Non-Debye Relaxations: The Ups and Downs of the Stretched Exponential vs. Mittag–Leffler’s Matchings
Abstract
:1. Introduction
2. Characteristic Exponents and Stochastic Description—A Brief Tutorial
3. Spectral Function for the KWW Pattern
4. Comparison of Characteristic Exponents
- (a)
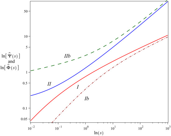
- The characteristic exponents for CC relaxation model are given by the power-law functionswhich differ from the asymptotic behavior of andonly by the factor . Thus, by rescaling Equation (14) we expect the asymptotic agreement with the characteristic functions of the KWW model calculated using Equation (8) or (9). The comparison of with , as well as with are presented in Figure 1 where plots are made for . It is seen that the characteristic exponents and match and for large s. In the opposite case, i.e., for small s, agrees with much better than . Analogical observation can be made for which reconstructs better than .We should also observe that and , as well as and are CBFs and by construction satisfy the Sonine condition.
- (b)
- In case of the HN relaxation we haveFor large s the leading asymptotic term of is . For small s the relevant asymptotics is got if we rewrite as the series whose first two terms (i.e., the terms with and ) give the asymptotics of proportional to . Gathered together the asymptotic behavior of readswhich determine the asymptotics ofAs in the previous example also here and are CBFs for . The power-law asymptotics given by Equation (17) for shows that in order to match the relations of exponentials has to be satisfied. It means that may be chosen arbitrarily if simultaneously . Thus, the small s asymptotics of becomes incompatible with the asymptotics of and matches it only for which is the condition reducing the HN pattern to the CC one. Figure 2, with , , and , shows that for large and fit well and , respectively, but the matching breaks down for small .
- (c)
- The characteristic exponents of the JWS model are equal toTheir asymptotics readAs in the previous case also here the asymptotics’ presented by Equation (20) are given by CBFs for . The comparison between and , as well as between and is shown in Figure 3. It is seen that for large s and match and faster than for the CC and HN models. Nevertheless the matchings for small s remain disappointing although at the first glance they seem to be more acceptable than those resulting from the CC and HN models. This, however, may be treated as an artifact coming from the choice of parameters.
- The leading order of large s, i.e., short t, asymptotics of all relaxation patterns being considered matches the KWW function.
- In Figure 1, Figure 2 and Figure 3 the curves labelled by I and II show the behavior of various and . Unidexed labels I and II characterize plots obtained for the KWW model if . The labels I and II indexed with subscripts a, b, and c distinguish non-Debye models: a is for the CC, b is for the HN, and c is for the JWS.
5. The Mittag–Leffler Family: Comparison of Useful Properties
5.1. An Interlude: A Few Mathematical Tools
5.1.1. The Efross Theorem as an Integral Decomposition
5.1.2. Integral Decompositions as Subordinations
5.1.3. Subordinations as Signposts Leading to Evolution Equations
5.2. Examples
- (i)
- For the CC model, for which is given by Equation (14) multiplied by B, we havewhere we set . We say that subordinates the Debye case. Using Equation (33) for we get Equation (A1) with and andwhich is well-known relaxation function of the CC model [18,21,29,30]. Asymptotics of for t being smaller or larger than can be obtained from the first terms of the series representations given in Refs. [18,29,30]. The results readThe short time asymptotics given by the first equation in Equation (36) constitutes also the first two terms of the stretched exponential . Such approximation was proposed in Ref. [49] and it offers good results for low values of at sufficiently short times.The evolution equations derived from Equation (29) readwhere the symbol denotes the fractional integral defined in Appendix E for while is the fractional (Caputo) derivative operator. Equations (37) are equivalent to [50] (Equation (3.7.43)) and [18] (Equation (3.10)), respectively.
- (ii)
- Our next example is the HN relaxation function. We begin with the subordination approach which involves the Debye relaxation and . Substituting Equation (16) multiplied by B into Equation (23) we getwhere is cancelled by coming from . Next, we apply once more the Efross theorem to the inverse Laplace transform in Equation (38), this time with and put in. Thus, we can express Equation (38) asFrom Equation (33) it comes out that . Then, with the help of Equation (A4), we getwhich is usually obtained by employing , Equations (A6) and (1) as it is presented in [18,29,30,51]. Notice that, due to ([18] Equation (3.13)) we haveproportional to the spectral function of CD model which now generates the parent process. Hence, looking on Equations (40) and (43) we can say that the CD relaxation together with are the constituents of the integral decomposition of . From [18,29,30] we know that the short and long time power-law asymptotics of are equal toThe evolution equation is equal to ([18] Equations (3.40) and (3.50))where the pseudo-operator is defined in Appendix E.
- (iii)
- Equation (23) for the JWS model giveswhich after using once again the Efross theorem where and can be represented as
6. Conclusions
Author Contributions
Funding
Institutional Review Board Statement
Informed Consent Statement
Data Availability Statement
Conflicts of Interest
Abbreviations
| KWW | Kohlrausch–Williams–Watts relaxation |
| CC | Cole–Cole relaxation |
| CD | Cole–Davidson relaxation |
| HN | Havriliak–Negami relaxation |
| JWS | Jurlewicz–Weron–Stanislavsky relaxation |
| CMF | Completely monotone function |
| SF | Stieltjes function |
| CBF | Completely Bernstein function |
Appendix A. The Stretched Exponential and Mittag–Leffler Functions
Appendix B. The Completely Monotone and Completely Bernstein Functions
Appendix C. The Fox H, Meijer G, and Generalized Hypergeometric Functions
Appendix D. Relation between the Infinitely Divisible Distribution and the Bernstein-Class Functions
Appendix E. Fractional Integrals and Derivatives
References
- Böttcher, C.J.F.; Bordewijk, P. Theory of Electric Polarization; Elsevier: Amsterdam, The Netherlands, 1996; Volume 2. [Google Scholar]
- Johnston, D.C. Stretched exponential relaxation arising from continuous sum of exponential decays. Phys. Rev. B 2006, 74, 184430. [Google Scholar] [CrossRef] [Green Version]
- Pollard, H. The Bernstein-Widder theorem on completely monotonic functions. Duke Math. J. 1944, 11, 427–430. [Google Scholar] [CrossRef]
- Grippenberg, G.; Londen, S.O.; Staffans, O.J. Volterra Integral and Functional Equations; Cambridge University Press: Cambridge, UK, 1990. [Google Scholar]
- Luneburg, R.K. Mathematical Theory of Optics; University of California Press: Berkeley, CA, USA; Los Angeles, CA, USA, 1966; Chapter II. [Google Scholar]
- Maxwell, J.C. The Scientific Papers; Dover: New York, NY, USA, 1952. [Google Scholar]
- Makowski, A.J.; Górska, K. Quantization of the Maxwell fish-eye problem and the quantum-classical correspondence. Phys. Rev. A 2009, 79, 052116. [Google Scholar] [CrossRef]
- Gettens, R.T.T.; Gilbert, J.L. The electrochemical impedance of polarized 316L stainless steel: Structure-property-adsorption correlation. J. Biomed. Mater. Res. A 2008, 90, 121–132. [Google Scholar] [CrossRef] [PubMed]
- Haeri, M.; Goldberg, S.; Gilbert, J.L. The voltage-dependent electrochemical impedance spectroscopy of CoCrMo medical alloy using time-domain techniques: Generalized Cauchy-Lorentz, and KWW-Randles functions describing non-ideal interfacial behaviour. Corros. Sci. 2011, 53, 582–588. [Google Scholar] [CrossRef]
- Hernández-Balaguera, E.; Polo, J.L. A generalized procedure for the coulostatic method using a constant phase element. Electro. Acta 2017, 233, 167–172. [Google Scholar] [CrossRef]
- Hernández-Balaguera, E.; Polo, J.L. On the potential-step hold time when the transient-current response exhibits a Mittag-Leffler decay. J. Electro. Chem. 2020, 856, 113631. [Google Scholar] [CrossRef]
- Hernández-Balaguera, E. Coulostatics in bielectrochemistry; A physical interpretation of the electrode-tissue processes from the theory of fractional calculus. Chaos Solitons Fractals 2021, 145, 110768. [Google Scholar] [CrossRef]
- Hernández-Balaguera, E. Numerical approximations on the transient analysis of bioelectric phenomena at long time scales. Chaos Solitons Fractals 2021, 145, 110787. [Google Scholar] [CrossRef]
- Hernández-Balaguera, E.; Del Pozo, G.; Arredondo, B.; Romero, B.; Pereyra, C.; Xie, H.; Lira-Cantú, M. Unraveling the Key Relationship between Perovskite Capacitive Memory, Long Timescale Cooperative Relaxation Phenomena, and Anomalous J-V Hysteresis. Solar RRL 2021, 5, 2000707. [Google Scholar] [CrossRef]
- Alvarez, F.; Alegría, A.; Colmenero, J. Relationship between the time-domain Kohlrausch-Williams-Watts and frequency-domain Havriliak-Negami relaxation functions. Phys. Rev. B 1991, 44, 7306–7312. [Google Scholar] [CrossRef]
- Alvarez, F.; Alegría, A.; Colmenero, J. Interconnection between frequency-domain Havriliak-Negami and time-domain Kohlrausch-Williams-Watts relaxation functions. Phys. Rev. B 1993, 47, 125–130. [Google Scholar] [CrossRef] [PubMed]
- Havriliak, S., Jr.; Havriliak, S.J. Comparison of the Havriliak-Negami and stretched exponential functions. Polymers 1996, 37, 4107–4110. [Google Scholar] [CrossRef]
- Garrappa, R.; Mainardi, F.; Maione, G. Models of dielectric relaxation based on completely monotone functions. Frac. Calc. Appl. Anal. 2016, 19, 1105–1160. [Google Scholar] [CrossRef] [Green Version]
- Metzler, R.; Klafter, J. From stretched exponential to inverse power-law: Fractional dynamics, Cole-Cole relaxation processes, and beyond. J. Non-Cryst. Solids 2002, 305, 81–87. [Google Scholar] [CrossRef]
- Stanislavsky, A.; Weron, K. Fractional-calculus tools applied to study the nonexponential relaxation in dielectrics. In Handbook of Fractional Calculus with Applications. Volume 5. Applications in Physics, Part B; Tarasov, V.E., Ed.; De Gruyter: Berlin, Germany, 2019. [Google Scholar]
- Weron, K.; Kotulski, M. On the Cole-Cole relaxation function and related Mittag-Leffler distribution. Phys. A 1996, 232, 180–188. [Google Scholar] [CrossRef]
- Schilling, R.L. An introduction to Lévy and Feller processes. In From Lévy–Type Processes to Parabolic SPDEs. Advanced Courses Mathematics Birkhäuser; Springer: Cham, Germany, 2016; pp. 1–126. [Google Scholar]
- Baule, A.; Friedrich, R. Joint probability distribution for a class on non-Markovian processes. Phys. Rev. 2003, 71, 026101. [Google Scholar] [CrossRef] [Green Version]
- Fogedby, H.C. Langevin equations for continuous time Lévy flights. Phys. Rev. E 1994, 50, 1657–1660. [Google Scholar] [CrossRef] [PubMed] [Green Version]
- Schilling, R.L.; Song, R.; Vondraček, Z. Bernstein Functions; De Gruyter: Berlin, Germany, 2010. [Google Scholar]
- Hanyga, A. A comment on a controversial issue: A generalized fractional derivative cannot have a regular kernel. Frac. Calc. Appl. Anal. 2020, 23, 211. [Google Scholar] [CrossRef] [Green Version]
- Górska, K.; Horzela, A. Non-Debye Relaxations: Two types of memories and their Stieltjes character. Mathematics 2021, 9, 477. [Google Scholar] [CrossRef]
- Stanislavsky, A.; Weron, A. Duality in fractional systems. Commun. Nonlinear. Sci. Numer. Simulat. 2021, 101, 105861. [Google Scholar] [CrossRef]
- Hilfer, R. Analytical representations for relaxation functions of glasses. J. Non-Cryst. Solids 2002, 305, 122–126. [Google Scholar] [CrossRef] [Green Version]
- Hilfer, R. H-function representations for stretched exponential relaxation and non-Debye susceptibilities in glassy systems. Phys. Rev. E 2002, 65, 061510. [Google Scholar] [CrossRef] [PubMed] [Green Version]
- Erdélyi, A.; Magnus, W.; Oberhettinger, F.; Tricomi, F.G. Higher Transcendental Functions; McGraw-Hill: New York, NY, USA; Toronto, ON, Canada; London, UK, 1953; Volume 2. [Google Scholar]
- Gradsteyn, I.S.; Ryzhik, I.M. Tables of Integrals, Series and Products, 6th ed.; Academic Press: San Diego, CA, USA, 2000. [Google Scholar]
- Prudnikov, A.; Brychkov, Y.; Marichev, O. More Special Functions. In Integrals and Series; Gordon and Breach: New York, NY, USA, 1990; Volume 3. [Google Scholar]
- Prudnikov, A.; Brychkov, Y.; Marichev, O. Elementary Functions. In Integrals and Series; Gordon and Breach: New York, NY, USA, 1998; Volume 1. [Google Scholar]
- Stanislavsky, A.; Weron, K.; Weron, A. Anomalous diffusion approach to non-exponential relaxation in complex physical systems. Commun. Nonlinear Sci. Numer. Simulat. 2015, 24, 117–126. [Google Scholar] [CrossRef]
- Jonscher, A.K. The universal dielectric response and its physical significance. IEEE Trans. Electr. Insul. 1992, 27, 407–423. [Google Scholar] [CrossRef]
- Apelblat, A.; Mainardi, F. Application of the Efros theorem to the function represented by the inverse Laplace transform of s−μexp(−sν). Symmetry 2021, 13, 354. [Google Scholar] [CrossRef]
- Efross, A.M. The application of the operational calculus to the analysis. Mat. Sb. 1935, 42, 699–706. (In Russian) [Google Scholar]
- Górska, K.; Penson, K.A. Lévy stable distributions via associated integral transform. J. Math. Phys. 2012, 53, 053302. [Google Scholar] [CrossRef] [Green Version]
- Górska, K. Integral decomposition for the solutions of the generalized Cattaneo equation. Phys. Rev. E 2021, 104, 024113. [Google Scholar] [CrossRef]
- Graf, U. Applied Laplace Transforms and z-Transforms for Sciences and Engineers; Birkhäuser: Basel, Switzerland, 2004. [Google Scholar]
- Włodarski, Ł. Sur une formule de Efross. Studia Math. 1952, 13, 183–187. [Google Scholar] [CrossRef] [Green Version]
- Sokolov, I.M. Solution of a class of non-Markovian Fokker-Planck equation. Phys. Rev. E 2002, 66, 041101. [Google Scholar] [CrossRef] [PubMed] [Green Version]
- Chechkin, A.V.; Sokolov, I.M. On relation between generalized diffusion and subordination schemes. Phys. Rev. E 2021, 103, 032133. [Google Scholar] [CrossRef] [PubMed]
- Górska, K.; Horzela, A. The Volterra type equation related to the non-Debye relaxation. Comm. Nonlinear Sci. Numer. Simulat. 2020, 85, 105246. [Google Scholar] [CrossRef]
- Górska, K.; Horzela, A.; Pogány, T.K. Non-Debye relaxations: Smeared time evolution, memory effects, and the Laplace exponents. Comm. Nonlinear Sci. Numer. Simulat. 2021, 99, 105837. [Google Scholar] [CrossRef]
- Górska, K.; Horzela, A.; Lattanzi, A.; Pogány, T.K. On the complete monotonicity of the three parameter generalized Mittag-Leffler function . Appl. Anal. Discret. Math. 2021, 15, 118–128. [Google Scholar] [CrossRef]
- Pollard, H. The completely monotonic character of the Mittag-Leffler function Eα(−x). Bull. Am. Math. Soc. 1948, 54, 1115–1116. [Google Scholar] [CrossRef] [Green Version]
- Mainardi, F. On some properties of the Mittag-Leffler function Eα(−tα), completely monotone for t > 0 with 0 < α < 1. Discrete. Contin. Dyn. Syst. Ser. B 2014, 19, 2267–2278. [Google Scholar]
- Gorenflo, R.; Kilbas, A.A.; Mainardi, F.; Rogosin, S.V. Mittag-Leffler Functions, Related Topics and Applications: Theory and Applications; Springer: Berlin, Germany, 2014. [Google Scholar]
- Górska, K.; Horzela, A.; Bratek, Ł.; Penson, K.A.; Dattoli, G. The Havriliak-Negami relaxation and its relatives: The response, relaxation and probability density functions. J. Phys. A 2018, 51, 135202. [Google Scholar] [CrossRef] [Green Version]
- Stanislavsky, A.; Weron, K. Atypical Case of the Dielectric Relaxation Responses and its Fractional Kinetic Equation. Frac. Calc. Appl. Anal. 2016, 19, 212–228. [Google Scholar] [CrossRef]
- Penson, K.A.; Górska, K. Exact and explicit probability densities for one-sided Lévy stable distributions. Phys. Rev. Lett. 2010, 105, 210604. [Google Scholar] [CrossRef] [PubMed] [Green Version]
- Pollard, H. The representation of e−xλ as a Laplace integral. Bull. Am. Math. Soc. 1946, 52, 908–910. [Google Scholar] [CrossRef] [Green Version]
- Weibull, W. A Statistical Distribution Function of Wide Applicability. J. App. Mech.-Trans. ASME 1951, 18, 293–297. [Google Scholar] [CrossRef]
- Wiman, A. Über den Fundamentalsatz in der Theorie der Funktionen Eα(x). Acta Math. 1905, 29, 191–201. [Google Scholar] [CrossRef]
- Kochubei, A.N. General fractional calculus, evolution equations, and renewal processes. Integr. Eq. Oper. Theory 2011, 71, 583–600. [Google Scholar] [CrossRef] [Green Version]
- Widder, D.V. The Laplace Transform; Princeton University Press: London, UK, 1946. [Google Scholar]
- Podlubny, I. Fractional Differential Equations; Academic Press: San Diego, CA, USA, 1999. [Google Scholar]



Publisher’s Note: MDPI stays neutral with regard to jurisdictional claims in published maps and institutional affiliations. |
© 2021 by the authors. Licensee MDPI, Basel, Switzerland. This article is an open access article distributed under the terms and conditions of the Creative Commons Attribution (CC BY) license (https://creativecommons.org/licenses/by/4.0/).
Share and Cite
Górska, K.; Horzela, A.; Penson, K.A. Non-Debye Relaxations: The Ups and Downs of the Stretched Exponential vs. Mittag–Leffler’s Matchings. Fractal Fract. 2021, 5, 265. https://doi.org/10.3390/fractalfract5040265
Górska K, Horzela A, Penson KA. Non-Debye Relaxations: The Ups and Downs of the Stretched Exponential vs. Mittag–Leffler’s Matchings. Fractal and Fractional. 2021; 5(4):265. https://doi.org/10.3390/fractalfract5040265
Chicago/Turabian StyleGórska, Katarzyna, Andrzej Horzela, and Karol A. Penson. 2021. "Non-Debye Relaxations: The Ups and Downs of the Stretched Exponential vs. Mittag–Leffler’s Matchings" Fractal and Fractional 5, no. 4: 265. https://doi.org/10.3390/fractalfract5040265
APA StyleGórska, K., Horzela, A., & Penson, K. A. (2021). Non-Debye Relaxations: The Ups and Downs of the Stretched Exponential vs. Mittag–Leffler’s Matchings. Fractal and Fractional, 5(4), 265. https://doi.org/10.3390/fractalfract5040265

