Simple Graphical Prediction of Relative Permeability of Unsaturated Soils under Deformations
Abstract
:1. Introduction
2. Prediction Method
2.1. Unified Model
2.2. Relationship between Parameter λ and Fractal Dimension D
2.3. Law of Relative Permeability Coefficient of Unsaturated Soil under Deformation Conditions
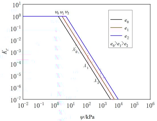
2.4. Simple Graphing Method
2.4.1. Measure the SWCC and Unsaturated Relative Permeability Coefficient before Deformation
2.4.2. Solve the Fractal Dimension
2.4.3. Predict the Air-Entry Value after Deformation
2.4.4. Determine λ According to the Measured Value of the Unsaturated Relative Permeability Coefficient before Deformation
2.4.5. Determine the Deformed λ
2.4.6. Simple Drawing
3. Method Verification
3.1. Calculation of Fractal Dimension
3.2. Prediction of Air-Entry Value under Deformation Conditions
3.3. Determine λ According to the Measured Value of the Unsaturated Relative Permeability Coefficient before Deformation
3.4. Determine the Deformed λ
3.5. Simple Drawing
4. Discussion
5. Conclusions
Author Contributions
Funding
Institutional Review Board Statement
Informed Consent Statement
Data Availability Statement
Conflicts of Interest
References
- Sun, Y.; Sumelka, W. Multiaxial stress-fractional plasticity model for anisotropically overconsolidated clay. Int. J. Mech. Sci. 2021, 205, 106598. [Google Scholar] [CrossRef]
- Sun, Y.; Sumelka, W.; Gao, Y.; Nimbalkar, S. Phenomenological fractional stress-dilatancy model for granular soil and soil-structure interface under monotonic and cyclic loads. Acta. Geotech. 2021, 16, 3115–3132. [Google Scholar] [CrossRef]
- Yang, Y.; Lin, Y.; Ji, X. Hydrodynamic characteristics of flow over emergent vegetation in a strongly curved channel. J. Hydraul. Res. 2021, 1–18. [Google Scholar] [CrossRef]
- Topp, G.C.; Miller, E.E. Hysteretic Moisture Characteristics and Hydraulic Conductivities for Glass-Bead Media1. Soil Sci. Soc. Am. J. 1966, 30, 156. [Google Scholar] [CrossRef]
- Shafiee, A. Permeability of compacted granule-clay mixtures. Eng. Geol. 2008, 97, 199–208. [Google Scholar] [CrossRef]
- Leung, A.K.; Coo, J.L.; Ng, C.W.W.; Chen, R. New transient method for determining soil hydraulic conductivity function. Can. Geotech. J. 2016, 53, 1332–1345. [Google Scholar] [CrossRef] [Green Version]
- Jarvis, N.J.; Messing, I. Near-saturated hydraulic conductivity in soils of contrasting texture as measured by tension infiltrometers. Soil Sci. Soc. Am. J. 1995, 59, 27–34. [Google Scholar] [CrossRef]
- Childs, E.C.; Collis-George, G.N. The permeability of porous materials. Proc. R. Soc. A-Math. Phys. 1950, 201, 392–405. [Google Scholar]
- Burdine, N.T. Relative permeability calculation from poresize distribution data. J. Pet. Technol. 1953, 5, 71–78. [Google Scholar] [CrossRef]
- Mualem, Y. A new model for predicting the hydraulic conductivity of unsaturated porous media. Water Resour. Res. 1976, 12, 513–522. [Google Scholar] [CrossRef] [Green Version]
- Tao, G.; Kong, L. Permeability model of saturated/unsaturated soil based on microscopic pore channels and its application. J. Hydraul. Eng. 2017, 48, 702–709. (In Chinese) [Google Scholar]
- Tao, G.; Wu, X.; Xiao, H.; Chen, Q.; Cai, J. A unified fractal model for permeability coefficient of unsaturated soil. Fractals 2019, 27, 1940012. [Google Scholar] [CrossRef]
- Mitchell, J.K.; Hooper, D.R.; Campanella, R.G. Permeability of compacted clay. Soil Mech. Found. Div. 1965, 91, 41–65. [Google Scholar] [CrossRef]
- Chang, C.S.; Duncan, J.M. Consolidation analysis for partly saturated clay by using an elastic-plastic effective stress-strain model. Int. J. Numer. Anal. Met. 1983, 7, 39–55. [Google Scholar] [CrossRef]
- Zhang, X.; Zhao, C.; Liu, Y. Probability-based model for influence of deformation on hydraulic conductivity function of unsaturated soils. J. Eng. Geol. 2010, 18, 132–139. (In Chinese) [Google Scholar]
- Hu, R.; Chen, Y.; Liu, H.; Zhou, C. A water retention curve and unsaturated hydraulic conductivity model for deformable soils: Consideration of the change in pore-size distribution. Géotechnique 2013, 63, 1389–1405. [Google Scholar] [CrossRef]
- Gao, Y.; Li, Z.; Sun, D.; Yu, H. A simple method for predicting the hydraulic properties of unsaturated soils with different void ratios. Soil Tillage Res. 2021, 209, 104913. [Google Scholar] [CrossRef]
- Tao, G.; Chen, Y.; Kong, L.; Xiao, H.; Chen, Q.; Xia, Y. A Simple Fractal-Based Model for Soil-Water Characteristic Curves Incorporating Effects of Initial Void Ratios. Energies 2018, 11, 1419. [Google Scholar] [CrossRef] [Green Version]
- Tyler, S.W.; Wheatcraft, S.W. Fractal scaling of soil particle-size distributions: Analysis and Limitations. Soil Sci. Soc. Am. J. 1992, 56, 362–369. [Google Scholar] [CrossRef]
- Xu, Y.; Matsuoka, H.; Sun, D. Swelling characteristics of fractal-textured bentonite and its mixtures. Appl. Clay Sci. 2003, 22, 197–209. [Google Scholar] [CrossRef]
- Brid, N.R.A.; Perrier, E.; Rieu, M. The water retention function for a model of soil structure with pore and solid fractal distributions. Eur. J. Soil Sci. 2000, 51, 55–63. [Google Scholar] [CrossRef]
- Xu, Y.; Huang, Y. Fractal-textured soils and their unsaturated mechanical properties. Chin. J. Geotech. Eng. 2006, 28, 635–638. (In Chinese) [Google Scholar]
- Laliberte, G.E.; Brooks, R.H. Hydraulic Properties of Disturbed Soil Materials Affected by Porosity. Soil. Sci. Soc. Am. J. 1967, 31, 451–454. [Google Scholar] [CrossRef]
- Zhou, C.; Chen, R. Modelling the water retention behaviour of anisotropic soils. J. Hydrol. 2021, 599, 126361. [Google Scholar] [CrossRef]
- Tao, G.; Zhu, X.; Cai, J.; Xiao, H.; Chen, Q.; Chen, Y. A Fractal Approach for Predicting Unsaturated Hydraulic Conductivity of Deformable Clay. Geofluids 2019, 2019, 8013851. [Google Scholar] [CrossRef]







| Model | a Coefficient | b Coefficient | Relationship between λ and D |
|---|---|---|---|
| CCG | a = (8 − 2D)/(3 − D) | b = (D − 5)/(3 − D) | λ = 5 − D |
| Mualemm | a = 1 | b = 0 | λ = 9.5 − 2.5D |
| Burdine | a = 1 | b = 0 | λ = 11 − 3D |
| Tao–Kong | a = 1 | b = 0 | λ = 5 − D |
| Soil Type | Void Ratio | Air-Entry Value/kPa | |
|---|---|---|---|
| Measured | Prediction | ||
| Touchet silt loam [23] | 1.012 | 4.13 | 4.13 |
| 0.916 | 5.07 | 4.76 | |
| 0.815 | 6.35 | 5.62 | |
| 0.733 | 7.56 | 6.53 | |
| 0.653 | 8.95 | 7.70 | |
| Columbia sandy loam [23] | 1.268 | 2.65 | 2.65 |
| 1.114 | 3.34 | 3.13 | |
| 0.942 | 4.52 | 3.88 | |
| 0.890 | 5.07 | 4.17 | |
| 0.815 | 5.87 | 4.67 | |
| Unconsoildated sand [23] | 0.852 | 0.49 | 0.49 |
| 0.825 | 0.52 | 0.50 | |
| 0.799 | 0.54 | 0.51 | |
| 0.767 | 0.56 | 0.52 | |
| 0.715 | 0.59 | 0.54 | |
Publisher’s Note: MDPI stays neutral with regard to jurisdictional claims in published maps and institutional affiliations. |
© 2021 by the authors. Licensee MDPI, Basel, Switzerland. This article is an open access article distributed under the terms and conditions of the Creative Commons Attribution (CC BY) license (https://creativecommons.org/licenses/by/4.0/).
Share and Cite
Tao, G.; Wang, Q.; Chen, Q.; Nimbalkar, S.; Peng, Y.; Dong, H. Simple Graphical Prediction of Relative Permeability of Unsaturated Soils under Deformations. Fractal Fract. 2021, 5, 153. https://doi.org/10.3390/fractalfract5040153
Tao G, Wang Q, Chen Q, Nimbalkar S, Peng Y, Dong H. Simple Graphical Prediction of Relative Permeability of Unsaturated Soils under Deformations. Fractal and Fractional. 2021; 5(4):153. https://doi.org/10.3390/fractalfract5040153
Chicago/Turabian StyleTao, Gaoliang, Qing Wang, Qingsheng Chen, Sanjay Nimbalkar, Yinjie Peng, and Heming Dong. 2021. "Simple Graphical Prediction of Relative Permeability of Unsaturated Soils under Deformations" Fractal and Fractional 5, no. 4: 153. https://doi.org/10.3390/fractalfract5040153
APA StyleTao, G., Wang, Q., Chen, Q., Nimbalkar, S., Peng, Y., & Dong, H. (2021). Simple Graphical Prediction of Relative Permeability of Unsaturated Soils under Deformations. Fractal and Fractional, 5(4), 153. https://doi.org/10.3390/fractalfract5040153

