Comparison of Controller-Based Locomotion Techniques for Visual Observation in Virtual Reality
Abstract
:1. Introduction
2. Methods
2.1. Participants
2.2. Experimental Setup
2.3. Locomotion Techniques
2.3.1. Teleport
2.3.2. Slider
2.3.3. Grab
2.4. Procedure
2.5. Data Analysis
3. Results
3.1. Task Completion Times
3.2. Number of Gestures
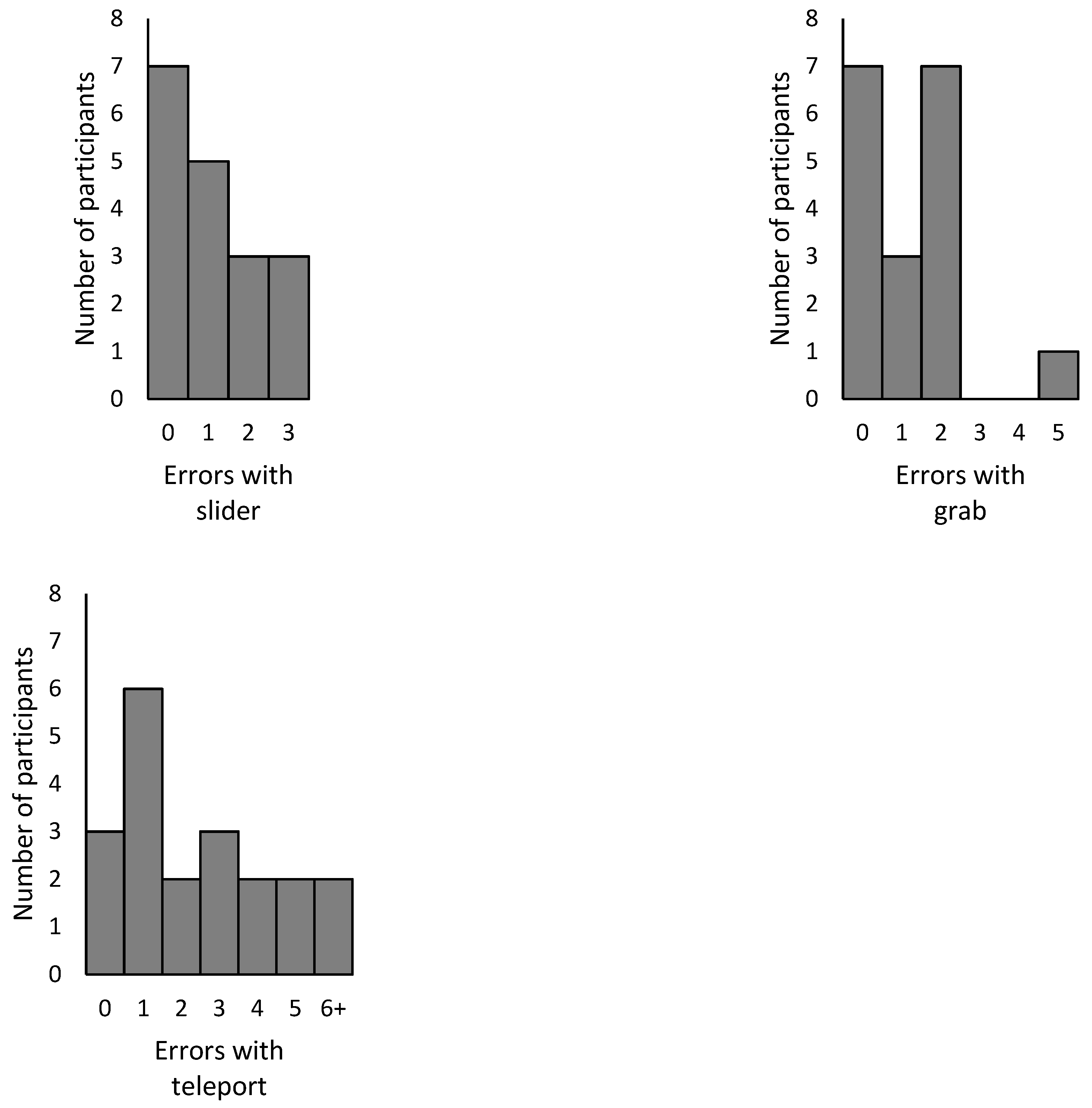
3.3. Number of Errors
3.4. Simulator Sickness Questionnaire
3.5. NASA-TLX
3.6. Task-Related Spatial Awareness Evaluation
3.7. Preferences
4. Discussion
5. Conclusions
Author Contributions
Funding
Institutional Review Board Statement
Informed Consent Statement
Data Availability Statement
Conflicts of Interest
References
- LaViola, J.J., Jr.; Kruijff, E.; Bowman, D.; Poupyrev, I.P.; McMahan, R.P. 3D User Interfaces: Theory and Practice, 2nd ed.; Addison-Wesley: Boston, MA, USA, 2017. [Google Scholar]
- Di Luca, M.; Seifi, H.; Egan, S.; Gonzalez-Franco, M. Locomotion Vault: The Extra Mile in Analyzing VR Locomotion Techniques. In Proceedings of the 2021 CHI Conference on Human Factors in Computing Systems, Yokohama, Japan, 8–13 May 2021; ACM: New York, NY, USA, 2021; pp. 1–10. [Google Scholar]
- Boletsis, C. The New Era of Virtual Reality Locomotion: A Systematic Literature Review of Techniques and a Proposed Typology. Multimodal Technol. Interact. 2017, 1, 24. [Google Scholar] [CrossRef] [Green Version]
- Wilson, P.T.; Kalescky, W.; MacLaughlin, A.; Williams, B. VR locomotion. In Proceedings of the 15th ACM SIGGRAPH Conference on Virtual-Reality Continuum and Its Applications in Industry—VRCAI ‘16, Zhuhai, China, 3–4 December 2016; ACM Press: New York, NY, USA, 2016; pp. 243–249. [Google Scholar]
- Borrego, A.; Latorre, J.; Llorens, R.; Alcañiz, M.; Noé, E. Feasibility of a walking virtual reality system for rehabilitation: Objective and subjective parameters. J. Neuroeng. Rehabil. 2016, 13, 68. [Google Scholar] [CrossRef] [PubMed] [Green Version]
- Sayyad, E.; Sra, M.; Hollerer, T. Walking and Teleportation in Wide-area Virtual Reality Experiences. In Proceedings of the 2020 IEEE International Symposium on Mixed and Augmented Reality (ISMAR), Porto de Galinhas, Brazil, 9–13 November 2020; pp. 608–617. [Google Scholar]
- Bozgeyikli, E.; Raij, A.; Katkoori, S.; Dubey, R. Locomotion in Virtual Reality for Individuals with Autism Spectrum Disorder. In Proceedings of the 2016 Symposium on Spatial User Interaction—SUI ‘16, Tokyo, Japan, 15–16 October 2016; ACM Press: New York, NY, USA, 2016; pp. 33–42. [Google Scholar]
- Harris, A.; Nguyen, K.; Wilson, P.T.; Jackoski, M.; Williams, B. Human joystick. In Proceedings of the 13th ACM SIGGRAPH International Conference on Virtual-Reality Continuum and Its Applications in Industry—VRCAI ‘14, Shenzhen, China, 30 November–2 December 2014; ACM Press: New York, NY, USA, 2014; pp. 231–234. [Google Scholar]
- Hanson, S.; Paris, R.A.; Adams, H.A.; Bodenheimer, B. Improving Walking in Place Methods with Individualization and Deep Networks. In Proceedings of the 2019 IEEE Conference on Virtual Reality and 3D User Interfaces (VR), Osaka, Japan, 23–27 March 2019; pp. 367–376. [Google Scholar]
- Grechkin, T.Y.; Plumert, J.M.; Kearney, J.K. Dynamic Affordances in Embodied Interactive Systems: The Role of Display and Mode of Locomotion. IEEE Trans. Vis. Comput. Graph. 2014, 20, 596–605. [Google Scholar] [CrossRef] [PubMed]
- Fernandes, A.S.; Feiner, S.K. Combating VR sickness through subtle dynamic field-of-view modification. In Proceedings of the 2016 IEEE Symposium on 3D User Interfaces (3DUI), Greenville, SC, USA, 19–20 March 2016; pp. 201–210. [Google Scholar]
- Keil, J.; Edler, D.; O’Meara, D.; Korte, A.; Dickmann, F. Effects of Virtual Reality Locomotion Techniques on Distance Estimations. ISPRS Int. J. Geo-Inf. 2021, 10, 150. [Google Scholar] [CrossRef]
- Cardoso, J.C.S. Comparison of gesture, gamepad, and gaze-based locomotion for VR worlds. In Proceedings of the 22nd ACM Conference on Virtual Reality Software and Technology—VRST ‘16, Munich, Germany, 2–4 November 2016; ACM Press: New York, NY, USA, 2016; pp. 319–320. [Google Scholar]
- Bozgeyikli, E.; Raij, A.; Katkoori, S.; Dubey, R. Point & Teleport Locomotion Technique for Virtual Reality. In Proceedings of the 2016 Annual Symposium on Computer-Human Interaction in Play—CHI PLAY ‘16, Austin, TX, USA, 16–19 October 2016; ACM Press: New York, NY, USA, 2016; pp. 205–216. [Google Scholar]
- Schäfer, A.; Reis, G.; Stricker, D. Controlling Teleportation-Based Locomotion in Virtual Reality with Hand Gestures: A Comparative Evaluation of Two-Handed and One-Handed Techniques. Electronics 2021, 10, 715. [Google Scholar] [CrossRef]
- Habgood, J.; Moore, D.; Wilson, D.; Alapont, S. Rapid, Continuous Movement between Nodes as an Accessible Virtual Reality Locomotion Technique. In Proceedings of the 2018 IEEE Conference on Virtual Reality and 3D User Interfaces (VR), Tuebingen/Reutlingen, Germany, 18–22 March 2018; pp. 371–378. [Google Scholar]
- Cherep, L.A.; Lim, A.F.; Kelly, J.W.; Acharya, D.; Velasco, A.; Bustamante, E.; Ostrander, A.G.; Gilbert, S.B. Spatial cognitive implications of teleporting through virtual environments. J. Exp. Psychol. Appl. 2020, 26, 480–492. [Google Scholar] [CrossRef] [PubMed] [Green Version]
- Clifton, J.; Palmisano, S. Effects of steering locomotion and teleporting on cybersickness and presence in HMD-based virtual reality. Virtual Real. 2020, 24, 453–468. [Google Scholar] [CrossRef]
- Kelly, J.W.; Ostrander, A.G.; Lim, A.F.; Cherep, L.A.; Gilbert, S.B. Teleporting through virtual environments: Effects of path scale and environment scale on spatial updating. IEEE Trans. Vis. Comput. Graph. 2020, 26, 1841–1850. [Google Scholar] [CrossRef] [PubMed] [Green Version]
- Nescher, T.; Huang, Y.-Y.; Kunz, A. Planning redirection techniques for optimal free walking experience using model predictive control. In Proceedings of the 2014 IEEE Symposium on 3D User Interfaces (3DUI), Minneapolis, MN, USA, 29–30 March 2014; pp. 111–118. [Google Scholar]
- Bruder, G.; Lubos, P.; Steinicke, F. Cognitive Resource Demands of Redirected Walking. IEEE Trans. Vis. Comput. Graph. 2015, 21, 539–544. [Google Scholar] [CrossRef] [PubMed]
- Nguyen, L.T.N.; Eager, D.; Nguyen, H.T. Effect of Wearing Whole Body Compression Garments on Cardiovascular Function using ECG Signals. In Proceedings of the Telehealth and Assistive Technology/847: Intelligent Systems and Robotics, Zurich, Switzerland, 6–8 October 2016; ACTA Press: Calgary, AB, Canada, 2016; pp. 23–29. [Google Scholar]
- Nilsson, N.C.; Peck, T.; Bruder, G.; Hodgson, E.; Serafin, S.; Whitton, M.; Steinicke, F.; Rosenberg, E.S. 15 Years of Research on Redirected Walking in Immersive Virtual Environments. IEEE Comput. Graph. Appl. 2018, 38, 44–56. [Google Scholar] [CrossRef] [PubMed]
- McCullough, M.; Xu, H.; Michelson, J.; Jackoski, M.; Pease, W.; Cobb, W.; Kalescky, W.; Ladd, J.; Williams, B. Myo arm. In Proceedings of the ACM SIGGRAPH Symposium on Applied Perception—SAP ‘15, Tübingen, Germany, 13–14 September 2015; ACM Press: New York, NY, USA, 2015; pp. 107–113. [Google Scholar]
- Paris, R.A.; McNamara, T.P.; Rieser, J.J.; Bodenheimer, B. A comparison of methods for navigation and wayfinding in large virtual environments using walking. In Proceedings of the IEEE Virtual Reality, Los Angeles, CA, USA, 18–22 March 2017; pp. 261–262. [Google Scholar]
- Tregillus, S.; Folmer, E. VR-STEP: Walking-in-Place using Inertial Sensing for Hands Free Navigation in Mobile VR Environments. In Proceedings of the 2016 CHI Conference on Human Factors in Computing Systems—CHI ‘16, San Jose, CA, USA, 7–12 May 2016; ACM Press: New York, NY, USA, 2016; pp. 1250–1255. [Google Scholar]
- Kitson, A.; Hashemian, A.M.; Stepanova, E.R.; Kruijff, E.; Riecke, B.E. Comparing leaning-based motion cueing interfaces for virtual reality locomotion. In Proceedings of the 2017 IEEE Symposium on 3D User Interfaces (3DUI), Los Angeles, CA, USA, 18–19 March 2017; pp. 73–82. [Google Scholar]
- Kruijff, E.; Marquardt, A.; Trepkowski, C.; Lindeman, R.W.; Hinkenjann, A.; Maiero, J.; Riecke, B.E. On Your Feet! Enhancing Vection in Leaning-Based Interfaces through Multisensory Stimuli. In Proceedings of the 2016 Symposium on Spatial User Interaction—SUI ‘16, Tokyo, Japan, 15–16 October 2016; ACM Press: New York, NY, USA, 2016; pp. 149–158. [Google Scholar]
- Weibker, T.; Kunert, A.; Frohlich, B.; Kulik, A. Spatial Updating and Simulator Sickness During Steering and Jumping in Immersive Virtual Environments. In Proceedings of the 2018 IEEE Conference on Virtual Reality and 3D User Interfaces (VR), Tuebingen/Reutlingen, Germany, 18–22 March 2018; pp. 97–104. [Google Scholar]
- Bowman, D.A.; Koller, D.; Hodges, L.F. Travel in immersive virtual environments: An evaluation of viewpoint motion control techniques. In Proceedings of the IEEE 1997 Annual International Symposium on Virtual Reality, Albuquerque, NM, USA, 1–5 March 1997; pp. 45–52. [Google Scholar]
- Paris, R.; Klag, J.; Rajan, P.; Buck, L.; McNamara, T.P.; Bodenheimer, B. How Video Game Locomotion Methods Affect Navigation in Virtual Environments. In Proceedings of the ACM Symposium on Applied Perception 2019, Barcelona, Spain, 19–20 September 2019; ACM: New York, NY, USA, 2019; pp. 1–7. [Google Scholar]
- Bhandari, J.; MacNeilage, P.; Folmer, E. Teleportation without spatial disorientation using optical flow cues. In Proceedings of the Graphics Interface, Toronto, ON, Canada, 8–11 May 2018; pp. 153–158. [Google Scholar]
- Bolte, B.; Bruder, G.; Steinicke, F. The Jumper Metaphor: An Effective Navigation Technique for Immersive Display Setups. In Proceedings of the Virtual Reality International Conference (VRIC), Laval, France, 6–8 April 2011; pp. 1–7. [Google Scholar]
- Langbehn, E.; Lubos, P.; Steinicke, F. Evaluation of Locomotion Techniques for Room-Scale VR. In Proceedings of the Virtual Reality International Conference—Laval Virtual on—VRIC ‘18, Laval, France, 4–6 April 2018; ACM Press: New York, NY, USA, 2018; pp. 1–9. [Google Scholar]
- Frommel, J.; Sonntag, S.; Weber, M. Effects of controller-based locomotion on player experience in a virtual reality exploration game. In Proceedings of the International Conference on the Foundations of Digital Games—FDG ‘17, Hyannis, MA, USA, 14–17 August 2017; ACM Press: New York, NY, USA, 2017; pp. 1–6. [Google Scholar]
- Cao, Z.; Jerald, J.; Kopper, R. Visually-Induced Motion Sickness Reduction via Static and Dynamic Rest Frames. In Proceedings of the 2018 IEEE Conference on Virtual Reality and 3D User Interfaces (VR), Tuebingen/Reutlingen, Germany, 18–22 March 2018; pp. 105–112. [Google Scholar]
- Waller, D.; Hodgson, E. Sensory Contributions to Spatial Knowledge of Real and Virtual Environments. In Human Walking in Virtual Environments; Steinicke, F., Visell, Y., Campos, J., Lécuyer, A., Eds.; Springer: New York, NY, USA, 2013; pp. 3–26. ISBN 978-1-4419-8431-9. [Google Scholar]
- Kennedy, R.S.; Lane, N.E.; Berbaum, K.S.; Lilienthal, M.G. Simulator Sickness Questionnaire: An Enhanced Method for Quantifying Simulator Sickness. Int. J. Aviat. Psychol. 1993, 3, 203–220. [Google Scholar] [CrossRef]
- Hart, S.G.; Staveland, L.E. Development of NASA-TLX (Task Load Index): Results of Empirical and Theoretical Research. In Advances in Psychology; Hancock, P.A., Meshkati, N., Eds.; Human Mental Workload; Elsevier: Amsterdam, The Netherland, 1988; Volume 52, pp. 139–183. [Google Scholar]
- Valve SteamVR. Available online: https://steamcommunity.com/steamvr (accessed on 26 March 2021).
- Bowman, D.A.; Johnson, D.B.; Hodges, L.F. Testbed evaluation of virtual environment interaction techniques. In Proceedings of the ACM Symposium on Virtual Reality Software and Technology—VRST ‘99, London, UK, 20–22 December 1999; ACM Press: New York, NY, USA, 1999; pp. 26–33. [Google Scholar]
- Rahimi Moghadam, K.; Banigan, C.; Ragan, E.D. Scene Transitions and Teleportation in Virtual Reality and the Implications for Spatial Awareness and Sickness. IEEE Trans. Vis. Comput. Graph. 2018, 26, 2273–2287. [Google Scholar] [CrossRef] [PubMed] [Green Version]
- Google Google Earth. Available online: https://arvr.google.com/earth/ (accessed on 26 March 2021).
- Sarupuri, B.; Chipana, M.L.; Lindeman, R.W. Trigger Walking: A low-fatigue travel technique for immersive virtual reality. In Proceedings of the 2017 IEEE Symposium on 3D User Interfaces (3DUI), Los Angeles, CA, USA, 18–19 March 2017; pp. 227–228. [Google Scholar]
- Davis, S.; Nesbitt, K.; Nalivaiko, E. A Systematic Review of Cybersickness. In Proceedings of the 2014 Conference on Interactive Entertainment, Newcastle, NSW, Australia, 2–3 December 2014; ACM: New York, NY, USA, 2014; Volume 19, pp. 1–9. [Google Scholar]
- Wiebe, E.N.; Roberts, E.; Behrend, T.S. An examination of two mental workload measurement approaches to understanding multimedia learning. Comput. Hum. Behav. 2010, 26, 474–481. [Google Scholar] [CrossRef]
- Moroney, W.F.; Biers, D.W.; Eggemeier, F.T.; Mitchell, J.A. A comparison of two scoring procedures with the NASA task load index in a simulated flight task. In Proceedings of the IEEE 1992 National Aerospace and Electronics Conference@m_NAECON 1992, Dayton, OH, USA, 18–22 May 1992; pp. 734–740. [Google Scholar]









| Scale Explanation | −4 | +4 |
|---|---|---|
| Moving was … | Difficult | Easy |
| Perceiving own location when moving was … | Difficult | Easy |
| Searching target dots was … | Difficult | Easy |
| Differentiating between target dots when counting them was … | Difficult | Easy |
Publisher’s Note: MDPI stays neutral with regard to jurisdictional claims in published maps and institutional affiliations. |
© 2021 by the authors. Licensee MDPI, Basel, Switzerland. This article is an open access article distributed under the terms and conditions of the Creative Commons Attribution (CC BY) license (https://creativecommons.org/licenses/by/4.0/).
Share and Cite
Rantala, J.; Kangas, J.; Koskinen, O.; Nukarinen, T.; Raisamo, R. Comparison of Controller-Based Locomotion Techniques for Visual Observation in Virtual Reality. Multimodal Technol. Interact. 2021, 5, 31. https://doi.org/10.3390/mti5070031
Rantala J, Kangas J, Koskinen O, Nukarinen T, Raisamo R. Comparison of Controller-Based Locomotion Techniques for Visual Observation in Virtual Reality. Multimodal Technologies and Interaction. 2021; 5(7):31. https://doi.org/10.3390/mti5070031
Chicago/Turabian StyleRantala, Jussi, Jari Kangas, Olli Koskinen, Tomi Nukarinen, and Roope Raisamo. 2021. "Comparison of Controller-Based Locomotion Techniques for Visual Observation in Virtual Reality" Multimodal Technologies and Interaction 5, no. 7: 31. https://doi.org/10.3390/mti5070031
APA StyleRantala, J., Kangas, J., Koskinen, O., Nukarinen, T., & Raisamo, R. (2021). Comparison of Controller-Based Locomotion Techniques for Visual Observation in Virtual Reality. Multimodal Technologies and Interaction, 5(7), 31. https://doi.org/10.3390/mti5070031

