Abstract
The current study investigated the effects of geopolymer composites formulated from pumice dust partially replaced by ground granulated blast furnace slag (GGBFS) and fly ash (FA) at levels of 10%, 20%, 30%, and 40% by weight. The mixtures were evaluated for flowability, compressive strength (7, 28, and 56 days), density, and water absorption (28 and 56 days) at ambient temperatures. Moreover, compressive strength, mass loss, density, and water absorption were evaluated after exposure of the mixtures to elevated temperatures (250 °C, 500 °C, and 750 °C) at 28 days. All specimens were initially cured at 60 °C for 24 h, followed by storage under ambient laboratory conditions until testing. The inclusion of GGBFS into the mixtures decreased flowability, and the inclusion of FA resulted in its improvement. At ambient temperature, GGBFS-based mixtures, which were high in calcium content, exhibited substantially superior compressive strength and reduced absorption relative to FA-based mixtures due to the development of dense C-A-S-H gel networks. However, the compressive strength of FA-based mixtures considerably increased when exposed to a temperature of 250 °C. Moreover, at 750 °C, the FA-based mixtures showed superior residual strength (up to 18.1 MPa), lower mass loss, and reduced absorption, indicating enhanced thermal stability due to the dominance of thermally resistant N-A-S-H gels. X-ray diffraction results further supported these trends by showing the rapid deterioration of calcium-rich phases under heat and the comparative stability of aluminosilicate structures in FA-based systems. Overall, the inclusion of up to 40% GGBFS is beneficial for early strength and densification, whereas the incorporation of up to 40% FA improves durability and mechanical retention under high-temperature conditions.
1. Introduction
Ordinary Portland cement (OPC) is the predominant material utilized in the construction industry due to various factors, such as its accessibility, economic efficiency, and mechanical properties. This high consumption of cement has led to many issues, such as the environmental impacts of the elevated consumption of natural resources (aggregates, cement raw materials, etc.) and carbon dioxide (CO2) emissions. According to Dumbsizes et al., around 7% of global CO2 emissions can be attributed to cement manufacturing [1]. In addition, 5–8% of global CO2 emissions result from cement production, and this percentage will increase by 4% in 2050 [2]. CO2 emissions from cement production in 2019 reached 2.23 gigatons [3]. In cement production, the processing of raw material is responsible for roughly 60% of CO2 emissions, and energy consumption during cement production accounts for 40% [4].
Several innovative alternatives have been proposed to mitigate CO2 emissions from the cement industry. One of the alternatives is geopolymer, which is produced from mixing alkaline activators (commonly sodium hydroxide (SH) and sodium silicate (SS)) with aluminosilicate materials. The common aluminosilicate materials utilized in geopolymer production include fly ash (FA), ground granulated blast furnace slag (GGBFS), and metakaolin. Besides reducing environmental impacts, geopolymer concrete offers a number of features over conventional ordinary concrete, such as improved mechanical properties and superior durability. Geopolymer binders form when aluminosilicate powder starts to dissolve and gradually reorganizes into an amorphous network. How effectively this reaction proceeds depends considerably on the chemistry of the raw material. Mixes containing minimal calcium usually end up forming N–A–S–H gels, which hold up better at high temperatures, although materials with more calcium tend to form C–A–S–H gels, which display early strength but are less stable when heated [5]. These differences become important when pumice is combined with GGBFS or FA, as each precursor contributes its own reaction behavior.
GGBFS is a byproduct of steel manufacturing, and it has been utilized in geopolymer production given its high amount of aluminum and silica. In addition, GGBFS is considered a waste material; therefore, the use of this waste in geopolymer production can impact the environment positively. Moreover, the application of GGBFS in geopolymer enhances early strengthening and durability. GGBFS behaves differently from other precursors mainly because it contains a high amount of calcium. Once the activator is added, the slag dissolves quickly and starts forming C–A–S–H gels, which pack the matrix more tightly than in low-calcium mixes. This reaction speeds up the setting and gives the mixture a noticeable boost in early strength [6]. In addition, the calcium-rich structure exhibits an increased sensitivity to heat, and the matrix can lose water and begin to break down when subjected to high temperatures. The utilization of GGBFS results in an enhanced early compressive strength and reduced setting time [7]. Incorporation of GGBFS in mixtures improves compressive strength substantially and decreases workability, and this decrease increases as the molarity of NaOH solution increases [8,9]. The utilization of GGBFS to produce blocks at 60% of the binder yielded a compressive strength of 36.5 MPa [10]. The inclusion of FA in GGBFS geopolymer improves thermal resistance [11]. Moreover, the thermal resistance of GGBFS-based geopolymers enhances when incorporated with pumice powder [12].
FA is a byproduct powder generated during coal combustion in power plants. Extensive research has been conducted on the effect of FA on geopolymer systems. The behaviors of FA-based geopolymers depend on FA type, alkali activators, curing temperature, and curing duration. According to Boutkhil et al., the Na2SiO3/NaOH ratio of 2.5 at a curing temperature of 60 °C for 24 h led to maximum compressive strength in an FA-based geopolymer system and lower water absorption compared with specimens having different Na2SiO3/NaOH ratios or durations [13]. Moreover, compressive strength dropped from 32 MPa at ambient temperature to 9 MPa at 800 °C due to the conversion of materials and deformation of the geopolymer gel [13]. FA has a very different chemistry from slag; its calcium content is minimal. As a result, the reaction in these mixes usually leads to the formation of N–A–S–H gels instead of the calcium-rich hydrates that form in GGBFS blends. These gels take longer to develop, and thus, their early strength is often lower. On the other hand, they handle heat considerably better, given that no calcium phases break down when the temperature rises. The particles in FA are mostly smooth and rounded, which also helps fresh mortar move easily during mixing. Altogether, these properties make FA useful when designing geopolymers that need to maintain their performance under elevated temperatures [6]. FA-based geopolymers maintain or enhance compressive strength when specimens are exposed to moderately high temperatures (200 °C to 400 °C) [14,15,16]. Strength degradation in FA geopolymers occurs due to microcracking, pore formation, and gel deformation when specimens are exposed to a temperature above 600 °C [13,14].
When the binder, consisting of GGBFS and FA, was used to produce geopolymer mortar, the optimum GGBFS content leading to the highest compressive strength (44.33 MPa) was 50% [17]. This result was achieved at a temperature of 60 °C. The use of GGBFS at 60% and FA at 40% in a mixture yielded a compressive strength of 55.63 MPa at the age of 28 days [18]. The replacement of pumice dust (PD) by slag increased compressive strength [19]. Although the inclusion of GGBFS in mixtures enhanced performance, the performance reduced under high temperatures [14]. The replacement of FA in FA-based geopolymer partially by GGBFS accelerates early strength and enhances mechanical properties [13,20,21]. PD reacts much more slowly than slag or FA when it is mixed with an alkaline solution [22]. It lacks a high amorphous content, and thus, its dissolution is limited, especially at early ages. As a result, only a small amount of binder gel forms in the beginning, and the strength remains low. In addition, pumice contains a noticeable amount of crystalline minerals—quartz being the most common—which further reduces its reactivity compared with highly amorphous precursors. For this reason, pumice is often combined with more reactive aluminosilicate sources to enhance geopolymerization and improve strength development. PD, a natural volcanic material that contains amorphous silica and alumina, has been identified as a suitable precursor for geopolymer production [19]. It serves as an abundant resource in Saudi Arabia, which makes it an economical and sustainable choice. However, pumice-based geopolymers frequently exhibit lower early strength in comparison with slag- or FA-based systems [23,24,25]. The use of PD alone as a binder may not achieve satisfactory mechanical performance; therefore, it should be utilized with another reactive precursor [12,24]. The inclusion of GGBFS in mixtures containing only pumice improves strength [12]. Using more than one precursor in a geopolymer mix has become a common way to improve strength and durability, as the balance between calcium-rich and low-calcium materials can influence workability, early-age behavior, and performance under heat. Even so, most published studies still rely on a single precursor, and relatively little information details how pumice reacts when it is combined with GGBFS or FA. This gap must be addressed, especially in regions such as Saudi Arabia, where pumice is readily available, and a growing interest in affordable, sustainable alternatives to OPC is becoming prevalent.
Pumice dust was selected as the primary geopolymer precursor because it is a naturally abundant, lightweight volcanic material with low environmental impact, particularly in regions such as Saudi Arabia. However, its low intrinsic reactivity limits early-age strength and requires performance enhancement through blending with more reactive binders. Although GGBFS- and FA-based geopolymers have been widely studied, their use as partial replacements in pumice-based systems—especially under elevated temperatures—remains insufficiently explored. In particular, the combined effects of calcium-rich GGBFS and low-calcium FA on workability, strength development, thermal resistance, and microstructural stability in pumice-based geopolymers are not yet well understood.
In this study, pumice dust was employed as the primary geopolymer precursor and partially replaced by GGBFS or FA at levels of 10%, 20%, 30%, and 40% by mass. The effects of these replacements on flowability, compressive strength, density, water absorption, and thermal stability were systematically evaluated under ambient conditions and after exposure to elevated temperatures (250 °C, 500 °C, and 750 °C). By directly comparing the roles of calcium-rich and low-calcium binders within a pumice-dominated matrix, this work provides new insights into the suitability of GGBFS and FA as performance-enhancing binders for pumice-based geopolymer systems intended for fire-exposed or high-temperature applications.
2. Materials and Methods
2.1. Materials
In this study, pumice dust (PD) was utilized as the primary binder. The PD was collected from volcanic deposits in the southern region of Saudi Arabia, where pumice is naturally abundant, and was processed for use in this study. PD was partially replaced with ground granulated blast furnace slag (GGBFS) and fly ash (FA) at levels of 10%, 20%, 30%, and 40% by weight of the binder. The GGBFS and FA were supplied by Al-Rashed Cement Company (Jeddah, Saudi Arabia) as commercially available materials used in construction applications. The fineness of the precursors plays an important role in geopolymer reactivity and fresh-state behavior; the GGBFS used was finer than pumice dust, while fly ash consisted of fine, predominantly spherical particles, which is known to influence flowability.
The alkaline activators utilized in this work were sodium silicate (SS, Na2SiO3) and sodium hydroxide (SH, NaOH), which were prepared using distilled water, at a mass ratio of SS to SH of 2.5 and a NaOH molarity of 13.64 M. This activator ratio and molarity were kept constant across all nine mixtures. The binder-to-activator ratio was maintained at 0.4 for all mixtures. Table 1 shows the chemical compositions of the three precursors. Natural sand was used only as an inert fine aggregate and does not participate in geopolymerization reactions; therefore, its phase composition was not examined by XRD.
Table 1.
Chemical compositions of PD, GGBFS, and FA.
2.2. Mix Proportions
Nine geopolymer mixtures were prepared, and they included a control mixture containing only PD as the primary binder. The remaining eight mixtures contained, in addition to PD, either GGBFS or FA, and they were divided into two series: Series A (GGBFS-based), which included four mixtures with GGBFS replacement levels of 10%, 20%, 30%, and 40%, and Series B (FA-based), which included four mixtures with FA replacement levels of 10%, 20%, 30%, and 40%. As mentioned previously, the SS to SH ratio and molarity (2.5 and 13.64, respectively) were kept constant across all mixtures to ensure consistent activation conditions. Mix proportions were designed using the absolute volume method to obtain a total volume of 1 m3. The volumes of the activator solutions, water, and binder were first fixed, and the remaining volume was assigned to the fine aggregate, resulting in a sand content of 1076.34 kg/m3 to satisfy the volume balance. The activator solutions were prepared one day before mixing to allow the SH solution, which was prepared with distilled water, to cool to room temperature. Table 2 summarizes the complete mix proportions used for the nine mixtures.
Table 2.
Mix proportions of geopolymer mortars (kg/m3).
2.3. Specimen Preparation and Curing Regimen
Initially, the dry materials (binder and sand) were mixed, and the alkaline activator solutions were gradually added to the mix. Then, the flow table measurement was obtained. The fresh geopolymer mix was poured into 50 mm cube molds. After casting, the specimens were left in the molds at room temperature for approximately 1 h to allow initial setting and avoid disturbance of the fresh matrix. The specimens were transferred to an oven at 60 °C and kept for 24 h to promote early geopolymerization, following curing conditions commonly adopted in previous studies on low-calcium geopolymer systems [13,26]. Afterward, the specimens were demolded and stored at ambient temperature until the days of the tests (7, 28, and 56 days). It is noted that while this curing regime was selected to represent a moderate and practical condition, it may not be sufficient to fully activate pumice- and FA-rich mixtures; this aspect is therefore considered a limitation of the study and is discussed further in Section 4.2.3. For each test condition, results are reported as the average of three replicate specimens.
2.4. Morphology of Precursors
SEM/EDX was used to examine precursor morphology and qualitatively assess elemental distribution. Bulk chemical composition was determined by X-ray fluorescence (XRF). XRD analysis was conducted using a PANalytical X’Pert PRO diffractometer with Cu Kα radiation over a 2θ range of 10–90° to identify crystalline phases and assess phase evolution. Figure 1 presents the SEM images of the raw precursors together with their corresponding EDX spectra. EDX analysis was used to qualitatively identify the elemental distribution of the raw materials, while the bulk chemical composition was determined by XRF (Table 1). Carbon detected by EDX was not considered reliable for quantitative interpretation. The SEM image of PD revealed a glassy, irregular, and highly porous structure with rough surface textures and fractured edges. The rough and porous surfaces exposed a larger portion of the particles, although this finding does not necessarily translate into strong chemical reactivity. The elemental distribution observed in the EDX spectra is consistent with the XRF results in Table 1, which show that PD is mainly composed of SiO2 and Al2O3, with notable amounts of CaO, Fe2O3, and MgO.
Figure 1.
SEM morphology of the raw materials: PD, GGBFS, and FA.
The morphology of GGBFS (Figure 1) is distinctly different. The particles appear dense, compact, and often plate-like or sub-rounded, with relatively smooth amorphous surfaces—features characteristic of rapidly cooled blast-furnace slag. The EDX spectra qualitatively confirm the high calcium content identified by XRF (Table 1), together with moderate amounts of SiO2 and Al2O3.
FA displays a third distinct morphology. In the SEM image, the FA particles appear mostly spherical—some solid and others hollow—with smooth, glass-like surfaces. The EDX spectra show a Si–Al–rich composition, which agrees well with the XRF results in Table 1, indicating high contents of SiO2 and Al2O3 and a low CaO content.
Figure 2 shows the particles at a higher magnification (2000×), giving a clearer sense of how their shapes differ and how such differences may affect the behavior of the mixes. As shown by the PD image in Figure 2, the particles were mostly irregular in shape, and most of them had rough, broken edges with small voids scattered across the surface. By contrast, the GGBFS sample showed particles that were generally more solid and compact, and the surfaces looked smoother compared with PD. By contrast, the FA sample consisted primarily of smooth, spherical particles—including solid spheres and hollow cenospheres.
Figure 2.
High-magnification (2000×) SEM images of the raw materials: PD, GGBFS, and FA.
2.5. Experimental Methods
2.5.1. Flow Table Test
The workability assessment of the fresh mortars was conducted in accordance with the Standard Test Method for Flow of Hydraulic Cement Mortar (ASTM C1437) [27]. The test was performed at the lab’s ambient temperature. The conical mold has upper and lower diameters of 70, 100, and 50 mm. After filling the mold with mortar, it was removed. Then, the table was dropped 25 times before recording the flow diameter.
2.5.2. Compressive Strength Test
Compressive strength tests were carried out using a compressive machine with a capacity of 100 kN, in accordance with ASTM C109/C109M [28]. After testing the specimens for each mixture at 7, 28, and 56 days, the average value was recorded as the reported compressive strength.
2.5.3. Density and Water Absorption Test
Dry density was calculated in accordance with ASTM C642 at the ages of 28 and 56 days [29]. The specimens of each mixture were stored in an oven at a temperature of 105 °C for at least 24 h. Subsequently, the mass value was recorded (the difference between two successive values of mass had to be less than 0.5%; otherwise, the specimen was returned to the oven for an additional 24 h). For saturated and submerged mass, the readings were acquired after immersing the dry specimens for 48 h. The bulk density and water absorption were calculated as follows:
where
md is the dry mass of the specimen
ms is the saturated mass of the specimen
mi is the immersed mass of the specimen
2.5.4. Elevated Temperature Exposure
After 28 days, specimens were exposed to elevated temperatures (250 °C, 500 °C, and 750 °C) for 2 h to assess their thermal performance. The heating rate to the target temperature was 10 °C/min. Upon reaching the target temperature, the specimens were held for 2 h to ensure uniform thermal exposure. After 2 h of exposure at each target level, the specimens were left to cool slowly to avoid any thermal shock. Subsequent tests were conducted once the specimens’ temperature reached the ambient temperature of the lab.
2.5.5. Mass Loss Test
The specimens were placed in an oven at a temperature of 105 °C for 24 h before recording their initial masses. Then, they were transferred to a muffle furnace to expose them to the target temperature. After exposure for a certain duration, the specimens were left in the furnace to cool down. Subsequently, the final masses were recorded.
Mass loss (%) was computed as follows:
3. Results
This section reports the results obtained for the nine geopolymer mixtures: the control mixture (PD) and two series containing GGBFS (PG10–PG40) or FA (PF10–PF40) as partial replacements for PD. The findings include the fresh (flowability) and hardened properties, namely, compressive strength, density, and water absorption, evaluated at 7, 28, and 56 days. Thermal performance was assessed at 28 days based on residual compressive strength, density, water absorption, and mass-loss measurements following exposure to 250 °C, 500 °C, and 750 °C.
3.1. Flowability
Figure 3 displays the results in the flow table for all nine mixes (the control mix, Series A, and Series B), providing insights into the workability of the mortar mixtures. The incorporation of GGBFS into the mixes (Series A) resulted in reduced flowability, with the effect becoming more pronounced as the GGBFS content increased. By contrast, the presence of FA enhanced the workability of the mixes (Series B), and this enhancement increased as the FA content in the mixes increased. The mechanisms governing these differences in workability are discussed in the following section.
Figure 3.
Flow table results.
3.2. Compressive Strength
3.2.1. Ambient Temperature
The compressive strength results of the nine mixtures at 7, 28, and 56 days under ambient curing conditions are presented in Figure 4. As previously noted, PD served as the control mixture containing only PD, whereas in Series A, PG10–PG40 incorporated GGBFS as a partial replacement for PD, whereas PF10–PF40 in Series B incorporated FA alongside PD.
Figure 4.
Compressive strength at ambient temperature.
At 7 days, the control mixture exhibited very low compressive strength. In Series A (GGBFS-based mixtures), a distinct increase in compressive strength was observed as GGBFS partially replaced PD, and this increase became more pronounced with the increase in GGBFS content. In Series B, the incorporation of FA also improved compressive strength compared with PD; however, the gain at an early age was notably lower than that observed in the GGBFS-containing mixtures.
At 28 days, all mixtures showed an increased compressive strength compared with that observed after 7 days. Specimens containing GGBFS (Series A) continued to show superior compressive strength compared with the other mixtures. Although the absolute strength of Series B mixtures remained lower than that of Series A, their relative increase with time was more noticeable.
At 56 days, all mixtures showed further strength development compared with that at 28 days. Partial replacement of PD with GGBFS (Series A) led to a considerable increase in compressive strength, and this improvement generally increased with higher replacement levels. This finding shows a clear influence of GGBFS content. Although these mixtures showed an improvement over the control mixture, their compressive strength remained considerably lower than that of the GGBFS-containing mixtures. Nevertheless, Series B mixtures exhibited continued strength development at later ages.
Error bars in Figure 4 represent the standard deviation of three replicate specimens. Error bars in Figure 4 represent the standard deviation of three replicate specimens. The coefficient of variation generally remained below 10%, indicating good repeatability and reliability of the compressive strength results.
3.2.2. Elevated Temperatures
Figure 5 provides the compressive strength performance of the geopolymer mixtures after exposure to elevated temperatures (250 °C, 500 °C, and 750 °C for 2 h) at 28 days. The thermal response of the specimens was strongly governed by the type of precursor incorporated with PD, which resulted in two distinct behaviors of the GGBFS- (Series A) and FA-based (Series B) systems.
Figure 5.
Compressive strength at elevated temperatures.
The control mixture (PD only) showed very low compressive strength under ambient conditions. After exposure to elevated temperatures, the compressive strength increased noticeably at intermediate temperatures. When the temperature was raised to 750 °C, the strength dropped slightly.
After presentation of the control behavior, the influence of incorporating GGBFS was examined. Although GGBFS significantly enhanced ambient compressive strength, the mixtures exhibited pronounced strength deterioration at elevated temperatures. A progressive reduction in strength was observed for PG40 with increasing exposure temperature. Similar reductions were observed across all GGBFS contents. Although PG40 exhibited the highest strength at ambient conditions, PG10 achieved the highest at 750 °C.
Unlike the GGBFS mixtures, the FA-based systems responded differently during exposure to high temperature. A clear strength increase was observed for both PF10 and PF40 after heating to 250 °C, compared with ambient conditions. PF40 retained relatively high strength at higher temperatures. Although strength gradually decreased above 250 °C, the deterioration was moderate and not catastrophic, unlike the behavior observed in GGBFS-based mixtures. The coefficient of variation for the residual compressive strength generally remained below 10% across all exposure temperatures, confirming good repeatability of the test results.
3.3. Variation in Physical Properties
3.3.1. Mass Loss
Figure 6 presents the mass-loss results of all mixtures after exposure to 250 °C, 500 °C, and 750 °C for 2 h. Thermal exposure resulted in differences in mass loss behavior among the control mixture (PD), Series A (GGBFS-based), and Series B (FA-based).
Figure 6.
Mass loss after exposure to elevated temperatures.
All mixtures exhibited increased mass loss with increasing temperature. The control mixture (PD) showed the lowest mass loss across the entire temperature range. Mixtures containing GGBFS showed higher mass-loss values than the control mixture, particularly at elevated temperatures. Higher GGBFS replacement levels resulted in greater mass loss, with PG40 exhibiting the highest values at all exposure temperatures.
FA-based mixtures displayed lower mass-loss values than Series A at all tested temperatures, although the values were slightly higher than those of the PD control. Compared with GGBFS-based mixtures, FA-based mixtures showed more moderate increases in mass loss with increasing temperature. At all exposure temperatures, mixtures containing higher GGBFS content exhibited greater mass loss, whereas FA-based mixtures showed comparatively lower mass-loss values. The coefficient of variation for mass loss generally remained below 5% across all mixtures, indicating very good repeatability of the measurements.
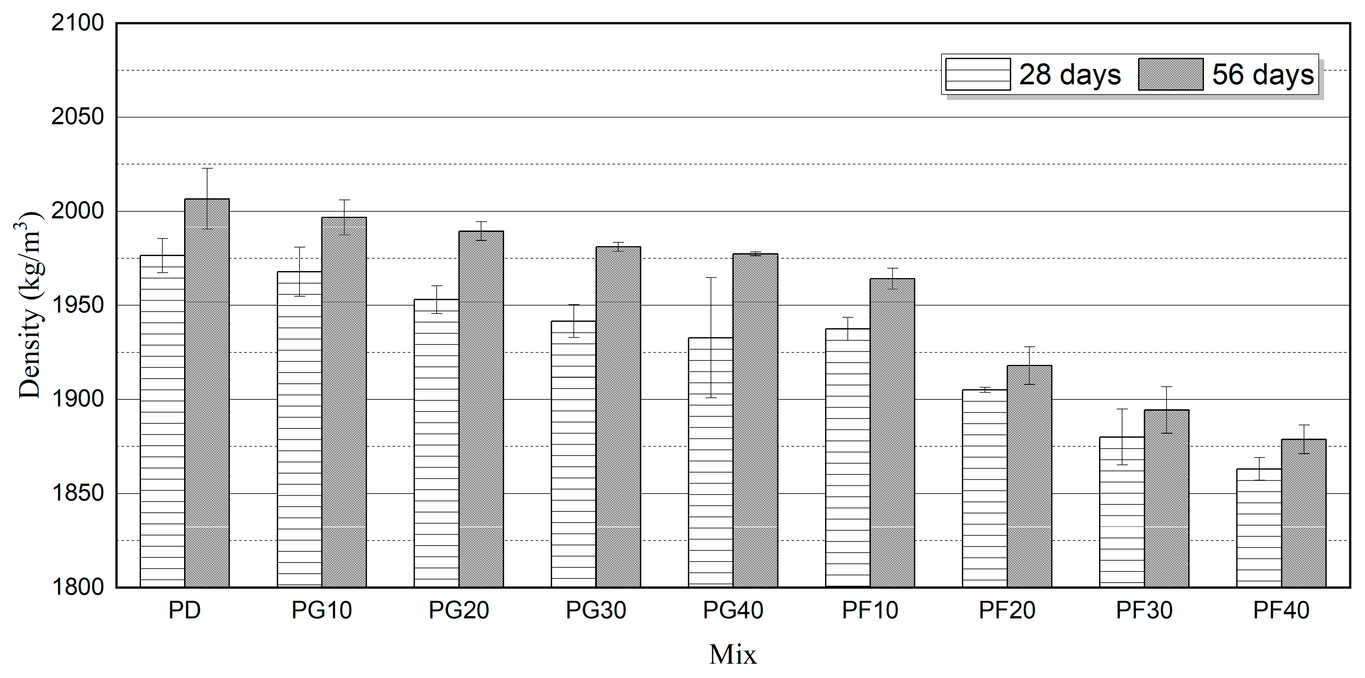
3.3.2. Density at Ambient Temperature
Figure 7 presents the density results of the geopolymer specimens at 28 and 56 days under ambient curing conditions. All mixtures showed a slight increase in density with curing age. This increase occurred progressively with time for all systems. For the control mixture (PD), density increased from 28 to 56 days, indicating gradual densification with curing age.
Figure 7.
Density at ambient temperature.
A general decrease in density was observed as PD was partially replaced with either GGBFS or FA. In Series A (GGBFS-based mixtures), density at 28 days decreased progressively with increasing GGBFS content, and a similar trend was observed at 56 days.
For Series B (FA-based mixtures), density also decreased with increasing FA replacement level at both 28 and 56 days. Despite the reduction in density with increasing replacement level, all mixtures exhibited measurable densification between 28 and 56 days, indicating continued matrix development under ambient curing conditions. The coefficient of variation for density remained below 5% at both 28 and 56 days, indicating high measurement consistency and excellent repeatability.
3.3.3. Density at Elevated Temperatures
Figure 8 presents the density values of the geopolymer mixtures after exposure to elevated temperatures. All mixtures showed relatively small changes in density, ranging approximately between −2.7% and +2.8% compared with ambient values.
Figure 8.
Density at elevated temperatures.
After exposure to 250 °C, most mixtures exhibited a slight increase in density, including the control mixture (PD), GGBFS-based mixtures (Series A), and FA-based mixtures (Series B). This increase coincided with the increase in compressive strength measured for the same mixtures at this temperature.
At higher temperatures of 500 °C and 750 °C, a general decrease in density was observed for all mixtures. This reduction was more pronounced in the GGBFS-based mixtures. For PG40, density decreased noticeably after exposure to 750 °C, which corresponded with a substantial reduction in compressive strength and increased mass loss.
FA-based mixtures showed smaller changes in density at elevated temperatures. PF40 exhibited only minor density variations while retaining relatively high compressive strength. For PF20 and PF30, density values at elevated temperatures remained close to their ambient values. The coefficient of variation for density after thermal exposure remained below 2% across all temperatures, demonstrating high consistency and repeatability of the measurements.
Overall, most mixtures showed slightly higher density values at 250 °C compared with ambient conditions, whereas lower density values were recorded at 500 °C and 750 °C, particularly for mixtures with higher GGBFS contents.
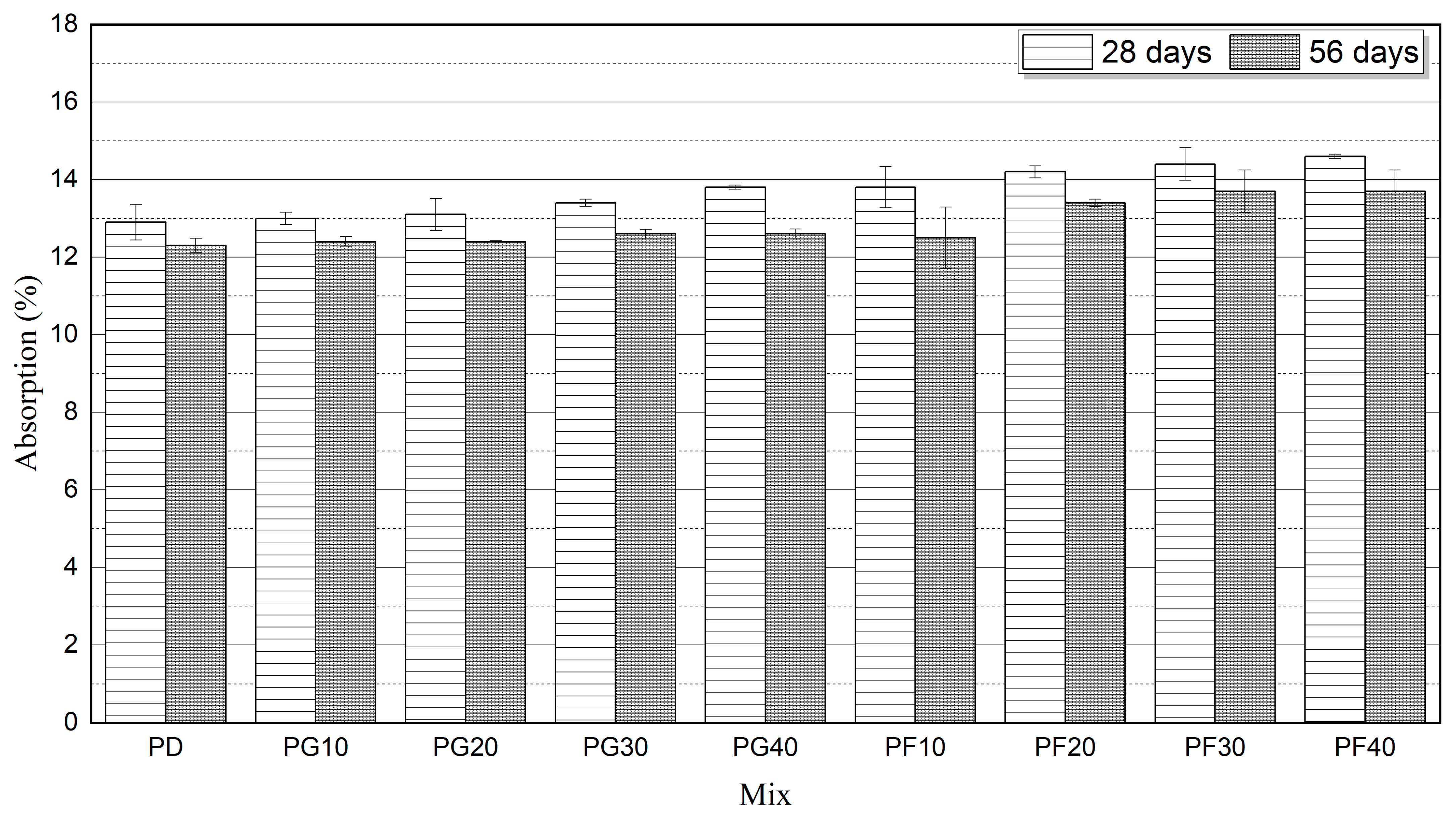
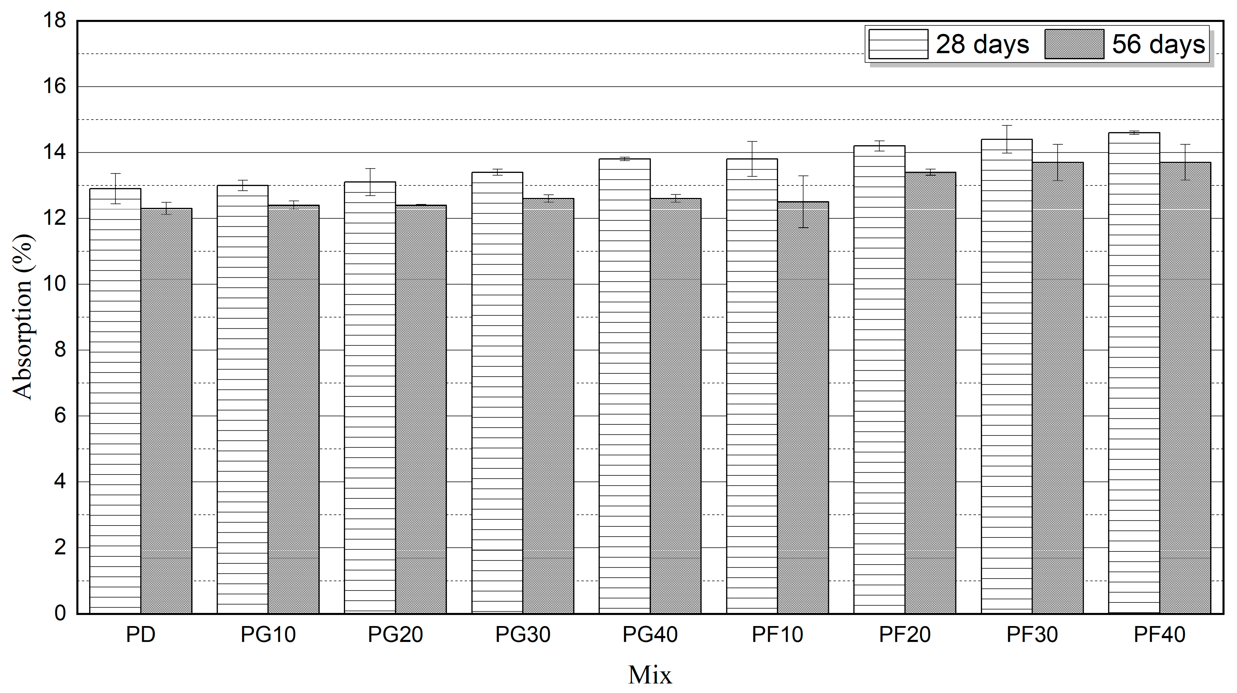
3.3.4. Water Absorption at Ambient Temperature
Figure 9 presents the water absorption results for all mixtures measured at 28 and 56 days under ambient curing conditions. The control mixture (PD) exhibited water absorption of approximately 13% at 28 days, which decreased slightly by 56 days.
Figure 9.
Water absorption at ambient temperature.
For Series A (GGBFS-based mixtures), water absorption values at 28 days ranged from 13.0% for PG10 to 13.8% for PG40. At 56 days, absorption values decreased to a narrower range between 12.4% and 12.6%. All GGBFS-containing mixtures showed a general reduction in water absorption with increasing curing age.
Series B (FA-based mixtures) exhibited higher water absorption values compared with the other mixtures. At 28 days, absorption ranged from 13.8% to 14.6%, increasing with FA replacement level. At 56 days, absorption values ranged from 12.5% to 13.7%. Although a reduction in absorption with curing age was observed, the values remained higher than those of Series A mixtures.
Across all systems, water absorption decreased between 28 and 56 days. At both ages, mixtures containing higher replacement levels of either GGBFS or FA generally exhibited higher absorption values compared with the control mixture. At the same replacement levels, GGBFS-based mixtures showed lower absorption values than FA-based mixtures. The coefficient of variation for water absorption at ambient conditions did not exceed 6.5%, indicating good repeatability and consistency of the measurements.
3.3.5. Absorption at Elevated Temperatures
Figure 10 presents the water absorption results for all mixtures after exposure to elevated temperatures. Changes in water absorption were observed for all mixtures as the exposure temperature increased.
Figure 10.
Absorption at elevated temperatures.
At 250 °C, water absorption decreased for all mixtures compared with ambient conditions. The reduction in absorption did not follow a consistent trend with compressive strength. For example, PF40 exhibited a decrease in absorption together with an increase in compressive strength, whereas PG40 showed reduced absorption but lower strength.
At 500 °C, water absorption increased for all mixtures. The increase was more pronounced in Series A (GGBFS-based mixtures). In Series B (FA-based mixtures), the increase in absorption was smaller.
The highest absorption values were recorded at 750 °C. Among all mixtures, PG40 exhibited the highest absorption. At the same temperature, FA-based mixtures showed comparatively lower absorption values. The coefficient of variation for water absorption after thermal exposure did not exceed 9%, indicating acceptable repeatability and consistency of the measurements.
Overall, although a reduction in absorption occurred at 250 °C, higher exposure temperatures led to increased water absorption for all mixtures, particularly those containing higher GGBFS contents.
3.4. XRD Analysis
Figure 11, Figure 12 and Figure 13 present the XRD patterns of three mixtures selected to illustrate the behavior of the different binder systems in this study: the pumice-based control mixture (PD), the slag-rich mixture (PG40), and the FA-based mixture (PF40). PD was selected because it was the reference mixture, while PG40 and PF40 were chosen because they exhibited the best performance under ambient and high-temperature conditions, respectively. The patterns were recorded at ambient temperature and after thermal exposure to 250 °C and 750 °C in order to track temperature-related phase changes.
Figure 11.
XRD patterns of the PD sample at ambient temperature and after exposure to 250 °C and 750 °C.
Figure 12.
XRD patterns of the PG40 sample at ambient temperature and after exposure to 250 °C and 750 °C.
Figure 13.
XRD patterns of the PF40 sample at ambient temperature and after exposure to 250 °C and 750 °C.
At ambient temperature, the PD mixture was dominated by sharp crystalline peaks, associated with quartz (Q) and other silicate phases typical of volcanic precursors. No noticeable amorphous hump indicated limited geopolymer gel formation. After exposure to 250 °C, only minor variations in peak intensity and background signal were observed. Following heating to 750 °C, the pattern remained predominantly crystalline, with slight peak sharpening observed and no evidence of new reaction phases.
The XRD pattern of PG40 at ambient temperature showed a broad amorphous hump between approximately 25° and 35° (2θ), together with weak crystalline peaks. This hump is associated with the formation of calcium-rich reaction products originating from GGBFS activation. After exposure to 250 °C, the amorphous hump showed a reduction in intensity, reflecting dehydration and partial rearrangement of the reaction gel. Upon heating to 750 °C, the amorphous background decreased further, while crystalline peaks became more distinct.
PF40 exhibited a broad amorphous hump at ambient temperature, accompanied by weak quartz peaks. After heating to 250 °C, the amorphous background became more pronounced, suggesting continued geopolymerization of previously unreacted fly ash particles. Even after exposure to 750 °C, the diffraction pattern retained a predominantly amorphous character, although the appearance of additional crystalline reflections, including mullite (M), indicates partial phase transformation at elevated temperatures.
4. Discussion
4.1. Flowability
The differences in workability observed among all nine mixtures can be attributed to variations in particle shape, surface texture, and reactivity of the precursors. Mixtures that contained GGBFS exhibited a reduction in flowability values as the replacement level increased. This behavior is attributed to the highly pozzolanic and reactive nature of GGBFS, which promotes rapid interaction with the alkaline activator and increases the water demand of the mix. Moreover, the high CaO content of GGBFS accelerates the formation of early calcium-rich reaction products, leading to faster stiffening and a consequent reduction in mix fluidity. These combined effects explain the gradual decrease in workability with increasing GGBFS content [30,31]. Similar reductions in flowability and faster setting behavior have been reported for CaO-rich alkali-activated systems as the calcium content increases [32]. At low replacement levels, these effects are limited, and the flow behavior is mainly controlled by the pumice dust matrix and fixed activator dosage, resulting in similar flow values despite differences in precursor composition.
In contrast, FA-based mixtures showed improved workability, with flow diameter increasing as the FA replacement level increased. This enhancement is mainly associated with the spherical particle shape and smooth surface texture of FA. FA particles act almost like tiny ball bearings within the mixture, lowering interparticle friction and allowing particles to move past one another more easily. These characteristics reduce internal resistance and improve packing efficiency, resulting in higher flowability [33]. The rounded particle shape and smooth surface of FA also contribute to a more gradual reaction rate, which explains why FA mixtures commonly exhibit better workability alongside a slower development of mechanical strength.
4.2. Compressive Strength
4.2.1. Ambient Temperature
Due to its aluminosilicate nature and the lack of a clearly reactive amorphous phase, pumice dust (PD) shows a limited tendency to form N–A–S–H or C–A–S–H gels under mild alkaline conditions. Consequently, PD reacts at a slow rate and provides limited early-age strength under ambient curing, reflecting restricted geopolymerization when used on its own.
In contrast, mixtures containing GGBFS exhibited significantly higher early-age strength. This behavior can be attributed mainly to the high calcium content and high reactivity of GGBFS, which promote rapid dissolution in alkaline media and favor the formation of calcium-rich C–A–S–H gels [34]. In addition, GGBFS particles are finer than PD, which provides a higher surface area that further accelerates reaction kinetics. The dense morphology and Ca-rich composition of GGBFS therefore explain the strong early-age strength and reduced porosity observed in Series A mixtures. Replacing up to 40% of PD with GGBFS resulted in a substantial increase in early-age compressive strength compared with the control mixture.
FA-based mixtures showed a different strength development pattern. Although FA incorporation improved strength compared with PD alone, early-age strength remained lower than that of GGBFS-containing mixtures. This slower strength development can be associated with the low calcium content of FA [35], as well as its spherical particle shape and lower surface area [35,36], which limit early reaction kinetics. In FA-based systems, strength development is governed primarily by the gradual formation of N–A–S–H gel, leading to delayed but continuous strength gain with curing time.
As curing progressed from 7 to 28 days, FA mixtures exhibited a more noticeable relative increase in strength, reflecting their slower but sustained geopolymerization process. By comparison, GGBFS-containing mixtures developed strength rapidly at early ages due to calcium-driven reactions, resulting in a smaller relative strength increase at later ages [37]. The continued strength increase beyond 28 days in Series A indicates that GGBFS also contributed to ongoing reaction and microstructural refinement.
Overall, blending PD with either GGBFS or FA enhanced compressive strength under ambient curing conditions. However, mixtures containing GGBFS consistently performed better at all ages due to the formation of C–A–S–H gel [37,38], whereas FA-based systems relied on slower N–A–S–H gel formation and therefore required longer curing time for strength development.
4.2.2. Elevated Temperatures
The compressive strength results after exposure to elevated temperatures reveal clear differences in the thermal stability of the geopolymer systems depending on the type of precursor incorporated with PD. These differences are mainly governed by the nature of the reaction products formed and their response to heat.
For the control mixture (PD only), the very low compressive strength under ambient conditions indicates limited geopolymerization under the applied curing regime (60 °C for 24 h). The noticeable increase in strength observed after exposure to intermediate temperatures suggests that the initial curing was insufficient to fully activate the pumice particles and that further heating supported additional reaction and densification of the matrix. The strength increase at intermediate temperatures is likely due to possible reactions such as delayed aluminosilicate dissolution, removal of physically bound water, and partial matrix densification. When the temperature was raised to 750 °C, the slight reduction in strength is likely related to microstructural damage and the development of thermal cracks.
In the GGBFS-based mixtures, high compressive strength under ambient conditions is associated with the rapid formation of calcium-rich C–A–S–H gel. However, these mixtures exhibited pronounced strength deterioration at elevated temperatures. This reduction in performance is mainly related to the breakdown of calcium-rich C–A–S–H gels. These phases start to lose stability once the temperature exceeds about 200–300 °C due to dehydration and shrinkage, which leads to microcracking and a corresponding loss in mechanical strength [39]. The more severe degradation that took place at higher GGBFS contents reflects the greater volume of thermally unstable reaction products, which limits the high-temperature durability of calcium-rich geopolymer systems. This explains why mixtures with lower GGBFS content exhibited relatively better residual strength at the highest exposure temperature, despite having lower strength under ambient conditions.
By contrast, the FA-based mixtures responded differently to thermal exposure. The clear strength increase observed after heating to 250 °C indicates that curing at 60 °C did not effectively activate the FA particles. When the temperature was increased, further reaction occurred within the matrix. The observed strength increase was mainly associated with the reaction of previously unreacted particles and the continued formation of geopolymer gel, rather than complete activation during the initial curing stage [40,41,42]. At higher temperatures, FA-based mixtures retained relatively high residual strength, indicating good thermal stability of the low-calcium gel system [43]. Although strength gradually decreased above 250 °C, the deterioration was moderate and not catastrophic, unlike the behavior observed in GGBFS-based mixtures.
Overall, the results highlight distinct differences between calcium-rich and low-calcium geopolymer systems during exposure to heat. Calcium-rich systems dominated by C–A–S–H gel perform well under ambient conditions but experience noticeable degradation at elevated temperatures due to the thermal sensitivity of hydration products [14,43,44,45]. Conversely, FA-based systems dominated by N–A–S–H gel demonstrate superior thermal stability, which makes them more suitable for fire-resistant or high-temperature applications. The noticeable increase in strength after heating in the PD control and FA-based mixtures indicates that the initial curing regime did not fully activate the aluminosilicate precursors and that exposure to moderate temperatures functioned as an additional thermal-curing stage.
4.2.3. Role of Curing Regime
The significant postheating strength gains observed in the PD control and Series B mixtures suggest that the adopted curing regime (60 °C for 24 h) was insufficient to fully activate the aluminosilicate precursors. Heating the specimens to 250 °C effectively acted as a secondary thermal-curing stage, which enhanced geopolymerization and densified the microstructure. To improve early-age strength, future work may consider higher curing temperatures (e.g., 80 °C) or extended curing durations (e.g., 48 h), particularly for low-calcium geopolymers. These results suggest that low-calcium geopolymers may respond better to controlled drying or higher curing temperatures, as additional heat can enhance activation when mild curing is inadequate.
4.3. Variation in Physical Properties
4.3.1. Mass Loss
The relatively low mass loss observed for the PD control mixture is related to the limited degree of reaction in this system, which resulted in fewer reaction products that decomposed upon heating. This behavior is consistent with the low compressive strength of PD-based mixtures and their limited geopolymerization under the applied curing conditions [12,46].
GGBFS-based mixtures exhibited higher mass loss at elevated temperatures, which is linked to the decomposition of calcium-rich reaction products. These products lose physically and chemically bound water and progressively destabilize when heated above about 200–300 °C due to dehydration and decalcification processes. This behavior is consistent with the pronounced reduction in compressive strength observed for Series A mixtures after thermal exposure. Mixtures with higher GGBFS content showed greater mass loss and more severe strength degradation, reflecting the larger volume of thermally unstable calcium-rich phases in these systems [12].
FA-based mixtures exhibited lower mass-loss values than GGBFS-based mixtures in this study at all exposure temperatures. This response is associated with the absence of calcium-rich reaction products that are particularly sensitive to heating. Despite the measured mass loss, FA-based mixtures showed an increase in compressive strength at 250 °C, indicating that mass loss at moderate temperatures was mainly related to the removal of free or weakly bound water rather than structural degradation. Even at 750 °C, FA-based mixtures maintained appreciable residual strength, indicating stable performance of FA-based binders at elevated temperatures [44,47].
4.3.2. Density at Ambient Temperature
The increase in density observed for all mixtures with curing age indicates progressive densification of the geopolymer matrix under ambient conditions. This trend suggests that geopolymerization continued beyond 28 days, even for mixtures that exhibited relatively low compressive strength [6].
The reduction in density with increasing replacement of PD by GGBFS or FA is related to differences in the physical characteristics and reaction products of the binders. In GGBFS-based mixtures, density decreased as the GGBFS content increased, while FA-based mixtures exhibited a more pronounced reduction in density with increasing FA content. Similar density ranges have been reported for FA-containing geopolymer systems [48].
4.3.3. Density at Elevated Temperatures
The density changes observed after exposure to elevated temperatures reflect the combined effects of further matrix densification at moderate temperatures and structural degradation at higher temperatures. The stable or slightly increased density observed at 250 °C suggests continued geopolymerization and matrix compaction induced by moderate thermal exposure [44,49].
Exposure to 500 °C and 750 °C led to a reduction in density, correlating with microstructural damage arising from dehydration, shrinkage, and the development of internal cracks. This effect was more pronounced in GGBFS-based mixtures, where calcium-rich reaction products are more sensitive to thermal exposure. The notable density reduction in PG40 at 750 °C aligns with its significant strength loss and increased mass loss [47].
FA-based mixtures exhibited more stable density values at elevated temperatures, which is consistent with their comparatively stable compressive strength. The limited density change suggests better thermal stability of the low-calcium geopolymer matrix [44,47].
4.3.4. Water Absorption at Ambient Temperature
The differences in water absorption observed among the mixtures are closely related to the degree of reaction and the resulting pore structure of the geopolymer matrix. The slight reduction in absorption with curing age across all mixtures indicates continued geopolymerization and gradual densification of the microstructure [49,50].
GGBFS-based mixtures exhibited lower water absorption compared with FA-based mixtures, which can be attributed to the formation of calcium-rich C–A–S–H gel. This gel tends to fill pores more effectively and produces a denser matrix, thereby limiting water ingress. The reduction in absorption with curing age in Series A reflects ongoing reaction and refinement of the pore network [47].
FA-based mixtures showed comparatively higher water absorption, particularly at higher replacement levels. This behavior is associated with the slower reaction kinetics of low-calcium systems and the predominance of N–A–S–H gel, which generally develops more gradually and may result in a more open pore structure at early ages. Although curing led to a noticeable reduction in absorption, FA-based systems retained higher values due to their lower degree of early matrix densification [44].
4.3.5. Water Absorption at Elevated Temperatures
The variation in water absorption with increasing exposure temperature reflects the thermal stability of the geopolymer matrices and the nature of the reaction products formed in each system.
The reduction in water absorption observed at 250 °C for all mixtures is mainly attributed to further geopolymerization and microstructural densification induced by moderate heating. At this temperature, the removal of free and weakly bound water, combined with continued gel formation, leads to partial pore refinement [44,50]. The different responses of GGBFS- and FA-based mixtures at 250 °C indicate that similar absorption values do not necessarily correspond to similar strength behavior, as the governing reaction mechanisms differ between calcium-rich and low-calcium systems [47].
Heating to 500 °C and 750 °C led to an increase in water absorption, consistent with thermal degradation of the geopolymer matrix. This response was more pronounced in GGBFS-based mixtures, owing to dehydration, shrinkage, and partial breakdown of the calcium-rich C–A–S–H gel, which promotes microcracking and pore coarsening. These microstructural changes increase connectivity within the pore network, leading to higher water uptake [47].
FA-based mixtures exhibited lower absorption values at elevated temperatures, reflecting the higher thermal stability of N–A–S–H gel systems. The aluminosilicate framework formed in FA-based geopolymers is more resistant to thermal decomposition, allowing the pore structure to remain comparatively stable even at 750 °C. As a result, FA-based mixtures maintained lower absorption values and showed less severe deterioration than calcium-rich systems [44,47].
4.4. Phase Evolution and Thermal Stability (XRD Analysis)
The XRD results offer insight into phase evolution and thermal stability across the different geopolymer systems and support the mechanical and durability trends discussed in earlier sections.
For the PD control mixture, the XRD patterns were dominated by crystalline quartz and silicate phases, with no distinct amorphous hump, indicating limited geopolymerization of pumice under the applied curing regime. The minor changes detected after heating to 250 °C suggest that the associated strength gain at this temperature is mainly related to physical effects rather than additional gel formation.
The persistence of a crystalline structure after exposure to 750 °C, combined with strength loss, suggests that thermal shrinkage and microcracking occurred in the absence of a stabilizing geopolymer network [51,52].
At ambient temperature, the PG40 mixture displayed a broad amorphous hump, reflecting extensive GGBFS activation and the development of calcium-rich C–A–S–H gel. The progressive reduction of this amorphous phase after heating reflects dehydration and structural breakdown of the gel. The emergence of clearer crystalline features at 750 °C indicates decomposition of the C–A–S–H network, explaining the severe deterioration in compressive strength, increased mass loss, and reduced density observed for GGBFS-rich mixtures at elevated temperatures [43,53].
The FA-based PF40 mixture showed a broad amorphous hump at ambient temperature, reflecting the slow development of reaction products typical of low-calcium systems. Upon heating to 250 °C, the amorphous contribution increased further, coinciding with continued involvement of unreacted fly ash and the observed strength improvement. At 750 °C, the retention of a predominantly amorphous structure, together with limited crystallization (e.g., mullite formation), indicates good thermal stability of the N–A–S–H–dominated gel, explaining the relatively high residual strength, lower mass loss, and lower absorption observed for FA-based mixtures [54,55].
Overall, the XRD results show that calcium-rich systems dominated by C–A–S–H gel perform well under ambient conditions but display limited thermal stability, whereas low-calcium FA-based systems form thermally stable N–A–S–H networks that provide superior performance at high temperatures. These phase evolution trends are fully consistent with the mechanical, density, mass-loss, and absorption results discussed earlier.
4.5. Potential Applications
Considering the compressive strength measured under ambient conditions and after exposure to elevated temperatures, the geopolymer mixtures produced using pumice dust as the main precursor (PD, PG, and PF series) can be regarded as suitable for selected non-structural building applications. The ability of these mixtures to retain a portion of their mechanical performance after heating supports their potential use in fire-resistant panels and protective building components.
Mixtures incorporating GGBFS developed higher compressive strength under ambient curing, supporting their use in masonry units and other non-load-bearing elements. In contrast, pumice- and FA-rich mixtures showed lower early-age strength but performed better after thermal exposure. This behavior favors their application in lightweight partitions and related elements where fire resistance is prioritized over high load-bearing capacity.
5. Conclusions
This study examined the performance of PD-based geopolymers incorporating GGBFS and FA at replacement levels of 10–40%. In addition, the residual properties of all mixtures were examined after exposure to elevated temperatures (250 °C, 500 °C, and 750 °C).
The inclusion of GGBFS reduced workability, and FA improved it. Under ambient curing, the control mixture showed a very low strength, which confirms that PD was insufficient as the sole binder. GGBFS substantially improved early strength and reduced absorption, especially at 30–40%, due to the formation of dense C–A–S–H gels, and FA-based mixtures showed slower strength development, which is consistent with the delayed formation of N–A–S–H gels.
The behavior under elevated temperatures differed markedly. At 250 °C, the control mix and the FA blends generally showed an increase in strength, and most of the GGBFS mixtures reacted in the opposite way and lost strength. The contrast became much clearer at 750 °C. The FA mixtures retained a notable portion of their strength. That of PF40 still reached 18.1 MPa, whereas those of the GGBFS mixes deteriorated sharply, with the value for PG40 dropping from 36.4 MPa to 5.6 MPa.
The XRD results for the PD, PG40, and PF40 mixes support the overall observations: the phases associated with calcium-rich gels broke down quickly when exposed to high temperatures, whereas the lower-calcium aluminosilicate structures showed much greater stability.
In general, the mixtures containing FA offered the most reliable performance once they were heated, showing a better combination of thermal stability and residual strength. By contrast, the blends with GGBFS performed best under normal ambient curing.
It should be noted that the findings of this study are based on a single curing condition (60 °C for 24 h), and alternative curing temperatures or durations may further influence the absolute performance of pumice-based mixtures.
6. Recommendations
- Use 30–40% GGBFS for improved mechanical performance at ambient temperature.
- Select FA-based geopolymers for applications requiring thermal resistance.
- Increase curing temperature or duration (e.g., 80 °C or 48 h) to improve early activation, especially for pumice- and FA-rich mixes.
- Consider adding a calcium-rich source (cement, CKD) to enhance early strength in low-calcium systems.
Funding
This research received no external funding.
Data Availability Statement
The data presented in this study are available from the corresponding author upon reasonable request.
Acknowledgments
The author would like to thank the Advanced Materials and Nanotechnology Research Center (AMNRC), Najran University, for conducting the X-ray diffraction (XRD) analysis used in this study.
Conflicts of Interest
The author declares no conflict of interest.
References
- Dobiszewska, M.; Wrzecion, K. The Study of the Properties of Concrete Containing Waste Powder as a Fine Aggregate. In Proceedings of the 10th International Conference “Environmental Engineering” (ICEE-2017), Vilnius, Lithuania, 27–28 April 2017. [Google Scholar] [CrossRef]
- Khaiyum, M.Z.; Sarker, S.; Kabir, G. Evaluation of Carbon Emission Factors in the Cement Industry: An Emerging Economy Context. Sustainability 2023, 15, 15407. [Google Scholar] [CrossRef]
- Chen, C.; Xu, R.; Tong, D.; Qin, X.; Cheng, J.; Liu, J.; Zheng, B.; Yan, L.; Zhang, Q. A striking growth of CO2 emissions from the global cement industry driven by new facilities in emerging countries. Environ. Res. Lett. 2022, 17, 044007. [Google Scholar] [CrossRef]
- Fonta, P. The “Paris agreement” on climate change: An opportunity for cement sector to further reduce its CO2 emissions. In Proceedings of the 2017 IEEE-IAS/PCA Cement Industry Technical Conference, Calgary, AB, Canada, 21–25 May 2017. [Google Scholar] [CrossRef]
- Garcia-Lodeiro, I.; Palomo, A.; Fernández-Jiménez, A. An overview of the chemistry of alkali-activated cement-based binders. In Handbook of Alkali-Activated Cements, Mortars and Concretes; Elsevier: Amsterdam, The Netherlands, 2015; pp. 19–47. [Google Scholar] [CrossRef]
- Provis, J.; van Deventer, J. Alkali Activated Materials: State-of-the-Art Report, RILEM TC 224-AAM; RILEM State-of-the-Art Reports; Springer: Dordrecht, The Netherlands, 2014. [Google Scholar] [CrossRef]
- Hutagi, A.; Khadiranaikar, R.B. The effects of GGBFS on strength properties of geopolymer concrete cured at ambient temperature. In Sustainable Construction and Building Materials; Lecture Notes in Civil Engineering; Springer: Singapore, 2019; Volume 25, pp. 369–380. [Google Scholar] [CrossRef]
- Nath, P.; Sarker, P. Geopolymer Concrete for Ambient Curing Condition. 2012. Available online: https://www.researchgate.net/publication/266222256 (accessed on 26 November 2025).
- Rautaray, S.K.; Bera, D.K.; Rath, A.K. The Effects of Ground Granulated Blast-Furnace Slag Blending with Fly Ash Based Self Compacting Geo-polymer Concrete on the Workability and Strength Properties at Ambient Curing. In Recent Developments in Sustainable Infrastructure (ICRDSI-2020)—Structure and Construction Management; Lecture Notes in Civil Engineering; Springer: Singapore, 2022; Volume 221, pp. 567–579. [Google Scholar] [CrossRef]
- Zubair, M.; Mahmood, M.H.; Islam, G.M.S. Geopolymer-Based Building Blocks Using Construction and Demolition Waste. In Lecture Notes in Civil Engineering, Proceedings of the 6th International Conference on Advances in Civil Engineering; Springer: Singapore, 2024; Volume 368, pp. 387–399. [Google Scholar] [CrossRef]
- Yilmazoglu, A.; Yildirim, S.T.; Yıldız, S.; Behçet, Ö.F. Effect of GGBS Content and Water/Geopolymer Solid Ratio on the Mechanical, Elevated Temperature Resistance, and Sorptivity Properties of FA/GGBS-Based Geopolymer Concrete. J. Mater. Civ. Eng. 2024, 36, 04024032. [Google Scholar] [CrossRef]
- Talaat Mohammed, D.; Yaltay, N. Strength and elevated temperature resistance properties of the geopolymer paste produced with ground granulated blast furnace slag and pumice powder. Ain Shams Eng. J. 2024, 15, 102483. [Google Scholar] [CrossRef]
- Boutkhil, H.; Fellak, S.; Alehyen, S.; Bari, A.; Fidan, H. Physico-chemical properties and durability of a fly-ash-based geopolymer. Open Chem. 2024, 22, 20240048. [Google Scholar] [CrossRef]
- Hager, I.; Sitarz, M.; Mroz, K. Behaviour of Fly ash Geopolymer at High Temperature. In Proceedings of the 2020 5th International Conference on Smart and Sustainable Technologies (SpliTech), Split, Croatia, 23–26 September 2020. [Google Scholar] [CrossRef]
- Cao, Y.; Tao, Z.; Pan, Z.; Murphy, T.; Wuhrer, R. Fire resistance of fly ash-based geopolymer concrete blended with calcium aluminate cement. In Proceedings of the 1st International Conference on Structural Engineering Research, Sydney, Australia, 20–22 November 2017; pp. 210–220. Available online: https://researchers.westernsydney.edu.au/en/publications/fire-resistance-of-fly-ash-based-geopolymer-concrete-blended-with/ (accessed on 23 December 2025).
- Shaikh, F.U.A.; Vimonsatit, V. Compressive strength of fly-ash-based geopolymer concrete at elevated temperatures. Fire Mater. 2015, 39, 174–188. [Google Scholar] [CrossRef]
- Sharma, A.; Singh, P.; Kapoor, K. Effect of GGBS on Fly Ash Based Geopolymer Mortar at Ambient and Heat Curing. Macromol. Symp. 2023, 410, 2100321. [Google Scholar] [CrossRef]
- Safie Mahdi Oleiwi, S. Compressive Strength of Mortar with Partial Replacement of Cement by Fly Ash and GGBFS. Diyala J. Eng. Sci. 2021, 14, 147–156. [Google Scholar] [CrossRef]
- Binici, H. Engineering properties of geopolymer incorporating slag, fly ash, silica sand and pumice. Adv. Civ. Environ. Eng. 2013, 3, 108–123. [Google Scholar]
- Arun, B.R.; Vedamurthy, N.H.; Nagaraja, P.S.; Mahalingasharma, S.J. The Effect on Mechanical and Microstructure Properties by Varying GGBS Content and NaOH Solution Concentration in Alkaline Solution of Fly-Ash-Based Self-compacting Geopolymer Concrete. In Recent Advances in Civil Engineering; Lecture Notes in Civil Engineering; Springer: Singapore, 2023; Volume 256, pp. 169–184. [Google Scholar] [CrossRef]
- Kumar, A.; Rajkishor; Kumar, N.; Chhotu, A.K.; Kumar, B. Effect of Ground Granulated Blast Slag and Temperature Curing on the Strength of Fly Ash-based Geopolymer Concrete. Eng. Technol. Appl. Sci. Res. 2024, 14, 13319–13323. [Google Scholar] [CrossRef]
- Ranga Ramanujam, I.V.; Ramachandra Reddy, K.; Venkata Ramana, N. Evaluation of Pozzolanic activity and lime reactivity of fly ash, GGBS, mica powder and pumice as binders. In Proceedings of the International Conference on Sustainable Goals in Materials, Energy and Environment (ICSMEE’24), Kottayam, Kerala, India, 25–26 April 2024; Volume 529, p. 01008. [Google Scholar] [CrossRef]
- Oti, J.; Adeleke, B.O.; Anowie, F.X.; Kinuthia, J.M.; Ekwulo, E. Mechanical Properties of a Sustainable Low-Carbon Geopolymer Concrete Using a Pumice-Derived Sodium Silicate Solution. Materials 2024, 17, 1792. [Google Scholar] [CrossRef]
- Bagci, C.; Kafkas, D.; Samuel, D.M.; Kriven, W.M. Sustainable activation of pumice with partially variable substitutions of metakaolin and/or fumed silica. Int. J. Appl. Ceram. Technol. 2024, 21, 818–828. [Google Scholar] [CrossRef]
- Bakis, A.; Isik, E.; El, A.A.; Ülker, M. Mechanical Properties of Reactive Powder Concretes Produced Using Pumice Powder. J. Wuhan Univ. Technol. Sci. Ed. 2019, 34, 353–360. [Google Scholar] [CrossRef]
- Alanazi, H.; Hu, J.; Kim, Y.R. Effect of slag, silica fume, and metakaolin on properties and performance of alkali-activated fly ash cured at ambient temperature. Constr. Build. Mater. 2019, 197, 747–756. [Google Scholar] [CrossRef]
- ASTM C1437; Standard Test Method for Flow of Hydraulic Cement Mortar. ASTM International: West Conshohocken, PA, USA, 2013.
- ASTM C109/C109M; Standard Test Method for Compressive Strength of Hydraulic Cement Mortars (Using 2-in. or [50-mm] Cube Specimens). ASTM International: West Conshohocken, PA, USA, 2020.
- ASTM C642; Standard Test Method for Density, Absorption, and Voids in Hardened Concrete. ASTM International: West Conshohocken, PA, USA, 2021.
- Li, B.; Sun, Q.; Chen, X.; Xu, Z.; Yang, L. Preparation and microstructure analysis of alkali-activated ground granulated blast furnace slag-steel slag grouting materials. Case Stud. Constr. Mater. 2024, 20, e03235. [Google Scholar] [CrossRef]
- Al-Majidi, M.H.; Lampropoulos, A.; Cundy, A. Experimental investigation of the effect of silica fume on geopolymer mortar cured under ambient temperature. In Rheological Measurements on Building Materials 2016, Proceedings of the 25th Workshop and Colloquium, Regensburg, Germany, 2–3 March 2016; Tredition: Regensburg, Germany, 2016; pp. 20–36. [Google Scholar]
- Rashad, A.M. A Concise on the Effect of Calcium Oxide on the Properties of Alkali-Activated Materials: A Manual for Civil Engineers. Int. J. Concr. Struct. Mater. 2023, 17, 72. [Google Scholar] [CrossRef]
- Thiyagarajan, H.; Mapa, M.; Kushwaha, R. Investigation on the Rheological Behavior of Fly Ash Cement Composites at Paste and Concrete Level. J. Inst. Eng. (India) Ser. A 2018, 99, 295–301. [Google Scholar] [CrossRef]
- Joseph, D. Geopolymer Chemistry and Applications, 5th ed.; Davidovits, J., Ed.; Geopolymer Institute: Saint-Quentin, France, 2008; Volume 1, pp. 1–698. Available online: https://www.researchgate.net/publication/265076752 (accessed on 26 November 2025).
- Das, S.K.; Yudhbir. Geotechnical Properties of Low Calcium and High Calcium Fly Ash. Geotech. Geol. Eng. 2006, 24, 249–263. [Google Scholar] [CrossRef]
- Hardjito, D.; Wallah, S.E.; Sumajouw, D.M.J.; Rangan, B.V. Fly Ash-Based Geopolymer Concrete. Aust. J. Struct. Eng. 2005, 6, 77–86. [Google Scholar] [CrossRef]
- Kumar, S.; Kumar, R.; Mehrotra, S.P. Influence of granulated blast furnace slag on the reaction, structure and properties of fly ash based geopolymer. J. Mater. Sci. 2010, 45, 607–615. [Google Scholar] [CrossRef]
- Cheng, A.; Huang, R.; Wu, J.K.; Chen, C.H. Influence of GGBS on durability and corrosion behavior of reinforced concrete. Mater. Chem. Phys. 2005, 93, 404–411. [Google Scholar] [CrossRef]
- Amiri, M.; Aryanpour, M.; Porhonar, F. Microstructural study of concrete performance after exposure to elevated temperatures via considering C–S–H nanostructure changes. High Temp. Mater. Process. 2022, 41, 224–237. [Google Scholar] [CrossRef]
- Kong, D.L.Y.; Sanjayan, J.G.; Sagoe-Crentsil, K. Comparative performance of geopolymers made with metakaolin and fly ash after exposure to elevated temperatures. Cem. Concr. Res. 2007, 37, 1583–1589. [Google Scholar] [CrossRef]
- Zhang, H.Y.; Kodur, V.; Wu, B.; Cao, L.; Qi, S.L. Comparative Thermal and Mechanical Performance of Geopolymers derived from Metakaolin and Fly Ash. J. Mater. Civ. Eng. 2015, 28, 04015092. [Google Scholar] [CrossRef]
- Zhang, H.Y.; Kodur, V.; Wu, B.; Yan, J.; Yuan, Z.S. Effect of temperature on bond characteristics of geopolymer concrete. Constr. Build. Mater. 2018, 163, 277–285. [Google Scholar] [CrossRef]
- Provis, J.L.; Van Deventer, J.S.J. Geopolymers: Structures, Processing, Properties and Industrial Applications; Woodhead Publishing: Cambridge, UK, 2009; pp. 1–454. [Google Scholar] [CrossRef]
- Bakharev, T. Thermal behaviour of geopolymers prepared using class F fly ash and elevated temperature curing. Cem. Concr. Res. 2006, 36, 1134–1147. [Google Scholar] [CrossRef]
- Rowles, M.; O’Connor, B. Chemical optimisation of the compressive strength of aluminosilicate geopolymers synthesised by sodium silicate activation of metakaolinite. J. Mater. Chem. 2003, 13, 1161–1165. [Google Scholar] [CrossRef]
- Verma, M.; Meena, R.K.; Singh, I.; Gupta, N.; Saxena, K.K.; Reddy, M.M.; Salem, K.H.; Salmaan, U. Investigation on the impact of elevated temperature on sustainable geopolymer composite. Adv. Mech. Eng. 2023, 15, 1–16. [Google Scholar] [CrossRef]
- Van Riessen, A.; Rickard, W.; Sanjayan, J. Thermal properties of geopolymers. In Geopolymers: Structures, Processing, Properties and Industrial Applications; Elsevier: Amsterdam, The Netherlands, 2009; pp. 315–342. [Google Scholar] [CrossRef]
- Wang, R.; Wang, J. The effects of calcium content on molecular structure and mechanical properties of sodium aluminosilicate hydrate (NASH) gels by molecular dynamics simulation. J. Non-Cryst. Solids 2021, 551, 120411. [Google Scholar] [CrossRef]
- Mohamed, R.; Abdullah, M.M.A.B.; Razak, R.A.; Lee, T.L.; Imjai, T.; Mydin, M.A.O.; Yahya, Z.; Arokiasamy, P.; Hao, D.L.C. Review: Geopolymers for fire protection applications. J. Mater. Sci. 2025, 60, 18678–18709. [Google Scholar] [CrossRef]
- Aziz, I.H.; Al Bakri Abdullah, M.M.; Yong, H.C.; Ming, L.Y.; Hussin, K.; Surleva, A.; Azimi, E.A. Manufacturing parameters influencing fire resistance of geopolymers: A review. Proc. Inst. Mech. Eng. Part L J. Mater. Des. Appl. 2019, 233, 721–733. [Google Scholar] [CrossRef]
- Yadollahi, M.M.; Benli, A.; Demirboğa, R. Effects of elevated temperature on pumice based geopolymer composites. Plast. Rubber Compos. 2015, 44, 226–237. [Google Scholar] [CrossRef]
- Duxson, P.; Fernández-Jiménez, A.; Provis, J.L.; Lukey, G.C.; Palomo, A.; van Deventer, J.S.J. Geopolymer technology: The current state of the art. J. Mater. Sci. 2007, 42, 2917–2933. [Google Scholar] [CrossRef]
- Alonso, C.; Fernandez, L. Dehydration and rehydration processes of cement paste exposed to high temperature environments. J. Mater. Sci. 2004, 39, 3015–3024. [Google Scholar] [CrossRef]
- Hou, D.; Zhang, Y.; Yang, T.; Zhang, J.J.; Pei, H.; Zhang, J.J.; Jiang, J.; Li, T. Molecular structure, dynamics, and mechanical behavior of sodium aluminosilicate hydrate (NASH) gel at elevated temperature: A molecular dynamics study. Phys. Chem. Chem. Phys. 2018, 20, 20695–20711. [Google Scholar] [CrossRef] [PubMed]
- Duxson, P.; Lukey, G.C.; van Deventer, J.S.J. Thermal evolution of metakaolin geopolymers: Part 1—Physical evolution. J. Non-Cryst. Solids 2006, 352, 5541–5555. [Google Scholar] [CrossRef]
Disclaimer/Publisher’s Note: The statements, opinions and data contained in all publications are solely those of the individual author(s) and contributor(s) and not of MDPI and/or the editor(s). MDPI and/or the editor(s) disclaim responsibility for any injury to people or property resulting from any ideas, methods, instructions or products referred to in the content. |
© 2026 by the author. Licensee MDPI, Basel, Switzerland. This article is an open access article distributed under the terms and conditions of the Creative Commons Attribution (CC BY) license.












