Multiple-Function Systems Based on Regular Subdivision
Abstract
1. Introduction
2. Subdivision and Iterated Function Systems
2.1. About Subdivision
2.2. Iterated Function Systems with Generalizations
3. Multiple-Function Systems Based on Subdivision
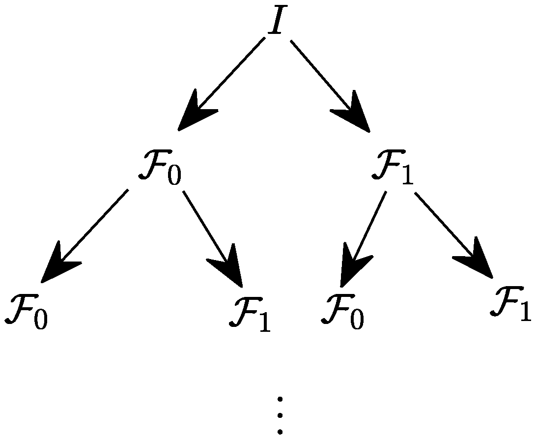
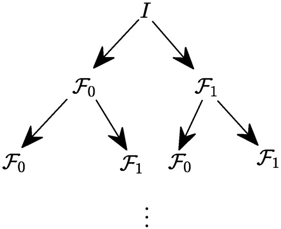
Building Multiple-Function Systems Based on Regular Subdivision
4. Attractors of the Multiple-Function Systems
5. Numerical Examples
6. Conclusions
Author Contributions
Funding
Data Availability Statement
Conflicts of Interest
References
- Barnsley, M. Fractals Everywhere; Academic Press: Cambridge, MA, USA, 1993. [Google Scholar]
- Zhang, B.; Zheng, H. A variant exponential B-spline scheme with shape control. Mathematics 2021, 9, 3116. [Google Scholar] [CrossRef]
- Qi, W.; Luo, Z.; Fan, X. Subdivision schemes induced by approximating schemes. Sci. Sin. Math. 2014, 44, 755–768. (In Chinese) [Google Scholar] [CrossRef]
- Sauer, T. Shearlet Multiresolution and Multiple Refinement. In Shearlets; Kutyniok, G., Labate, D., Eds.; Springer: Berlin/Heidelberg, Germany, 2011. [Google Scholar]
- Kutyniok, G.; Sauer, T. Adaptive directional subdivision schemes and shearlet multiresolution analysis. Siam J. Math. Anal. 2009, 41, 1436–1471. [Google Scholar] [CrossRef]
- Novara, P.; Romani, L.; Yoon, J. Improving smoothness and accuracy of Modified Butterfly subdivision scheme. Appl. Math. Comput. 2016, 272, 64–79. [Google Scholar] [CrossRef]
- Schaefer, S.; Levin, D.; Goldman, R. Subdivision schemes and attractors. In Proceedings of the Third Eurographics Symposium on Geometry Processing, Vienna, Austria, 4–6 July 2005. [Google Scholar]
- Prautzsch, H.; Micchelli, C. Computing curves in variant under halving. Comput. Aided Geom. Des. 1987, 4, 133–140. [Google Scholar] [CrossRef]
- Levin, D.; Dyn, N.; Veedu, V.P. Non-stationary versions of fixed-point theory, with applications to fractals and subdivision. J. Fixed Point Theory Appl. 2019, 21, 26. [Google Scholar] [CrossRef]
- Hu, Y.; Zheng, H.; Geng, J. Calculation of dimensions of curves generated by subdivision schemes. Int. J. Comput. Math. 2019, 96, 1278–1291. [Google Scholar] [CrossRef]
- Dyn, N.; Levin, D.; Massopust, P. Attractors of trees of maps and of sequences of maps between spaces with applications to subdivision. J. Fixed Point Theory Appl. 2020, 22, 14. [Google Scholar] [CrossRef]
- Barlow, M.; Hambly, B. Transition density estimates for Brownian motion on scale irregular Sierpinski gaskets. Ann. I’Institut Henri Poincare(B) Probab. Stat. 1997, 33, 531–557. [Google Scholar] [CrossRef]






Publisher’s Note: MDPI stays neutral with regard to jurisdictional claims in published maps and institutional affiliations. |
© 2022 by the authors. Licensee MDPI, Basel, Switzerland. This article is an open access article distributed under the terms and conditions of the Creative Commons Attribution (CC BY) license (https://creativecommons.org/licenses/by/4.0/).
Share and Cite
Zhang, B.; Zheng, H.; Chen, Y. Multiple-Function Systems Based on Regular Subdivision. Fractal Fract. 2022, 6, 677. https://doi.org/10.3390/fractalfract6110677
Zhang B, Zheng H, Chen Y. Multiple-Function Systems Based on Regular Subdivision. Fractal and Fractional. 2022; 6(11):677. https://doi.org/10.3390/fractalfract6110677
Chicago/Turabian StyleZhang, Baoxing, Hongchan Zheng, and Yingwei Chen. 2022. "Multiple-Function Systems Based on Regular Subdivision" Fractal and Fractional 6, no. 11: 677. https://doi.org/10.3390/fractalfract6110677
APA StyleZhang, B., Zheng, H., & Chen, Y. (2022). Multiple-Function Systems Based on Regular Subdivision. Fractal and Fractional, 6(11), 677. https://doi.org/10.3390/fractalfract6110677
