar] [CrossRef] [Green Version]
- Baleanu, D.; Jajarmi, A.; Sajjadi, S.S.; Mozyrska, D. A new fractional model and optimal control of a tumor-immune surveillance with non-singular derivative operator. Chaos 2019, 29, 083127. [Google Scholar] [CrossRef] [PubMed]
- Borah, M.; Roy, B.K.; Kapitaniak, T.; Rajagopal, K.; Volos, C. A revisit to the past plague epidemic (India) versus the present COVID-19 pandemic: Fractional-order chaotic models and fuzzy logic control. Eur. Phys. J. Spec. Top. 2021, 1–15. [Google Scholar] [CrossRef] [PubMed]
- Rajagopal, K.; Hasanzadeh, N.; Parastesh, F.; Hamarash, I.I.; Jafari, S.; Hussain, I. A fractional-order model for the novel coronavirus (COVID-19) outbreak. Nonlinear Dyn. 2020, 101, 711–718. [Google Scholar] [CrossRef]
- Ruan, J.; Sun, K.; Mou, J.; He, S.; Zhang, L. Fractional-order simplest memristor-based chaotic circuit with new derivative. Eur. Phys. J. Plus. 2018, 133, 1–12. [Google Scholar] [CrossRef]
- Mondal, A.; Sharma, S.K.; Upadhyay, R.K.; Mondal, A. Firing activities of a fractional-order FitzHugh-Rinzel bursting neuron model and its coupled dynamics. Sci. Rep. 2019, 9, 15721. [Google Scholar] [CrossRef]
- Jun, D.; Guang-Jun, Z.; Yong, X.; Hong, Y.; Jue, W. Dynamic behavior analysis of fractional-order Hindmarsh–Rose neuronal model. Cogn. Neurodyn. 2014, 8, 167–175. [Google Scholar] [CrossRef] [Green Version]
- Stamov, T.; Stamova, I. Design of impulsive controllers and impulsive control strategy for the Mittag–Leffler stability behavior of fractional gene regulatory networks. Neurocomputing 2021, 424, 54–62. [Google Scholar] [CrossRef]
- Stamova, I.; Stamov, G. Lyapunov approach for almost periodicity in impulsive gene regulatory networks of fractional order with time-varying delays. Fractal Fract. 2021, 5, 268. [Google Scholar] [CrossRef]
- Caputo, M.; Fabrizio, M. A new definition of fractional derivative without singular kernel. Prog. Fract. Differ. Appl. 2015, 1, 73–85. [Google Scholar]
- Losada, J.; Nieto, J.J. Properties of a new fractional derivative without singular kernel. Prog. Fract. Differ. Appl. 2015, 1, 87–92. [Google Scholar]
- Higazy, M.; Alyami, M.A. New Caputo-Fabrizio fractional order SEIASqEqHR model for COVID-19 epidemic transmission with genetic algorithm based control strategy. Alex. Eng. J. 2020, 59, 4719–4736. [Google Scholar] [CrossRef]
- Khan, S.A.; Shah, K.; Zaman, G.; Jarad, F. Existence theory and numerical solutions to smoking model under Caputo–Fabrizio fractional derivative. Chaos 2019, 29, 013128. [Google Scholar] [CrossRef]
- Mohammadi, H.; Kumar, S.; Rezapour, S.; Etemad, S. A theoretical study of the Caputo–Fabrizio fractional modeling for hearing loss due to Mumps virus with optimal control. Chaos Solitons Fractals 2021, 144, 110668. [Google Scholar] [CrossRef]
- Rezapour, S.; Etemad, S.; Mohammadi, H. A mathematical analysis of a system of Caputo–Fabrizio fractional differential equations for the anthrax disease model in animals. Adv. Differ. Equ. 2020, 481, 2020. [Google Scholar] [CrossRef]
- Ma, J.; Tang, J. A review for dynamics of collective behaviors of network of neurons. Sci. China Technol. Sci. 2015, 58, 2038–2045. [Google Scholar] [CrossRef]
- Majhi, S.; Bera, B.K.; Ghosh, D.; Perc, M. Chimera states in neuronal networks: A review. Phys. Life Rev. 2019, 28, 100–121. [Google Scholar] [CrossRef]
- Parastesh, F.; Azarnoush, H.; Jafari, S.; Hatef, B.; Perc, M.; Repnik, R. Synchronizability of two neurons with switching in the coupling. Appl. Math. Comput. 2019, 350, 217–223. [Google Scholar] [CrossRef]
- Parastesh, F.; Rajagopal, K.; Alsaadi, F.E.; Hayat, T.; Pham, V.-T.; Hussain, I. Birth and death of spiral waves in a network of Hindmarsh–Rose neurons with exponential magnetic flux and excitable media. Appl. Math. Comput. 2019, 354, 377–384. [Google Scholar] [CrossRef]
- Boccaletti, S.; Kurths, J.; Osipov, G.; Valladares, D.; Zhou, C. The synchronization of chaotic systems. Phys. Rep. 2002, 366, 1–101. [Google Scholar] [CrossRef]
- Rossello, J.L.; Canals, V.; Oliver, A.; Morro, A. Studying the role of synchronized and chaotic spiking neural ensembles in neural information processing. Int. J. Neural Syst. 2014, 24, 1430003. [Google Scholar] [CrossRef] [PubMed]
- Drauschke, F.; Sawicki, J.; Berner, R.; Omelchenko, I.; Schöll, E. Effect of topology upon relay synchronization in triplex neuronal networks. Chaos 2020, 30, 051104. [Google Scholar] [CrossRef]
- Shafiei, M.; Jafari, S.; Parastesh, F.; Ozer, M.; Kapitaniak, T.; Perc, M. Time delayed chemical synapses and synchronization in multilayer neuronal networks with ephaptic inter-layer coupling. Commun. Nonlinear Sci. Numer. Simul. 2020, 84, 105175. [Google Scholar] [CrossRef]
- Sun, X.; Perc, M.; Kurths, J. Effects of partial time delays on phase synchronization in Watts-Strogatz small-world neuronal networks. Chaos 2017, 27, 053113. [Google Scholar] [CrossRef]
- Kandasamy, U.; Li, X.; Rakkiyappan, R. Quasi-synchronization and bifurcation results on fractional-order quaternion-valued neural networks. IEEE Trans. Neural Netw. Learn. Syst. 2020, 31, 4063–4072. [Google Scholar] [CrossRef] [PubMed]
- Saleem, M.U.; Farman, M.; Ahmad, A.; Ul Haque, E.; Ahmad, M.O. A Caputo-Fabrizio fractional order model for control of glucose in insulin therapies for diabetes. Ain Shams Eng. J. 2020, 11, 1309–1316. [Google Scholar] [CrossRef]
- Stamova, I. Global Mittag-Leffler stability and synchronization of impulsive fractional-order neural networks with time-varying delays. Nonlinear Dynam. 2014, 77, 1251–1260. [Google Scholar] [CrossRef]
- Stamova, I.; Stamov, G. Mittag–Leffler synchronization of fractional neural networks with time-varying delays and reaction-diffusion terms using impulsive and linear controllers. Neural Netw. 2017, 96, 22–32. [Google Scholar] [CrossRef]
- Wang, H.; Jahanshahi, H.; Wang, M.-K.; Bekiros, S.; Liu, J.; Aly, A.A. A Caputo–Fabrizio fractional-order model of HIV/AIDS with a treatment compartment: Sensitivity analysis and optimal control strategies. Entropy 2021, 23, 610. [Google Scholar] [CrossRef]
- Batista, C.; Lameu, E.; Batista, A.; Lopes, S.; Pereira, T.; Zamora-López, G.; Kurths, J.; Viana, R.L. Phase synchronization of bursting neurons in clustered small-world networks. Phys. Rev. E 2012, 86, 016211. [Google Scholar] [CrossRef] [Green Version]
- Belykh, I.; De Lange, E.; Hasler, M. Synchronization of bursting neurons: What matters in the network topology. Phys. Rev. Lett. 2005, 94, 188101. [Google Scholar] [CrossRef] [PubMed] [Green Version]
- Rakshit, S.; Bera, B.K.; Ghosh, D.; Sinha, S. Emergence of synchronization and regularity in firing patterns in time-varying neural hypernetworks. Phys. Rev. E 2018, 97, 052304. [Google Scholar] [CrossRef] [PubMed]
- Boccaletti, S.; Latora, V.; Moreno, Y.; Chavez, M.; Hwang, D.-U. Complex networks: Structure and dynamics. Phys. Rep. 2006, 424, 175–308. [Google Scholar] [CrossRef]
- Boccaletti, S.; Bianconi, G.; Criado, R.; Del Genio, C.I.; Gómez-Gardenes, J.; Romance, M.; Sendiña-Nadal, I.; Wang, Z.; Zanin, M. The structure and dynamics of multilayer networks. Phys. Rep. 2014, 544, 1–122. [Google Scholar] [CrossRef] [PubMed] [Green Version]
- Kivelä, M.; Arenas, A.; Barthelemy, M.; Gleeson, J.P.; Moreno, Y.; Porter, M.A. Multilayer networks. J. Complex Netw. 2014, 2, 203–271. [Google Scholar] [CrossRef] [Green Version]
- Rakshit, S.; Bera, B.K.; Bollt, E.M.; Ghosh, D. Intralayer synchronization in evolving multiplex hypernetworks: Analytical approach. SIAM J. Appl. Dyn. Syst. 2020, 19, 918–963. [Google Scholar] [CrossRef]
- Rakshit, S.; Bera, B.K.; Ghosh, D. Invariance and stability conditions of interlayer synchronization manifold. Phys. Rev. E 2020, 101, 012308. [Google Scholar] [CrossRef]
- Tang, L.; Wu, X.; Lü, J.; Lu, J.; D’Souza, R.M. Master stability functions for complete, intralayer, and interlayer synchronization in multiplex networks of coupled Rössler oscillators. Phys. Rev. E 2019, 99, 012304. [Google Scholar] [CrossRef] [Green Version]
- Ling, J.; Yuan, X.; Mo, L. Distributed containment control of fractional-order multi-agent systems with unknown persistent disturbances on multilayer networks. IEEE Access 2019, 8, 5589–5600. [Google Scholar] [CrossRef]
- Goméz-Aguilar, J.F.; Yépez-Martínez, H.; Calderón-Ramón, C.; Cruz-Orduña, I.; Escobar-Jiménez, R.E.; Olivares-Peregrino, V.H. Modeling of a mass-spring-damper system by fractional derivatives with and without a singular kernel. Entropy 2015, 17, 6289–6303. [Google Scholar] [CrossRef] [Green Version]







Publisher’s Note: MDPI stays neutral with regard to jurisdictional claims in published maps and institutional affiliations. |
© 2022 by the authors. Licensee MDPI, Basel, Switzerland. This article is an open access article distributed under the terms and conditions of the Creative Commons Attribution (CC BY) license (https://creativecommons.org/licenses/by/4.0/).
Share and Cite
Ramakrishnan, B.; Parastesh, F.; Jafari, S.; Rajagopal, K.; Stamov, G.; Stamova, I. Synchronization in a Multiplex Network of Nonidentical Fractional-Order Neurons. Fractal Fract. 2022, 6, 169. https://doi.org/10.3390/fractalfract6030169
Ramakrishnan B, Parastesh F, Jafari S, Rajagopal K, Stamov G, Stamova I. Synchronization in a Multiplex Network of Nonidentical Fractional-Order Neurons. Fractal and Fractional. 2022; 6(3):169. https://doi.org/10.3390/fractalfract6030169
Chicago/Turabian StyleRamakrishnan, Balamurali, Fatemeh Parastesh, Sajad Jafari, Karthikeyan Rajagopal, Gani Stamov, and Ivanka Stamova. 2022. "Synchronization in a Multiplex Network of Nonidentical Fractional-Order Neurons" Fractal and Fractional 6, no. 3: 169. https://doi.org/10.3390/fractalfract6030169
APA StyleRamakrishnan, B., Parastesh, F., Jafari, S., Rajagopal, K., Stamov, G., & Stamova, I. (2022). Synchronization in a Multiplex Network of Nonidentical Fractional-Order Neurons. Fractal and Fractional, 6(3), 169. https://doi.org/10.3390/fractalfract6030169

