Next Article in Journal
Land-Use and Land-Cover Changes and Urban Expansion in Central Vietnam: A Case Study in Hue City
Previous Article in Journal
Exploring the Impact of Spatial Arrangements on BREEAM Outstanding Projects in London, UK
 
 
Font Type:
Arial Georgia Verdana
Font Size:
Aa Aa Aa
Line Spacing:
Column Width:
Background:
Article

Scatter Search Algorithm for a Waste Collection Problem in an Argentine Case Study

by
Diego Rossit
1,2,*,
Begoña González Landín
3,*,
Mariano Frutos
1,4 and
Máximo Méndez Babey
3
1
Department of Engineering, Universidad Nacional del Sur, Bahía Blanca 8000, Argentina
2
Instituto de Matemática, Universidad Nacional del Sur (UNS)—CONICET, Bahía Blanca 8000, Argentina
3
Instituto Universitario SIANI, Universidad de Las Palmas de Gran Canaria, 35017 Las Palmas de Gran Canaria, Spain
4
Instituto de Investigaciones Económicas y Sociales del Sur, Universidad Nacional del Sur (UNS)—CONICET, Bahía Blanca 8000, Argentina
*
Authors to whom correspondence should be addressed.
Urban Sci. 2024, 8(4), 240; https://doi.org/10.3390/urbansci8040240
Submission received: 29 September 2024 / Revised: 13 November 2024 / Accepted: 22 November 2024 / Published: 2 December 2024

Abstract

Increasing urbanization and rising consumption rates are putting pressure on urban systems to efficiently manage Municipal Solid Waste (MSW). Waste collection, in particular, is one of the most challenging aspects of MSW management. Therefore, developing computer-aided tools to support decision-makers is crucial. In this paper, a Scatter Search algorithm is proposed to address the waste collection problem. The literature is relatively scarce in applying this algorithm, which has proven to be efficient in other routing problems, to real waste management problems. Results from real-world instances of an Argentine city demonstrate that the algorithm is competitive, obtaining, in the case of small instances, the same outcomes as those of an exact solver enhanced by valid inequalities, although requiring more computational time (as expected), and significantly improving the results of the latter for the case of larger instances, now requiring much less computational time. Thus, Scatter Search proves to be a competitive algorithm for addressing waste collection problems.

1. Introduction

In modern societies, municipal solid waste (MSW) management has emerged as a key priority for ensuring environmental sustainability, public health and the overall well-being of communities [1]. Among the various stages of the MSW system, the waste collection stage is one of the most tricky since it poses significant challenges due to its logistical complexity [2]. Implementing an efficient waste collection system is essential not only for maintaining the livability and quality of life for residents, but also for environmental protection and economic efficiency. Effective route management can significantly reduce operational costs and improve the overall efficiency of the waste management process [3] and reduce greenhouse emissions [4].
Moreover, route optimization and planning contributes to greater predictability in waste collection services. An efficient system allows residents to know when to expect collection, which helps to reduce waste accumulation in public areas and avoids the need for emergency services or additional collections outside scheduled times. This predictability minimizes the costs associated with emergency management and unforeseen interventions. Furthermore, improved planning can enhance the efficiency of scheduling other municipal services by coordinating routes to avoid conflicts with public transportation or emergency services, ultimately reducing delays and operational costs related to congestion and urban planning.
In Argentina, where the case study is focused, the design of waste collection routes is primarily based on empirical knowledge from decision-makers [5]. While this practical experience is invaluable, the literature offers extensive insights into cost reduction and environmental impact through computational models that support the decision-making process [6,7,8]. By providing a solid foundation for decision-making, these computational support tools enable municipal managers to make adjustments and adapt the system to the changing needs of the city. However, waste collection problems are well-known NP-hard challenges, making them computationally difficult to solve [9]. Consequently, the design of efficient computational methods, based mainly on heuristic and metaheuristic approaches that can provide good solutions in reasonable computational times, are commonly employed in the literature.
This study proposes computational models to address the waste collection problem in the Argentine city of Bahía Blanca, focusing specifically on the downtown area. This sector was chosen because the collection points, where citizens will deposit their waste, have already been established. These points are strategically located to maximize waste management efficiency and facilitate access for both citizens and collection trucks [10]. The waste collection problem is mathematically modeled as a vehicle routing problem with time limits and capacity constraints. This problem is solved in two ways: exactly, using mixed-integer programming, and heuristically, using a Scatter Search (SS) algorithm. The exact resolution method is based on mixed-integer programming using different commercial solvers and valid inequalities to enhance the formulation. The metaheuristic approach employs an SS algorithm, which has proven efficient in solving various combinatorial optimization problems. As far as we know, this article is the first work to apply SS to the waste collection problem and to perform with this approach extensive computational experimentation using real-world instances. Considering different combination and improvement methods and different local search sizes, 36 SS configurations were implemented. Both exact and metaheuristic methods were compared in computational experiments based on real-world data from Bahía Blanca. The results show that SS is effective in tackling the problem, producing optimal solutions with small instances, although with longer computational times—as would be expected when comparing an exact method with a metaheuristic on problems easily tackled by the exact method. However, with larger instances, the SS algorithm clearly outperforms the exact method, which—even when enhanced by valid inequalities—struggled to handle the complexity of the instances. For larger instances, the SS algorithm obtains better results in smaller computing times.
In this context, this article contributes to the related literature with the following: (i) the first Scatter Search algorithm to address real-world instances of the waste collection problem in the literature; (ii) a study of the capacity to enhance the exact resolution of the problem using valid inequalities; and (iii) a computational experiment conducted on real-world instances from an Argentine city. This article is an invited extension of our conference work presented at the “VI Ibero-American Congress of Smart Cities” that was held from 13–17 November 2014 in Mexico and Cuernavaca City [11]. Compared to our conference work, the enhancements in this article include addressing a different optimization problem within waste management and introducing a new metaheuristic solution method. Additionally, we have expanded the literature review and computational experiments.
This article is structured as follows: Section 2 presents a review of the main related works. Section 3 develops the exact method for the waste collection problem, including the mathematical formulation and the used of valid inequalities to enhance the resolution process. Section 4 presents the Scatter Search algorithm and its main features. Section 5 describes the computational experimentation, including the description of the realistic instances, the tests performed over the valid inequalities for enhancing the exact resolution, the proposed implementations of the SS algorithm, and the comparison between the implementations of SS and the exact method. Finally, Section 6 outlines the main conclusion and future research lines.

2. Literature Review

The literature extensively addresses waste collection problems using various computational methods [12]. For a recent review on this topic, interested readers may refer to Hess et al. [2]. Waste collection problems are well-known variants of traditional vehicle routing problems, which are generally considered NP-hard [13]—that is, problems for which no efficient algorithms exist that can solve them in polynomial time with respect to the problem size. This class characterizes problems that are computationally difficult to solve [9]. As a result, heuristic and metaheuristic approaches have been widely used to tackle the computational complexity of waste collection problems [14]. While Scatter Search has been successfully employed to address several combinatorial optimization problems, including routing problems [15], it remains relatively underexplored in the context of waste management, in general, and waste collection problems, in particular [16].
According to a search performed in Scopus with the criteria schema TITLE-ABS-KEY (list of terms) using as keyword terms: (‘waste’ OR ‘waste management’) AND (‘scatter search’), only five works related to the application of SS in waste management were found. Moreover, if the focus is put on waste collection, only two works are mentioned. One is the work of Zhang et al. [17]. Although the conceptual model in this work refers to the collection of recyclable waste, the SS algorithm was tested on synthetic instances built from the procedure developed in Dethloff [18]. The proposed SS outperformed a genetic algorithm in terms of computational efficiency, achieving similar results in significantly less time. Another related work is that of Chu et al. [19], who, while not applying SS directly to waste management, proposed waste collection as a potential application of their algorithm. Mainly they present an SS to address the periodic capacitated arc routing problem (PCARP). They compared SS with an insertion heuristic using PCARP instances derived from the benchmarks of Golden et al. [20] and Belenguer and Benavent [21], with SS outperforming the insertion heuristic in most cases.
Although no other applications of SS in waste collection routing problems were found, a few works have applied SS to other waste management-related problems. Yu et al. [22] used SS to optimize the transport of industrial waste from plants to intermediate recycling facilities and, eventually, to landfills using a transport-like mathematical model. They compared two SS versions: the typical SS and a modified SS where the update method is altered to maintain population diversity, rather than replacing the worst solution as in the traditional method. The modified version proved more efficient in tests conducted on synthetic, randomly generated instances.
Similarly, Ortega et al. [23] employed an SS hybridized with linear programming to design a multi-period reverse logistics network for MSW, which is mainly a location and transport optimization problem. In this network, the waste generated in towns has to be allocated to transfer centers and then to treatment plants. While the treatment plant location is fixed for the whole planning horizon, the location of the transfer centers may vary. The authors introduced randomness into the problem by varying waste generation based on empirical probabilistic distributions. They compared their algorithm with CPLEX. For small problems, SS reached the optimum in slightly more time than CPLEX, but for larger problems, SS was faster in reaching the optimum when CPLEX succeeded. The computational experiments were conducted on synthetic instances created by the authors, as well as on an instance partly based on the region of Gipuzkoa, Spain, and partly synthetic (mainly regarding waste generation).
Thus, the application of SS to real-world waste management problems is very limited. Most studies utilize synthetic instances that resemble waste management problems. Only the work of Ortega et al. [23] applied SS to a realistic instance for the network design of an actual region, although many key parameters were still synthetically generated. Concerning the specific problem of waste collection routing, the literature is even scarcer. Only two works address routing problems potentially representing waste collection, both of which rely on synthetic instances from benchmarks that are not related to waste management. Therefore, we consider that there is still a gap in the literature regarding the implementation of Scatter Search—a metaheuristic that has proven efficient in solving other combinatorial optimization problems—specifically, for the waste collection problem, and its testing in realistic scenarios. As far as we know, this is the first work to propose an SS algorithm to the waste collection problem and perform an extensive computational experiment in real-world instances.

3. Exact Resolution

This Section presents the exact resolution approach used for the waste collection problem of Bahía Blanca. In particular, the basic mathematical formulation as a typical routing problem and a discussion about some valid cuts to improve the formulation are presented.

3.1. Mathematical Formulation

The typical waste collection problem consists in a set of collection points I = { 1 , 2 , , n I } distributed in an area and a set of collection vehicles or trucks V = { 1 , 2 , , n V } . In addition, if 0 represents the depot where vehicles start and end their routes, and where collected waste is deposited, the set I 0 = I { 0 } is defined. The trucks have to depart from the depot, visit every collection point to obtain the waste and return to the depot to unload while respecting certain operative restrictions (truck capacity and travel time). The objective of the problem is to minimize the traveled distance, which is typically associated with reduced expenses, particularly in terms of fuel consumption and greenhouse gas emissions for diesel trucks like those used in the city of the case study. In order to present the model that is used in the exact solver, the following parameters are defined:
  • Q: Truck capacity.
  • c i g : Travel time between points i I 0 and g I 0 .
  • s e i : Service time of collection point i I 0 . At the depot, the service time corresponds to the time spent unloading the collected waste.
  • b i : Amount of waste generated daily at collection point i I .
  • α : Cost per minute for collection trucks.
  • T L : Maximum time a vehicle can spend performing a route including unloading waste at the depot.
And the model uses the following variables:
  • x i g l : (binary) 1 if truck l L travels between collection points i I 0 and g I 0 , and 0 otherwise.
  • v i g l : (continuous non-negative) load of truck l L when going from collection point i I to collection point g I .
Taking all these elements into account, the following mathematical model based on Mixed-Integer Linear Programming (MILP) is proposed:
Minimize
f ( x ) = α l L i I 0 g I 0 x i g l t c i g + s e i
subject to
i I 0 i g l L x i g l = 1 , g I ,
i I 0 i g x i g l i I 0 i g x g i l = 0 , g I 0 , l L ,
i I x 0 i l 1 , l L ,
i , g I 0 i g x i g l c i g + s e i T L , l L ,
v i g l Q x i g l , i I 0 , g I 0 , l L ,
i I 0 i g v i g l + h g i I 0 i g v g i l + Q 1 i I 0 i g x i g l , g I , l L , x i g l { 0 , 1 } , v i g l 0 , i I 0 , g I 0 , l L .
Equation (1a) represents the objective of minimizing the routing cost, which is based on the sum of the travel times and the service times (time to empty the collection points) for each route performed by the fleet of trucks. Equation (1b) presents the requirement that every collection point is visited by a collection truck. Equation (1c) requires that if a collection point is visited by a truck, this collection point is also left by the same truck. Equation (1d) requires that each collection truck only performs at most one route. Equation (1e) checks that the route does not exceed the maximum time that the vehicle can spend performing a route, which includes traveling between collection points, collecting waste of the collection pint (service time), and unloading waste at the depot in the end of the route. Equation (1f) ensures that the capacity of the trucks is not exceeded. Finally, Equation (1g) is the subtour elimination constraint, which also keeps track of the accumulated waste throughout the route.

3.2. Valid Cuts

The routing problems are computationally challenging problems [13], primarily due to the presence of many symmetric solutions. Two solutions are considered symmetric if they result in the same objective function value but differ in variable assignments [24]. For instance, one route can be performed by any truck of the homogeneous fleet and the solution incurs the same cost. Thus, the resolution solver has no mechanism to exclude one of them and this may have an impact in the efficiency of the resolution process.
To address this issue, Valid Inequalities (VIs) can be introduced into the model. A VI is a constraint that tightens the feasible region of the problem without eliminating any optimal solutions. For a thorough review of VIs in routing problems, the interested reader is referred to the work of Dror et al. [25]. In this paper, the performance for improving the mathematical formulation of Section 3.1 is tested with four typical VIs that were used in Mahéo et al. [24].

3.2.1. Furthest Visit

Without loss of generality, since each collection point can only be visited by one of the trucks in the fleet, the first truck is forced to be the one that visits the collection point furthest from the depot. These symmetric solutions are avoided using VI (2).
i I x i g l = 0 , l L , l > 0 , g I , g = arg max g I { c 0 g } .

3.2.2. Vehicles Are Ordered

It is mandated that a vehicle or truck with index l can only depart from the depot if the truck with index l 1 has already done so. In scenarios where not all available trucks are utilized, an unused truck could be swapped for one that is in use. These symmetric solutions are prevented by means of VI (3).
g I g 0 x 0 g l g I g 0 x 0 g l 1 , l L , l > 0 .

3.2.3. Vehicle Has to Start Empty

A vehicle or truck must begin its route with an empty load. This avoids solutions with varying delivery plans. That is, if a truck completes its collection tour without reaching full capacity, an alternative solution could be considered where the truck starts with any load less than the remaining unused capacity. These symmetric solutions are avoided using VI (4).
g I g 0 v 0 g l = 0 , l L .

3.3. Solvers and Implementation Details

Exact solvers play a pivotal role in addressing complex mathematical combinatorial optimization problems, such as routing problems. In recent years, commercial solvers have significantly enhanced their capabilities to handle computationally intensive tasks, driven by a competitive landscape aimed at providing decision-makers with the most effective options.
There are several solvers available for mixed-integer programming problems. For a comprehensive list of solvers, refer to the NEOS Server website [26]. Among open-source solvers are CLP, CBC, LP_Solve, and GLPK [27]. In general, noncommercial MILP software tools may lack the speed and robustness of their commercial counterparts but provide a practical alternative for users who cannot afford commercial options [28]. For commercial solvers, a wide range is available, including CPLEX, Gurobi, XPRESS, and LINDO [29], with Gurobi and CPLEX among the most commonly used [30,31].
In line with this, the present study compares the performance of two renowned, state-of-the-art solvers: Gurobi version 11.0.3 [32] and CPLEX version 22.1.1 [33], both versions released in 2024. By evaluating these solvers, we aim to provide valuable insights for researchers and practitioners seeking to optimize complex combinatorial optimization problems.
The mathematical model and VIs presented in the previous section were implemented in Python using Pyomo [34] as a modeling environment. Pyomo provides a flexible platform for defining optimization problems and enables connections to various commercial solvers, including Gurobi and CPLEX, which were utilized in this study.

4. Scatter Search Algorithm

The Scatter Search algorithm—proposed by Glover in 1977 [35]—is a metaheuristic optimization technique aimed at solving complex combinatorial and continuous optimization problems. A core feature of Scatter Search is its focus on maintaining a reference set of diverse solutions, which are combined to generate new candidate solutions. This process enhances the likelihood of finding high-quality solutions [36]. In addition, the flexibility of SS allows adaptation to various problem domains, making it applicable in areas such as scheduling, routing, and resource allocation. By effectively balancing exploration and exploitation, SS aims to provide high-quality solutions efficiently. Its successful application across fields like logistics, telecommunications, finance, and engineering demonstrates its capability in addressing real-world optimization challenges [15]. As shown in Figure 1, it consists of five methods [37]:
  • A diversification generation method used to generate a set of diverse solutions that are the basis for initializing the search. The outcome consists of a set of solutions that is referred to as the population.
  • An improvement method for modifying solutions to improve their quality (in terms of the objective function) or feasibility.
  • A reference set update method used in the main iterative loop of any scatter search implementation. The output is a set of solutions known as the reference set. Typically, the number of reference solutions is of the order of 10% of the population size.
  • A subset generation method that produces subsets of reference solutions which become the input to the combination method.
  • A combination method that uses the output from the subset generation method to create new solutions.
The main iterative loop is executed as long as at least one New Reference Solution (NRS) is obtained. The process continues until the Stopping Criterion is Satisfied (SCS).
Figure 1. Scatter Search algorithm flowchart.
Figure 1. Scatter Search algorithm flowchart.
Urbansci 08 00240 g001
In this paper, the SS algorithm will be applied using various combinations of some key elements of the algorithm in order to evaluate the effectiveness of each configuration in addressing the waste collection problem. Specifically, different combination and improvement methods and different sizes of the local search, in the sense of the number of times the improvement method is applied to a solution, will be tested. This approach aims to identify the most effective configurations to optimize waste collection routes and improve overall system performance. The SS was also coded using Python as the programming language.

5. Computational Experimentation

This Section presents the description of instances considered, the tests performed on the VIs with the exact method, the proposed implementations of the SS algorithm and the comparison between the SS and the exact method.

5.1. Description of Instances and Resolution Platform

To carry out the computational experimentation in this work, 10 realistic instances were constructed with varying numbers of collection points: three instances with 15, three with 30, three with 50, and one with 100 collection points. All the instances are based on information gathered on field studies in Bahía Blanca [10]. These instances can be retrieved from Github (https://github.com/diegorossit/Urban_Science_waste_collection_BBCA.git, accessed on 27 October 2024). The naming convention follows the format: n i d , where n is the number of collection points, and i d is a reference number to distinguish between instances with the same number of collection points.
Each instance consists of two files: “times.txt”, which contains the matrix of travel times (minutes) from the depot to the collection points, between collection points, and from the collection points to the depot; and “waste.txt”, which contains the geographic coordinates of each collection point, as well as the waste (m3) generated daily by the urban area assigned to each collection point. Moreover, the service time of a collection point was set at 0.78 min based on the field work of Carlos et al. [38] for a homogeneous collection vehicles fleet; the truck unloading time was set at 8 min [39], and the cost per minute of truck operation ( α ) was estimated at USD 0.5764 per minute [40]. Also, as in Mahéo et al. [24], given that the instances are smaller than the actual collection zones in the city, the capacity and size of the fleet were adjusted to ensure that the problem does not become trivial, where a single truck can collect all the waste in a single trip (see Table 1). In all cases, the maximum time to complete a trip or route was set at 6 h (the working hours of an employee in the sector in Bahía Blanca).
The resolution platform that was used for the SS and the exact method are a personal computer with a Processor Intel(R) Xeon(R) Silver 4216 CPU @ 2.10 GHz, 2095 Mhz (2 threads) and 64 GB of RAM within a Windows 11 operative system environment and Python compiler version 3.10.11.

5.2. Tests over VIs and Solver of Exact Method

This section presents the results of tests analyzing the effect of VIs in enhancing the MILP model introduced in Section 3.1. As aforementioned, the tests were conducted using two state-of-the-art solvers, CPLEX and Gurobi, on the three smallest instances involving 15 collection points. Considering that there were three different VIs and all combinations between VIs and the MILP model were tested, eight runs were performed for each solver and each instance. A maximum allowable solving time of 7200 s was used for all cases.
Figure 2 illustrates the key results for the three instances. The bars show computing times (left x-axis), while triangle markers indicate optimality gaps (right x-axis), which are non-zero when the solver fails to converge within the allotted time (7200 s). For the sake of clarity, computing times are displayed on a logarithmic scale. The results of the detailed computing times and optimality gaps are presented in Appendix A. As aforementioned, each instance was tested with various mathematical formulations that resulted from the combination of Model (1) and the VIs from Equations (2)–(4). For example, the tag “Model (1) + Equations (2) and (4)” indicates that VIs (2) and (4) were added to Model (1). In particular, the tag “Model (1)” represents the base model presented in Section 3.1 without any VIs.
The comparison between the solvers reveals that Gurobi consistently outperforms CPLEX in these instances. In some cases, the difference is significant, such as in instance 15-1 with the formulation “Model (1) + Equations (3)–(4)”, where Gurobi finds the optimal solution in under 8 s, while CPLEX only achieves a suboptimal solution with a 20% gap after reaching the time limit. Moreover, CPLEX fails to converge to the optimal solution for any instance or formulation. Additionally, in the formulations in which both solvers cannot obtain the optimal solution (e.g., “Model (1)” and “Model (1) + Equation (4)” across all three instances), Gurobi performs better, showing a smaller optimality gap.
Although the internal mechanisms of commercial solvers are not publicly accessible, these results align with recent findings where Gurobi outperformed CPLEX in complex integer problems. The detailed results are depicted in Appendix A, where it is shown that while CPLEX often finds the optimal solution, it typically fails to prove optimality within the time limit due to a weak lower bound. Nonetheless, as the literature emphasizes, Gurobi’s performance advantage is problem-specific; different types of problems can lead to cases where either solver may outperform the other [30,41,42,43]. Thus, the recommendation for Gurobi in this study is derived specifically from the computational experiments conducted here, without implying its superiority across all problem contexts.
Regarding the effectiveness of VIs, in instance 15-1, the best result with Gurobi is achieved using formulation “Model (1) + Equation (2) and (3)” with a computing time of 7.63 s. For instances 15-2 and 15-3, the best results are obtained with the formulation “Model (1) + Equations (3) and (4)” yielding times of 22.63 s and 17.45 s, respectively. For the comparison with the Scatter Search algorithm, the Gurobi solver was used, applying the formulation “Model (1) + Equations (2) and (3)” as it achieved the smallest average computing time across the three tested instances.

5.3. Implementations of the SS Algorithm

This section presents the SS algorithms implemented to solve the problem described in Section 3.1. A permutation coding was considered for the representation of the solutions. Thus, the variable x is replaced by the chromosome y = [ y i ] , with a permutation of the order of collection of waste from the n I collection points and the variable v is determined when the fitness function is calculated. Thus, by handling permutations, constraint (1c) is always satisfied. The remaining constraints are imposed when evaluating the fitness function. On the one hand, restrictions (1b), (1d), (1f), and (1g) are met by adding trucks to the overall route (defined by the chromosome) once the previous truck has filled up or does not have the capacity to load all the waste deposited at the next collection point. On the other hand, solutions are penalized in the event they do not meet restriction (1e) or the size of the fleet ( n L ) is exceeded, as shown in Equation (5).
f f i t n e s s ( x ) = f ( x ) λ m i n { 0 , n L n ( x ) } γ l L m i n { 0 , T L T T l }
where f ( x ) is the objective function (1a), λ and γ are positive real numbers, n ( x ) is the number of trucks required to collect all the accumulated waste, one for each route of the solution x, and T T l is the summation of the left-hand side of the constraint (1e).
The following are the different methods that were considered:
  • Diversification generation method: more_intertools.random_permutation() (https://pypi.org/project/more-itertools/, accessed on 27 October 2024).
  • Improvement methods:
    1
    Exchange (EXC). Two alleles are chosen randomly and exchanged with each other.
    2
    Insertion (INS). Two alleles are chosen randomly and the second allele is placed just after the first one.
    3
    Inversion (INV). Two alleles are chosen at random and the order of the alleles between them is reversed.
  • Reference set update method: the first half of the solutions in the reference set are chosen to be the best solutions (in terms of the fitness function value) in the population. The other half are chosen to be the most diverse (in terms of the Hamming distance) with respect to the solutions already incorporated in the reference set.
  • Subset generation method: all possible pairs of solutions of the reference set are generated.
  • Combination method:
    1
    Partially Mapped Crossover (PMX) [44].
    2
    Order Crossover (OX) [45]).
    3
    Circle Crossover (CX) [46].
    4
    Modified Circle Crossover (CX2) [47].
In addition, three sizes for local search were considered for the improvement methods: (1) 10, (2) 20, and (3) 30. Thus, in total, 36 configurations of the SS algorithm were made. Since SS is based on stochastic procedures, for each instance and SS configuration, 31 runs were made to obtain a proper sample of the distribution of the results for statistical analysis. A maximum number of evaluations of the fitness function was set as a stopping criterion for the algorithms. Table 2 shows the size of the reference set, the size of the population and the maximum number of fitness function evaluations considered according to the instance size.
For instances of 15 and 30 collection points, a Kruskal–Wallis Rank Sum Test [48] was performed to determine whether there are significant differences between the four combination methods considered, the three improvement methods considered, and the three sizes for local search considered. When the value of a Kruskal–Wallis test is significant (p-value < 0.05 ), a multiple comparison test after Kruskal–Wallis [49] between treatments was performed to determine which levels are different, with pairwise comparisons adjusted appropriately for multiple comparisons. The tests were performed using the available libraries in the programming language R [50].
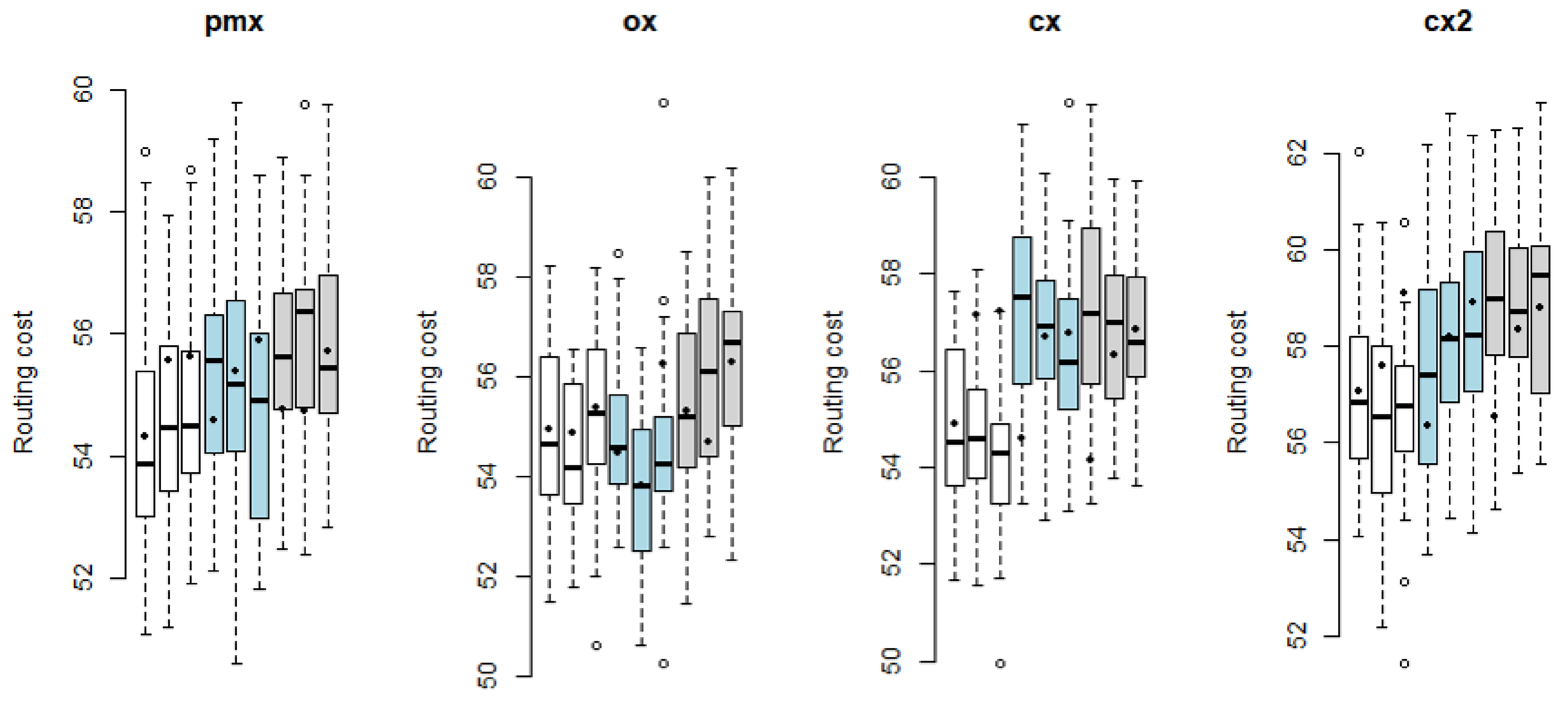
Figure 3 and Figure 4 show the box-and-whisker plots associated with the results of the instances of 15 and 30 collection points, respectively, grouped by combination methods, improvement methods, and local search sizes. In both cases, it can be seen that the PMX and OX combination methods show the best performance, as well as the EXC improvement method. The size of the local search does not seem to be relevant. These conclusions are supported by the hypothesis tests performed (see Table 3 and Table 4). A detailed statistical summary of the computational executions can be found in Appendix B.
Taking into account the conclusions obtained with the instances of 15 and 30 collection points, the larger instances with 50 and 100 collection points were run with only the configurations that were more efficient, i.e., the configurations that use PMX or OX as the combination method and EXC as the improvement method, with a local search size of 20. Table 5 shows the statistical summary of the configurations executed on instances 50-1, 50-2, 50-3, and 100-1. From left to right, the table reports: the minimum (the best value of the objective function found), the first quartile, the median, the second quartile, the (pseudo) median, the lower bound and the upper bound of a 95% confidence interval for the (pseudo) median, the total runtime (in seconds), of the 31 runs performed in each case, and the mean runtime of each run (in seconds).
The results of Table 5 show that the mean and total runtime increase approximately linearly with the size of the problem, which is a good result of an NP-hard problem.

5.4. Comparison Between the Scatter Search and the Exact Method

In this section, we compare the results obtained with the Gurobi solver, applying the formulation “Model (1) + Equations (3) and (4)”, with the SS algorithm configuration that uses OX as the combination method, EXC as the execution method, and 20 as the size of the local search, since it is statistically one of the most efficient among the tested SS configurations. Table 6 shows the routing cost, lower bound, computing time in seconds, and optimality gap of the exact method; and the percentage difference, calculated with Equation (6), between the routing cost obtained with the exact method and the minimum and (pseudo) median values obtained with the (OX, EXC, 20) configuration of the SS algorithm.
%   dif . = C * S S C * e x a c t C * e x a c t %
In Equation (6), C * S S is the routing cost obtained with the SS and C * e x a c t is the routing cost obtained with the exact method. Thus, a negative value of % dif. means that the SS algorithm obtained a smaller (better) solution. In Table 6, the Equation (6) was calculated using two different values for C * S S : the minimal (best) value and the median value obtained for the 31 runs for each instance.
From the results presented in Table 6, it can be concluded that for the instances with 15 collection points, the SS algorithm was able to consistently obtain optimal solutions. Moreover, the median result across the 31 runs of the SS algorithm showed less than a 2% deviation from the optimal value for all three instances with 15 collection points. This validates the SS algorithm for small instances, as it is capable of producing near-optimal solutions in most runs. The total runtimes of the SS are much larger (around 250 s; see Table A2, Table A3 and Table A4) than the exact method (around 20 s) as is expected for small instances in which the stochastic search of metaheuristics is overrun by the systematic search of the exact method. However, the mean runtime of the SS is competitive against the exact method (around 7 s, see Table A2, Table A3 and Table A4).
For instances with 30 collection points, the SS algorithm clearly outperforms the exact method in terms of finding the best minimal solution. The routing plans generated by the SS algorithm were more than 20% better than those produced by the exact method for instances 30-1 and 30-2. However, in instance 30-3, the percentage difference between the SS and the exact method was much smaller, which aligns with the exact method’s ability to achieve a relatively small optimality gap for this particular instance size. The median results follow a similar pattern, with the SS algorithm significantly outperforming the exact method in instances 30-1 and 30-2, while in instance 30-3, the SS median result was about 5% worse than the exact method’s solution. In these instances, the total computing times of the SS are much smaller (around 700 s, see Table A5, Table A6 and Table A7) than for the exact method, which used the maximum allowable time of 7200 s for all three instances. The exponential increase in computational time for the exact method as the instance size doubled from 15 to 30 collection points is typical of NP-hard problems.
For the larger instances with 50 collection points, only the instance 50-1 could be compared, as the exact method failed to find a solution within the allowable time (7200 s) for the other two instances. In instance 50-1, the SS algorithm improved the exact solution by 33.09% when considering the best solution and by 30.97% when considering the median solution.
These results highlight the robustness of the SS algorithm in larger instances, where it clearly outperforms the exact method in both solution quality and computational efficiency.

6. Conclusions

Municipal Solid Waste (MSW) systems are critical components of modern societies, playing a crucial role in enhancing the sustainability and livability of cities. To achieve these objectives, various stages of the system must be carefully planned. This article addresses the waste collection problem, a complex logistics challenge that is often computationally expensive to solve to optimality. Waste collection is one of the most costly stages of the MSW system. Therefore, implementing computational intelligence methods to optimize this stage, which is typically difficult to solve manually, can reduce costs and significantly impact the system’s overall expenses. In this line, this work proposes a Scatter Search algorithm to tackle the problem efficiently, being the first work in the literature to apply this approach to a real-world case study of the waste collection problem. The case study focuses on the medium-sized Argentine city of Bahía Blanca. Additionally, an exact resolution of the problem by means of mathematical programming is proposed.
Computational experimentation was performed over scenarios of different sizes to study the impact of the computational complexity. The exact method was tested using different valid inequalities to enhance the formulation and two different state-of-the-art commercial solvers. The results showed that Gurobi was significantly more efficient than CPLEX for this problem, and that the valid inequalities greatly strengthened the formulation, allowing the model to obtain the optimal solution in small instances, something that was not possible for the plain mathematical model without the valid inequalities. The Scatter Search algorithm was tested using different configurations for the improvement method, the combination method, and the size in the local search operator, giving a total of 36 different configurations of the Scatter Search algorithm. The results showed that the configurations using partially mapped crossover or order crossover as the combination method and exchange as the improvement method are the most efficient to address this problem. Moreover, the results showed that the size of the local search is not so relevant for the target problem. Finally, the comparison between the exact method with the best formulation and the Scatter Search revealed that the heuristic approach consistently found near-optimal solutions in smaller instances. Additionally, in larger instances, the SS was able to find solutions that outperformed the exact method with much smaller computing times. Overall, the experimentation demonstrated the competitiveness of the Scatter Search algorithm in addressing large real-world scenarios in the waste collection problem. Additionally, it confirmed the ability of valid inequalities to enhance the formulation model, facilitating its application to more complex and realistic instances of waste collection challenges.
Future research lines could explore hybrid approaches that combine Scatter Search with other metaheuristics and perform a comparative analysis between Scatter Search and other computational intelligent mataheuristics. Additionally, dynamic models can be applied for real-time adjustments to planned routes based on smart bins information, integrating smart city technologies like IoT to enhance decision-making. Another critical research line is to incorporate sustainability assessments to evaluate the environmental impacts of collection routes alongside travel costs, thereby addressing the waste collection problem in a multi-objective manner. Finally, engaging with practitioners to discuss these solutions and gather feedback will be essential to ensure the practicality and effectiveness of the proposed strategies.

Author Contributions

Conceptualization, D.R., B.G.L., M.F. and M.M.B.; methodology, D.R. and B.G.L.; software, D.R. and B.G.L.; validation, D.R. and B.G.L.; formal analysis, D.R. and B.G.L.; investigation, D.R. and B.G.L.; resources, D.R. and B.G.L.; data curation, D.R. and B.G.L.; writing—original draft preparation, D.R., B.G.L. and M.F.; writing—review and editing, D.R., B.G.L., M.F. and M.M.B.; visualization, D.R. and B.G.L.; supervision, D.R., B.G.L., M.F. and M.M.B.; project administration, D.R., B.G.L., M.F. and M.M.B.; funding acquisition, D.R., B.G.L. and M.M.B. All authors have read and agreed to the published version of the manuscript.

Funding

This research was funded by the Consejería de Economía, Industria, Comercio y Conocimiento of the Government of the Canary Islands through the direct grant awarded to the ULPGC called “Support for R+D+i activity. Campus of International Excellence CEI CANARIAS-ULPGC”, by CONICET under research project PIBAA 0466CO, by the Agencia I+D+i of Argentina under research project PICT-2021-I-INVI00217, and by 319RT0574—Red iberoamericana Industria 4.0 of CYTED.

Institutional Review Board Statement

Not applicable.

Informed Consent Statement

Not applicable.

Data Availability Statement

Instances can be retrieved from Github (https://github.com/diegorossit/Urban_Science_waste_collection_BBCA.git, accessed on 27 October 2024). Other datasets are available on request from the authors.

Conflicts of Interest

The authors declare no conflicts of interest.

Appendix A. Comparison Between Solvers and Valid Inequalities for Exact Method

This Appendix presents the detailed results of the comparison between the commercial solvers Gurobi and CPLEX and valid inequalities for the exact method. In Table A1, the results for each instance and solver are presented. For each instance, the following data are outlined: Upper Bound (UB) (i.e., the incumbent integer feasible solution obtained by the solver), computing time in seconds, optimality gap, and the lower bound (LB) (i.e., solution of the relaxed problem). The optimality gap is estimated as in Gurobi Optimization, LLC [32] with the information of the UB and LB with Equation (A1).
opt . gap = U B L B L B %
From the detailed results, it can be observed that CPLEX occasionally reaches the optimal solution but lacks sufficient information to confirm this due to a weak lower bound. In contrast, a key strength of Gurobi lies in its ability to generate competitive lower bounds, which significantly reduces computing times. This capability enables Gurobi to converge more effectively on optimal solutions, enhancing its performance relative to CPLEX.
Table A1. Detailed results for the comparison between solvers and VIs for the exact method.
Table A1. Detailed results for the comparison between solvers and VIs for the exact method.
Gurobi
15_115_215_3
FormulationsUBComp. Time (sec)opt. gapLBUBComp. Time (sec)opt. gapLBUBComp. Time (sec)opt. gapLB
Model (1)34.937203.0835%22.6433.377204.1536%21.3535.317203.7534%23.33
Model (1) + Equation (2)34.5999.200%34.5933.35161.670%33.3535.22129.310%35.22
Model (1) + Equation (3)34.5915.400%34.5933.3521.230%33.3535.2250.600%35.22
Model (1) + Equations (2) and (3)34.597.630%34.5933.3539.640%33.3535.2245.590%35.22
Model (1) + Equation (4)34.937203.7036%22.1933.527204.2738%20.6535.717203.8436%22.91
Model (1) + Equations (2) and (4)34.59104.810%34.5933.35115.650%33.3535.22126.380%35.22
Model (1) + Equations (3) and (4)34.5924.800%34.5933.3522.630%33.3535.2217.450%35.22
Model (1) + Equations (2) and (4)34.5910.910%34.5933.3546.100%33.3535.2223.840%35.22
CPLEX
FormulationsUBComp. Time (sec)opt. gapLBUBComp. Time (sec)opt. gapLBUBComp. Time (sec)opt. gapLB
Model (1)34.597203.6642%20.0833.357203.3244%18.5735.227209.6537%22.03
Model (1) + Equation (2)34.597208.2620%27.6033.357203.5339%20.2135.227205.1219%28.36
Model (1) + Equation (3)35.107203.3843%19.8733.497206.2645%18.4435.227206.8339%21.37
Model (1) + Equations (2) and (3)35.107210.4520%28.1235.167205.6239%21.3435.227213.4519%28.43
Model (1) + Equation (4)34.597203.2742%20.0833.357204.0844%18.5735.227203.0437%22.03
Model (1) + Equations (2) and (4)34.597208.7720%27.6233.647203.7740%20.2035.227210.5319%28.36
Model (1) + Equations (3) and (4)35.107202.9543%19.8733.497205.9945%18.4535.697209.1040%21.38
Model (1) + Equations (2) and (4)35.107210.0420%28.1433.937205.6237%21.3335.227205.8919%28.42

Appendix B. Scatter Search. Statistical Summary of the Computational Experiments

This appendix contains the box-and-whisker plots of the 36 SS algorithm configurations considered with the instances of 15 (see Figure A1, Figure A2 and Figure A3) and 30 (see Figure A4, Figure A5 and Figure A6) collection points, and the corresponding statistical summary tables. Thus, Table A2, Table A3 and Table A4 show the statistical summary of the experiments performed with the 15-1, 15-2, and 15-3 instances, respectively, and Table A5, Table A6 and Table A7 show the statistical summary of the experiments performed with the 30-1, 30-2, and 30-3 instances, respectively. In each table, from left to right is reported, for each configuration of the SS algorithm: the minimum (the best value of the objective function found), the first quartile, the median, the second quartile, the (pseudo) median, the lower bound and the upper bound of a 95% confidence interval for the (pseudo) median, the total runtime (in seconds), of the 31 runs performed in each case, and the mean runtime of each run (in seconds). The pseudomedian of a distribution F is the median of the distribution of ( u + v ) / 2 , where u and v are independent, each with [48].
Figure A1. Instance 15-1. Box-and-whisker plots of the results grouped by combination methods, improvement method: EXC (white), INS (blue), and INV (gray), and local search sizes: 10, 20, and 30, from left to right.
Figure A1. Instance 15-1. Box-and-whisker plots of the results grouped by combination methods, improvement method: EXC (white), INS (blue), and INV (gray), and local search sizes: 10, 20, and 30, from left to right.
Urbansci 08 00240 g0a1
Figure A2. Instance 15-2. Box-and-whisker plots of the results grouped by combination methods, improvement method: EXC (white), INS (blue), and INV (gray), and local search sizes: 10, 20, and 30, from left to right.
Figure A2. Instance 15-2. Box-and-whisker plots of the results grouped by combination methods, improvement method: EXC (white), INS (blue), and INV (gray), and local search sizes: 10, 20, and 30, from left to right.
Urbansci 08 00240 g0a2
Figure A3. Instance 15-3. Box-and-whisker plots of the results grouped by combination methods, improvement method: EXC (white), INS (blue), and INV (gray), and local search sizes: 10, 20, and 30, from left to right.
Figure A3. Instance 15-3. Box-and-whisker plots of the results grouped by combination methods, improvement method: EXC (white), INS (blue), and INV (gray), and local search sizes: 10, 20, and 30, from left to right.
Urbansci 08 00240 g0a3
Figure A4. Instance 30-1. Box-and-whisker plots of the results grouped by combination methods, improvement method: EXC (white), INS (blue), and INV (gray), and local search sizes: 10, 20, and 30, from left to right.
Figure A4. Instance 30-1. Box-and-whisker plots of the results grouped by combination methods, improvement method: EXC (white), INS (blue), and INV (gray), and local search sizes: 10, 20, and 30, from left to right.
Urbansci 08 00240 g0a4
Figure A5. Instance 30-2. Box-and-whisker plots of the results grouped by combination methods, improvement method: EXC (white), INS (blue), and INV (gray), and local search sizes: 10, 20, and 30, from left to right.
Figure A5. Instance 30-2. Box-and-whisker plots of the results grouped by combination methods, improvement method: EXC (white), INS (blue), and INV (gray), and local search sizes: 10, 20, and 30, from left to right.
Urbansci 08 00240 g0a5
Figure A6. Instance 30-3. Box-and-whisker plots of the results grouped by combination methods, improvement method: EXC (white), INS (blue), and INV (gray), and local search sizes: 10, 20, and 30, from left to right.
Figure A6. Instance 30-3. Box-and-whisker plots of the results grouped by combination methods, improvement method: EXC (white), INS (blue), and INV (gray), and local search sizes: 10, 20, and 30, from left to right.
Urbansci 08 00240 g0a6
Table A2. Instance 15-1. Statistical summary (runtimes in seconds).
Table A2. Instance 15-1. Statistical summary (runtimes in seconds).
Combin. MethodImprov. MethodLocal Search SizeminQ1MedianQ2(Pseudo) MedianlbubTotal RuntimesMean Runtimes
PMXEXC1034.5909634.8042434.9886935.3172535.1010734.9511935.31720243.683397.86075
PMXEXC2034.5909634.8618834.9886935.7265135.2164234.9598935.40944207.045246.67888
PMXEXC3034.5909634.9425834.9886935.7178635.2480434.9886835.49298191.321096.17165
PMXINS1034.5909634.9368135.0290435.6025835.2393435.0088135.49601263.459778.49870
PMXINS2034.5909634.9368135.1270335.8389135.3518435.0866935.59676229.961117.41810
PMXINS3034.5909634.9368135.2480835.4959435.2308335.0435035.43840217.884847.02854
PMXINV1034.5909634.9598735.0809235.7149835.3053735.0319635.52474267.140468.61743
PMXINV2034.6716635.0809235.6285236.0147235.5917535.3719435.85050231.331467.46231
PMXINV3034.5909635.0578635.9109636.2510535.6775335.4499135.97443219.019707.06515
OXEXC1034.5909634.9368135.2307935.7092235.2538435.0780935.44986231.149247.45643
OXEXC2034.5909634.9195235.3057235.7149835.2798335.0838535.48148194.777906.28316
OXEXC3034.5909634.6716635.0809235.8245035.2394634.9599335.48443182.800965.89681
OXINS1034.5909634.7466034.9368134.9858134.9599034.8042535.13281264.531778.53328
OXINS2034.5909634.5909634.9368135.2567334.9368834.7897535.10975229.019607.38773
OXINS3034.5909634.7869434.9368135.2682634.9627434.9022035.15868216.535896.98503
OXINV1034.5909634.9858135.2307935.4037135.2446235.1068335.52475267.986698.64473
OXINV2034.5909634.9368135.1270336.0204835.4500735.0463835.79576232.059147.48578
OXINV3034.5909634.9368135.3345436.0637235.4672235.1558235.83898219.818827.09093
CXEXC1034.5909635.1558535.4498335.9196135.5271435.3258535.74099222.054867.16306
CXEXC2034.5909634.9829335.4210135.8677335.4550435.2278335.72363189.666836.11828
CXEXC3034.5909635.0809235.3864235.6400535.4152435.2278835.62569178.914505.77144
CXINS1034.9368135.9052036.3086936.7611836.3345436.0262436.65452258.993098.35462
CXINS2034.5909635.4584735.9743736.6603136.0519535.7322036.42977224.353717.23722
CXINS3034.5909635.2624936.1530636.7323636.0704935.6833636.42406212.692086.86103
CXINV1034.6716635.5247636.0320136.5911436.0838435.7871236.43552259.401898.36780
CXINV2034.5909635.2740235.9686136.5450335.9138735.5997436.23950226.788837.31577
CXINV3034.5909635.2682635.9167336.5277335.9007035.5795236.19918216.422556.98137
CX2EXC1034.6716635.4959436.1530636.6948936.1847635.8503936.49609232.647597.50476
CX2EXC2034.5909635.2653735.9686136.4297435.8907935.6544636.24241196.651556.34360
CX2EXC3034.6716635.7293936.3893936.7957736.2827536.0089336.66612185.131475.97198
CX2INS1035.3287836.6257237.5480038.3059937.4587136.9427737.86217266.942268.61104
CX2INS2034.9022336.4816237.4442438.0321937.3184836.6689337.76419230.213447.42624
CX2INS3034.5909636.4931537.3289638.0898337.2803236.8476437.73815217.891167.02875
CX2INV1034.9368136.5911437.4038937.9976037.3174236.8937237.74691269.126418.68150
CX2INV2035.3287836.6401437.5134138.2541137.4703436.9600738.00915232.887227.51249
CX2INV3034.5909636.4239837.0234537.6805737.1093136.6516437.57973220.830097.12355
Table A3. Instance 15-2. Statistical summary (runtimes in seconds).
Table A3. Instance 15-2. Statistical summary (runtimes in seconds).
Combin. MethodImprov. MethodLocal Search SizeminQ1MedianQ2(Pseudo) MedianlbubTotal RuntimesMean Runtimes
PMXEXC1033.3458933.3747233.4957633.7897433.6053233.4958033.73214227.758937.34706
PMXEXC2033.3458933.4784733.6802233.9021433.7262833.5707333.96260193.703286.24849
PMXEXC3033.3458933.3747233.4900033.6715733.5080233.4324133.72633182.346845.88216
PMXINS1033.3458933.4928833.9799634.4353333.9872233.7407134.24511263.049668.48547
PMXINS2033.4669433.6888634.0087834.3921034.0520633.8732734.21623229.885047.41565
PMXINS3033.3458933.4900033.5245934.1701833.7983233.5648833.95395217.479017.01545
PMXINV1033.3458933.4323633.6456333.7666833.6686933.5562233.78966267.023988.61368
PMXINV2033.3458933.5101733.7666833.9597833.7465233.6513833.87620230.503837.43561
PMXINV3033.3458933.4323633.5591733.9770733.7054933.5246233.85884219.226727.07183
OXEXC1033.3458933.4438933.7032833.8617933.7176733.5707533.88770229.913757.41657
OXEXC2033.3458933.5072933.7666834.3834533.9454233.6774234.10389195.046566.29182
OXEXC3033.3458933.4727133.6456333.7724533.6456333.5678233.76668182.488695.88673
OXINS1033.3458933.3747233.6456333.8128033.6628533.5390133.76086264.401338.52908
OXINS2033.3458933.3747233.6456333.8128033.6686833.5562733.80125229.290517.39647
OXINS3033.3458933.4381233.6398733.7493933.5937933.5187733.70334217.311687.01005
OXINV1033.3458933.6427533.7666834.3286933.8864533.7061634.06637268.066278.64730
OXINV2033.3458933.6427533.8128034.2566433.9123833.7435934.29691232.636547.50440
OXINV3033.3458933.5274733.7666834.0693033.8184933.6658434.01446220.267357.10540
CXEXC1033.3458933.3747233.4957633.9597833.6658433.5102133.89634222.080477.16389
CXEXC2033.3458933.4208333.6398733.9107933.6801333.5562833.83583189.458816.11157
CXEXC3033.3458933.3747233.7032834.0750733.7426033.5706734.00014177.810745.73583
CXINS1033.3458933.9050234.4526235.0405734.4641234.1789134.76682259.447128.36926
CXINS2033.4900034.1413534.5967335.1414434.6428034.3547034.94826225.074827.26048
CXINS3033.3747233.5418834.4353334.8532334.3056634.0318834.62557212.642646.85944
CXINV1033.3458933.5245933.6514034.0001333.7608933.6140033.91940260.002148.38717
CXINV2033.3458933.3747233.6398733.8992633.6628633.5130933.88201227.024767.32338
CXINV3033.3458933.6254633.8762034.3978633.9713633.7638434.12980216.410196.98097
CX2EXC1033.3458933.5361134.1183035.0578634.3547133.9338734.68322231.429317.46546
CX2EXC2033.3747234.0260734.5736734.9368134.5679934.2883034.84753196.167186.32797
CX2EXC3033.3747233.6600434.1355934.8647634.2840233.9741634.69187183.385715.91567
CX2INS1033.4900034.9339335.4671235.7899235.3860635.0809035.68042265.786838.57377
CX2INS2033.3458934.7984735.4671235.9282635.3821035.0319235.78415230.632517.43976
CX2INS3033.6514034.3431035.3403135.6429335.1342434.7984735.45847218.367837.04412
CX2INV1033.3747234.2883434.7177735.7841535.0160334.5880235.43836268.833798.67206
CX2INV2033.3458933.7926234.6601335.4267734.7207034.2825535.20772233.391657.52876
CX2INV3033.3747233.6629334.7466035.3143734.7264734.3344435.06652221.323407.13946
Table A4. Instance 15-3. Statistical summary (runtimes in seconds).
Table A4. Instance 15-3. Statistical summary (runtimes in seconds).
Combin. MethodImprov. MethodLocal Search SizeminQ1MedianQ2(Pseudo) MedianlbubTotal RuntimesMean Runtimes
PMXEXC1035.2192635.2624935.5824035.7495735.5421035.4585035.67456227.715277.34565
PMXEXC2035.2192635.2192635.5824035.7495735.5448935.4325835.66306194.814536.28434
PMXEXC3035.2192635.2970835.6631035.7956835.5564135.4843435.72358183.076575.90570
PMXINS1035.2192635.4930635.7841536.0204835.7961735.6313635.94266266.052188.58233
PMXINS2035.2192635.4584735.7149835.9599635.7483735.5823735.90234232.483147.49946
PMXINS3035.2192635.5824035.7841535.9830235.7841335.6400935.90807219.235777.07212
PMXINV1035.2192635.2192635.6285235.7956835.5823735.4671435.72358268.639158.66578
PMXINV2035.2192635.3720135.6458135.7841535.6255935.5016735.74958231.715917.47471
PMXINV3035.2192635.2192635.4037135.9542035.6054735.4411435.79568219.800327.09033
OXEXC1035.2192635.3143735.7495735.9830235.7437535.5650835.89941242.166067.81181
OXEXC2035.2192635.2884335.6285235.8821435.5737635.4671135.76973194.911026.28745
OXEXC3035.2192635.2884335.5766435.7610935.5592835.4440535.70923181.919045.86836
OXINS1035.2192635.2884335.7149835.7956835.5766435.4844435.74958264.828078.54284
OXINS2035.2192635.2884335.6458136.0089635.6497735.4843735.79566229.249997.39516
OXINS3035.2192635.2970835.6861635.9196135.6861035.5016435.82444217.212167.00684
OXINV1035.2192635.2192635.6631036.0406635.6947735.4758335.87061269.375308.68953
OXINV2035.2192635.6890435.8648536.1761235.9023135.7495836.09830233.156017.52116
OXINV3035.2192635.5795235.7726236.1328935.8014035.6631335.97141220.736017.12052
CXEXC1035.2192635.3143735.7149835.8879135.6813735.5362635.80724223.123997.19755
CXEXC2035.2192635.3057235.7495736.0204835.6805435.5392135.85622190.057826.13090
CXEXC3035.2192635.3547235.8360335.9974335.7985135.5967735.92537178.463005.75687
CXINS1035.6631036.0925436.4585636.8966436.5118836.3029336.73813258.617838.34251
CXINS2035.2192635.7322736.2568236.7611836.2454936.0147936.44419222.540777.17873
CXINS3035.2192635.7293936.0666036.4989136.0908035.9022636.30580211.011996.80684
CXINV1035.2192635.4037135.8475636.5046835.9794135.7207536.19922259.196008.36116
CXINV2035.2192635.7495736.0262536.3519336.0302935.8764236.17616226.445577.30470
CXINV3035.2192635.7236336.1530636.3173436.1242435.9311236.32315215.501626.95167
CX2EXC1035.2884335.7841536.0896536.7525436.2366235.9714536.47011231.047087.45313
CX2EXC2035.2192635.8446836.3605736.6084336.2778736.0233036.49895194.290546.26744
CX2EXC3035.2192635.9484336.4066836.7842436.3736736.1357536.64306182.081405.87359
CX2INS1035.2192636.2308836.7583037.2107936.6977836.3893937.00328264.416988.52958
CX2INS2035.7495736.4585637.0004037.5595237.0286436.7207737.32900228.831637.38167
CX2INS3035.3403136.1617137.0061637.4961237.0197636.5939637.36073216.294976.97726
CX2INV1035.2192636.2885236.8274737.3923636.8274736.5306237.11280267.694978.63532
CX2INV2035.4037136.4989136.7698337.1733236.8101736.5940037.00332231.974977.48306
CX2INV3035.6285236.3000536.7813637.0436336.7089236.4873336.93411219.828247.09123
Table A5. Instance 30-1. Statistical summary (runtimes in seconds).
Table A5. Instance 30-1. Statistical summary (runtimes in seconds).
Combin. MethodImprov. MethodLocal Search SizeminQ1MedianQ2(Pseudo) MedianlbubTotal RuntimesMean Runtimes
PMXEXC1051.0650453.0191153.8722155.3939654.1893053.5234654.83772881.0818328.42199
PMXEXC2051.1803353.4254854.4486355.7945754.5437453.9240955.20086737.3366023.78505
PMXEXC3051.9123853.7309954.4947455.7167554.6676754.0220855.32479691.5407422.30777
PMXINS1052.1198954.0393755.5668856.2960655.5856254.8578956.195181037.0585333.45350
PMXINS2050.5981454.0653155.1633956.5525655.3377654.5985056.14619894.9712928.87004
PMXINS3051.8028652.9845254.9040056.0136154.7400153.9961255.47184846.5557127.30825
PMXINV1052.4599854.7483755.6302956.6534455.6259955.0048656.229791049.0311933.83972
PMXINV2052.3850554.7829556.3565856.7110855.9405255.1950656.55546907.4138329.27141
PMXINV3052.8346554.7137855.4400756.9647055.5956655.0192456.40270861.0996027.77741
OXEXC1051.4743053.6185954.6273256.4055854.8319554.1517755.68505905.7183029.21672
OXEXC2051.7567553.4341354.1834855.8291654.4833553.8780154.98472754.3140924.33271
OXEXC3050.5981454.2584155.2729156.5179855.4098154.7771955.96461700.8826022.60912
OXINS1052.5695053.8606854.5523955.6187654.7656654.2065355.365141057.7200934.12000
OXINS2050.6039152.5032153.7915154.9328253.7886353.1833954.39675902.8911129.12552
OXINS3050.2465353.7108154.2295955.1778054.4846653.9529155.12304851.6123827.47137
OXINV1051.4281954.1661855.2037456.8551855.3838754.7483756.033781064.0921434.32555
OXINV2052.7712554.3909956.0971957.5555356.2252655.4313857.07703908.5799529.30903
OXINV3052.2985854.9991156.6966757.3105556.2715655.6735256.98488859.5325227.72686
CXEXC1051.6645253.6157054.5350956.4142254.9313854.2007755.50636871.2255928.10405
CXEXC2051.5780653.7655754.5812155.6187654.5985054.0480255.12304725.6313723.40746
CXEXC3049.9583253.2381554.2814754.8867154.1949953.6012254.70222678.9777021.90251
CXINS1053.2496855.7196457.5151858.7371957.1880756.3911757.993611034.4736533.37012
CXINS2052.9153555.8147556.9330057.8639256.7644056.1807757.33073882.3890328.46416
CXINS3053.1113455.2008656.1778957.4690756.2240555.5698156.95313832.1866926.84473
CXINV1053.2381555.7081157.1751058.9245357.2601256.4315157.999381031.7093833.28095
CXINV2053.7742255.4083756.9906457.9820856.7917056.1000157.48638893.6718828.82813
CXINV3053.6128255.8666256.5871557.9446256.7816956.2528257.35955842.9535727.19205
CX2EXC1054.0681955.6735256.8465458.1896056.9834456.2701257.71981936.7828130.21880
CX2EXC2052.1833054.9818256.5295158.0195556.3458255.4631057.23273768.7416424.79812
CX2EXC3051.4397255.8291656.7716057.5872456.6645555.9271457.22404711.2919722.94490
CX2INS1053.6762355.5784157.4056659.1868057.4114356.5929158.469161092.7656935.25051
CX2INS2054.4428756.8350158.1723059.3020958.0944957.3220858.91300921.5995829.72902
CX2INS3054.1200757.0742258.2241859.9707358.2630957.5497759.12628862.7022327.82910
CX2INV1054.6446157.8178058.9792960.3713459.1190758.3509959.774751097.3485635.39834
CX2INV2055.3709057.7947558.7314360.0254958.8841658.2241259.56438931.4891430.04804
CX2INV3055.5553657.0137059.4865460.0831358.8265457.9936159.69982873.6788428.18319
Table A6. Instance 30-2. Statistical summary (runtimes in seconds).
Table A6. Instance 30-2. Statistical summary (runtimes in seconds).
Combin. MethodImprov. MethodLocal Search SizeminQ1MedianQ2(Pseudo) MedianlbubTotal RuntimesMean Runtimes
PMXEXC1049.7450450.5347451.4858352.0593751.3532550.9958751.75098866.6608127.95680
PMXEXC2049.9467950.4684551.4281952.0391951.2581550.9237851.57232722.8533023.31785
PMXEXC3049.0879250.9353551.8316852.3879351.7146151.2955752.11989675.7866221.79957
PMXINS1050.0620751.8028652.3965752.9384152.3835251.9382652.825931017.6722332.82814
PMXINS2050.7364951.4656652.6156153.1632152.4585452.0305552.92112876.1292728.26223
PMXINS3050.0620751.9210352.8346553.3361452.7683752.1977153.14304827.9298726.70742
PMXINV1049.8949151.6299452.3331752.9470652.2611351.8172452.710781028.1370933.16571
PMXINV2049.8372751.6097652.5925653.2813852.5061252.0853052.94996886.0872428.58346
PMXINV3051.2783252.5262753.0248753.7338753.1747452.7136153.61570837.6236127.02012
OXEXC1049.3703750.8863551.6587652.5522151.6789351.2639152.10836895.5637228.88915
OXEXC2049.5894150.7595451.5031252.3043551.5578851.1457452.01902740.5822323.88975
OXEXC3049.0129950.7998951.3820852.1083651.4944451.0650351.97289683.6196122.05225
OXINS1049.0245250.5722151.4166651.9498551.3532450.9554851.730831038.9799933.51548
OXINS2049.8833850.8661851.6472352.4571051.7178451.2610352.12566885.7478128.57251
OXINS3048.6959650.7191951.4454852.6357951.6429151.0996352.13142834.5669726.92152
OXINV1050.4828652.2063653.2496854.1229553.2943552.6271453.975971062.1863234.26407
OXINV2050.6730852.3302952.6905553.6041752.8707252.5319853.26700901.2217829.07167
OXINV3051.1918652.3216453.2612054.1027853.1905952.6674953.75693840.9034527.12592
CXEXC1050.4194551.1169251.9296752.4945751.8806551.5204652.26403862.9573327.83733
CXEXC2049.6758751.1832151.5780652.0017351.5722951.2667951.86627714.5796423.05096
CXEXC3049.1628651.1774551.5377152.2092451.6364651.3071252.05644667.5925521.53524
CXINS1052.0622553.4687254.1200755.5006054.4211353.9126055.062571018.2545732.84692
CXINS2049.4337852.9960554.2468855.5928254.2894653.5637854.96741870.5205828.08131
CXINS3051.2667953.5695954.8175455.9329154.8146654.1834855.38243818.0110226.38745
CXINV1051.2667953.4600754.4025255.1316954.2814553.7973354.857971031.8209233.28455
CXINV2050.5520352.9729954.1488955.0711653.9836553.4139154.56969878.1808528.32841
CXINV3051.7221653.4802454.4543954.8751854.1834653.7222554.63600829.3670126.75377
CX2EXC1050.0390252.2640053.0075853.7482853.0291552.5204753.52927926.9298029.90096
CX2EXC2050.6442652.5349253.3937854.4169353.4283852.9009353.94423753.7731424.31526
CX2EXC3049.2954452.7798953.4629554.3333553.5370153.0364054.04514694.6139522.40690
CX2INS1053.1343954.1604256.0799057.9619156.1361055.4199057.082871075.4147334.69080
CX2INS2054.3102955.9819157.2039258.1406057.1650156.5813857.78034901.7594529.08901
CX2INS3052.1948354.1777156.1894257.4171956.0626155.2383356.99064844.9384227.25608
CX2INV1053.1401655.3795557.0944059.1349257.3653256.3796358.253071078.6207534.79422
CX2INV2052.6213854.5466255.9012157.4171955.9761455.1749256.76584908.9002529.31936
CX2INV3052.7827855.5495956.8984158.2241856.8912156.1721357.59300852.4332327.49785
Table A7. Instance 30-3. Statistical summary (runtimes in seconds).
Table A7. Instance 30-3. Statistical summary (runtimes in seconds).
Combin. MethodImprov. MethodLocal Search SizeminQ1MedianQ2(Pseudo) MedianlbubTotal RuntimesMean Runtimes
PMXEXC1048.8054850.3128251.1226952.1890651.1976250.6673151.71063878.1247528.32660
PMXEXC2048.8688850.2465351.1976251.7855751.0880250.6961451.61267737.0576023.77605
PMXEXC3049.0014650.8287151.4397252.2553551.5089351.0679851.91244687.9859622.19310
PMXINS1049.3415551.7192852.6502053.7108152.7510751.9642653.359201034.6433733.37559
PMXINS2049.9813850.9785852.1256653.4802452.3531651.7336552.97304889.4170928.69087
PMXINS3050.3214652.0219052.2755353.7454052.6915652.1803753.16895839.4135627.07786
PMXINV1050.7537851.8806852.7770153.3793752.6098552.1833053.039281044.3007933.68712
PMXINV2050.3214652.2121252.8923053.9356252.9975852.4743453.56091898.2920528.97716
PMXINV3049.5317751.5492452.6790253.7742252.7251352.0910753.35055849.3945627.39982
OXEXC1049.3069650.9987651.7798152.5550951.8358351.3186252.39653902.2934929.10624
OXEXC2048.0446050.2119450.9209451.3936050.8445650.4425151.18033746.7806324.08970
OXEXC3049.3588450.7278451.7567552.2063651.5319051.0823051.93259693.0167222.35538
OXINS1048.3731650.3358750.9324751.4137850.8878050.5001551.252381047.9567833.80506
OXINS2048.6729049.9756150.9555252.2812951.1284550.5808551.65011898.5631628.98591
OXINS3048.4192850.4425151.5895952.4484551.4714250.9267052.00749843.4982027.20962
OXINV1050.2350051.7538753.3592054.4889853.1531352.5089853.771341059.0998634.16451
OXINV2050.1831251.5867052.5579754.1402552.8043952.1198953.38225902.1649229.10209
OXINV3049.4453053.0104653.5090754.4601653.5426553.0104654.09119850.0857027.42212
CXEXC1049.4856550.9238251.8143952.3648751.7567551.2552652.14295868.5262328.01698
CXEXC2048.8804150.4742151.7048752.4023451.5584851.0852752.07383723.6305723.34292
CXEXC3049.6989350.7105551.4685452.5867951.5659051.0881052.04494674.0523821.74363
CXINS1051.3647853.2583254.8002555.6764054.6556553.9240955.414181034.3962433.36762
CXINS2050.3041752.6732654.2987655.5985954.4299053.5205955.25562876.1356328.26244
CXINS3051.7106353.7338755.0135255.9675054.9054454.2238355.49483825.9095526.64224
CXINV1051.5204253.3620854.6676755.9761454.6950554.0364955.376671040.6601733.56968
CXINV2052.2178854.0192054.9270655.7859255.0048854.5120455.53518885.3516228.55973
CXINV3050.7998953.9615554.9904655.8752754.9472354.3275855.52077836.7841226.99304
CX2EXC1050.1024252.0853153.3419054.8953653.4355752.6674954.18924937.0600630.22774
CX2EXC2050.2004152.5723853.7223454.7454953.7064953.0306454.48321764.6828124.66719
CX2EXC3049.7450451.8893353.5436554.4198153.2640952.6473254.01055705.8721922.77007
CX2INS1050.4367555.1576356.2009557.5382456.2225655.5640056.935881071.6513734.56940
CX2INS2051.1745654.3247056.2067157.9503856.1735755.2757957.12034904.0337529.16238
CX2INS3052.9095955.5668857.4575459.6075957.5151856.4747558.59597845.4063927.27117
CX2INV1053.3476756.0654957.8495159.1983357.7082856.7485558.575801076.2198634.71677
CX2INV2054.4082856.4344057.5958858.9216557.7878656.9964058.69108910.1646529.36015
CX2INV3052.9441755.7109956.8926558.7227856.8912156.1721357.59300853.2924327.52556

References

  1. Szpilko, D.; De la Torre, A.; Jimenez Naharro, F.; Rzepka, A.; Remiszewska, A. Waste management in the smart city: Current practices and future directions. Resources 2023, 12, 115. [Google Scholar] [CrossRef]
  2. Hess, C.; Dragomir, A.G.; Doerner, K.F.; Vigo, D. Waste collection routing: A survey on problems and methods. Cent. Eur. J. Oper. Res. 2024, 32, 399–434. [Google Scholar] [CrossRef]
  3. Ghiani, G.; Laganà, D.; Manni, E.; Musmanno, R.; Vigo, D. Operations research in solid waste management: A survey of strategic and tactical issues. Comput. Oper. Res. 2014, 44, 22–32. [Google Scholar] [CrossRef]
  4. Yaman, C.; Anil, I.; Jaunich, M.; Blaisi, N.; Alagha, O.; Yaman, A.; Gunday, S. Investigation and modelling of greenhouse gas emissions resulting from waste collection and transport activities. Waste Manag. Res. 2019, 37, 1282–1290. [Google Scholar] [CrossRef]
  5. Rossit, D.; Nesmachnow, S.; Cavallin, A. Municipal Solid waste management systems: Application of SWOT methodology to analyze an Argentinean case study. In Proceedings of the VI Ibero-American Congress of Smart Cities, Mexico City, Mexico, 13–17 November 2023; pp. 668–680. [Google Scholar]
  6. Bonomo, F.; Durán, G.; Larumbe, F.; Marenco, J. A method for optimizing waste collection using mathematical programming: A Buenos Aires case study. Waste Manag. Res. 2012, 30, 311–324. [Google Scholar] [CrossRef]
  7. Braier, G.; Durán, G.; Marenco, J.; Wesner, F. An integer programming approach to a real-world recyclable waste collection problem in Argentina. Waste Manag. Res. 2017, 35, 525–533. [Google Scholar] [CrossRef]
  8. Molfese, S.; Rossit, D.; Frutos, M.; Cavallin, A. Optimization of waste collection through the sequencing of micro-routes and transfer station convenience analysis: An Argentinian case study. Waste Manag. Res. 2023, 41, 1267–1279. [Google Scholar] [CrossRef]
  9. Rossit, D.; Toutouh, J.; Nesmachnow, S. Exact and heuristic approaches for multi-objective garbage accumulation points location in real scenarios. Waste Manag. 2020, 105, 467–481. [Google Scholar] [CrossRef]
  10. Cavallin, A.; Rossit, D.; Herran, V.; Rossit, D.; Frutos, M. Application of a methodology to design a municipal waste pre-collection network in real scenarios. Waste Manag. Res. 2020, 38, 117–129. [Google Scholar] [CrossRef]
  11. Rossit, D.; González Landín, B.; Frutos, M.; Méndez Babey, M. An Allocation-Routing Problem in Waste Management Planning: Exact and Heuristic Resolution Approaches. In Ibero-American Congress of Smart Cities; Nesmachnow, S., Hernández, L., Eds.; Springer: Cham, Switzerland, 2023; pp. 92–107. [Google Scholar] [CrossRef]
  12. Hannan, M.; Lipu, M.; Akhtar, M.; Begum, R.; Al Mamun, M.; Hussain, A.; Mia, M.; Basri, H. Solid waste collection optimization objectives, constraints, modeling approaches, and their challenges toward achieving sustainable development goals. J. Clean. Prod. 2020, 277, 123557. [Google Scholar] [CrossRef]
  13. Toth, P.; Vigo, D. Vehicle Routing: Problems, Methods, and Applications; SIAM: Philadelphia, PA, USA, 2014. [Google Scholar] [CrossRef]
  14. Elshaer, R.; Awad, H. A taxonomic review of metaheuristic algorithms for solving the vehicle routing problem and its variants. Comput. Ind. Eng. 2020, 140, 106242. [Google Scholar] [CrossRef]
  15. Kalra, M.; Tyagi, S.; Kumar, V.; Kaur, M.; Mashwani, W.; Shah, H.; Shah, K. A comprehensive review on scatter search: Techniques, applications, and challenges. Math. Probl. Eng. 2021, 2021, 5588486. [Google Scholar] [CrossRef]
  16. Liang, Y.; Minanda, V.; Gunawan, A. Waste collection routing problem: A mini-review of recent heuristic approaches and applications. Waste Manag. Res. 2022, 40, 519–537. [Google Scholar] [CrossRef] [PubMed]
  17. Zhang, Q.; Wu, L.; Li, J. Application of Improved Scatter Search Algorithm to Reverse Logistics VRP Problem. In Proceedings of the 2023 IEEE 5th International Conference on Power, Intelligent Computing and Systems (ICPICS), Shenyang, China, 14–16 July 2023; pp. 283–288. [Google Scholar] [CrossRef]
  18. Dethloff, J. Vehicle routing and reverse logistics: The vehicle routing problem with simultaneous delivery and pick-up: Fahrzeugeinsatzplanung und Redistribution: Tourenplanung mit simultaner Auslieferung und Rückholung. OR-Spektrum 2001, 23, 79–96. [Google Scholar] [CrossRef]
  19. Chu, F.; Labadi, N.; Prins, C. A scatter search for the periodic capacitated arc routing problem. Eur. J. Oper. Res. 2006, 169, 586–605. [Google Scholar] [CrossRef]
  20. Golden, B.L.; DeArmon, J.S.; Baker, E.K. Computational experiments with algorithms for a class of routing problems. Comput. Oper. Res. 1983, 10, 47–59. [Google Scholar] [CrossRef]
  21. Belenguer, J.M.; Benavent, E. A cutting plane algorithm for the capacitated arc routing problem. Comput. Oper. Res. 2003, 30, 705–728. [Google Scholar] [CrossRef]
  22. Yu, H.; Li, X.; Su, S. Material recovery facility location and waste flow assignment problem based on scatter search. In Proceedings of the 2007 International Conference on Machine Learning and Cybernetics, Hong Kong, China, 19–22 August 2007; Volume 4, pp. 2368–2372. [Google Scholar] [CrossRef]
  23. Ortega, M.; Hipólito, J.D.; García, Á. Scatter search for locating a treatment plant and the necessary transfer centers in a reverse network. In Metaheuristics in the Service Industry; Springer: Berlin/Heidelberg, Germany, 2009; pp. 63–81. [Google Scholar] [CrossRef]
  24. Mahéo, A.; Rossit, D.; Kilby, P. Solving the integrated bin allocation and collection routing problem for municipal solid waste: A Benders decomposition approach. Ann. Oper. Res. 2023, 322, 441–465. [Google Scholar] [CrossRef]
  25. Dror, M.; Laporte, G.; Trudeau, P. Vehicle routing with split deliveries. Discret. Appl. Math. 1994, 50, 239–254. [Google Scholar] [CrossRef]
  26. NOES Server Solvers. Available online: https://neos-server.org/neos/solvers/index.html (accessed on 27 October 2024).
  27. Linderoth, J.; Ralphs, T. Noncommercial software for mixed-integer linear programming. In Integer Programming; CRC Press: London, UK, 2005; pp. 269–320. [Google Scholar] [CrossRef]
  28. Meindl, B.; Templ, M. Analysis of Commercial and Free and Open Source Solvers for Linear Optimization Problems; Technical Report CS-2012-1; Vienna University of Technology: Vienna, Austria, 2012; Available online: http://hdl.handle.net/20.500.12708/37465 (accessed on 27 October 2024).
  29. Atamtürk, A.; Savelsbergh, M.W. Integer-programming software systems. Ann. Oper. Res. 2005, 140, 67–124. [Google Scholar] [CrossRef]
  30. Du, Y.; Kochenberger, G.; Glover, F.; Wang, H.; Lewis, M.; Xie, W.; Tsuyuguchi, T. Solving clique partitioning problems: A comparison of models and commercial solvers. Int. J. Inf. Technol. Decis. Mak. 2022, 21, 59–81. [Google Scholar] [CrossRef]
  31. González, M.; López, J.; Aparicio, J. A parallel algorithm for matheuristics: A comparison of optimization solvers. Electronics 2020, 9, 1541. [Google Scholar] [CrossRef]
  32. Gurobi Optimization, LLC. Gurobi Optimizer Reference Manual. 2024. Available online: https://www.gurobi.com (accessed on 27 October 2024).
  33. International Business Machines Corporation. IBM ILOG CPLEX Optimization Studio Reference Manual. 2024. Available online: https://www.ibm.com/docs/en/icos/22.1.1 (accessed on 27 October 2024).
  34. Hart, W.; Watson, J.; Woodruff, D. Pyomo: Modeling and solving mathematical programs in Python. Math. Program. Comput. 2011, 3, 219–260. [Google Scholar] [CrossRef]
  35. Glover, F. Heuristics for integer programming using surrogate constraints. Decis. Sci. 1977, 8, 156–166. [Google Scholar] [CrossRef]
  36. Martí, R.; Laguna, M.; Glover, F. Principles of scatter search. Eur. J. Oper. Res. 2006, 169, 359–372. [Google Scholar] [CrossRef]
  37. Laguna, M.; Martí, R. Scatter Search. In Metaheuristic Procedures for Training Neural Networks; Operations Research/Computer Science Interfaces Series; Alba, E., Martí, R., Eds.; Springer: Boston, MA, USA, 2006; Volume 36, pp. 139–152. [Google Scholar] [CrossRef]
  38. Carlos, M.; Gallardo, A.; Edo-Alcon, N.; Abaso, J.R. Influence of the municipal solid waste collection system on the time spent at a collection point: A case study. Sustainability 2019, 11, 6481. [Google Scholar] [CrossRef]
  39. Owusu, F.; Oduro, S.; Essandoh, H.; Wayo, F.; Shamudeen, M. Characteristics and management of landfill solid waste in Kumasi, Ghana. Sci. Afr. 2019, 3, e00052. [Google Scholar] [CrossRef]
  40. D’Onza, G.; Greco, G.; Allegrini, M. Full cost accounting in the analysis of separated waste collection efficiency: A methodological proposal. J. Environ. Manag. 2016, 167, 59–65. [Google Scholar] [CrossRef]
  41. Pichugina, O.; Matsiy, O.; Skob, Y. Performance Comparison of Unbounded Knapsack Problem Formulations. CEUR-WS 2023, 3403, 263–272. [Google Scholar]
  42. Saghand, P.G.; Charkhgard, H. Exact solution approaches for integer linear generalized maximum multiplicative programs through the lens of multi-objective optimization. Comput. Oper. Res. 2022, 137, 105549. [Google Scholar] [CrossRef]
  43. Schulze, P.; Walter, R. A note on the exact solution of the minimum squared load assignment problem. Comput. Oper. Res. 2023, 159, 106309. [Google Scholar] [CrossRef]
  44. Goldberg, D.; Lingle, R. Alleles, Loci and the traveling salesman problem. In Proceedings of the First International Conference on Genetic Algorithms and Their Applications; Psychology Press: New York, NY, USA, 2014; pp. 154–159. [Google Scholar] [CrossRef]
  45. Davis, L. Applying adaptive algorithms to epistatic domains. In Proceedings of the International Joint Conferences on Artificial Intelligence, San Francisco, CA, USA, 18–23 August 1985; pp. 162–164. [Google Scholar]
  46. Oliver, I.; Smith, D.; Holland, J. A study of permutation crossover operators on the traveling salesman problem. In Proceedings of the Second International Conference on Genetic Algorithms on Genetic Algorithms and Their Application; Psychology Press: New York, NY, USA, 1987; pp. 224–230. [Google Scholar]
  47. Hussain, A.; Muhammad, Y.; Nauman, M.; Hussain, I.; Mohamd, A.; Gani, S. Genetic algorithm for traveling salesman problem with modified cycle crossover operator. Comput. Intell. Neurosci. 2017, 1, 7430125. [Google Scholar] [CrossRef]
  48. Hollander, M.; Wolfe, D. Nonparametric Statistical Methods; John Wiley & Sons: Hoboken, NJ, USA, 1973. [Google Scholar]
  49. Siegel, S. Non Parametric Statistics for the Behavioural Sciences; MacGraw Hill Int: Columbus, OH, USA, 1988. [Google Scholar]
  50. R Core Team. R: A Language and Environment for Statistical Computing; R Foundation for Statistical Computing: Vienna, Austria, 2022; Available online: https://www.R-project.org/ (accessed on 27 October 2024).
Figure 2. Comparison of solvers and VIs for the exact method.
Figure 2. Comparison of solvers and VIs for the exact method.
Urbansci 08 00240 g002aUrbansci 08 00240 g002b
Figure 3. Box-and-whisker plots associated with the results of the three instances of 15 collection points grouped by combination methods, improvement methods, and local search sizes.
Figure 3. Box-and-whisker plots associated with the results of the three instances of 15 collection points grouped by combination methods, improvement methods, and local search sizes.
Urbansci 08 00240 g003
Figure 4. Box-and-whisker plots associated with the results of the three instances of 30 collection points grouped by combination methods, improvement methods, and local search sizes.
Figure 4. Box-and-whisker plots associated with the results of the three instances of 30 collection points grouped by combination methods, improvement methods, and local search sizes.
Urbansci 08 00240 g004
Table 1. Problem parameters.
Table 1. Problem parameters.
Instance Size (Number of Collection Points)Truck Fleet SizeTruck Capacity (m3)
15810
301620
502021
1002021
Table 2. Algorithm parameters.
Table 2. Algorithm parameters.
Instance Size (Number of Collection Points)Reference Set SizePopulation SizeMaximum Number of Fitness Function Evaluations
151090100,000
301090250,000
5012132500,000
100141821,000,000
Table 3. Kruskal–Wallis Rank Sum Test: p-values.
Table 3. Kruskal–Wallis Rank Sum Test: p-values.
InstanceCombination MethodImprovement MethodLocal Search Sizes
15-1 2.2 × 10 16 1.281 × 10 08 0.9543
15-2 2.2 × 10 16 6.430 × 10 11 0.0799
15-3 2.2 × 10 16 5.504 × 10 11 0.8066
30-1 2.2 × 10 16 2.2 × 10 16 0.7939
30-2 2.2 × 10 16 2.2 × 10 16 0.2394
30-3 2.2 × 10 16 2.2 × 10 16 0.3931
Table 4. Outputs of the multiple comparison test after Kruskal–Wallis: if TRUE, then statistically significant differences are found between the compared levels.
Table 4. Outputs of the multiple comparison test after Kruskal–Wallis: if TRUE, then statistically significant differences are found between the compared levels.
Combination MethodImprovement Method
1–2 FALSE   2–3 TRUE1–2 TRUE
1–3 TRUE   2–4 TRUE1–3 TRUE
1–4 TRUE   3–4 TRUE2–3 TRUE
Note: The outputs are the same for all instances of 15 and 30 collection points.
Table 5. Statistical summary (runtimes in seconds) of the configurations executed with the 50-1, 50-2, 50-3, and 100-1 instances.
Table 5. Statistical summary (runtimes in seconds) of the configurations executed with the 50-1, 50-2, 50-3, and 100-1 instances.
InstanceComb. MethodminQ1MedianQ2(Pseudo) MedianlbubTotal RuntimesMean Runtimes
50-1PMX79.3615083.3820384.7567986.6964484.9686384.0679785.970162222.013371.6778
OX82.6816883.9728685.3793286.5984585.3000784.6818685.973042285.438373.7238
50-2PMX83.7538286.8232687.4602088.3363687.4457986.9068488.111562217.801571.5420
OX83.0621286.4312987.7311288.6389887.6201686.8636188.218192296.585974.0834
50-3PMX82.6125184.8922585.8231787.4919086.1690285.4283286.901072219.733571.6043
OX81.5346083.3762785.1199487.1633585.1963184.3619486.140202290.543573.8885
100-1PMX151.6964158.0572159.8413162.7925160.0127158.6192161.29674863.0509156.8726
OX156.4116158.7144159.7951161.5936159.9803159.1870160.87025184.1772167.2315
Note: The 100-1 instance was run in a Processor 13th Gen Intel(R) Core(TM) i9-13900K with 128 GB of RAM.
Table 6. Comparison of the results obtained with the exact method and the SS algorithm.
Table 6. Comparison of the results obtained with the exact method and the SS algorithm.
InstanceExact MethodExact Method vs. SS
Routing Cost (USD)Comp. Time (s)Lower BoundOpt. Gap (%)min (%dif) (Pseudo) Median (%dif)
15-134.5924.8034.590.00%0.00%1.99%
15-233.3522.6333.350.00%0.00%1.80%
15-335.2217.4535.220.00%0.00%1.00%
30-167.577201.8234.7894.27%−23.41%−19.37%
30-280.617200.7535.16129.27%−38.49%−36.05%
30-348.167201.7335.1137.17%−00.25%5.56%
50-1123.577201.5849.87147.78%−33.09%−30.97%
50-2-7200.0351.81---
50-3-7200.0249.96---
Note: The minimum and (pseudo) median values are taken from the configuration (OX, EXC, 20).
Disclaimer/Publisher’s Note: The statements, opinions and data contained in all publications are solely those of the individual author(s) and contributor(s) and not of MDPI and/or the editor(s). MDPI and/or the editor(s) disclaim responsibility for any injury to people or property resulting from any ideas, methods, instructions or products referred to in the content.

Share and Cite

MDPI and ACS Style

Rossit, D.; González Landín, B.; Frutos, M.; Méndez Babey, M. Scatter Search Algorithm for a Waste Collection Problem in an Argentine Case Study. Urban Sci. 2024, 8, 240. https://doi.org/10.3390/urbansci8040240

AMA Style

Rossit D, González Landín B, Frutos M, Méndez Babey M. Scatter Search Algorithm for a Waste Collection Problem in an Argentine Case Study. Urban Science. 2024; 8(4):240. https://doi.org/10.3390/urbansci8040240

Chicago/Turabian Style

Rossit, Diego, Begoña González Landín, Mariano Frutos, and Máximo Méndez Babey. 2024. "Scatter Search Algorithm for a Waste Collection Problem in an Argentine Case Study" Urban Science 8, no. 4: 240. https://doi.org/10.3390/urbansci8040240

APA Style

Rossit, D., González Landín, B., Frutos, M., & Méndez Babey, M. (2024). Scatter Search Algorithm for a Waste Collection Problem in an Argentine Case Study. Urban Science, 8(4), 240. https://doi.org/10.3390/urbansci8040240

Article Metrics

Back to TopTop