Phage Therapy Enhances Survival, Immune Response, and Metabolic Resilience in Pacific White Shrimp (Litopenaeus vannamei) Challenged with Vibrio parahaemolyticus
Abstract
1. Introduction
2. Materials and Methods
2.1. Bacteria and Phages
2.2. Experimental Animals and Facilities
2.3. Phage Treatment Experiment
2.4. Sample Collection
2.5. Immune and Antioxidant Parameter Analysis
2.6. Transcriptome Analysis
2.7. Gene Expression Analysis
2.8. Statistical Analysis
3. Result
3.1. Protective Effect of Phage Therapy on Shrimp Survival
3.2. Immune-Related Enzyme Activities
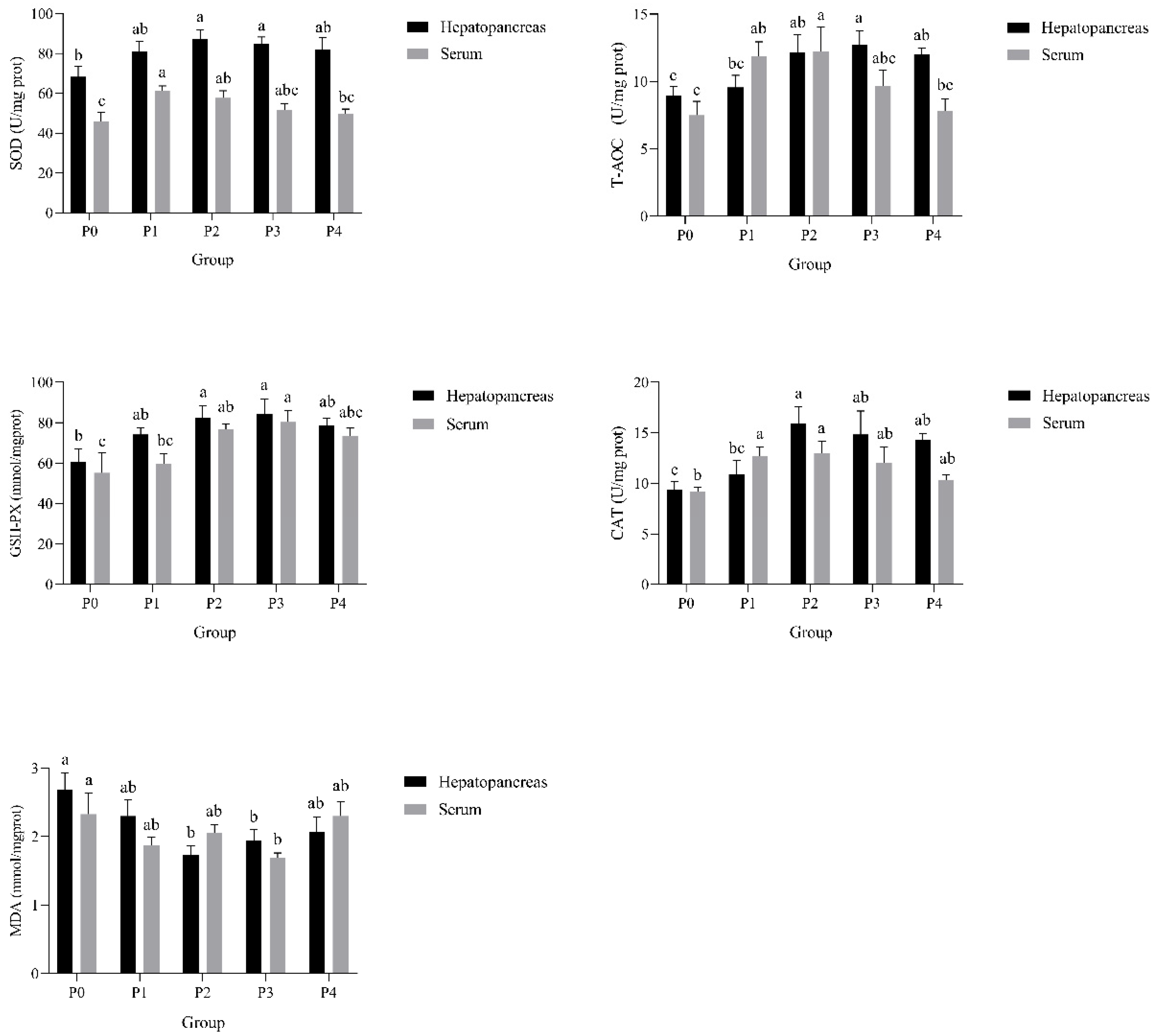
3.3. Antioxidant Enzyme Activities
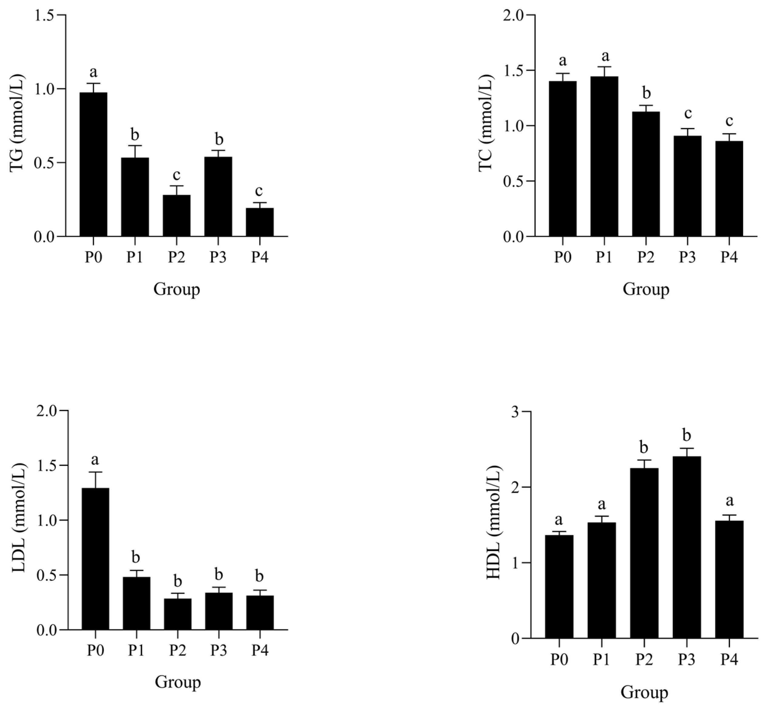
3.4. Lipid Metabolism-Related Biochemical Parameters
3.5. Raw Data, De Novo Assembly, and Annotation and Reference Gene Alignment
3.6. Functional Annotations
3.7. DEGs Clustering and GO Functional Annotation Analysis
3.8. KEGG Enrichment Analysis
3.9. qPCR Result
4. Discussion
4.1. Immune Activation and Molecular Mechanisms Revealed by Enzymatic and Transcriptomic Data
4.2. Enhancement of Antioxidant Defenses via Peroxisomal and Glutathione Pathways
4.3. Lipid Metabolism Modulation and Its Immunological Implications
4.4. Transcriptomic Insights into Immune-Metabolic Cross-Talk and Long-Term Effects
5. Conclusions
Author Contributions
Funding
Institutional Review Board Statement
Informed Consent Statement
Data Availability Statement
Conflicts of Interest
References
- Mandal, A.; Singh, P. Global Scenario of Shrimp Industry: Present Status and Future Prospects. In Shrimp Culture Technology: Farming, Health Management and Quality Assurance; Springer: Singapore, 2025; pp. 1–23. [Google Scholar]
- Su, Y.C.; Chengchu, L. Vibrio parahaemolyticus: A concern of seafood safety. Food Microbiol. 2007, 24, 549–558. [Google Scholar] [CrossRef] [PubMed]
- Paul, C.R. Vogl, Key performance characteristics of organic shrimp aquaculture in southwest Bangladesh. Sustainability 2012, 4, 995–1012. [Google Scholar] [CrossRef]
- Chowdhury, S.; Rheman, S.; Debnath, N.; Delamare-Deboutteville, J.; Akhtar, Z.; Ghosh, S.; Parveen, S.; Islam, K.; Islam, A.; Rashid, M.; et al. Antibiotics usage practices in aquaculture in Bangladesh and their associated factors. One Health 2022, 15, 100445. [Google Scholar] [CrossRef]
- Arsène, M.M.J.; Davares, A.K.L.; Viktorovna, P.I.; Andreevna, S.L.; Sarra, S.; Khelifi, I.; Sergueïevna, D.M. The public health issue of antibiotic residues in food and feed: Causes, consequences, and potential solutions. Vet. World 2022, 15, 662–671. [Google Scholar] [CrossRef] [PubMed]
- Culot, A.; Grosset, N.; Gautier, M. Overcoming the challenges of phage therapy for industrial aquaculture: A review. Aquaculture 2019, 513, 734423. [Google Scholar] [CrossRef]
- Dadisman, T.A., Jr.; Nelson, R.; Molenda, J.R.; Garber, H.J. Vibrio parahaemolyticus gastroenteritis in Maryland. I. Clinical and epidemiologic aspects. Am. J. Epidemiol. 1972, 96, 414–426. [Google Scholar] [CrossRef]
- Joseph, S.W.; Colwell, R.R.; Kaper, J.B. Vibrio parahaemolyticus and related halophilic Vibrios. Crit. Rev. Microbiol. 1982, 10, 77–124. [Google Scholar] [CrossRef]
- Sanches-Fernandes, G.M.M.; Sá-Correia, I.; Costa, R. Vibriosis Outbreaks in Aquaculture: Addressing Environmental and Public Health Concerns and Preventive Therapies Using Gilthead Seabream Farming as a Model System. Front. Microbiol. 2022, 13, 904815. [Google Scholar] [CrossRef]
- Flegel, T.W. Historic emergence, impact and current status of shrimp pathogens in Asia. J. Invertebr. Pathol. 2012, 110, 166–173. [Google Scholar] [CrossRef]
- Ramos-Vivas, J.; Superio, J.; Galindo-Villegas, J.; Acosta, F. Phage therapy as a focused management strategy in aquaculture. Int. J. Mol. Sci. 2021, 22, 10436. [Google Scholar] [CrossRef]
- Rai, S.; Kaur, B.; Singh, P.; Singh, A.; Benjakul, S.; Reddy, S.V.K.; Nagar, V.; Tyagi, A. Perspectives on phage therapy for health management in aquaculture. Aquac. Int. 2024, 32, 1349–1393. [Google Scholar] [CrossRef]
- Sliwka, P.; Ochocka, M.; Skaradzinska, A. Applications of phages against intracellular bacteria. Crit. Rev. Microbiol. 2022, 48, 222–239. [Google Scholar] [CrossRef] [PubMed]
- Quiroz-Guzman, E.; Pena-Rodriguez, A.; Vazquez-Juarez, R.; Barajas-Sandoval, D.R.; Balcazar, J.L.; Martínez-Díaz, S.F. Bacteriophage cocktails as an environmentallyfriendly approach to prevent Vibrio parahaemolyticus and Vibrio harveyi infections in brine shrimp (Artemia franciscana) production. Aquaculture 2018, 492, 273–279. [Google Scholar] [CrossRef]
- Xu, H.; Li, W.; Zhang, Y.; Li, M.; Dong, X.; Zhang, S.; Huang, J.; Ahn, J. Characterization of novel bacteriophage as a promising alternative for controlling Vibrio infections in shrimp. Aquaculture 2025, 606, 742579. [Google Scholar] [CrossRef]
- Zhang, H.; Yang, Z.; Zhou, Y.; Bao, H.; Wang, R.; Li, T.; Zhou, X. Application of a phage in decontaminating Vibrio parahaemolyticus in oysters. Int. J. Food Microbiol. 2018, 275, 24–31. [Google Scholar] [CrossRef]
- Lavilla-Pitogo, C.R.; Leano, E.M.; Paner, M.G. Mortalities of pond-cultured juvenile shrimp, Penaeus monodon, associated with dominance of luminescent vibrios in the rearing environment. Aquaculture 1998, 164, 337–349. [Google Scholar] [CrossRef]
- Li, H.; Kijak, P.J.; Turnipseed, S.B.; Cui, W. Analysis of veterinary drug residues in shrimp: A multi-class method by liquid chromatography–quadrupole ion trap mass spectrometry. J. Chromatogr. B 2006, 836, 22–38. [Google Scholar] [CrossRef] [PubMed]
- Ghosh, A.K.; Panda, S.K.; Luyten, W. Anti-vibrio and immune-enhancing activity of medicinal plants in shrimp: A comprehensive review. Fish Shellfish Immunol. 2021, 117, 192–210. [Google Scholar] [CrossRef]
- Jun, J.W.; Han, J.E.; Tang, K.F.; Lightner, D.V.; Kim, J.; Seo, S.W.; Park, S.C. Bacteriophage pVp-1: Agent combating Vibrio parahaemolyticus strains associated with acute hepatopancreatic necrosis disease (AHPND) in shrimp. Aquaculture 2016, 457, 100–103. [Google Scholar] [CrossRef]
- Alagappan, K.; Karuppiah, V.; Deivasigamani, B. Protective effect of phages on experimental Vibrio parahaemolyticus infection and immune response in shrimp. Aquaculture 2016, 453, 86–92. [Google Scholar] [CrossRef]
- Chen, D.; Wang, Z.; Li, X.; Du, H.; Zhang, K.; Cao, S.; Lu, J.; Zhao, S.; Wang, H.; Li, Y. Biological properties of Vibrio parahaemolyticus lytic phages and transcriptome analysis of their interactions with the host. Aquac. Rep. 2024, 39, 102450. [Google Scholar] [CrossRef]
- Hossain, M.M.; Tanni, L.N.; Rahman, A.; Farjana, N.; Moon, R.S.; Tonni, N.Z.; Mekat, M.R.; Mojumdar, S.; Rahman, N.; Sen, B.K.; et al. Bacteriophage and non-pathogenic Vibrio to control diseases in shrimp aquaculture. Comp. Immunol. Rep. 2024, 6, 200126. [Google Scholar] [CrossRef]
- Chiu, C.H.; Guu, Y.K.; Liu, C.H.; Pan, T.M.; Cheng, W. Immune responses and gene expression in white shrimp, Litopenaeus vannamei, induced by Lactobacillus plantarum. Fish Shellfish Immunol. 2007, 23, 364–377. [Google Scholar] [CrossRef]
- Haug, T.; Kjuul, A.K.; Stensvåga, K.; Sandsdalenb, E.; Styrvold, O.B. Antibacterial activity in four marine crustacean decapods. Fish Shellfish Immunol. 2002, 12, 371–385. [Google Scholar] [CrossRef]
- Söderhäll, K.; Cerenius, L. Role of the prophenoloxidase-activating system in invertebrate immunity. Curr. Opin. Immunol. 1998, 10, 23–28. [Google Scholar] [CrossRef]
- Wang, Y.; Wang, Q.; Chen, L.; Li, B. The lysosome-phagosome pathway mediates immune regulatory mechanisms in Mesocentrotus nudus against Vibrio coralliilyticus infection. Fish Shellfish Immunol. 2023, 139, 108864. [Google Scholar] [CrossRef]
- Yu, F.; Chen, J.; Lin, J.; Zhong, Z.; Lu, Y.; Zeng, X.; Lei, X. TLR4 involved in immune response against Vibrio Parahaemolyticus by MyD88-dependent pathway in Crassostrea hongkongensis. Fish Shellfish Immunol. 2023, 134, 108591. [Google Scholar] [CrossRef]
- Steenvoorden, D.P.; van Henegouwen, G.M.B. The use of endogenous antioxidants to improve photoprotection. J. Photochem. Photobiol. B Biol. 1997, 41, 1–10. [Google Scholar] [CrossRef] [PubMed]
- Li, J.; Chen, P.; Liu, P.; Gao, B.; Wang, Q.; Li, J. The cytosolic manganese superoxide dismutase cDNA in swimming crab Portunus trituberculatus: Molecular cloning, characterization and expression. Aquaculture 2010, 309, 31–37. [Google Scholar] [CrossRef]
- Duan, Y.; Zhang, J.; Dong, H.; Wang, Y.; Liu, Q.; Li, H. Oxidative stress response of the black tiger shrimp Penaeus monodon to Vibrio parahaemolyticus challenge. Fish Shellfish Immunol. 2015, 46, 354–365. [Google Scholar] [CrossRef]
- Ji, P.F.; Yao, C.L.; Wang, Z.Y. Reactive oxygen system plays an important role in shrimp Litopenaeus vannamei defense against Vibrio parahaemolyticus and WSSV infection. Dis. Aquat. Org. 2011, 96, 9–20. [Google Scholar] [CrossRef] [PubMed]
- Zhou, Z.; Xiang, L.; Wang, X.; Jiang, G.; Cheng, J.; Cao, X.; Fan, X.; Shen, H. An in-depth study of the growth inhibition of Vibrio parahaemolyticus by Surfactin and its effects on cell membranes, ROS levels and gene transcription. J. Invertebr. Pathol. 2025, 211, 108298. [Google Scholar] [CrossRef] [PubMed]
- Ou, H.; Liu, J. Role of Nrf2-Keap1 signaling in the antioxidant defense response induced by low salinity in the kuruma shrimp (Marsupenaeus japonicus). Aquac. Int. 2022, 30, 2793–2811. [Google Scholar] [CrossRef]
- Huang, Y.; Li, Q.; Yuan, Y.; Zhang, Z.; Jiang, B.; Yang, S.; Jian, J. Silencing of Nrf2 in Litopenaeus vannamei, decreased the antioxidant capacity, and increased apoptosis and autophagy. Fish Shellfish Immunol. 2022, 122, 257–267. [Google Scholar] [CrossRef]
- Yang, G.; Liu, X.; Jing, X.; Wang, J.; Wang, H.; Chen, F.; Cui, X. Astaxanthin suppresses oxidative stress and calcification in vertebral cartilage endplate via activating Nrf-2/HO-1 signaling pathway. Int. Immunopharmacol. 2023, 119, 110159. [Google Scholar] [CrossRef]
- Xing, Y.; Zhu, X.; Duan, Y.; Huang, J.; Nan, Y.; Zhang, J. Toxic effects of nitrite and microplastics stress on histology, oxidative stress, and metabolic function in the gills of Pacific white shrimp, Litopenaeus vannamei. Mar. Pollut. Bull. 2023, 187, 114531. [Google Scholar] [CrossRef]
- Song, C.; Liu, B.; Xu, P.; Ge, X.; Zhang, H. Emodin ameliorates metabolic and antioxidant capacity inhibited by dietary oxidized fish oil through PPARs and Nrf2-Keap1 signaling in Wuchang bream (Megalobrama amblycephala). Fish Shellfish Immunol. 2019, 94, 842–851. [Google Scholar] [CrossRef]
- Kumar, R.; Tung, T.C.; Ng, T.H.; Chang, C.C.; Chen, Y.L.; Chen, Y.M.; Wang, H.C. Metabolic alterations in shrimp stomach during acute hepatopancreatic necrosis disease and effects of taurocholate on Vibrio parahaemolyticus. Front. Microbiol. 2021, 12, 631468. [Google Scholar] [CrossRef]
- Yin, X.; Zhuang, X.; Liao, M.; Huang, L.; Cui, Q.; Liu, C.; Dong, W.; Wang, F.; Liu, Y.; Wang, W. Transcriptome analysis of Pacific white shrimp (Litopenaeus vannamei) hepatopancreas challenged by Vibrio alginolyticus reveals lipid metabolic disturbance. Fish Shellfish Immunol. 2022, 123, 238–247. [Google Scholar] [CrossRef]
- Liu, Y.; Yu, Y.; Li, S.; Sun, M.; Li, F. Comparative transcriptomic analysis of gill reveals genes belonging to mTORC1 signaling pathway associated with the resistance trait of shrimp to VPAHPND. Front. Immunol. 2023, 14, 1150628. [Google Scholar] [CrossRef]
- Wang, X.; Lei, X.-Y.; Guo, Z.-X.; Wang, S.; Wan, J.-W.; Liu, H.-J.; Chen, Y.-K.; Wang, G.-Q.; Wang, Q.-J.; Zhang, D.-M. The immuneoreaction and antioxidant status of Chinese mitten crab (Eriocheir sinensis) involve protein metabolism and the response of mTOR signaling pathway to dietary methionine levels. Fish Shellfish Immunol. 2022, 127, 703–714. [Google Scholar] [CrossRef] [PubMed]
- Li, H.; Tian, X.; Zhao, K.; Jiang, W.; Dong, S. Effect of Clostridium butyricum in different forms on growth performance, disease resistance, expression of genes involved in immune responses and mTOR signaling pathway of Litopenaeus vannamai. Fish Shellfish Immunol. 2019, 87, 13–21. [Google Scholar] [CrossRef] [PubMed]
- Zhou, K.; Zhang, T.; Chen, X.-W.; Xu, Y.; Zhang, R.; Qian, P.-Y. Viruses in marine invertebrate holobionts: Complex interactions between phages and bacterial symbionts. Annu. Rev. Mar. Sci. 2024, 16, 467–485. [Google Scholar] [CrossRef]
- Rathinam, R.B.; Acharya, A.; Robina, A.J.; Banu, H.; Tripathi, G. The immune system of marine invertebrates: Earliest adaptation of animals. Comp. Immunol. Rep. 2024, 7, 200163. [Google Scholar] [CrossRef]
- Liu, D.; Huang, R.; Yuan, K.; Zhao, J.; Wang, Z.; Yi, Q.; Wang, J. Molecular characterization of a cation-dependent mannose-6-phosphate receptor gene in Crassostrea hongkongensis and its responsiveness in Vibrio alginolyticus infection. Fish Shellfish Immunol. 2023, 139, 108843. [Google Scholar] [CrossRef] [PubMed]
- Rőszer, T. The invertebrate midintestinal gland (“hepatopancreas”) is an evolutionary forerunner in the integration of immunity and metabolism. Cell Tissue Res. 2014, 358, 685–695. [Google Scholar] [CrossRef]
- Yuan, H.; Xie, M.; Chen, J.; Hu, N.; Wang, H.; Tan, B.; Zhang, S. The role of dietary Clostridium autoethanogenum protein in the growth, disease resistance, intestinal health and transcriptome response of Pacific white shrimp under different stocking densities. Aquaculture 2024, 589, 740962. [Google Scholar] [CrossRef]
- Kalatzis, P.G.; Castillo, D.; Katharios, P.; Middelboe, M. Bacteriophage interactions with marine pathogenic vibrios: Implications for phage therapy. Antibiotics 2018, 7, 15. [Google Scholar] [CrossRef]
- Doss, J.; Culbertson, K.; Hahn, D.; Camacho, J.; Barekzi, N. A review of phage therapy against bacterial pathogens of aquatic and terrestrial organisms. Viruses 2017, 9, 50. [Google Scholar] [CrossRef]
- González-Gómez, J.P.; Soto-Rodriguez, S.A.; Gomez-Gil, B.; Serrano-Hernández, J.M.; Lozano-Olvera, R.; López-Cuevas, O.; Chaidez, C. Effect of phage therapy on survival, histopathology, and water microbiota of Penaeus vannamei challenged with Vibrio parahaemolyticus causing acute hepatopancreatic necrosis disease (AHPND). Aquaculture 2023, 576, 739851. [Google Scholar] [CrossRef]
- Cui, H.; Xu, Y.; Cong, C.; Li, C.; Li, X.; Li, S.; Li, J.; Wang, L. Evaluation of the preventive effect of phage cocktails on turbot ascites and its influence on main physiological indicators. Aquaculture 2022, 547, 737539. [Google Scholar] [CrossRef]













| Gene | Forward (5′ → 3′) | Reverse (5′ → 3′) | Genbank No. | Primer Efficiency (%) |
|---|---|---|---|---|
| TLR4 | AACGGCAAATCAGTTCACCG | GCCTAACCACTGCATTCCCT | XM_070135259.1 | 100.2 |
| IL-1β | GCAAGAACGTCTGCAAAATCC | CCAGCACTCTGCCATGTACTG | AF425673 | 101.8 |
| PPAR | AAAGTCAAACTTGGCGGGGT | TGGGTCGAAAAGTGGTTCCG | XM_070122950.1 | 102.2 |
| MyD88 | TGATAAGTTTCTGCCACTCCCTC | TGGTGTGCTTGGAGTATTTTGTG | JX073566.1 | 98.3 |
| Nrf2 | GCCATGAATGACTCCGGTTG | CTTGGGGTCGTGTAGTGTGG | XM_027367069.1 | 101.2 |
| β-Actin | AGCTCATTGTAGAAGGTGTGATGCC | TCCTGACCCTGAAGTACCCCATTG | AF300705 | 100.6 |
| ChyBII | GAAGGAGGCAAGGGAACCTG | GTTCGAGGTCTGTTCAGGGG | LOC113805739 | 101.5 |
| COX5B | TGTGAGTGCGGCTATTGGTT | GGACACAACACTGGGTCACT | LOC113812627 | 99.9 |
| GAD | CGCGACCGAAAGCAATAAGG | GTAGGGAAGTGTGGGGTTGG | LOC113825626 | 101.2 |
| CHST5 | GGGCGTTATGCTCAGGAAGT | ACGTCATCACTTTGGGTCAGT | LOC113817761 | 101.7 |
| CHST1 | CAGGCTCAATCTCACGGAGG | TCCTTCTTCCCAGGACACCA | LOC113816168 | 100.2 |
| Sample | Raw Reads | Clean Reads | Error (%) | Q20 (%) | Q30 (%) | GC (%) |
|---|---|---|---|---|---|---|
| P0-1 | 40,062,050 | 39,865,308 | 0.0117 | 98.93 | 96.52 | 45.13 |
| P0-2 | 43,623,026 | 43,372,482 | 0.0118 | 98.88 | 96.38 | 45.43 |
| P0-3 | 43,530,698 | 43,275,338 | 0.0119 | 98.85 | 96.26 | 45.20 |
| P2-1 | 42,252,578 | 42,055,372 | 0.0119 | 98.85 | 96.19 | 46.97 |
| P2-2 | 42,512,150 | 42,277,946 | 0.0118 | 98.88 | 96.35 | 46.94 |
| P2-3 | 41,176,652 | 40,961,236 | 0.0118 | 98.87 | 96.32 | 46.93 |
| Sample | Total Reads | Total Mapped | Multiple Mapped | Uniquely Mapped |
|---|---|---|---|---|
| P0-1 | 39,865,308 | 36,202,160 (90.81%) | 8,779,245 (22.02%) | 27,422,915 (68.79%) |
| P0-2 | 43,372,482 | 39,476,209 (91.02%) | 10,290,638 (23.73%) | 29,185,571 (67.29%) |
| P0-3 | 43,275,338 | 39,399,568 (91.04%) | 9,901,683 (22.88%) | 29,497,885 (68.16%) |
| P2-1 | 42,055,372 | 37,741,167 (89.74%) | 9,324,634 (22.17%) | 28,416,533 (67.57%) |
| P2-2 | 42,277,946 | 37,896,141 (89.64%) | 9,371,600 (22.17%) | 28,524,541 (67.47%) |
| P2-3 | 40,961,236 | 36,752,343 (89.72%) | 9,123,499 (22.27%) | 27,628,844 (67.45%) |
Disclaimer/Publisher’s Note: The statements, opinions and data contained in all publications are solely those of the individual author(s) and contributor(s) and not of MDPI and/or the editor(s). MDPI and/or the editor(s) disclaim responsibility for any injury to people or property resulting from any ideas, methods, instructions or products referred to in the content. |
© 2025 by the authors. Licensee MDPI, Basel, Switzerland. This article is an open access article distributed under the terms and conditions of the Creative Commons Attribution (CC BY) license (https://creativecommons.org/licenses/by/4.0/).
Share and Cite
Zeng, C.; Qi, L.; Guan, C.-L.; Chang, Y.-L.; He, Y.-Y.; Zhao, H.-Z.; Wang, C.; Zhao, Y.-R.; Dong, Y.-C.; Zhong, G.-F. Phage Therapy Enhances Survival, Immune Response, and Metabolic Resilience in Pacific White Shrimp (Litopenaeus vannamei) Challenged with Vibrio parahaemolyticus. Fishes 2025, 10, 366. https://doi.org/10.3390/fishes10080366
Zeng C, Qi L, Guan C-L, Chang Y-L, He Y-Y, Zhao H-Z, Wang C, Zhao Y-R, Dong Y-C, Zhong G-F. Phage Therapy Enhances Survival, Immune Response, and Metabolic Resilience in Pacific White Shrimp (Litopenaeus vannamei) Challenged with Vibrio parahaemolyticus. Fishes. 2025; 10(8):366. https://doi.org/10.3390/fishes10080366
Chicago/Turabian StyleZeng, Chao, Long Qi, Chao-Li Guan, Yu-Lin Chang, Yu-Yun He, Hong-Zheng Zhao, Chang Wang, Yi-Ran Zhao, Yi-Chen Dong, and Guo-Fang Zhong. 2025. "Phage Therapy Enhances Survival, Immune Response, and Metabolic Resilience in Pacific White Shrimp (Litopenaeus vannamei) Challenged with Vibrio parahaemolyticus" Fishes 10, no. 8: 366. https://doi.org/10.3390/fishes10080366
APA StyleZeng, C., Qi, L., Guan, C.-L., Chang, Y.-L., He, Y.-Y., Zhao, H.-Z., Wang, C., Zhao, Y.-R., Dong, Y.-C., & Zhong, G.-F. (2025). Phage Therapy Enhances Survival, Immune Response, and Metabolic Resilience in Pacific White Shrimp (Litopenaeus vannamei) Challenged with Vibrio parahaemolyticus. Fishes, 10(8), 366. https://doi.org/10.3390/fishes10080366
