Prediction of Rail Wear Under Different Railway Track Geometries Using Artificial Neural Networks
Abstract
1. Introduction
2. Rail Wear Calculation
2.1. Multibody Dynamic Model
2.2. Rail Wear Model
2.3. Model Verification
3. Artificial Neural Networks for Rail Wear Prediction
3.1. Artificial Neural Network (ANN)
3.2. An Improved ANN Based on PSO (PSO-ANN)
| Algorithm 1: The Pseudocode of the Optimization Process [35] |
|
3.3. Rail Wear Prediction Based on PSO-ANN
4. Numerical Experiment Results and Discussions
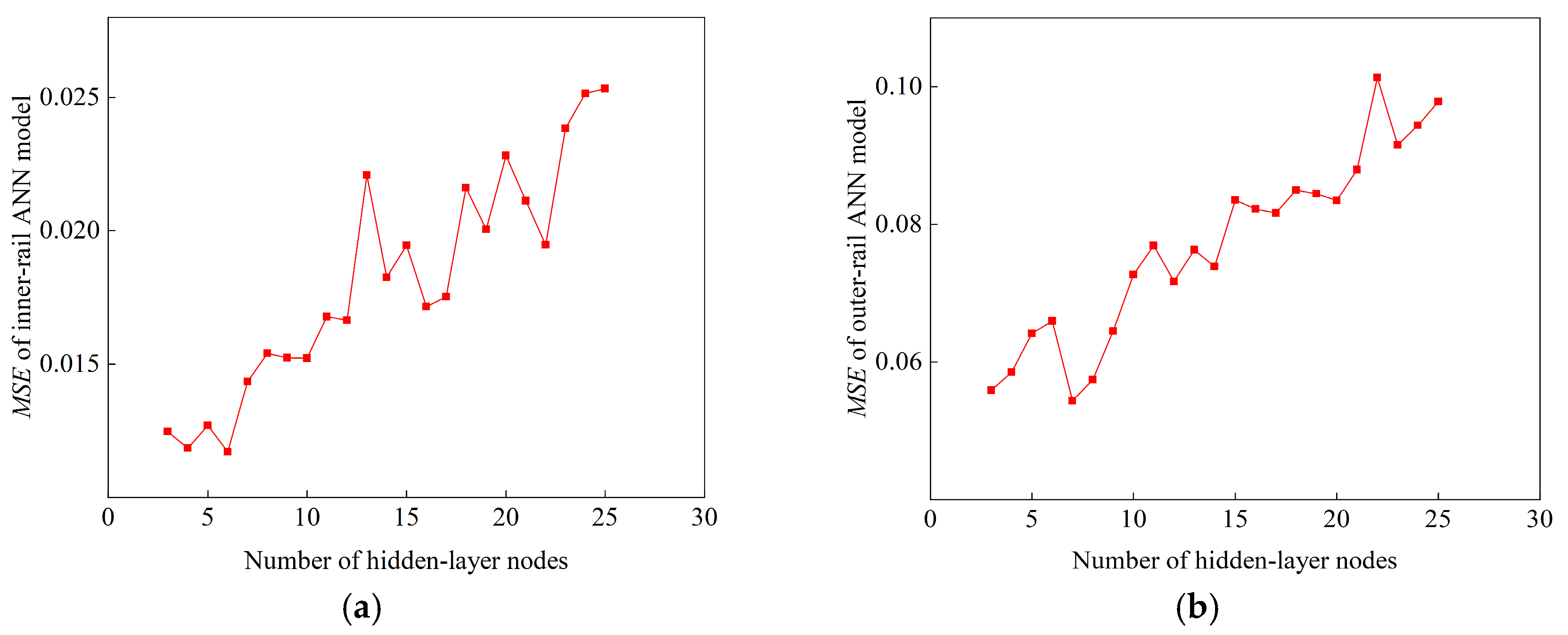
4.1. Prediction Accuracy of the ANN
4.2. Prediction of the PSO-ANN
4.3. Sensitivity Analyses
- Different geometry parameters have varying effects on rail wear, and for the same geometry parameter, the impacts on the inner and outer rail wear also differ.
- For the inner-rail, transition curve length has the greatest influence, followed by curve radius and superelevation, while the effects of circular curve length and gradient algebraic difference are minimal.
- For the outer rail, the curve radius has the most significant individual effect and interaction with other parameters, as lateral wear, largely influenced by curve radius, is a major factor in outer-rail wear. The effects of transition curve length, superelevation, and gradient are comparatively smaller, with curve length and algebraic gradient difference having the least impact.
5. Conclusions
- A PSO-ANN model was developed to predict the rail wear under different railway track geometries. The input data were the geometric parameters of the railway, which are curve radius, circular curve length, transition curve length, superelevation, gradient, and gradient algebraic difference, while the output data were the rail wear. The PSO-ANN model was able to predict the wear of the inner rail and outer rail with accuracies of 96.7% and 98.13%, demonstrating the good performance of the model. Compared with the conventional ANN model, the prediction errors can be reduced by 22.54% and 55.69%, respectively.
- Sobol analysis is used to assess the sensitivities of track geometry parameters to rail wear. The results indicate that for the inner rail, the primary factors influencing rail wear are the curve radius, transition curve length, and superelevation, while for the outer rail, the curve radius is the most significant factor.
Author Contributions
Funding
Data Availability Statement
Acknowledgments
Conflicts of Interest
References
- Liu, J.; Wang, W.; Liu, Q. Matching Characteristics between Four Kinds of Wheel Steels and U71Mn Hot-Rolled Rail. J. Southwest Jiaotong Univ. 2015, 50, 1130–1135. (In Chinese) [Google Scholar]
- Wang, J.; Chen, X.; Li, X.; Wu, Y. Influence of heavy haul railway curve parameters on rail wear. Eng. Fail. Anal. 2015, 57, 511–520. [Google Scholar] [CrossRef]
- Ignesti, M.; Malvezzi, M.; Marini, L.; Meli, E.; Rindi, A. Development of a wear model for the prediction of wheel and rail profile evolution in railway systems. Wear 2012, 284, 1–17. [Google Scholar] [CrossRef]
- Wang, P.; Wang, S.; Si, D. Numerical prediction of rail wear development in high-speed railway turnouts. Proceedings of the Institution of Mechanical Engineers. J. Rail Rapid Transit 2020, 234, 1299–1318. [Google Scholar] [CrossRef]
- Li, X.; Yang, T.; Zhang, J.; Cao, Y.; Wen, Z.; Jin, X. Rail wear on the curve of a heavy haul line-Numerical simulations and comparison with field measurements. Wear 2016, 366–367, 131–138. [Google Scholar] [CrossRef]
- Sun, Y.; Guo, Y.; Zhai, W. Prediction of rail non-uniform wear-influence of track random irregularity. Wear 2019, 420, 235–244. [Google Scholar] [CrossRef]
- Wen, B.; Wang, S.; Tao, G.; Li, J.; Ren, D.; Wen, Z. Prediction of rail profile evolution on metro curved tracks: Wear model and validation. Int. J. Rall Transp. 2022, 11, 811–832. [Google Scholar] [CrossRef]
- Wang, H.; Zhao, Y.; Qi, Y.; Cao, Y. Effect of line parameters on wheel wear of heavy–haul freight vehicle. Ind. Lubr. Tribol. 2024, 76, 419–430. [Google Scholar] [CrossRef]
- Meghoe, A.; Loendersloot, R.; Tinga, T. Rail wear and remaining life prediction using meta-models. Int. J. Rail Transp. 2020, 8, 1–26. [Google Scholar] [CrossRef]
- Yin, X.; Kou, L.; Wei, X. Side wear prediction of a subway outer rail on small radius curves based on system dynamics of discrete supported track. Discret. Dyn. Nat. Soc. 2022, 2022, 7037655. [Google Scholar] [CrossRef]
- Zhou, Y. Analysis of rail wear Influencing factors and study on prediction of wear. Transp. Energy Conserv. Environ. Prot. 2018, 14, 8–10. (In Chinese) [Google Scholar] [CrossRef]
- Wang, P.; Wang, C.; Wang, W.; Liu, Q. Application of BP ANN optimized by hybrid algorithm based on POS in wear volume prediction of rail steel. J. Mech. Des. 2013, 30, 15–20. (In Chinese) [Google Scholar] [CrossRef]
- Gao, T.; Wang, Q.; Yang, K.; Yang, C.; Wang, P.; He, Q. Estimation of rail renewal period in small radius Curves: A data and mechanics integrated approach. Measurement 2021, 185, 9. [Google Scholar] [CrossRef]
- Jin, X.; Wen, Z.; Xiao, X.; Zhou, Z. A numerical method for prediction of curved rail wear. Multibody Syst. Dyn. 2007, 18, 531–557. [Google Scholar] [CrossRef]
- Liu, Q.; Tao, G.; Liang, H.; Lu, C.; Wen, Z.; Long, H. Influence of metro wheel polygonal wear on dynamic properties of wheel-rail system. J. Cent. South Univ. (Sci. Technol.) 2022, 53, 3222–3231. (In Chinese) [Google Scholar] [CrossRef]
- Wang, Z.; Lei, Z. Development characteristics of rail wear under different curve radius of metro. Railw. Eng. 2020, 60, 134–137. (In Chinese) [Google Scholar]
- Wang, L.; Zhang, X.; Liu, H.; Han, Y.; Zhu, Z.; Cai, C. Global reliability analysis of running safety of a train traversing a bridge under crosswinds. J. Wind. Eng. Ind. Aerodyn. 2022, 224, 104979. [Google Scholar] [CrossRef]
- Li, Z.; Kalker, J. Simulation of severe wheel-rail wear. WIT Press. 1998, 37, 393–402. [Google Scholar]
- De Arizon, J.; Verlinden, O.; Dehombreux, P. Prediction of wheel wear in urban railway transport: Comparison of existing models. Veh. Syst. Dyn. 2007, 45, 849–866. [Google Scholar] [CrossRef]
- Wang, S.; Qian, Y.; Feng, Q.; Guo, F.; Rizos, D.; Luo, X. Investigating high rail side wear in urban transit track through numerical simulation and field monitoring. Wear 2021, 470, 203643. [Google Scholar] [CrossRef]
- Piotrowski, J.; Kik, W. A simplified model of wheel/rail contact mechanics for non-Hertzian problems and its application in rail vehicle dynamic simulations. Veh. Syst. Dyn. 2008, 46, 27–48. [Google Scholar] [CrossRef]
- Sun, Y.; Ling, L. An optimal tangential contact model for wheel-rail non-Hertzian contact analysis and its application in railway vehicle dynamics simulation. Veh. Syst. Dyn. 2021, 60, 3240–3268. [Google Scholar] [CrossRef]
- TG/GW102-2023; China State Railway Group Co., Ltd. Rules for the Repair of General-Speed Railway Lines. China Railway Publishing House: Beijing, China, 2023.
- TG/GW121-2014; China State Railway Group Co., Ltd. Safety Regulations for High-Speed Railway Maintenance (Trial). China Railway Publishing House: Beijing, China, 2014.
- Kramer, M. Nonlinear principal component analysis using autoassociative neural networks. Aiche J. 1991, 37, 233–243. [Google Scholar] [CrossRef]
- Hornik, K.; Stinchcombe, M.; White, H. Multilayer feedforward networks are universal approximators. Neural Netw. 1989, 2, 359–366. [Google Scholar] [CrossRef]
- Liu, X.; Wang, Z.; Li, J. Global Sensitivity Analysis Method for Parameters of Storm Water Management Model Based on BP Neural Network. China Water Wastewater 2021, 37, 8. (In Chinese) [Google Scholar] [CrossRef]
- Rubio, J.D. Stability Analysis of the Modified Levenberg-Marquardt Algorithm for the Artificial Neural Network Training. IEEE Trans. Neural Netw. Learn. Syst. 2021, 32, 3510–3524. [Google Scholar] [CrossRef]
- Wang, M.; Jia, S.; Chen, E.; Yang, S.; Liu, P.; Qi, Z. Research and application of neural network for tread wear prediction and optimization. Mech. Syst. Signal Process. 2022, 162, 108070. [Google Scholar] [CrossRef]
- Ren, C.; An, N.; Wang, J.; Li, L.; Hu, B.; Shang, D. Optimal parameters selection for BP neural network based on particle swarm optimization: A case study of wind speed forecasting. Knowl.-Based Syst. 2014, 56, 226–239. [Google Scholar] [CrossRef]
- Huang, K.; Zhang, W.; Zhang, Y. Research on shield parameter prediction based on the PSO-RF hybrid algorithm. J. Transp. Sci. Eng. 2024, 40, 117–127. [Google Scholar] [CrossRef]
- Ding, F.; Jia, X.; Hong, T.; Xu, Y. Flow stress prediction model of 6061 aluminum alloy sheet based on GA-BP and PSO-BP neural networks. Rare Met. Mater. Eng. 2020, 49, 1840–1853. [Google Scholar]
- Pu, H.; Song, T.; Schonfeld, P.; Li, W.; Zhang, H.; Hu, J.; Peng, X.; Wang, J. Mountain railway alignment optimization using stepwise & hybrid particle swarm optimization incorporating genetic operators. Appl. Soft Comput. 2019, 78, 41–57. [Google Scholar] [CrossRef]
- Shi, Y.; Eberhart, R. A modified particle swarm optimizer. In Proceedings of the 1998 IEEE World Conference on Evolutionary Computation, Anchorage, AK, USA, 4–9 May 1998. [Google Scholar]
- Kadadevaramath, R.S.; Mohanasundaram, K.M.; Rameshkumar, K.; Chandrashekhar, B. Production and distribution scheduling of Supply Chain structure using intelligent Particle Swarm Optimisation algorithm. Int. J. Intell. Syst. Technol. Appl. 2009, 6, 249–268. [Google Scholar] [CrossRef]
- Ma, X.; Yin, W.; Wang, Y.; Liu, L.; Wang, X.; Qian, Y. Fatigue failure analysis of U75V rail material under Ⅰ + Ⅱ mixed-mode loading: Characterization using peridynamics and experimental verification. Int. J. Fatigue 2024, 185, 108371. [Google Scholar] [CrossRef]
- Ma, X.; Wang, Y.; Wang, X.; Yin, W.; Liu, L.; Xu, J. Investigation on fatigue crack propagation behaviour of U71Mn and U75V rails using peridynamics. Eng. Fract. Mech. 2023, 281, 109097. [Google Scholar] [CrossRef]
- Zhu, X.; Xu, J.; Li, Y.; Hou, M.; Qian, Y.; Wang, P.; Chen, J.; Yan, Z. Load spectrum extrapolation method for fatigue damage of the turnout based on kernel density estimation. Eng. Fail. Anal. 2024, 160, 108169. [Google Scholar] [CrossRef]
- GB 50157-2013; Ministry of Housing and Urban-Rural Development of the People’s Republic of China. Code for Design of Metro. China Architecture & Building Press: Beijing, China, 2014.
- Jiang, H.; Gao, L. Optimizing the Rail Profile for High-Speed Railways Based on Artificial Neural Network and Genetic Algorithm Coupled Method. Sustainability 2020, 12, 658. [Google Scholar] [CrossRef]
- Sobol′, I. Global sensitivity indices for nonlinear mathematical models and their monte carlo estimates. Math. Comput. Simul. 2001, 55, 271–280. [Google Scholar] [CrossRef]
- Saltelli, A.; Annoni, P.; Azzini, I.; Campolongo, F.; Ratto, M.; Tarantola, S. Variance based sensitivity analysis of model output. Design and estimator for the total sensitivity index. Comput. Phys. Commun. 2010, 181, 259–270. [Google Scholar] [CrossRef]
- Pineda-Jaramillo, J.; Martínez-Fernández, P.; Villalba-Sanchis, I.; Salvador-Zuriaga, P.; Insa-Franco, R. Predicting the traction power of metropolitan railway lines using different machine learning models. Int. J. Rail Transp. 2020, 9, 461–478. [Google Scholar] [CrossRef]
- Song, T.; Pu, H.; Yang, T.Y.; Schonfeld, P.; Li, W.; Hu, J. Optimizing net present values of risk avoidance for mountain railway alignments with seismic performance evaluation. Comput.-Aided Civ. Infrastruct. Eng. 2024, 39, 944–962. [Google Scholar] [CrossRef]
- Song, T.; Pu, H.; Yang, T.Y.; Schonfeld, P.; Wan, X.; Li, W.; Zhu, Z.; Zhang, H.; Hu, J. Modeling earthquake-induced landslide risk for mountain railway alignment optimization. ASCE-ASME J. Risk Uncertain. Eng. Syst. Part A Civ. Eng. 2024, 10, 04024005. [Google Scholar] [CrossRef]
















| Parameters | Values |
|---|---|
| Frame mass (kg) | 4420 |
| Vehicle mass (kg) | 26,040 |
| Length of vehicle (m) | 22.0 |
| Width of vehicle (m) | 3.0 |
| Wheel-base bogie (m) | 2.5 |
| Vehicle spacing (m) | 15.7 |
| Moment of inertia of body pitching (kg·m2) | 1.1 × 106 |
| Moment of inertia of bogie pitching (kg·m2) | 4902 |
| The primary spring vertical damping (Ns/m) | 2400 |
| The secondary spring vertical damping (Ns/m) | 23,000 |
| vehicle speed (km/h) | 60 |
| Wheel-Rail Materials | Tensile Strength/MPa | Yield Strength/MPa | Brinell Hardness/HB |
|---|---|---|---|
| Rail | 880~950 | 460~530 | 260~300 |
| Wheel | 800~860 | 400~480 | 270~300 |
Disclaimer/Publisher’s Note: The statements, opinions and data contained in all publications are solely those of the individual author(s) and contributor(s) and not of MDPI and/or the editor(s). MDPI and/or the editor(s) disclaim responsibility for any injury to people or property resulting from any ideas, methods, instructions or products referred to in the content. |
© 2025 by the authors. Licensee MDPI, Basel, Switzerland. This article is an open access article distributed under the terms and conditions of the Creative Commons Attribution (CC BY) license (https://creativecommons.org/licenses/by/4.0/).
Share and Cite
Zhang, H.; Shuai, W.; Liu, L.; Zhang, P.; Zhang, K.; Lin, H.; Zhang, Y.; Li, W. Prediction of Rail Wear Under Different Railway Track Geometries Using Artificial Neural Networks. Infrastructures 2025, 10, 154. https://doi.org/10.3390/infrastructures10070154
Zhang H, Shuai W, Liu L, Zhang P, Zhang K, Lin H, Zhang Y, Li W. Prediction of Rail Wear Under Different Railway Track Geometries Using Artificial Neural Networks. Infrastructures. 2025; 10(7):154. https://doi.org/10.3390/infrastructures10070154
Chicago/Turabian StyleZhang, Hong, Weichen Shuai, Linya Liu, Pengfei Zhang, Kejun Zhang, Hongsong Lin, Yuke Zhang, and Wei Li. 2025. "Prediction of Rail Wear Under Different Railway Track Geometries Using Artificial Neural Networks" Infrastructures 10, no. 7: 154. https://doi.org/10.3390/infrastructures10070154
APA StyleZhang, H., Shuai, W., Liu, L., Zhang, P., Zhang, K., Lin, H., Zhang, Y., & Li, W. (2025). Prediction of Rail Wear Under Different Railway Track Geometries Using Artificial Neural Networks. Infrastructures, 10(7), 154. https://doi.org/10.3390/infrastructures10070154

