Does Father Christmas Have a Distinctive Facial Phenotype?
Abstract
1. Introduction
1.1. Father Christmas
1.2. The Face of Father Christmas
1.3. Clinical Assessment of the Face
1.4. Assessing the Face of Father Christmas
2. Materials and Methods
2.1. Examining the Facial Phenotype of Father Christmas
- Does Father Christmas have a facial phenotype that is distinguishable from other adult men?
- Does Father Christmas have a facial phenotype that is distinguishable from other elderly bearded men?
2.2. Study Group Populations
2.3. Facial Feature Extraction
2.4. Support Vector Machine
2.5. Facial Averages
3. Results
3.1. Groups
3.2. Facial Feature Space
3.3. Support Vector Machine Results
4. Discussion
4.1. Does Father Christmas have a Distinctive Facial Phenotype?
4.2. Validation of the Methods Used
4.3. The Origins of Father Christmas
4.4. Consideration of Bias
4.5. Other Limitations
4.6. Study Implications and Applications
5. Conclusions
Author Contributions
Funding
Institutional Review Board Statement
Informed Consent Statement
Data Availability Statement
Acknowledgments
Conflicts of Interest
References
- Jerman, T.A. Santa Claus Worldwide: A History of St. Nicholas and Other Holiday Gift-Bringers; McFarland: Jefferson, NC, USA, 2020. [Google Scholar]
- Hancock, P. ‘Being Santa Claus’: The pursuit of recognition in interactive service work. Work Employ. Soc. 2013, 27, 1004–1020. [Google Scholar] [CrossRef]
- Jackson, M.P. Who Wrote “The Night Before Christmas”? Analyzing the Clement Clarke Moore Vs. Henry Livingston Question; McFarland: Jefferson, NC, USA, 2016. [Google Scholar]
- Busch, G.; Theobald, M.; Hayes, M. Young children as theory makers and co-creators of cultural practices: Challenging the authenticity of Santa. Eur. Early Child. Educ. Res. J. 2022, 27, 1–6. [Google Scholar] [CrossRef]
- Kobza, R.; Duru, F.; Jenni, R. Santa Claus in the echo lab. Circulation 2003, 108, 3164. [Google Scholar] [CrossRef] [PubMed]
- Naqvi, S.; Hoskens, H.; Wilke, F.; Weinberg, S.M.; Shaffer, J.R.; Walsh, S.; Shriver, M.D.; Wysocka, J.; Claes, P. Decoding the human face: Challenges and progress in understanding the genetics of craniofacial morphology. Annu. Rev. Genom. Hum. Genet. 2022, 23, 383–412. [Google Scholar] [CrossRef]
- Hurst, A.C.; Robin, N.H. Dysmorphology in the era of genomic diagnosis. J. Pers. Med. 2020, 10, 18. [Google Scholar] [CrossRef]
- Robinson, P.N.; Köhler, S.; Bauer, S.; Seelow, D.; Horn, D.; Mundlos, S. The human phenotype ontology: A Tool for annotating and analyzing human hereditary disease. Am. J. Hum. Genet. 2008, 83, 610–615. [Google Scholar] [CrossRef]
- Hsieh, T.C.; Bar-Haim, A.; Moosa, S.; Ehmke, N.; Gripp, K.W.; Pantel, J.T.; Danyel, M.; Mensah, M.A.; Horn, D.; Rosnev, S.; et al. GestaltMatcher facilitates rare disease matching using facial phenotype descriptors. Nat. Genet. 2022, 54, 349–357. [Google Scholar] [CrossRef]
- Baker, B.; Saari, A. A picture speaks a thousand words? Vision, visuality and authorization. Educ. Philos. Theory 2020, 52, 159–169. [Google Scholar] [CrossRef]
- The 1000 Genomes Project Consortium. A global reference for human genetic variation. Nature 2015, 526, 68–74. [Google Scholar] [CrossRef]
- Randler, C. Is Santa Claus an evening owl? Chronobiol. Int. 2018, 36, 445–448. [Google Scholar] [CrossRef]
- Van der Donk, R.; Jansen, S.; Schuurs-Hoeijmakers, J.H.; Koolen, D.A.; Goltstein, L.C.; Hoischen, A.; Brunner, H.G.; Kemmeren, P.; Nellåker, C.; Vissers, L.E.; et al. Next-generation phenotyping using computer vision algorithms in rare genomic neurodevelopmental disorders. Genet. Med. 2019, 21, 1719–1725. [Google Scholar] [CrossRef] [PubMed]
- Ferry, Q.; Steinberg, J.; Webber, C.; FitzPatrick, D.R.; Ponting, C.P.; Zisserman, A.; Nellåker, C. Diagnostically relevant facial gestalt information from ordinary photos. eLife 2014, 3, e02020. [Google Scholar] [CrossRef] [PubMed]
- Amos, B.; Ludwiczuk, B.; Satyanarayanan, M. Openface: A general-purpose face recognition library with mobile applications. CMU Sch. Comput. Sci. 2016, 6, 20. [Google Scholar]
- Google Colaboratory. Available online: https://colab.research.google.com/ (accessed on 21 November 2022).
- Ali, M.R.; Myers, T.; Wagner, E.; Ratnu, H.; Dorsey, E.; Hoque, E. Facial expressions can detect Parkinson’s disease: Preliminary evidence from videos collected online. NPJ Digit. Med. 2021, 4, 1–4. [Google Scholar] [CrossRef] [PubMed]
- Cieslak, M.C.; Castelfranco, A.M.; Roncalli, V.; Lenz, P.H.; Hartline, D.K. t-Distributed Stochastic Neighbor Embedding (t-SNE): A tool for eco-physiological transcriptomic analysis. Mar. Genom. 2020, 51, 100723. [Google Scholar] [CrossRef]
- Cortes, C.; Vapnik, V. Support-vector networks. Mach. Learn. 1995, 20, 273–297. [Google Scholar] [CrossRef]
- Senthilkumar, R.; Gnanamurthy, R.K. Performance improvement in classification rate of appearance based statistical face recognition methods using SVM classifier. In Proceedings of the 2017 4th International Conference on Advanced Computing and Communication Systems (ICACCS), Coimbatore, India, 6–7 January 2017; pp. 1–7. [Google Scholar]
- Hanley, J.A.; McNeil, B.J. The meaning and use of the area under a receiver operating characteristic (ROC) curve. Radiology 1982, 143, 29–36. [Google Scholar] [CrossRef] [PubMed]
- Dixson, B.J.W.; Spiers, T.; Miller, P.A.; Sidari, M.J.; Nelson, N.L.; Craig, B.M. Facial hair may slow detection of happy facial expressions in the face in the crowd paradigm. Sci. Rep. 2022, 12, 5911. [Google Scholar] [CrossRef]
- Smith, O.D. The Iñupiat Origin of Santa Claus. Humanit. Commons 2021, 1, 1–8. [Google Scholar] [CrossRef]
- Shields, W.C. Image 072 from Walter C. Shields Photograph Collection, American Philosophical Society. Available online: https://search.amphilsoc.org/collections/view?docId=ead%2FMss.SMs.Coll.4-ead.xml&fbclid=IwAR1tKLz8u1SPO6ucDyLMPNulUCq7UDlyDbP4DlZioBj-30K0CK6KAGytqg8#detailedinventory (accessed on 21 November 2022).
- Munafò, M.R.; Tilling, K.; Taylor, A.E.; Evans, D.M.; Smith, G.D. Collider scope: When selection bias can substantially influence observed associations. Int. J. Epidemiol. 2018, 47, 226–235. [Google Scholar] [CrossRef]
- Hung, K.M.; Wu, J.A.; Wen, C.H.; Chen, L.M. A System for disguised face recognition with convolution neural networks. In Proceedings of the 2018 International Conference on Digital Medicine and Image Processing, Okinawa, Japan, 12–14 November 2018; ACM: New York, NY, USA, 2018. [Google Scholar] [CrossRef]
- Khalil, A.; Ahmed, S.G.; Khattak, A.M.; Al-Qirim, N. Investigating bias in facial analysis systems: A systematic review. IEEE Access 2020, 8, 130751–130761. [Google Scholar] [CrossRef]
- Hurst, A.C. Facial recognition software in clinical dysmorphology. Curr. Opin. Pediatr. 2018, 30, 701–706. [Google Scholar] [CrossRef] [PubMed]
- Wu, D.; Chen, S.; Zhang, Y.; Zhang, H.; Wang, Q.; Li, J.; Fu, Y.; Wang, S.; Yang, H.; Du, H.; et al. Facial recognition intensity in disease diagnosis using automatic facial recognition. J. Pers. Med. 2021, 11, 1172. [Google Scholar] [CrossRef] [PubMed]
- Wehrli, S.; Hertweck, C.; Amirian, M.; Glüge, S.; Stadelmann, T. Bias, awareness, and ignorance in deep-learning-based face recognition. AI Ethics 2022, 2, 509–522. [Google Scholar] [CrossRef]
- Arachchilage, S.P.K.W.; Izquierdo, E. Deep-learned faces: A survey. EURASIP J. Image Video Proc. 2020, 25, 1–25. [Google Scholar] [CrossRef]
- Dirin, A.; Delbiaggio, N.; Kauttonen, J. Comparisons of facial recognition algorithms through a case study application. Int. J. Interact. Mob. Technol. 2020, 14, 121–133. [Google Scholar] [CrossRef]
- Taigman, Y.; Yang, M.; Ranzato, M.A.; Wolf, L. Deepface: Closing the gap to human-level performance in face verification. In Proceedings of the IEEE Conference on Computer Vision and Pattern Recognition, Columbus, OH, USA, 23–28 June 2014; pp. 1701–1708. [Google Scholar]
- Akhmedova, S.H. Analysis of general characteristics of the most studied fairy tale genre in English and Uzbek folklore. ISJ Theor. Appl. Sci. 2020, 6, 134–136. [Google Scholar] [CrossRef]
- Richards, B.E. Poor Copy: Fan Practices and Producerly Art Making. Ph.D. Thesis, University of Plymouth, Plymouth, UK, 2020. Available online: https://pearl.plymouth.ac.uk/handle/10026.1/16634 (accessed on 21 November 2022).
- Cyr, C. Do reindeer and children know something that we don’t? Pediatric inpatients’ belief in Santa Claus. CMAJ 2002, 167, 1325–1327. Available online: https://www.cmaj.ca/content/cmaj/167/12/1325.full.pdf (accessed on 21 November 2022).




| 1823 Facial Descriptor | HPO Term | Term ID |
|---|---|---|
| Twinkled eyes | Epiphora | HP:0009926 |
| Merry dimples | Skin dimple Chin dimples | HP:0010751 HP:0010781 |
| Cheeks like roses | Telangiectases of the cheeks Facial erythema Malar rash | HP:0007421 HP:0001041 HP:0025300 |
| Nose like a cherry | Bulbous nose | HP:0000414 |
| Droll little, bow-like mouth | Narrow mouth Exaggerated cupid’s bow | HP:0000160 HP:0002263 |
| Beard as white as snow | Facial hypertrichosis Hypopigmented hair | HP:0002219 HP:0011364 |
| Broad face | Broad face | HP:0000283 |
| Groups | Search Terms | |
|---|---|---|
| Validation groups | Elvis Presley | “Elvis Presley” |
| Elvis Presley impersonator | “Elvis Presley impersonator” | |
| Test groups | Father Christmas | “Father Christmas” |
| Santa Claus | “Santa Claus” “Santa” | |
| Total Father Christmas | “Father Christmas” “Santa Claus” “Santa” | |
| Control groups | Adult man | “Adult man” |
| Elderly bearded man | “Elderly bearded man” |
| Inclusion Criteria | Exclusion Criteria |
|---|---|
| Photographic images | Cartoons and other non-photographic images |
| Frontal view of face | |
| Labelled as the individual specified by the search term | |
| Containing one person | Group photographs |
| Bearded and non-bearded individuals | Face obscured by physical or digital covering(s) (e.g., sunglasses, face mask, digital watermark) |
| Both eyes open | |
| Face not detectable by OpenFace algorithm |
| Group | N |
|---|---|
| Adult Man | 132 |
| Elderly Bearded Man | 37 |
| Elvis Presley Impersonator | 100 |
| Elvis Presley | 128 |
| Father Christmas | 21 |
| Santa Claus | 22 |
| Total Father Christmas | 43 |
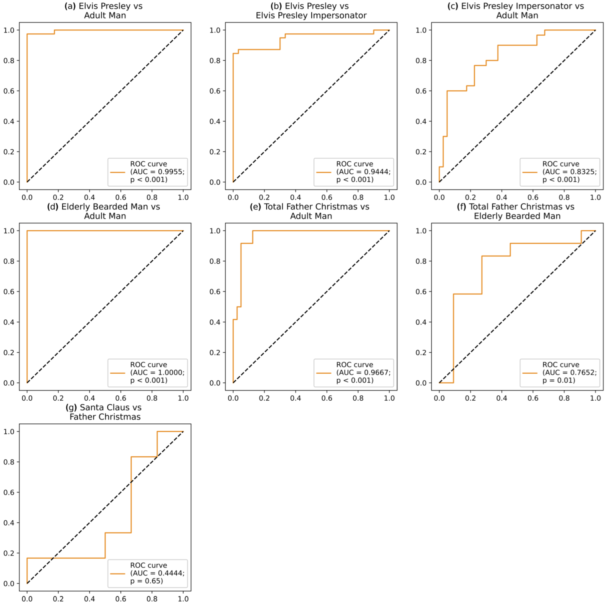
| Comparison Groups | Accuracy | Precision | Recall | AUC (p Value) |
|---|---|---|---|---|
| Elvis Presley vs. Adult Man | 0.9620 | 1.0000 | 0.9231 | 0.9955 (<0.001) |
| Elvis Presley vs. Elvis Presley Impersonator | 0.8116 | 0.8095 | 0.8718 | 0.9444 (<0.001) |
| Elvis Presley Impersonator vs. Adult Man | 0.7857 | 0.8571 | 0.6000 | 0.8325 (<0.001) |
| Elderly Bearded Man vs. Adult Man | 0.9804 | 0.9167 | 1.0000 | 1.0000 (<0.001) |
| Total Father Christmas vs. Adult Man | 0.9231 | 0.8333 | 0.8333 | 0.9667 (<0.001) |
| Total Father Christmas vs. Elderly Bearded Man | 0.7391 | 0.7500 | 0.7500 | 0.7652 (0.01) |
| Santa Claus vs. Father Christmas | 0.5833 | 0.5556 | 0.8333 | 0.4444 (0.64) |
Publisher’s Note: MDPI stays neutral with regard to jurisdictional claims in published maps and institutional affiliations. |
© 2022 by the authors. Licensee MDPI, Basel, Switzerland. This article is an open access article distributed under the terms and conditions of the Creative Commons Attribution (CC BY) license (https://creativecommons.org/licenses/by/4.0/).
Share and Cite
Wright, T.; Law, C.; Wright, B.; Wright, B. Does Father Christmas Have a Distinctive Facial Phenotype? Vision 2022, 6, 71. https://doi.org/10.3390/vision6040071
Wright T, Law C, Wright B, Wright B. Does Father Christmas Have a Distinctive Facial Phenotype? Vision. 2022; 6(4):71. https://doi.org/10.3390/vision6040071
Chicago/Turabian StyleWright, Thomas, Chris Law, Ben Wright, and Barry Wright. 2022. "Does Father Christmas Have a Distinctive Facial Phenotype?" Vision 6, no. 4: 71. https://doi.org/10.3390/vision6040071
APA StyleWright, T., Law, C., Wright, B., & Wright, B. (2022). Does Father Christmas Have a Distinctive Facial Phenotype? Vision, 6(4), 71. https://doi.org/10.3390/vision6040071

