A New Mutagenesis Tool for Songpu Mirror Carp (Cyprinus carpio L.) for Selective Breeding: Atmospheric-Pressure Room-Temperature Plasma Mutagenesis Technology
Abstract
1. Introduction
2. Materials and Methods
2.1. Animal Experiment and Sample Collection
2.2. Mutation by ARTP Treatment
2.3. Fertilization Rate and Hatchability Rate
2.4. Morphological Characteristics of Individuals Subjected to ARTP Treatment
2.5. Sample Collection and Indicator Determination
2.6. RNA Extraction and RTq–PCR
2.7. Data and Statistical Analysis
3. Results
3.1. Determination of the Experimental Conditions of ARTP Treatment of Fertilized Eggs
3.2. Morphological Characteristics of Songpu Mirror Carp
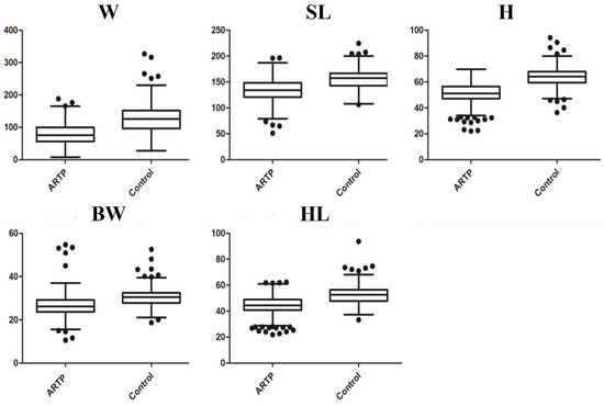
3.3. Comparative Analysis of Morphological Parameters
3.4. Rate of W Gain in Songpu Mirror Carp
3.5. Serum Biochemical Parameters of Songpu Mirror Carp
3.6. Expression of Genes Related to Protein Synthesis in Songpu Mirror Carp
3.7. Expression of Antioxidant-Related and GH/IGF-1 Axis Genes in Songpu Mirror Carp
4. Discussion
5. Conclusions
Supplementary Materials
Author Contributions
Funding
Institutional Review Board Statement
Data Availability Statement
Conflicts of Interest
Abbreviations
References
- Miao, Z.H.; Rao, V.A.; Agama, K.; Antony, S.; Kohn, K.W.; Pommier, Y. 4-nitroquinoline-1-oxide induces the formation of cellular topoisomerase I-DNA cleavage complexes. Cancer Res. 2006, 66, 6540–6545. [Google Scholar] [CrossRef] [PubMed]
- Slamenová, D.; Gábelová, A.; Ruzeková, L.; Chalupa, I.; Horváthová, E.; Farkasová, T.; Bozsakyová, E.; Stĕtina, R. Detection of MNNG-induced DNA lesions in mammalian cells; validation of comet assay against DNA unwinding technique, alkaline elution of DNA and chromosomal aberrations. Mutat. Res. 1997, 383, 243–252. [Google Scholar] [CrossRef] [PubMed]
- Knapik, E.W. ENU mutagenesis in zebrafish—From genes to complex diseases. Mamm. Genome 2000, 11, 511–519. [Google Scholar] [CrossRef]
- Mullins, M.C.; Hammerschmidt, M.; Haffter, P.; Nüsslein-Volhard, C. Large-scale mutagenesis in the zebrafish: In search of genes controlling development in a vertebrate. Curr. Biol. 1994, 4, 189–202. [Google Scholar] [CrossRef]
- Fang, M.; Jin, L.; Zhang, C.; Tan, Y.; Jiang, P.; Ge, N.; Li, H.; Xing, X. Rapid mutation of Spirulina platensis by a new mutagenesis system of atmospheric and room temperature plasmas (ARTP) and generation of a mutant library with diverse phenotypes. PLoS ONE 2013, 8, e77046. [Google Scholar] [CrossRef]
- Guo, L.; Li, H.; Wang, L.; Wang, S.; Zhao, H.; Sun, W.; Xing, X.; Bao, C. Genetic effects of radio-frequency, atmospheric-pressure glow discharges with helium. Appl. Phys. Lett. 2008, 92, 221504. [Google Scholar] [CrossRef]
- Wang, L.; Huang, Z.; Li, G.; Zhao, H.; Xing, X.; Sun, W.; Li, H.; Gou, Z.; Bao, C. Novel mutation breeding method for Streptomyces avermitilis using an atmospheric pressure glow discharge plasma. J. Appl. Microbiol. 2010, 108, 851–858. [Google Scholar] [CrossRef]
- Zhang, X.; Zhang, X.; Li, H.; Wang, L.; Zhang, C.; Xing, X.; Bao, C. Atmospheric and room temperature plasma (ARTP) as a new powerful mutagenesis tool. Appl. Microbiol. Biotechnol. 2014, 98, 5387–5396. [Google Scholar] [CrossRef] [PubMed]
- Zhang, X.; Zhang, C.; Zhou, Q.; Zhang, X.; Wang, L.; Chang, H.; Li, H.; Oda, Y.; Xing, X. Quantitative evaluation of DNA damage and mutation rate by atmospheric and room-temperature plasma (ARTP) and conventional mutagenesis. Appl. Microbiol. Biotechnol. 2015, 99, 5639–5646. [Google Scholar] [CrossRef]
- Su, X.; Zhao, S.; Xu, W.; Shuang, L.; Zheng, G.; Zou, S. Efficiently whole-genomic mutagenesis approach by ARTP in blunt snout bream (Megalobrama amblycephala). Aquaculture 2022, 555, 738241. [Google Scholar] [CrossRef]
- Zhang, X.; Wu, Y.; Ma, F.; Wang, L.; Zhang, C.; Li, H.; Xing, X. Application of ARTP mutagenesis in breeding of microbial biocatalysts for food and feed processing industry. Biotechnol Bus. 2019, 3, 13–24. (In Chinese) [Google Scholar] [CrossRef]
- Li, H.; Wang, Z.; Ge, N.; Le, P.; Wu, H.; Lu, Y.; Wang, L.; Chong, Z.; Bao, C.; Xing, X. Studies on the Physical Characteristics of the Radio-Frequency Atmospheric-Pressure Glow Discharge Plasmas for the Genome Mutation of Methylosinus trichosporium. Plasmas IEEE Trans. Plasma Sci. 2012, 40, 2853–2860. [Google Scholar] [CrossRef]
- Li, J.; Guo, S.; Hua, Q.; Hu, F. Improved AP-3 production through combined ARTP mutagenesis, fermentation optimization, and subsequent genome shuffling. Biotechnol. Lett. 2021, 43, 1143–1154. [Google Scholar] [CrossRef]
- Ye, L.; Ye, R.; Hu, F.; Wang, G. Combination of atmospheric and room temperature plasma (ARTP) mutagenesis, genome shuffling and dimethyl sulfoxide (DMSO) feeding to improve FK506 production in Streptomyces tsukubaensis. Biotechnol. Lett. 2021, 43, 1809–1820. [Google Scholar] [CrossRef] [PubMed]
- Ottenheim, C.; Nawrath, M.; Wu, J. Microbial mutagenesis by atmospheric and room-temperature plasma (ARTP): The latest development. Bioresour. Bioprocess. 2018, 5, 12. [Google Scholar] [CrossRef]
- Shi, F.; Tan, J.; Chu, J.; Wang, Y.; Zhuang, Y.; Zhang, S. A qualitative and quantitative high-throughput assay for screening of gluconate high-yield strains by Aspergillus niger. J. Microbiol. Methods 2015, 109, 134–139. [Google Scholar] [CrossRef]
- Yuan, L.; Wang, L.; Ma, K.; Guo, L.; Xing, X. Characteristics of Hydrogen Production of an Enterobacter aerogenes Mutant Generated by a New Atmospheric and Room Temperature Plasma (ARTP). Biochem. Eng. J. 2011, 55, 17–22. [Google Scholar]
- Hou, J.; Zhang, X.; Wang, G.; Sun, Z. Novel breeding approach for Japanese flounder using atmosphere and room temperature plasma mutagenesis tool. BMC Genom. 2019, 20, 323. [Google Scholar] [CrossRef]
- FAO. The State of World Fisheries and Aquaculture 2022: Towards Blue Transformation; FAO: Rome, Italy, 2022. [Google Scholar] [CrossRef]
- Hu, X.; Li, C.; Shang, M.; Ge, Y.; Jia, Z.; Wang, S.; Shi, L. Inheritance of growth traits in Songpu mirror carp (Cyprinus carpio L.) cultured in Northeast China. Aquaculture 2017, 477, 1–5. [Google Scholar] [CrossRef]
- Hou, J.; Wang, G.; Zhang, X.; Sun, Z.; Liu, H. Cold-shock induced androgenesis without egg irradiation and subsequent production of doubled haploids and a clonal line in Japanese flounder, Paralichthys olivaceus. Aquaculture 2016, 464, 642–646. [Google Scholar] [CrossRef]
- Galo, J.M.; Ribeiro, R.P.; Streit-Junior, D.P.; Albuquerque, D.M.; Fornari, D.C.; Roma, C.F.; Guerreiro, L.R. Oocyte quality of tambaqui (Colossoma macropomum) during the reproductive season. Braz. J. Biol. 2015, 75, 279–284. [Google Scholar] [CrossRef] [PubMed]
- Livak, K.J.; Schmittgen, T.D. Analysis of relative gene expression data using real-time quantitative PCR and the 2(-Delta Delta C(T)) Method. Methods 2001, 25, 402–408. [Google Scholar] [CrossRef] [PubMed]
- Li, H.; Luo, W.; Wang, Q.; Yu, X. Direct fermentation of gelatinized cassava starch to acetone, butanol, and ethanol using Clostridium acetobutylicum mutant obtained by atmospheric and room temperature plasma. Appl. Biochem. Biotechnol. 2014, 172, 3330–3341. [Google Scholar] [CrossRef]
- Bu, H.Y.; Ou, X.M.; Ma, J.K. Determination of Chlorantraniliprole Residue in Environmental Aquatic Samples by High Performance Liquid Chromatography. Chin. J. Spectrosc. Lab. 2008, 25, 1230–1234. [Google Scholar]
- Jiang, X.; Sun, C.; Zhang, Q.; Zou, S. ENU-induced mutagenesis in grass carp (Ctenopharyngodon idellus) by treating mature sperm. PLoS ONE 2011, 6, e26475. [Google Scholar] [CrossRef]
- Zhang, Y.; Li, X.; Yuan, R. Effect of Promoting Growth of Fry and Hatchability by Irradiating Carp Embryos with the Ra-Be(n,γ) Neutron Source and ~60Coγ(n,γ)-ray source. Acta Sci. Nat. Univ. Pekin. 1984, 1, 24–30. [Google Scholar]
- Seibel, H.; Baßmann, B.; Rebl, A. Blood Will Tell: What Hematological Analyses Can Reveal About Fish Welfare. Front. Vet. Sci. 2021, 8, 616955. [Google Scholar] [CrossRef]
- Latif, A.; Khalid, M.; Ali, M. An assessment of naphthalene stress on renal and hepatic functional integrity in Labeo rohita. Int. J. Curr. Eng. Technol. 2014, 4, 319–324. [Google Scholar]
- Rao, J.V. Toxic effects of novel organophosphorus insecticide (RPR-V) on certain biochemical parameters of euryhaline fish, Oreochromis mossambicus. Pestic. Biochem. Physiol. 2006, 86, 78–84. [Google Scholar] [CrossRef]
- Banace, M. Mirvagefei AR. Effect of sub-lethal Diazinon Concentrations on Blood Plasma Biochemistry. Int. J. Environ. Res. 2008, 2, 189–198. [Google Scholar]
- Yang, J.; Wang, T.; Lin, G.; Li, M.; Zhu, R.; Yiannikouris, A.; Zhang, Y.; Mai, K. The Assessment of Diet Contaminated with Aflatoxin B1 in Juvenile Turbot (Scophthalmus maximus) and the Evaluation of the Efficacy of Mitigation of a Yeast Cell Wall Extract. Toxins 2020, 12, 597. [Google Scholar] [CrossRef] [PubMed]
- Huang, H.; Weng, B.; Hsuuw, Y.; Lee, Y.; Chen, K. Dietary Supplementation of Two-Stage Fermented Feather-Soybean Meal Product on Growth Performance and Immunity in Finishing Pigs. Animals 2021, 11, 1527. [Google Scholar] [CrossRef] [PubMed]
- Dawood, M.A.O.; Ali, M.F.; Amer, A.A.; Gewaily, M.S.; Mahmoud, M.M.; Alkafafy, M.; Assar, D.H.; Soliman, A.A.; Van Doan, H. The influence of coconut oil on the growth, immune, and antioxidative responses and the intestinal digestive enzymes and histomorphometry features of Nile tilapia (Oreochromis niloticus). Fish. Physiol. Biochem. 2021, 47, 869–880. [Google Scholar] [CrossRef]
- Smith, C.M.; Ryan, P.J.; Hosken, I.T.; Ma, S.; Gundlach, A.L. Relaxin-3 systems in the brain—The first 10 years. J. Chem. Neuroanat. 2011, 2, 262–275. [Google Scholar] [CrossRef]
- Salto, R.; Vílchez, J.D.; Cabrera, E.; Guinovart, J.J.; Girón, M.D. Activation of ERK by sodium tungstate induces protein synthesis and prevents protein degradation in rat L6 myotubes. FEBS Lett. 2014, 588, 2246–2254. [Google Scholar] [CrossRef] [PubMed]
- Suryawan, A.; Davis, T.A. Regulation of protein degradation pathways by amino acids and insulin in skeletal muscle of neonatal pigs. J. Anim. Sci. Biotechnol. 2014, 5, 8. [Google Scholar] [CrossRef]
- Adams, G.R.; Haddad, F. The relationships among IGF-1, DNA content, and protein accumulation during skeletal muscle hypertrophy. J. Appl. Physiol. 1996, 81, 2509–2516. [Google Scholar] [CrossRef]
- Young, V.R. Regulation of protein synthesis and skeletal muscle growth. J. Anim. Sci. 1974, 38, 1054–1070. [Google Scholar] [CrossRef]
- Dumas, A.; De Lange, C.F.; France, J.; Bureau, D.P. Quantitative description of body composition and rates of nutrient deposition in rainbow trout (Oncorhynchus mykiss). Aquaculture 2007, 273, 165–181. [Google Scholar] [CrossRef]
- Yadav, A.K.; Mandal, S.C.; Patel, A.B.; Maurya, P.K. Evaluation of dietary protein requirement for the growth performance of minor carp, Cirrhinus reba (Hamilton, 1822) fingerlings. Aquac. Res. 2019, 50, 3343–3349. [Google Scholar] [CrossRef]
- Coolican, S.A.; Samuel, D.S.; Ewton, D.Z.; McWade, F.J.; Florini, J.R. The mitogenic and myogenic actions of insulin-like growth factors utilize distinct signaling pathways. J. Biol. Chem. 1997, 272, 6653–6662. [Google Scholar] [CrossRef]
- Fuentes, E.N.; Valdés, J.A.; Molina, A.; Björnsson, B.T. Regulation of skeletal muscle growth in fish by the growth hormon—Insulin-like growth factor system. Gen. Comp. Endocrinol. 2013, 192, 136–148. [Google Scholar] [CrossRef]
- Montserrat, N.; Capilla, E.; Navarro, I.; Gutiérrez, J. Metabolic Effects of Insulin and IGFs on Gilthead Sea Bream (Sparus aurata) Muscle Cells. Front. Endocrinol. 2012, 3, 55. [Google Scholar] [CrossRef]
- Rius-Francino, M.; Acerete, L.; Jiménez-Amilburu, V.; Capilla, E.; Navarro, I.; Gutiérrez, J. Differential effects on proliferation of GH and IGFs in sea bream (Sparus aurata) cultured myocytes. Gen. Comp. Endocrinol. 2011, 172, 44–49. [Google Scholar] [CrossRef]
- Gong, M.; Zhang, H.; Wu, D.; Zhang, Z.; Zhang, J.; Bao, D.; Yang, Y. Key metabolism pathways and regulatory mechanisms of high polysaccharide yielding in Hericium erinaceus. BMC Genom. 2021, 22, 160. [Google Scholar] [CrossRef]
- Zhu, Z.; Chen, W.; Zhou, H.; Cheng, H.; Luo, S.; Zhou, K.; Zhou, P.; Xia, L.; Ding, X. ARTP and NTG compound mutations improved Cry protein production and virulence of Bacillus thuringiensis X023. Appl. Microbiol. Biotechnol. 2022, 106, 4211–4221. [Google Scholar] [CrossRef]
- Fan, Z.; Wu, D.; Li, J.; Zhang, Y.; Xu, Q.; Wang, L. Dietary protein requirement for large-size Songpu mirror carp (Cyprinus carpio Songpu). Aquac. Nutr. 2020, 26, 1748–1759. [Google Scholar] [CrossRef]
- Ruvinsky, I.; Meyuhas, O. Ribosomal protein S6 phosphorylation: From protein synthesis to cell size. Trends Biochem. Sci. 2006, 31, 342–348. [Google Scholar] [CrossRef]






| Gene | Primers | Sequence 5′-3′ |
|---|---|---|
| GH | F | TCAAGGGATGTCTCGATGGT |
| R | CTACAGGGTGCAGTTGGAAT | |
| IGF-I | F | GGGCCTAGTTCAAGACGG |
| R | AGTGGCTTTGTCCAGGTAA | |
| S6K | F | TGGAGGAGGTAATGGACG |
| R | ACATAAAGCAGCCTGACG | |
| TOR | F | CCACAACGCAGCCAACAA |
| R | GCCACAGAATAGCAACCCT | |
| 4EBP1 | F | GCTACCTCACGACTATTGC |
| R | TTCTTGCTTGTCACTCCTG | |
| SOD | F | TGTGGGGTTCTGCCTCTTG |
| R | TGGGAACATAGTGAGGGAGA | |
| CAT | F | TGGTGGATAATAACAGTTGGG |
| R | ACACGATACAACACTGCTGC | |
| β-actin | F | GGCAGGTCATCACCATCGG |
| R | TTGGCATACAGGTCTTTACGG |
| Time After Fertilization | Item | Group | Trait | ||||
|---|---|---|---|---|---|---|---|
| W (g) | SL (mm) | H (mm) | W (mm) | HL (mm) | |||
| 5 months | Mean + SD | ARTP | 80.33 ± 34.54 b | 134.26 ± 22.07 b | 51.33 ± 7.89 b | 26.35 ± 4.87 b | 44.43 ± 7.21 b |
| Control | 127.37 ± 45.82 a | 156.06 ± 19.35 a | 63.83 ± 8.25 a | 30.4 ± 4.49 a | 52.79 ± 7.45 a | ||
| CV(%) | ARTP | 43.00 | 16.44 | 15.37 | 18.48 | 16.23 | |
| Control | 35.97 | 12.40 | 12.93 | 14.78 | 14.10 | ||
| Difference | ARTP | 180.50 | 145.59 | 47.85 | 44.21 | 40.38 | |
| Control | 298.90 | 118.28 | 57.83 | 33.89 | 60.49 | ||
| Time After Fertilization | Item | Group | Trait | |||
|---|---|---|---|---|---|---|
| W/SL (g/mm) | H/SL | BW/SL | HL/SL | |||
| 5 months | Mean ± SD | ARTP | 0.58 ± 0.17 b | 0.38 ± 0.03 b | 0.19 ± 0.04 | 0.33 ± 0.03 b |
| Control | 0.80 ± 0.21 a | 0.41 ± 0.03 a | 0.20 ± 0.02 | 0.34 ± 0.03 a | ||
| CV(%) | ARTP | 29.73 | 8.55 | 20.24 | 8.70 | |
| Control | 25.60 | 8.13 | 11.66 | 8.69 | ||
| Group | W (g) | 5 Months–14 Months | |||
|---|---|---|---|---|---|
| 5 Months | 14 Months | GRw (%) | AGRw (g/d) | IGRw (%/d) | |
| ARTP | 81.87 ± 16.40 d | 439.60 ± 58.60 b | 4.37 ± 2.57 | 1.32 ± 0.16 | 0.62 ± 0.47 |
| Control | 127.37 ± 45.82 c | 478.10 ± 61.65 a | 2.75 ± 0.35 | 1.30 ± 0.06 | 0.49 ± 0.11 |
| Group | TP (g/L) | ALT (U/L) | AST/ALT | AST (U/L) | ALP (U/L) | ALB (g/L) | T-CHO (mmol/L) | TG (mmol/L) | HDL (mmol/L) | LDL (mmol/L) | UA (mmol/L) | TBA (μmol/L) |
|---|---|---|---|---|---|---|---|---|---|---|---|---|
| ARTP | 40.17 ± 1.72 a | 137.10 ± 8.66 | 2.67 ± 0.29 b | 318.10 ± 2.71 b | 73.43 ± 13.54 a | 15.67 ± 0.58 a | 4.02 ± 0.21 a | 0.46 ± 0.13 | 2.26 ± 0.14 | 1.67 ± 0.15 a | 63.57 ± 28.73 | 0.47 ± 0.15 |
| Control | 32.27 ± 3.27 b | 136.10 ± 14.00 | 3.93 ± 0.58 a | 535.70 ± 59.28 a | 8.20 ± 2.26 b | 10.53 ± 1.17 b | 3.04 ± 0.29 b | 0.59 ± 0.07 | 2.09 ± 0.20 | 1.25 ± 0.15 b | 69.73 ± 18.14 | 0.50 ± 0.00 |
Disclaimer/Publisher’s Note: The statements, opinions and data contained in all publications are solely those of the individual author(s) and contributor(s) and not of MDPI and/or the editor(s). MDPI and/or the editor(s) disclaim responsibility for any injury to people or property resulting from any ideas, methods, instructions or products referred to in the content. |
© 2024 by the authors. Licensee MDPI, Basel, Switzerland. This article is an open access article distributed under the terms and conditions of the Creative Commons Attribution (CC BY) license (https://creativecommons.org/licenses/by/4.0/).
Share and Cite
Jiang, X.; Li, C.; Shang, M.; Hu, X.; Ge, Y.; Jia, Z. A New Mutagenesis Tool for Songpu Mirror Carp (Cyprinus carpio L.) for Selective Breeding: Atmospheric-Pressure Room-Temperature Plasma Mutagenesis Technology. Fishes 2024, 9, 448. https://doi.org/10.3390/fishes9110448
Jiang X, Li C, Shang M, Hu X, Ge Y, Jia Z. A New Mutagenesis Tool for Songpu Mirror Carp (Cyprinus carpio L.) for Selective Breeding: Atmospheric-Pressure Room-Temperature Plasma Mutagenesis Technology. Fishes. 2024; 9(11):448. https://doi.org/10.3390/fishes9110448
Chicago/Turabian StyleJiang, Xiaona, Chitao Li, Mei Shang, Xuesong Hu, Yanlong Ge, and Zhiying Jia. 2024. "A New Mutagenesis Tool for Songpu Mirror Carp (Cyprinus carpio L.) for Selective Breeding: Atmospheric-Pressure Room-Temperature Plasma Mutagenesis Technology" Fishes 9, no. 11: 448. https://doi.org/10.3390/fishes9110448
APA StyleJiang, X., Li, C., Shang, M., Hu, X., Ge, Y., & Jia, Z. (2024). A New Mutagenesis Tool for Songpu Mirror Carp (Cyprinus carpio L.) for Selective Breeding: Atmospheric-Pressure Room-Temperature Plasma Mutagenesis Technology. Fishes, 9(11), 448. https://doi.org/10.3390/fishes9110448

