Effect of Transverse Confinement on a Quasi-One-Dimensional Dipolar Bose Gas
Abstract
1. Introduction
2. Method: The Variational Approach for the Energy Functional
3. Results and Discussions
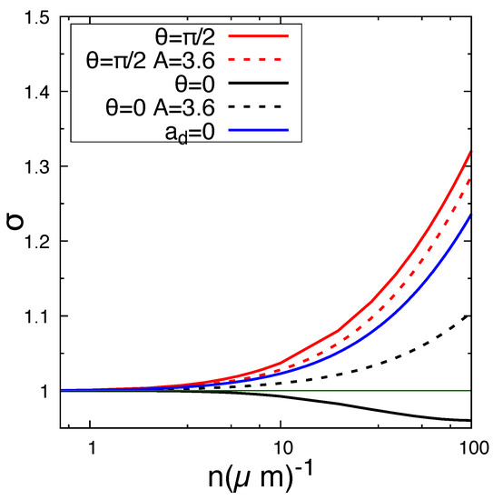
3.1. Repulsive Dipolar Interaction
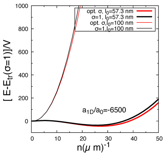
3.2. Attractive Dipolar Interaction: Droplet Region
4. Conclusions
Author Contributions
Funding
Data Availability Statement
Acknowledgments
Conflicts of Interest
References
- Cazalilla, M.A.; Citro, R.; Giamarchi, T.; Orignac, E.; Rigol, M. One dimensional bosons: From condensed matter systems to ultracold gases. Rev. Mod. Phys. 2011, 83, 1405–1466. [Google Scholar] [CrossRef]
- Mistakidis, S.I.; Volosniev, A.G.; Barfknecht, R.E.; Fogarty, T.; Busch, T.; Foerster, A.; Schmelcher, P.; Zinner, N.T. Cold Atoms in Low Dimensions—A Laboratory for Quantum Dynamics. arXiv 2022, arXiv:2202.11071v1. [Google Scholar] [CrossRef]
- Baranov, M.A.; Dalmonte, M.; Pupillo, G.; Zoller, P. Condensed Matter Theory of Dipolar Quantum Gases. Chem. Rev. 2012, 112, 5012–5061. [Google Scholar] [CrossRef]
- Cabrera, C.; Tanzi, L.; Sanz, J.; Naylor, B.; Thomas, P.; Cheiney, P.; Tarruell, L. Quantum liquid droplets in a mixture of Bose-Einstein condensates. Phys. Rev. Lett. 2018, 93, 050401. [Google Scholar] [CrossRef] [PubMed]
- Semeghini, G.; Ferioli, G.; Masi, L.; Mazzinghi, C.; Wolswijk, L.; Minardi, F.; Modugno, M.; Modugno, G.; Inguscio, M.; Fattori, M. Self-bound quantum droplets of atomic mixtures in free space. Phys. Rev. Lett. 2018, 120, 235301. [Google Scholar] [CrossRef] [PubMed]
- D’Errico, C.; Burchianti, A.; Prevedelli, M.; Salasnich, L.; Ancilotto, F.; Modugno, M.; Minardi, F.; Fort, C. Observation of quantum droplets in a heteronuclear bosonic mixture. Phys. Rev. Res. 2019, 1, 033155. [Google Scholar] [CrossRef]
- Schmitt, M.; Wenzel, M.; Böttcher, F.I. Ferrier-Barbut, T.P. Self-bound droplets of a dilute magnetic quantum liquid. Nature 2018, 539, 259. [Google Scholar] [CrossRef]
- Luo, Z.H.; Pang, W.; Liu, B.; Li, Y.Y.; Malomed, B.A. A new form of liquid matter: Quantum droplets. Front. Phys. 2021, 16, 1. [Google Scholar] [CrossRef]
- De Palo, S.; Citro, R.; Orignac, E. Variational Bethe ansatz approach for dipolar one-dimensional bosons. Phys. Rev. B 2020, 101, 045102. [Google Scholar] [CrossRef]
- Palo, S.D.; Orignac, E.; Chiofalo, M.; Citro, R. Polarization angle dependence of the breathing modes in confined one-dimensional dipolar bosons. Phys. Rev. B 2021, 103, 115109. [Google Scholar] [CrossRef]
- Palo, S.D.; Orignac, E.; Citro, R. Formation and fragmentation of quantum droplets in a quasi-one dimensional dipolar Bose gas. Phys. Rev. B 2022, 106, 014503. [Google Scholar] [CrossRef]
- Salasnich, L.; Parola, A.; Reatto, L. Transition from three dimensions to one dimension in Bose gases at zero temperature. Phys. Rev. A 2004, 70, 013606. [Google Scholar] [CrossRef]
- Salasnich, L.; Parola, A.; Reatto, L. Quasi-one-dimensional bosons in three-dimensional traps: From strong-coupling to weak-coupling regime. Phys. Rev. A 2005, 72, 025602. [Google Scholar] [CrossRef]
- Olshanii, M. Atomic Scattering in the Presence of an External Confinement and a Gas of Impenetrable Bosons. Phys. Rev. Lett. 1998, 81, 938. [Google Scholar] [CrossRef]
- Sinha, S.; Santos, L. Cold Dipolar Gases in Quasi-One-Dimensional Geometries. Phys. Rev. Lett. 2007, 99, 140406. [Google Scholar] [CrossRef]
- Deuretzbacher, F.; Cremon, J.C.; Reimann, S.M. Ground-state properties of few dipolar bosons in a quasi-one-dimensional harmonic trap. Phys. Rev. A 2010, 81, 063616, Erratum in Phys. Rev. A 2013, 87, 039903. [Google Scholar] [CrossRef]
- Cherny, A.; Brand, J. Dynamic and static density-density correlations in the one-dimensional Bose gas: Exact results and approximations. Phys. Rev. A 2009, 79, 043607. [Google Scholar] [CrossRef]
- Abramowitz, M.; Stegun, I. (Eds.) Handbook of Mathematical Functions; Dover: New York, NY, USA, 1972. [Google Scholar]
- Lang, G.; Hekking, F.; Minguzzi, A. Ground-state energy and excitation spectrum of the Lieb-Liniger model: Accurate analytical results and conjectures about the exact solution. SciPost Phys. 2017, 3, 003. [Google Scholar] [CrossRef]
- Ristivojevic, Z. Conjectures about the ground-state energy of the Lieb-Liniger model at weak repulsion. Phys. Rev. B 2019, 100, 081110. [Google Scholar] [CrossRef]
- Marino, M.; Reis, T. Exact perturbative results for the Lieb-Liniger and Gaudin-Yang models. J. Stat. Phys. 2019, 177, 1148. [Google Scholar] [CrossRef]
- Brent, R.P. Algorithms for Minimization Without Derivatives; Dover: Mineola, NY, USA, 2002; Chapter 7; p. 116. [Google Scholar]
- Tang, Y.; Kao, W.; Li, K.Y.; Seo, S.; Mallayya, K.; Rigol, M.; Gopalakrishnan, S.; Lev, B.L. Thermalization near Integrability in a Dipolar Quantum Newton’s Cradle. Phys. Rev. X 2018, 8, 021030. [Google Scholar] [CrossRef]
- Li, K.Y.; Zhang, Y.; Yang, K.; Lin, K.Y.; Gopalakrishnan, S.; Rigol, M.; Lev, B.L. Rapidity and momentum distributions of 1D dipolar quantum gases. arXiv 2022, arXiv:2211.09118. [Google Scholar] [CrossRef]
- Zinner, N.T.; Wunsch, B.; Mekhov, I.B.; Huang, S.J.; Wang, D.W.; Demler, E. Few-body bound complexes in one-dimensional dipolar gases and nondestructive optical detection. Phys. Rev. A 2011, 84, 063606. [Google Scholar] [CrossRef]
- Kolomeisky, E.B.; Newman, T.J.; Straley, J.P.; Qi, X. Low-Dimensional Bose Liquids: Beyond the Gross-Pitaevskii Approximation. Phys. Rev. Lett. 2000, 85, 1146. [Google Scholar] [CrossRef]
- Dunjko, V.; Lorent, V.; Olshanii, M. Bosons in Cigar-Shaped Traps: Thomas-Fermi Regime, Tonks-Girardeau Regime, and In Between. Phys. Rev. Lett. 2001, 86, 5413. [Google Scholar] [CrossRef]
- Öhberg, P.; Santos, L. Dynamical Transition from a Quasi-One-Dimensional Bose-Einstein Condensate to a Tonks-Girardeau Gas. Phys. Rev. Lett. 2002, 89, 240402. [Google Scholar] [CrossRef] [PubMed]
- Oldziejewski, R.; Górecki, W.; Pawlowski, K.; Rzazewski, K. Strongly correlated quantum droplets in quasi-1D dipolar Bose gas. Phys. Rev. Lett. 2020, 124, 090401. [Google Scholar] [CrossRef]





Disclaimer/Publisher’s Note: The statements, opinions and data contained in all publications are solely those of the individual author(s) and contributor(s) and not of MDPI and/or the editor(s). MDPI and/or the editor(s) disclaim responsibility for any injury to people or property resulting from any ideas, methods, instructions or products referred to in the content. |
© 2023 by the authors. Licensee MDPI, Basel, Switzerland. This article is an open access article distributed under the terms and conditions of the Creative Commons Attribution (CC BY) license (https://creativecommons.org/licenses/by/4.0/).
Share and Cite
De Palo, S.; Orignac, E.; Citro, R.; Salasnich, L. Effect of Transverse Confinement on a Quasi-One-Dimensional Dipolar Bose Gas. Condens. Matter 2023, 8, 26. https://doi.org/10.3390/condmat8010026
De Palo S, Orignac E, Citro R, Salasnich L. Effect of Transverse Confinement on a Quasi-One-Dimensional Dipolar Bose Gas. Condensed Matter. 2023; 8(1):26. https://doi.org/10.3390/condmat8010026
Chicago/Turabian StyleDe Palo, Stefania, Edmond Orignac, Roberta Citro, and Luca Salasnich. 2023. "Effect of Transverse Confinement on a Quasi-One-Dimensional Dipolar Bose Gas" Condensed Matter 8, no. 1: 26. https://doi.org/10.3390/condmat8010026
APA StyleDe Palo, S., Orignac, E., Citro, R., & Salasnich, L. (2023). Effect of Transverse Confinement on a Quasi-One-Dimensional Dipolar Bose Gas. Condensed Matter, 8(1), 26. https://doi.org/10.3390/condmat8010026

