An Adaptive Generalized Cauchy Model for Remaining Useful Life Prediction of Wind Turbine Gearboxes with Long-Range Dependence
Abstract
1. Introduction
- The LRD prediction model driven by a GC process is introduced to describe the degradation process of wind turbine gearboxes. The LRD is explained jointly by the fractal dimension and the Hurst exponent, and the randomness is explained by the diffusion term driven by the GC difference time sequence;
- The time-varying drift coefficient is used to describe the adaptive update of the degradation trend, and the parameter estimation and RUL estimation of the adaptive GC model are deduced;
- The normality test of the GC difference time sequence ensures the accuracy of the multi-dimensional joint distribution of the predicting model.
2. Properties of the GC Process and Its Simulation
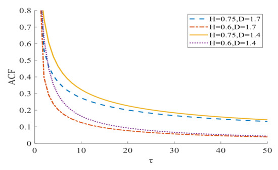
2.1. The LRD Characteristic of The GC Process
2.2. The Construction of the GC Difference Time Sequence
2.3. The Normality Test on the GC Difference Time Sequence
3. Degradation Modeling and RUL Prediction Based on Adaptive GC Model
3.1. The Adaptive GC Model
3.2. Parameter Estimation in the Adaptive GC Model
- Maximize to obtain the initial estimated values of ; the estimated values of can be obtained by the least square method
- Regarding the initial values of as actual values of , the initial estimated values of are obtained by calculating the mean and variance of .
- According to , maximize to obtain the estimated value
3.3. RUL Estimation Based on the Adaptive GC Model
4. Case Study
4.1. Data Description
4.2. Data Preprocessing
4.3. RUL Prediction
5. Conclusions, Limitations and Future Research
- The degradation of wind turbine gearboxes is a slow and continuous process with LRD characteristics. The LRD is demonstrated by the Hurst exponent and the fractal dimension. The randomness is explained by the diffusion term driven by the GC difference time sequence. In this paper, the GC difference time sequence is constructed through the ACF of the GC process, and the normality of the time sequence is verified;
- The adaptability of the adaptive GC model is manifested by using time-varying drift coefficients to update the degradation trend in real time so as to improve prediction accuracy. The expressions for the adaptive estimation of the unknown parameters and RUL are derived. The upgradation of the parameters is beneficial to the research of RUL prediction compared with the models of fixed parameters;
- The upgrading of the drift coefficient is based on the random sampling of the Gaussian distribution, which brings little error. Future work can focus on a better upgradation of the drift coefficient.
Author Contributions
Funding
Data Availability Statement
Acknowledgments
Conflicts of Interest
Abbreviations
| RUL | Remaining useful life |
| LRD | Long-range dependence |
| GC | generalized Cauchy |
| FBM | Fractional Brownian motion |
| LSTM | Long short-term memory |
| ACF | Autocorrelation function |
| PSD | Power spectral density |
| SW | Shapiro-Wilk |
| KS | Kolmogorov–Smirnov |
| HI | Health indicator |
| FT | Fault threshold |
| PST | Prediction start time |
| EOL | End of life |
| MD | Mahalanobis distance |
| Probability density function | |
| MAE | Mean absolute error |
| RMSE | Root mean square error |
| HD | Health degree |
References
- Wang, J.; Peng, Y.; Wei, Q. Current-Aided Order Tracking of Vibration Signals for Bearing Fault Diagnosis of Direct-Drive Wind Turbines. IEEE Trans. Ind. Electron. 2016, 63, 6336–6346. [Google Scholar] [CrossRef]
- Chen, J.; Pan, J.; Li, Z. Generator bearing fault diagnosis for wind turbine via empirical wavelet transform using measured vibration signals-ScienceDirect. Renew. Energy 2016, 89, 80–92. [Google Scholar] [CrossRef]
- Xu, M.; Baraldi, P.; Al-Dahidi, S. Fault prognostics by an ensemble of Echo State Networks in presence of event-based measurements. Eng. Appl. Artif. Intell. 2020, 87, 103346.1–103346.15. [Google Scholar] [CrossRef]
- Wen, P.; Zhao, S.; Chen, S. A generalized remaining useful life prediction method for complex systems based on composite health indicator. Reliab. Eng. Syst. Saf. 2021, 205, 107241. [Google Scholar] [CrossRef]
- Si, X.S.; Wang, W.; Hu, C.H. Remaining Useful Life Estimation Based on a Nonlinear Diffusion Degradation Process. IEEE Trans. Reliab. 2012, 61, 50–67. [Google Scholar] [CrossRef]
- Gearboxes Reliability Database. Available online: https://grd.nrel.gov/#/stats (accessed on 20 June 2021).
- Luo, L.; Peng, X.; Tong, C. A multigroup framework for fault detection and diagnosis in large-scale multivariate systems. J. Process Control. 2021, 100, 65–79. [Google Scholar] [CrossRef]
- Li, J.; Chen, X.; Du, Z. A new noise-controlled second-order enhanced stochastic resonance method with its application in wind turbine drivetrain fault diagnosis. Renew. Energy 2013, 60, 7–19. [Google Scholar] [CrossRef]
- Cheng, F.; Peng, Y.; Qu, L. Current-Based Fault Detection and Identification for Wind Turbine Drivetrain Gearboxes. IEEE Trans. Ind. Appl. 2017, 53, 878–887. [Google Scholar] [CrossRef]
- Gao, Q.W.; Liu, W.Y.; Tang, B.P. A novel wind turbine fault diagnosis method based on intergral extension load mean decomposition multiscale entropy and least squares support vector machine. Renew. Energy 2018, 116, 169–175. [Google Scholar] [CrossRef]
- Rezamand, M.; Kordestani, M.; Carriveau, R. An Integrated Feature-Based Failure Prognosis Method for Wind Turbine Bearings. IEEE Trans. Mechatron. 2020, 25, 1468–1478. [Google Scholar] [CrossRef]
- Ruiz, G.C.R. Sound and vibration-based pattern recognition for wind turbines driving mechanisms. Renew. Energy 2017, 109, 262–274. [Google Scholar] [CrossRef]
- Wang, J.; Liang, Y.; Zheng, Y. An integrated fault diagnosis and prognosis approach for predictive maintenance of wind turbine bearing with limited samples. Renew. Energy 2020, 145, 642–650. [Google Scholar] [CrossRef]
- Limon, S.; Yadav, O.P. Predicting remaining lifetime using the monotonic gamma process and bayesian inference for multi-stress conditions. Procedia Manuf. 2019, 38, 1260–1267. [Google Scholar] [CrossRef]
- Peng, W.; Zhu, S.P.; Shen, L. The transformed inverse Gaussian process as an age- and state-dependent degradation model. Appl. Math. Model. 2019, 75, 837–852. [Google Scholar] [CrossRef]
- Kong, D.; Balakrishnan, N.; Cui, L. Two-Phase Degradation Process Model with Abrupt Jump at Change Point Governed by Wiener Process. IEEE Trans. Reliab. 2017, 66, 1345–1360. [Google Scholar] [CrossRef]
- Carrillo, R.E.; Aysal, T.C.; Barner, K.E. A generalized Cauchy distribution framework for problems requiring robust behavior. EURASIP J. Adv. Signal Process. 2010, 2010, 312989. [Google Scholar] [CrossRef]
- Liu, H.; Song, W.Q.; Zhang, Y.J. Generalized Cauchy degradation model with long-range dependence and maximum Lyapunov exponent for remaining useful life. IEEE Trans. Instrum. Meas. 2021, 70, 3512812. [Google Scholar] [CrossRef]
- Lim, S.; Li, M. A generalized Cauchy process and its application to relaxation phenomena. J. Phys. A Math. Gen. 2006, 39, 2935–2951. [Google Scholar] [CrossRef]
- Li, M.; Li, J.Y. Generalized Cauchy model of sea level fluctuations with long-range dependence. Phys. A Stat. Mech. Appl. 2017, 484, 309–335. [Google Scholar] [CrossRef]
- Kurita, E.; Seo, T. Multivariate normality test based on kurtosis with two-step monotone missing data. J. Multivar. Anal. 2021, 188, 104824. [Google Scholar] [CrossRef]
- Dimitrova, D.S.; Kaishev, V.K.; Tan, S. Computing the Kolmogorov-Smirnov Distribution When the Underlying CDF is Purely Discrete. Mixed, or Continuous. J. Stat. Softw. 2020, 95, 1–42. [Google Scholar] [CrossRef]
- Zhang, Z.; Si, X.; Hu, C. Degradation Data Analysis and Remaining Useful Life Estimation: A Review on Wiener-Process-Based Methods. Eur. J. Oper. Res. 2018, 271, 775–796. [Google Scholar] [CrossRef]
- Hong, G.X.; Song, W.Q.; Gao, Y. An Iterative Model of the Generalized Cauchy Process for Predicting the Remaining Useful Life of Lithium-ion Batteries. Measurement 2022, 187, 110269. [Google Scholar] [CrossRef]
- Song, W.Q.; Liu, H.; Zio, E. Long-range dependence and heavy tail characteristics for remaining useful life prediction in rolling bearing degradation. Appl. Math. Model. 2022, 102, 268–284. [Google Scholar] [CrossRef]
- Duan, S.W.; Song, W.Q.; Zio, E. Product technical life prediction based on multi-modes and fractional Levy stable motion. Mech. Syst. Signal Process. 2021, 161, 107974. [Google Scholar] [CrossRef]
- Lei, Y.G.; Li, N.P.; Guo, L. Machinery health prognostics: A systematic review from data acquisition to RUL prediction. Mech. Syst. Signal Process. 2018, 104, 799–834. [Google Scholar] [CrossRef]
- Cheng, Y.; Zhu, H.; Hu, K. Reliability prediction of machinery with multiple degradation characteristics using double-Wiener process and Monte Carlo algorithm. Mech. Syst. Signal Process. 2019, 134, 106333. [Google Scholar] [CrossRef]
- Wang, Y.; Peng, Y.Z.; Zi, Y.Y. A Two-Stage Data-Driven-Based Prognostic Approach for Bearing Degradation Problem. IEEE Trans. Ind. Inform. 2016, 12, 924–932. [Google Scholar] [CrossRef]
- Azevedo, H.; Araujo, A.; Bouchonneau, N. A review of wind turbine bearing condition monitoring: State of the art and challenges. Renew. Sustain. Energy Rev. 2016, 56, 368–379. [Google Scholar] [CrossRef]
- Zhang, H.; Chen, M.; Xi, X. Remaining Useful Life Prediction for Degradation Processes with Long-Range Dependence. IEEE Trans. Reliab. 2017, 66, 1368–1379. [Google Scholar] [CrossRef]
- Fu, S.; Zhang, Y.; Lin, L. Deep Residual LSTM with Domain-invariance for Remaining Useful Life Prediction Across Domains. Reliab. Eng. Syst. Saf. 2021, 216, 108012. [Google Scholar] [CrossRef]
- Xing, X.; Feng, Q.; Zhang, W. Vapor-liquid equilibrium and criticality of CO2 and n-heptane in shale organic pores by the Monte Carlo simulation. Fuel 2021, 299, 120909. [Google Scholar] [CrossRef]
- Jie, X.; Song, W.Q.; Francesco, V. Generalized Cauchy Process: Difference Iterative Forecasting Model. Fractal Fract. 2021, 5, 38. [Google Scholar] [CrossRef]
- Li, X.; Ma, Y. Remaining useful life prediction for lithium-ion battery using dynamic fractional brownian motion degradation model with long-term dependence. J. Power Electron. 2022. [Google Scholar] [CrossRef]
- Sayah, M.; Guebli, D.; Masry, Z.A.; Zerhoui, N. Robustness testing framework for RUL prediction Deep LSTM networks. ISA Trans. 2021, 113, 28–38. [Google Scholar] [CrossRef]
- Zhai, Q.Q.; Ye, Z.S. RUL Prediction of Deteriorating Products Using an Adaptive Wiener Process Model. IEEE Trans. Ind. Inform. 2017, 13, 2911–2921. [Google Scholar] [CrossRef]
- Cheng, F.; Qu, L.; Qiao, W. Fault Prognosis and Remaining Useful Life Prediction of Wind Turbine Gearboxes Using Current Signal Analysis. IEEE Trans. Sustain. Energy 2018, 9, 157–167. [Google Scholar] [CrossRef]
















| Length of Time Sequence | 100 | 500 | 1000 | 2000 | 5000 |
|---|---|---|---|---|---|
| mean value of skewness | −0.1291 | 0.1067 | 0.0672 | 0.0867 | −0.0498 |
| mean value of kurtosis | 2.8574 | 3.0816 | 2.9410 | 3.0737 | 2.9841 |
| Length of Time Sequence | 100 | 500 | 1000 | 2000 | 5000 |
|---|---|---|---|---|---|
| Statistics | 0.980 | 0.997 | 0.998 | 0.999 | 1.000 |
| p-values | 0.131 | 0.527 | 0.738 | 0.827 | 0.919 |
| Length of Time Sequence | 100 | 500 | 1000 | 2000 | 5000 |
|---|---|---|---|---|---|
| Statistics | 0.833 | 0.683 | 0.520 | 0.516 | 0.498 |
| p-value | 0.491 | 0.739 | 0.950 | 0.953 | 0.965 |
| Parameters | ||||||
|---|---|---|---|---|---|---|
| adaptive GC model | 0.0635 | 1.2670 | - | 1.9643 | 0.5723 | 1.4523 |
| GC model | − | − | 0.0651 | 2.0617 | 0.5723 | 1.4523 |
| FBM model | − | − | 0.0592 | 1.9643 | 0.5723 | − |
| Adaptive Wiener | 0.01163 | 1.0274 | − | 1.8640 | − | − |
| Prediction Start Point (min) | Actual RUL (min) | Adaptive GC (min) | GC (min) | FBM (min) | LSTM (min) | Adaptive Wiener (min) |
|---|---|---|---|---|---|---|
| 520 | 46 | 47 | 48 | 43 | 49 | 48 |
| 525 | 41 | 42 | 42 | 38 | 43 | 40 |
| 530 | 36 | 35 | 39 | 37 | 38 | 37 |
| 535 | 31 | 30 | 30 | 33 | 33 | 29 |
| 540 | 26 | 26 | 28 | 24 | 24 | 24 |
| 545 | 21 | 22 | 22 | 19 | 23 | 19 |
| 550 | 16 | 15 | 17 | 15 | 18 | 16 |
| 555 | 11 | 10 | 12 | 10 | 9 | 10 |
| 560 | 6 | 5 | 6 | 6 | 7 | 5 |
| 565 | 1 | 2 | 1 | 2 | 2 | 2 |
| Prediction Models | MAE | RMSE | HD |
|---|---|---|---|
| Adaptive GC | 0.9000 | 0.9487 | 0.0012 |
| GC | 1.2000 | 1.4832 | 0.0409 |
| FBM | 1.6000 | 1.8439 | 0.0373 |
| LSTM | 1.9000 | 1.9748 | 0.0476 |
| Adaptive Wiener | 1.3000 | 1.4491 | 0.0112 |
Publisher’s Note: MDPI stays neutral with regard to jurisdictional claims in published maps and institutional affiliations. |
© 2022 by the authors. Licensee MDPI, Basel, Switzerland. This article is an open access article distributed under the terms and conditions of the Creative Commons Attribution (CC BY) license (https://creativecommons.org/licenses/by/4.0/).
Share and Cite
Song, W.; Chen, D.; Zio, E.; Yan, W.; Cai, F. An Adaptive Generalized Cauchy Model for Remaining Useful Life Prediction of Wind Turbine Gearboxes with Long-Range Dependence. Fractal Fract. 2022, 6, 576. https://doi.org/10.3390/fractalfract6100576
Song W, Chen D, Zio E, Yan W, Cai F. An Adaptive Generalized Cauchy Model for Remaining Useful Life Prediction of Wind Turbine Gearboxes with Long-Range Dependence. Fractal and Fractional. 2022; 6(10):576. https://doi.org/10.3390/fractalfract6100576
Chicago/Turabian StyleSong, Wanqing, Dongdong Chen, Enrico Zio, Wenduan Yan, and Fan Cai. 2022. "An Adaptive Generalized Cauchy Model for Remaining Useful Life Prediction of Wind Turbine Gearboxes with Long-Range Dependence" Fractal and Fractional 6, no. 10: 576. https://doi.org/10.3390/fractalfract6100576
APA StyleSong, W., Chen, D., Zio, E., Yan, W., & Cai, F. (2022). An Adaptive Generalized Cauchy Model for Remaining Useful Life Prediction of Wind Turbine Gearboxes with Long-Range Dependence. Fractal and Fractional, 6(10), 576. https://doi.org/10.3390/fractalfract6100576

