Asphalt Pavement Damage Detection through Deep Learning Technique and Cost-Effective Equipment: A Case Study in Urban Roads Crossed by Tramway Lines
Abstract
1. Introduction
- Pavement Surface Evaluation Rating (PASER); rating from 10 to 1 (9–10 excellent condition, 2–1 extremely poor).
- Pavement Condition Index (PCI) (ASTM 2011, ASTM 2020); rating from 100 to 0 (100–85 good condition, 10–0 completely deteriorated).
- Pavement Surface Condition Index (Irish PSCI); rating from 1 to 10.
- Road Condition Indicator (RCI).
- ▪
- Damage detection is still a difficult activity [7].
- ▪
- Current automated systems are often expensive to acquire and operate, and they are not simple to use [8]. Consequently, distress is generally detected through visual inspections or manual measurement instruments [5]. Manual techniques aim to identify and classify pavement cracks on the basis of shape, dimensions, and other parameters.
- ▪
- Manual procedures have several restrictions, such as modest precision, subjectivity, and inconsistency in analysis outcomes.
2. Algorithms for Crack Detection
- ▪
- (x, y): position of the centre of the bounding box;
- ▪
- (w, h): height and width of the bounding box;
- ▪
- P(Classi|Ob): probability that the centre of the i-th object falls into the grid.
2.1. Detector Loss Function
- ▪
- Classification loss:
- ▪
- Localisation loss [26]:
- ▪
- Confidence loss [26]:
2.2. Performance Metrics
3. Survey Equipment
Survey Vehicle
4. Neural Network Training
Distress Tracking and Surface Evaluation
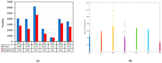
5. The Case Study: Results and Discussions
6. Conclusions
- −
- Due to vehicle vibrations and visibility conditions, the algorithm is unable to identify some pavement distress.
- −
- Use of a public dataset.
- −
- In this research, YOLOv3 was applied even though it is a less-performing version of the YOLO family (e.g., YOLOv5 and YOLOv8). Despite this choice, it is possible to obtain excellent results in both the detection and classification of road surface damage using low-cost detection devices. Therefore, the application of deep learning algorithms in pavement engineering can produce enormous benefits even with less-performing versions of YOLO and cost-effective equipment.
Author Contributions
Funding
Data Availability Statement
Acknowledgments
Conflicts of Interest
References
- Donev, V.; Hoffmann, M. Optimisation of pavement maintenance and rehabilitation activities, timing and work zones for short survey sections and multiple distress types. Int. J. Pavement Eng. 2020, 21, 583–607. [Google Scholar] [CrossRef]
- Qureshi, W.S.; Power, D.; Ullah, I.; McKeever, S.; O’Sullivan, D. Deep learning framework for intelligent pavement condition rating: A direct classification approach for regional and local roads. Autom. Constr. 2023, 153, 104945. [Google Scholar] [CrossRef]
- Chu, C.; Wang, L.; Xiong, H. A review on pavement distress and structural defects detection and quantification technologies using imaging approaches. J. Traffic Transp. Eng. 2022, 9, 135–150. [Google Scholar] [CrossRef]
- Miller, J.S.; Bellinger, W.Y. Distress Identification Manual for the Long-Term Pavement Performance Program, Georgetown Pike. 2014. Available online: https://highways.dot.gov/sites/fhwa.dot.gov/files/docs/research/long-term-pavement-performance/products/1401/distress-identification-manual-13092.pdf (accessed on 1 January 2024).
- Baduge, S.K.; Thilakarathna, S.; Perera, J.S.; Ruwanpathirana, G.P.; Doyle, L.; Duckett, M.; Lee, J.; Saenda, J.; Mendis, P. Assessment of crack severity of asphalt pavements using deep learning algorithms and geospatial system. Constr. Build. Mater. 2023, 401, 132684. [Google Scholar] [CrossRef]
- Miller, J.S.; Bellinger, W.Y. Distress Identification Manual; FHWA-HRT-13-092; U.S. Department of Transportation: Washington, DC, USA, 2014.
- Apeagyei, A.; Ademolake, T.E.; Adom-Asamoah, M. Evaluation of deep learning models for classification of asphalt pavement distresses. Int. J. Pavement Eng. 2023, 24, 2180641. [Google Scholar] [CrossRef]
- Vavrik, W.; Evans, L.; Sargand, S.; Stefanski, J. PCR Evaluation—Consider Transition from Manual to Semi-Automated Pavement Distress Collection and Analysis; Ohio Department of Transportation Office of Statewide Planning and Research: Columbus, OH, USA, 2013.
- Zhang, A.; Wang, K.C.P.; Fei, Y.; Liu, Y.; Tao, S.; Chen, C.; Li, J.Q.; Li, B. Deep Learning-Based Fully Automated Pavement Crack Detection on 3D Asphalt Surfaces with an Improved CrackNet. J. Comput. Civ. Eng. 2018, 32, 04018041. [Google Scholar] [CrossRef]
- Zhang, A.; Wang, K.C.P.; Fei, Y.; Liu, Y.; Chen, C.; Yang, G.; Li, J.Q.; Yang, E.; Qiu, S. Automated Pixel-Level Pavement Crack Detection on 3D Asphalt Surfaces with a Recurrent Neural Network. Comput. Aided Civ. Infrastruct. Eng. 2019, 34, 213–229. [Google Scholar] [CrossRef]
- Badrinarayanan, V.; Kendall, A.; Cipolla, R. SegNet: A Deep Convolutional Encoder- Decoder Architecture for Image Segmentation. IEEE Trans. Pattern Anal. Mach. Intell. 2017, 39, 2481–2495. [Google Scholar] [CrossRef]
- Liu, Z.; Gu, X.; Yang, H.; Wang, L.; Chen, Y.; Wang, D. Novel YOLOv3 Model with Structure and Hyperparameter Optimization for Detection of Pavement Concealed Cracks in GPR Images. IEEE Trans. Intell. Transp. Syst. 2022, 23, 22258–22268. [Google Scholar] [CrossRef]
- Sha, J.; Wang, J.; Hu, H.; Ye, Y.; Xu, G. Development of an Accurate and Automated Quality Inspection System for Solder Joints on Aviation Plugs Using Fine-Tuned YOLOv5 Models. Appl. Sci. 2023, 13, 5290. [Google Scholar] [CrossRef]
- Mohan, A.; Poobal, S. Crack detection using image processing: A critical review and analysis. Alex. Eng. J. 2018, 57, 787–798. [Google Scholar] [CrossRef]
- Qu, Z.; Chen, W.; Wang, S.-Y.; Yi, T.-M.; Liu, L. A crack detection algorithm for concrete pavement based on attention mechanism and multi-features fusion. IEEE Trans. Intell. Transp. Syst. 2021, 23, 11710–11719. [Google Scholar] [CrossRef]
- Wang, T.; Fangfang, Y.; Tsui, K.L. Real-Time Detection of Railway Track Component via One-Stage Deep Learning Networks. Sensors 2020, 20, 4325. [Google Scholar] [CrossRef]
- Ren, S.; He, K.; Girshick, R.; Sun, J. Faster R-CNN: Towards real-time object detection with region proposal networks. In Proceedings of the Advances in Neural Information Processing Systems 28 (NIPS 2015), Montreal, QC, Canada, 7–12 December 2015; Volume 28, pp. 91–99. [Google Scholar]
- Shang, L.; Yang, Q.; Wang, J.; Li, S.; Lei, W. Detection of rail surface defects based on CNN image recognition and classification. In Proceedings of the 20th International Conference on Advanced Communication Technology (ICACT), Chuncheon-si, Republic of Korea, 11–14 February 2018; pp. 45–51. [Google Scholar]
- Redmon, J.; Divvala, S.; Girshick, R.; Farhadi, A. You only look once: Unified, real-time object detection. In Proceedings of the IEEE Conference on Computer Vision and Pattern Recognition (CVPR 2016), Las Vegas, NV, USA, 27–30 June 2016; pp. 779–788. [Google Scholar]
- Ge, L.; Dan, D.; Li, H. An accurate and robust monitoring method of full-bridge traffic load distribution based on YOLO-v3 machine vision. Struct. Control Health Monit. 2020, 27, e2636. [Google Scholar] [CrossRef]
- Liu, L.; Zhou, F.; He, Y. Vision-based fault inspection of small mechanical components for train safety. IET Intell. Transp Syst. 2016, 10, 130–139. [Google Scholar] [CrossRef]
- Jin, Z.-Z.; Zheng, Y.-F. Research on application of improved YOLO V3 algorithm in road target detection. J. Phys. Conf. Ser. 2020, 654, 012060. [Google Scholar]
- Guerrieri, M.; Parla, G. Flexible and stone pavements distress detection and measurement by deep learning and low-cost detection devices. Eng. Fail. Anal. 2022, 141, 106714. [Google Scholar] [CrossRef]
- Redmon, J.; Farhadi, A. Yolov3: An incremental improvement. arXiv 2018, arXiv:abs/1804.02767. [Google Scholar]
- Hui, J. Real-time Object Detection with YOLO, YOLOv2 and Now YOLOv3, 2018. Available online: https://jonathan-hui.medium.com/real-time-object-detection-with-yolo-yolov2-28b1b93e2088 (accessed on 1 January 2021).
- Lechgar, H.; Bekkar, H.; Rhinane, H. Detection of cities vehicle fleet using YOLO V2 and aerial images, International Archives of the Photogrammetry. Remote Sens. Spat. Inf. Sci. ISPRS Arch. 2019, 42, 121–126. [Google Scholar]
- Li, Y.; Han, Z.; Xu, H.; Li, X.; Zhang, K. YOLOv3-lite: A lightweight crack detection network for aircraft structure based on depthwise separable convolutions. Appl. Sci. 2019, 9, 3781. [Google Scholar] [CrossRef]
- Dewi, C.; Chen, R.-C.; Yu, H. Weight analysis for various prohibitory sign detection and recognition using deep learning. Multimed. Tools Appl. 2020, 79, 32897–32915. [Google Scholar] [CrossRef]
- Hu, G.X.; Hu, B.L.; Yang, Z.; Huang, L.; Li, P. Pavement Crack Detection Method Based on Deep Learning Models. Wirel. Commun. Mob. Comput. 2021, 2021, 5573590. [Google Scholar] [CrossRef]
- Xiao, X.; Cao, S.; Wang, L.; Cheng, S.; Yuan, E. Deep hashing image retrieval based on hybrid neural network and optimized metric learning. Knowledge-Based Systems 2024, 284, 111336. [Google Scholar] [CrossRef]
- Ranyal, E.; Sadhu, A.; Jain, K. Road Condition Monitoring Using Smart Sensing and Artificial Intelligence: A Review. Sensors 2022, 22, 3044. Available online: https://etd.ohiolink.edu/apexprod/rws_etd/send_file/send?accession=osu1523978995395614&disposition=inline (accessed on 10 August 2021). [CrossRef] [PubMed]
- Kanaeva, I.A.; Ivanova, J.A. Road Pavement Crack Detection Using Deep Learning with Synthetic Data. Inf. Commun. Technol. 2019, 1019, 012036. [Google Scholar] [CrossRef]
- Maeda, H.; Kashiyama, T.; Sekimoto, Y.; Seto, T.; Omata, H. Generative adversarial network for road damage detection. Comput. Aided Civ. Infrastruct. Eng. 2021, 36, 47–60. [Google Scholar] [CrossRef]
- García-Segura, T.; Montalbán-Domingo, L.; Llopis-Castelló, D.; Sanz-Benlloch, A.; Pellicer, E. Integration of deep learning techniques and sustainability-based concepts into an urban pavement management system. Constr. Build. Mater. 2023, 401, 132684. [Google Scholar] [CrossRef]
- Zhang, Z. A flexible new technique for camera calibration. In IEEE Transactions on Pattern Analysis and Machine Intelligence; IEEE: Piscataway, NJ, USA, 2002; Volume 22, pp. 1330–1334. [Google Scholar]
- Bi, F.; Yang, J. Target Detection System Design and FPGA Implementation Based on YOLO v2 Algorithm. In Proceedings of the International Conference on Imaging Signal Processing and Communication, ICISPC, Singapore, 27–29 July 2019; pp. 10–14. [Google Scholar]
- Dorj, B.; Lee, D.J. A Precise Lane Detection Algorithm Based on Top View Image Transformation and Least-Square Approaches. J. Sens. 2016, 2016, 4058093. [Google Scholar] [CrossRef]
- Aly, M. Real time Detection of Lane Markers in Urban Streets. In Proceedings of the IEEE Intelligent Vehicles Symposium, Proceedings, Eindhoven, The Netherlands, 4–6 June 2008; pp. 7–12. [Google Scholar]
- Kalman, E. A new approach to linear filtering and predictions problems. J. Basic Eng. 1960, 82, 35–45. [Google Scholar] [CrossRef]
- Welch, G.; Bishop, G. An Introduction to the Kalman Filter. Department of Computer Science University of North Carolina at Chapel Hill Chapel Hill, NC 27599-3175. 2006. Available online: https://www.cs.unc.edu/~welch/media/pdf/kalman_intro.pdf (accessed on 1 August 2021).
- Niu, M. Object Detection and Tracking for Autonomous Driving by MATLAB Toolbox. Ph.D. Thesis, Ohio State University, Columbus, OH, USA, 2018. [Google Scholar]
- ASTMD6433-09; Standard Practice for Roads and Parking Lots Pavement Condition Index Surveys. ASTM: West Conshohocken, PA, USA, 2011. Available online: https://www.astm.org/d6433-09.html (accessed on 1 September 2023).
- ASTM. Standard Test Method for Airport Pavement Condition Index Surveys. In Book of Standards; ASTM: West Conshohocken, PA, USA, 2020; Volume 04.03. [Google Scholar]
- Li, J.; Yin, G.; Wang, X.; Yan, W. Automated decision making in highway pavement preventive maintenance based on deep learning. Autom. Constr. 2022, 135, 104111. [Google Scholar] [CrossRef]
- Guerrieri, M. Catenary-Free Tramway Systems: Functional and Cost–Benefit Analysis for a Metropolitan Area. Urban. Rail. Transit. 2019, 5, 289–309. [Google Scholar] [CrossRef]
- Bieberc, C.A. Les choix techniques pour les transport collectifs. Ec. Natl. Ponts Chaussèes Paris 1986. [Google Scholar]
- Guerrieri, M. Tramways in Urban Areas: An Overview on Safety at Road Intersections. Urban. Rail. Transit. 2018, 4, 223–2331. [Google Scholar] [CrossRef]
- Wang, D.; Liu, Z.; Gu, X.; Wu, W.; Chen, Y.; Wang, L. Automatic Detection of Pothole Distress in Asphalt Pavement Using Improved Convolutional Neural Networks. Remote Sens. 2022, 14, 3892. [Google Scholar] [CrossRef]
- Du, Y.; Pan, N.; Xu, Z.; Shen, Y.; Kang, H. Pavement distress detection and classification based on YOLO network. Int. J. Pavement Eng. 2012, 22, 1659–1672. [Google Scholar] [CrossRef]
- Ghosh, R.; Smadi, O. Automated detection and classification of pavement distresses using 3d pavement surface images and deep learning. Transp. Res. Rec. 2021, 2675, 1359–1374. [Google Scholar] [CrossRef]
- Guerrieri, M.; Parla, G.; Corriere, F. A new methodology to estimate deformation of longitudinal safety barriers. ARPN J. Eng. Appl. Sci. 2013, 8, 763–769. [Google Scholar]
- Guerrieri, M.; Corriere, F.; Parla, G.; Ticali, D. Estimation of pollutant emissions from road traffic by image processing techniques: A case study in a suburban area. ARPN J. Eng. Appl. Sci. 2013, 8, 668–676. [Google Scholar]
- Guerrieri, M.; Ticali, D. Design Standards for Converting Unused Railway Lines into Greenways. In ICSDC 2011, Proceedings of the International Conference on Sustainable Design and Construction, Kansas City, Missouri, 23-25 March 2011; ASCE: Reston, VA, USA; University of Kansas: Lawrence, KS, USA, 2012; Volume 2012, pp. 654–660. [Google Scholar]
- Guerrieri, M.; Parla, G.; Ticali, D. A theoretical and experimental approach to reconstructing the transverse profile of worn-out rails. Ing. Ferrov. 2012, 67, 23–37. [Google Scholar]
- Lima, M.S.S.; Buttgereit, A.; Queiroz, C.; Haritonovs, V.; Gschösser, F. Optimizing Financial Allocation for Maintenance and Rehabilitation of Munster’s Road Network Using the World Bank’s RONET Model. Infrastructures 2022, 7, 32. [Google Scholar] [CrossRef]


























| Crack Type | Standards/Guidelines | Severity Based on Crack Width | ||
|---|---|---|---|---|
| Longitudinal/Transverse | AASHTO R 55–10 | Level 1 ≤ 3 mm | 3 mm ≤ Level 2 ≤ 6 mm | Level 3 > 6 mm |
| ASTM D6433-16 | Low ≤ 10 mm | 10 mm ≤ Medium ≤ 75 mm | High > 19 mm | |
| FHWA LTPP | Low ≤ 6 mm | 19 mm ≤ Medium ≤ 75 mm | High > 75 mm | |
| Block | AASHTO R 55–10 | Level 1 ≤ 3 mm | 3 mm ≤ Level 2 ≤ 6 mm | Level 3 > 6 mm |
| ASTM D6433-16 | Low ≤ 13 mm | 13 mm ≤ Medium ≤ 75 mm | High > 50 mm | |
| FHWA LTPP | Low ≤ 6 mm | 19 mm ≤ Medium ≤ 75 mm | High > 19 mm | |
| Symbol | Description |
|---|---|
| Pr | precision |
| Rec | recall |
| Acc | accuracy |
| α | true positive |
| β | true negative |
| γ | false positive |
| δ | false negative |
| Dataset | Task Type | Distress | Device | N° of Images | Resolution |
|---|---|---|---|---|---|
| Aigle-RN | segmentation | crack | professional camera | 38 | 991 × 462, 311 × 462 |
| CFD | segmentation | crack | smartphone | 118 | 480 × 320 |
| Crack500 | segmentation | crack | LG-H345 | 500 | 2000 × 1500 |
| Road surface damage | - | - | - | 18,345 | - |
| Pavement image dataset | - | - | - | 7237 | - |
| GAPs v1 | object detection | severe distress | professional camera | 1969 | 1920 × 1080 |
| GaMM | segmentation | crack | professional camera | 42 | 1920 × 480 |
| Cracktree200 | segmentation | crack | - | 206 | 800 × 600 |
| CrackIT | segmentation | crack | optical | 84 | 1536 × 2048 |
| EdmCrack600 | segmentation | crack | GoPro 7 | 600 | 1920 × 1080 |
| GAPs v2 | object detection | several distress | - | 2468 | 1920 × 1080 |
| Road damage dataset 2018 | object detection | several distress | smartphone | 9053 | 600 × 600 |
| Road damage dataset 2019 | object detection | several distress | smartphone | 13,135 | 600 × 600 |
| CQU-BPDD | - | - | - | 60,059 | - |
| Damage Description | Flexible Pavement | Class Name |
|---|---|---|
| Longitudinal linear crack, wheel mark part | ✓ | D00 |
| Lateral linear crack, equal interval | ✓ | D10 |
| Alligator crack | ✓ | D20 |
| Bump, rutting, separation, pothole | D40 | |
| Crosswalk blur | ✓ | D43 |
| White line blur | ✓ | D44 |
| Manhole | ✓ | D50 |
Disclaimer/Publisher’s Note: The statements, opinions and data contained in all publications are solely those of the individual author(s) and contributor(s) and not of MDPI and/or the editor(s). MDPI and/or the editor(s) disclaim responsibility for any injury to people or property resulting from any ideas, methods, instructions or products referred to in the content. |
© 2024 by the authors. Licensee MDPI, Basel, Switzerland. This article is an open access article distributed under the terms and conditions of the Creative Commons Attribution (CC BY) license (https://creativecommons.org/licenses/by/4.0/).
Share and Cite
Guerrieri, M.; Parla, G.; Khanmohamadi, M.; Neduzha, L. Asphalt Pavement Damage Detection through Deep Learning Technique and Cost-Effective Equipment: A Case Study in Urban Roads Crossed by Tramway Lines. Infrastructures 2024, 9, 34. https://doi.org/10.3390/infrastructures9020034
Guerrieri M, Parla G, Khanmohamadi M, Neduzha L. Asphalt Pavement Damage Detection through Deep Learning Technique and Cost-Effective Equipment: A Case Study in Urban Roads Crossed by Tramway Lines. Infrastructures. 2024; 9(2):34. https://doi.org/10.3390/infrastructures9020034
Chicago/Turabian StyleGuerrieri, Marco, Giuseppe Parla, Masoud Khanmohamadi, and Larysa Neduzha. 2024. "Asphalt Pavement Damage Detection through Deep Learning Technique and Cost-Effective Equipment: A Case Study in Urban Roads Crossed by Tramway Lines" Infrastructures 9, no. 2: 34. https://doi.org/10.3390/infrastructures9020034
APA StyleGuerrieri, M., Parla, G., Khanmohamadi, M., & Neduzha, L. (2024). Asphalt Pavement Damage Detection through Deep Learning Technique and Cost-Effective Equipment: A Case Study in Urban Roads Crossed by Tramway Lines. Infrastructures, 9(2), 34. https://doi.org/10.3390/infrastructures9020034

