Association between Obesity and COVID-19 Mortality in Peru: An Ecological Study
Abstract
:1. Introduction
2. Materials and Methods
2.1. Study Design and Setting
2.2. Statistical Analysis
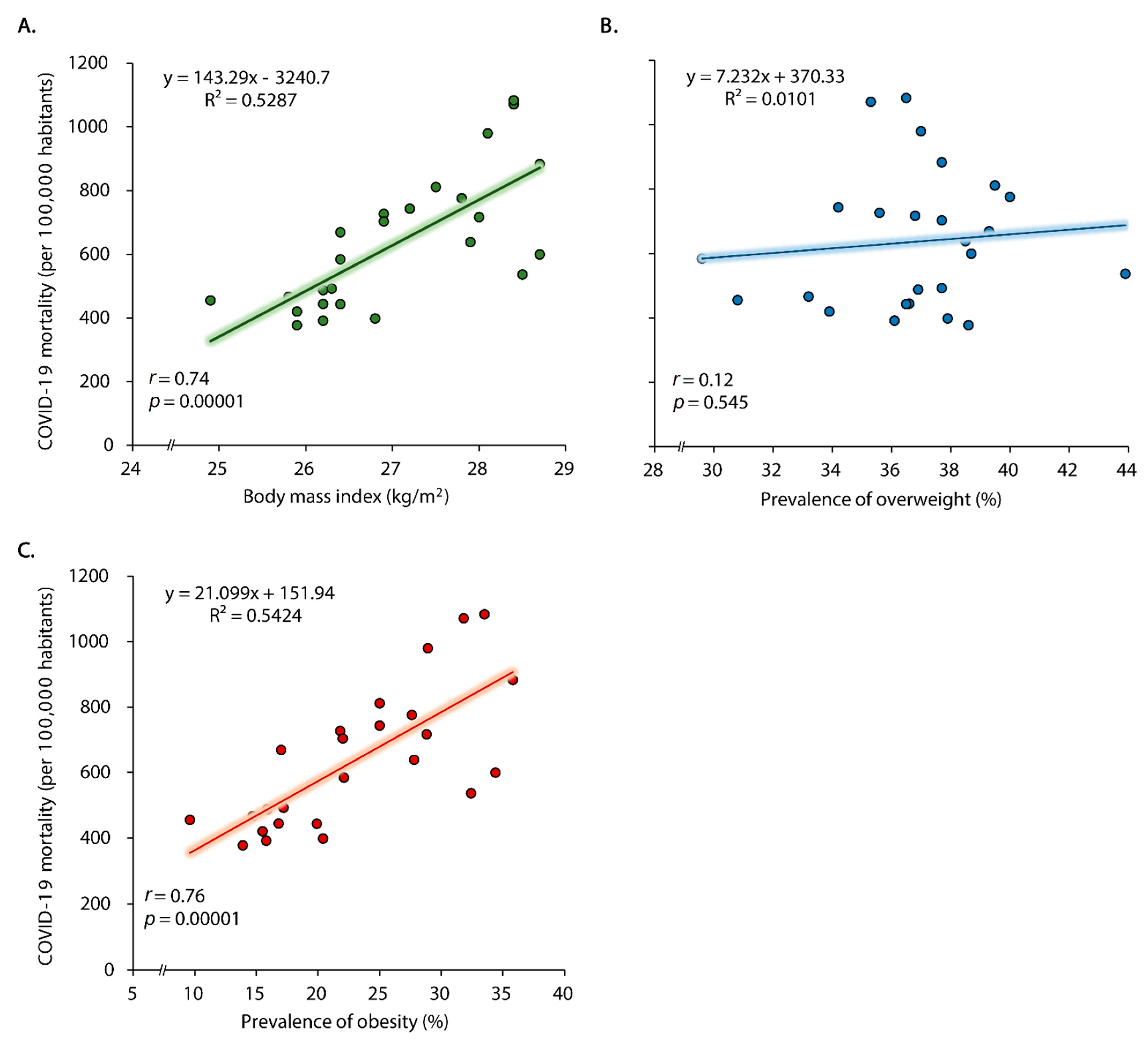
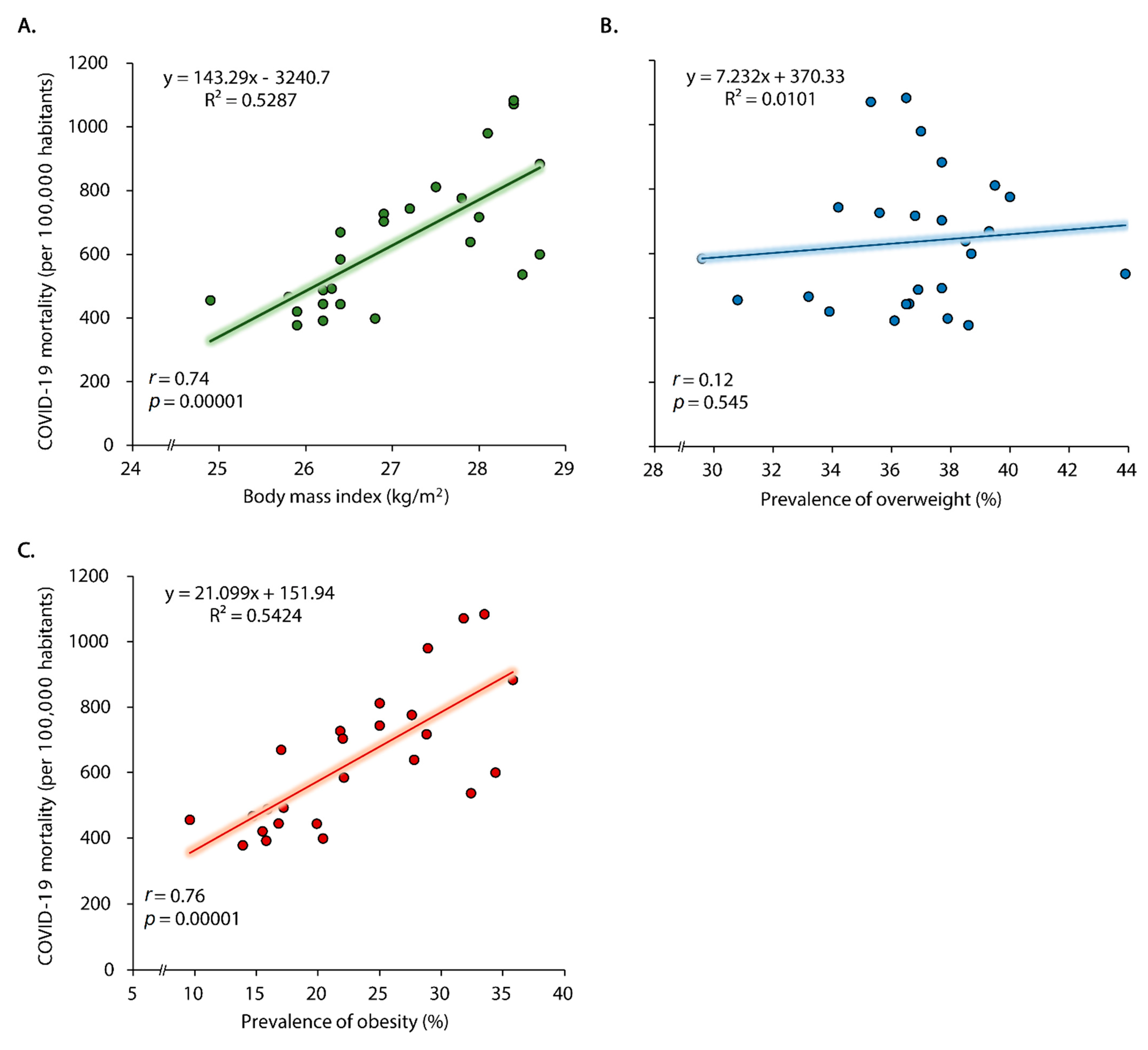
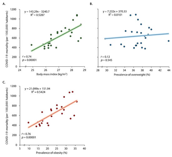
3. Results
4. Discussion
5. Conclusions
Author Contributions
Funding
Institutional Review Board Statement
Informed Consent Statement
Data Availability Statement
Acknowledgments
Conflicts of Interest
References
- Blüher, M. Obesity: Global epidemiology and pathogenesis. Nat. Rev. Endocrinol. 2019, 15, 288–298. [Google Scholar] [CrossRef] [PubMed]
- GBD 2015 Obesity Collaborators. Health Effects of Overweight and Obesity in 195 Countries over 25 Years. N. Engl. J. Med. 2017, 377, 13–27. [Google Scholar]
- Dai, H.; Alsalhe, T.A.; Chalghaf, N.; Riccò, M.; Bragazzi, N.L.; Wu, J. The global burden of disease attributable to high body mass index in 195 countries and territories, 1990–2017: An analysis of the Global Burden of Disease Study. PLoS. Med. 2020, 17, e1003198. [Google Scholar] [CrossRef] [PubMed]
- Huttunen, R.; Syrjänen, J. Obesity and the risk and outcome of infection. Int. J. Obes. 2013, 37, 333–340. [Google Scholar] [CrossRef] [PubMed] [Green Version]
- Huang, Y.; Lu, Y.; Huang, Y.M.; Wang, M.; Ling, W.; Sui, Y.; Zhao, H.L. Obesity in patients with COVID-19: A systematic review and meta-analysis. Metabolism 2020, 113, 154378. [Google Scholar] [CrossRef] [PubMed]
- Hoong, C.W.S.; Hussain, I.; Aravamudan, V.M.; Phyu, E.E.; Lin, J.H.X.; Koh, H. Obesity is Associated with Poor Covid-19 Outcomes: A Systematic Review and Meta-Analysis. Horm. Metab. Res. 2021, 53, 85–93. [Google Scholar] [PubMed]
- Tartof, S.Y.; Qian, L.; Hong, V.; Wei, R.; Nadjafi, R.F.; Fischer, H.; Li, Z.; Shaw, S.F.; Caparosa, S.L.; Nau, C.L.; et al. Obesity and mortality among patients diagnosed with COVID-19: Results from an Integrated Health Care Organization. Ann. Intern. Med. 2020, 173, 773–781. [Google Scholar] [CrossRef] [PubMed]
- Wang, J.; Zhu, L.; Liu, L.; Zhao, X.A.; Zhang, Z.; Xue, L.; Yan, X.; Huang, S.; Li, Y.; Cheng, J.; et al. Overweight and Obesity are Risk Factors of Severe Illness in Patients with COVID-19. Obesity 2020, 28, 2049–2055. [Google Scholar] [CrossRef] [PubMed]
- Gao, M.; Piernas, C.; Astbury, N.M.; Hippisley-Cox, J.; O’Rahilly, S.; Aveyard, P.; Jebb, S.A. Associations between body-mass index and COVID 19 severity in 6·9 million people in England: A prospective, community-based, cohort study. Lancet Diabetes Endocrinol. 2021, 9, 350–359. [Google Scholar] [CrossRef]
- Jayawardena, R.; Jeyakumar, D.T.; Misra, A.; Hills, A.P.; Ranasinghe, P. Obesity: A potential risk factor for infection and mortality in the current COVID-19 epidemic. Diabetes Metab. Syndr. 2020, 14, 2199–2203. [Google Scholar] [CrossRef] [PubMed]
- Ekiz, T.; Pazarlı, A.C. Relationship between COVID-19 and obesity. Diabetes Metab. Syndr. 2020, 14, 761–763. [Google Scholar] [CrossRef] [PubMed]
- Carneiro, R.A.V.D.; Hillesheim, D.; Hallal, A.L.C. Correlation of overweight condition and obesity with mortality by COVID-19 in Brazil’s state capitals. Arch. Endocrinol. Metab. 2021, 65. [Google Scholar] [CrossRef]
- Seclén, S.N.; Nunez-Robles, E.; Yovera-Aldana, M.; Arias-Chumpitaz, A. Incidence of COVID-19 infection and prevalence of diabetes, obesity and hypertension according to altitude in Peruvian population. Diabetes Res. Clin. Pract. 2020, 169, 108463. [Google Scholar] [CrossRef] [PubMed]
- Schwalb, A.; Seas, C. The COVID-19 pandemic in Peru: What went wrong? Am. J. Trop. Med. Hyg. 2021, 104, 1176–1178. [Google Scholar] [CrossRef] [PubMed]
- Taylor, L. Covid-19: Why Peru suffers from one of the highest excess death rates in the world. BMJ 2021, 372, n611. [Google Scholar] [CrossRef] [PubMed]
- Peruvian Ministry of Health (MINSA). COVID-19 in Peru. Available online: https://covid19.minsa.gob.pe/ (accessed on 27 July 2021).
- Vandenbroucke, J.P.; von Elm, E.; Altman, D.G.; Gøtzsche, P.C.; Mulrow, C.D.; Pocock, S.J.; Poole, C.; Schlesselman, J.J.; Egger, M.; STROBE Initiative. Strengthening the Reporting of Observational Studies in Epidemiology (STROBE): Explanation and elaboration. PLoS Med. 2007, 4, e297. [Google Scholar] [CrossRef] [PubMed] [Green Version]
- National Institute of Statistics and Informatics (INEI); Peru—National Demographic and Health Survey (ENDES) 2020. Noncommunicable and Communicable Diseases. 2020. Available online: https://proyectos.inei.gob.pe/endes/2020/SALUD/ENFERMEDADES_ENDES_2020.pdf (accessed on 14 September 2021).
- Peruvian Ministry of Health (MINSA). COVID-19 deaths. National System of Deaths (SINADEF). Available online: https://www.datosabiertos.gob.pe/dataset/fallecidos-por-covid-19-ministerio-de-salud-minsa (accessed on 3 June 2021).
- National Institute of Statistics and Informatics (INEI). Peruvian Population. Available online: https://www.inei.gob.pe/estadisticas/indice-tematico/population-estimates-and-projections/ (accessed on 3 June 2021).
- Singh, A.K.; Gillies, C.L.; Singh, R.; Singh, A.; Chudasama, Y.; Coles, B.; Seidu, S.; Zaccardi, F.; Davies, M.J.; Khunti, K. Prevalence of co-morbidities and their association with mortality in patients with COVID-19: A systematic review and meta-analysis. Diabetes Obes. Metab. 2020, 22, 1915–1924. [Google Scholar] [CrossRef] [PubMed]
- Shulman, G.I. Ectopic fat in insulin resistance, dyslipidemia, and cardiometabolic disease. N. Engl. J. Med. 2014, 371, 1131–1141. [Google Scholar] [CrossRef] [PubMed]


| Region | BMI (kg/m2) [18] | Prevalence of Overweight (%) [18] | Prevalence of Obesity (%) [18] | COVID-19 Deaths [19] | Population [20] | COVID-19 Mortality Rate (per 100,000 Habitants) | Mean Age (Years) | Mean Monthly Income (PEN) | Gender Balance (Men/Women) [20] | No. of ICU Beds |
|---|---|---|---|---|---|---|---|---|---|---|
| Amazonas | 26.2 | 36.1 | 15.8 | 1135.0 | 289,802.0 | 391.6 | 30.95 | 1014.0 | 1.07 | 19 |
| Ancash | 26.9 | 35.6 | 21.8 | 6373.0 | 876,703.0 | 726.9 | 32.36 | 1230.9 | 1.01 | 62 |
| Apurimac | 25.8 | 33.2 | 14.7 | 1401.0 | 300,395.0 | 466.4 | 29.99 | 1123.8 | 1.05 | 38 |
| Arequipa | 28.0 | 36.8 | 28.8 | 8519.0 | 1,187,931.0 | 717.1 | 32.45 | 1703.1 | 0.95 | 92 |
| Ayacucho | 25.9 | 33.9 | 15.5 | 1949.0 | 464,136.0 | 419.9 | 30.04 | 970.6 | 1.04 | 20 |
| Cajamarca | 25.9 | 38.6 | 13.9 | 3839.0 | 1,016,792.0 | 377.6 | 30.71 | 954.4 | 0.98 | 61 |
| Callao | 28.4 | 35.3 | 31.8 | 9670.0 | 902,609.0 | 1071.3 | 32.36 | 1579.6 | 0.94 | 113 |
| Cusco | 26.2 | 36.6 | 16.8 | 4390.0 | 988,897.0 | 443.9 | 30.34 | 1234.1 | 1.02 | 50 |
| Huancavelica | 24.9 | 30.8 | 9.6 | 1079.0 | 236,955.0 | 455.4 | 30.28 | 742.1 | 1.01 | 21 |
| Huanuco | 26.2 | 36.9 | 15.9 | 2558.0 | 524,371.0 | 487.8 | 30.01 | 1007.1 | 1.01 | 44 |
| Ica | 28.4 | 36.5 | 33.5 | 7863.0 | 725,610.0 | 1083.6 | 30.93 | 1507.5 | 0.99 | 84 |
| Junin | 26.4 | 39.3 | 17.0 | 6570.0 | 982,199.0 | 668.9 | 31.18 | 1206.3 | 0.98 | 77 |
| La Libertad | 27.9 | 38.5 | 27.8 | 9778.0 | 1,531,668.0 | 638.4 | 31.55 | 1307.5 | 0.97 | 96 |
| Lambayeque | 27.5 | 39.5 | 25.0 | 8042.0 | 991,121.0 | 811.4 | 32.24 | 1203.6 | 0.93 | 86 |
| Lima | 28.1 | 37.0 | 28.9 | 85,748.0 | 8,750,417.0 | 979.9 | 33.05 | 1885.9 | 0.91 | 845 |
| Loreto | 26.4 | 29.6 | 22.1 | 3977.0 | 680,927.0 | 584.1 | 28.50 | 1231.5 | 1.08 | 52 |
| Madre de Dios | 28.5 | 43.9 | 32.4 | 727.0 | 135,428.0 | 536.8 | 27.48 | 1665.0 | 1.37 | 25 |
| Moquegua | 28.7 | 37.7 | 35.8 | 1374.0 | 155,545.0 | 883.3 | 32.85 | 1801.5 | 1.17 | 28 |
| Pasco | 26.3 | 37.7 | 17.2 | 961.0 | 195,114.0 | 492.5 | 30.12 | 1172.0 | 1.07 | 31 |
| Piura | 27.2 | 34.2 | 25.0 | 11,414.0 | 1,535,433.0 | 743.4 | 30.42 | 1146.0 | 1.01 | 109 |
| Puno | 26.8 | 37.9 | 20.4 | 3603.0 | 904,267.0 | 398.4 | 29.72 | 876.1 | 0.96 | 42 |
| San Martin | 26.4 | 36.5 | 19.9 | 2833.0 | 639,533.0 | 443.0 | 29.89 | 1159.2 | 1.14 | 49 |
| Tacna | 28.7 | 38.7 | 34.4 | 1821.0 | 303,701.0 | 599.6 | 31.91 | 1392.3 | 1.04 | 32 |
| Tumbes | 27.8 | 40.0 | 27.6 | 1489.0 | 191,850.0 | 776.1 | 29.91 | 1264.3 | 1.20 | 17 |
| Ucayali | 26.9 | 37.7 | 22.0 | 2933.0 | 416,932.0 | 703.5 | 28.00 | 1174.4 | 1.13 | 37 |
| Variable | Coef. | SE | Beta | t | p-Value |
|---|---|---|---|---|---|
| BMI and COVID-19 mortality | |||||
| BMI (kg/m2) | 94.49 | 51.60 | 0.479 | 1.83 | 0.083 |
| Mean age in the region (years) | −5.58 | 32.62 | −0.038 | −0.17 | 0.866 |
| Mean monthly income (PEN) | 0.262 | 0.23 | 0.359 | 1.10 | 0.285 |
| Gender balance (men/women) | −707.0 | 482.3 | −0.336 | −1.47 | 0.159 |
| No. of ICU beds | 0.028 | 0.251 | 0.021 | 0.11 | 0.911 |
| Obesity and COVID-19 mortality | |||||
| Prevalence of obesity (%) | 16.76 | 7.28 | 0.585 | 2.3 | 0.033 |
| Mean age in the region (years) | −2.52 | 31.2 | −0.017 | −0.08 | 0.937 |
| Mean monthly income (PEN) | 0.17 | 0.23 | 0.240 | 0.75 | 0.464 |
| Gender balance (men/women) | −693.81 | 462.6 | −0.330 | −1.5 | 0.15 |
| No. of ICU beds | 0.08 | 0.24 | 0.068 | 0.36 | 0.72 |
Publisher’s Note: MDPI stays neutral with regard to jurisdictional claims in published maps and institutional affiliations. |
© 2021 by the authors. Licensee MDPI, Basel, Switzerland. This article is an open access article distributed under the terms and conditions of the Creative Commons Attribution (CC BY) license (https://creativecommons.org/licenses/by/4.0/).
Share and Cite
Ramírez-Soto, M.C.; Alarcón-Arroyo, M.; Chilcon-Vitor, Y.; Chirinos-Pérez, Y.; Quispe-Vargas, G.; Solsol-Jacome, K.; Quintana-Zavaleta, E. Association between Obesity and COVID-19 Mortality in Peru: An Ecological Study. Trop. Med. Infect. Dis. 2021, 6, 182. https://doi.org/10.3390/tropicalmed6040182
Ramírez-Soto MC, Alarcón-Arroyo M, Chilcon-Vitor Y, Chirinos-Pérez Y, Quispe-Vargas G, Solsol-Jacome K, Quintana-Zavaleta E. Association between Obesity and COVID-19 Mortality in Peru: An Ecological Study. Tropical Medicine and Infectious Disease. 2021; 6(4):182. https://doi.org/10.3390/tropicalmed6040182
Chicago/Turabian StyleRamírez-Soto, Max Carlos, Miluska Alarcón-Arroyo, Yajaira Chilcon-Vitor, Yelibeth Chirinos-Pérez, Gabriela Quispe-Vargas, Kelly Solsol-Jacome, and Elizabeth Quintana-Zavaleta. 2021. "Association between Obesity and COVID-19 Mortality in Peru: An Ecological Study" Tropical Medicine and Infectious Disease 6, no. 4: 182. https://doi.org/10.3390/tropicalmed6040182
APA StyleRamírez-Soto, M. C., Alarcón-Arroyo, M., Chilcon-Vitor, Y., Chirinos-Pérez, Y., Quispe-Vargas, G., Solsol-Jacome, K., & Quintana-Zavaleta, E. (2021). Association between Obesity and COVID-19 Mortality in Peru: An Ecological Study. Tropical Medicine and Infectious Disease, 6(4), 182. https://doi.org/10.3390/tropicalmed6040182

