Kinetic Analysis of the Thermal Inactivation Behavior of AMP Deaminase and IMPase in Each Muscle Type of Yellowtail Seriola quinqueradiata
Abstract
1. Introduction
2. Materials and Methods
2.1. Sample Preparation
2.1.1. Fish
2.1.2. Extraction of Crude Enzymes from Fish Muscles
2.1.3. Heating the Crude Enzyme Extract
2.2. Measurement of Enzyme Activity
2.3. Data Analysis
2.4. Statistical Analysis
3. Results and Discussion
3.1. Enzymatic Activity of AMP Deaminase and IMPase Before Heat Treatment
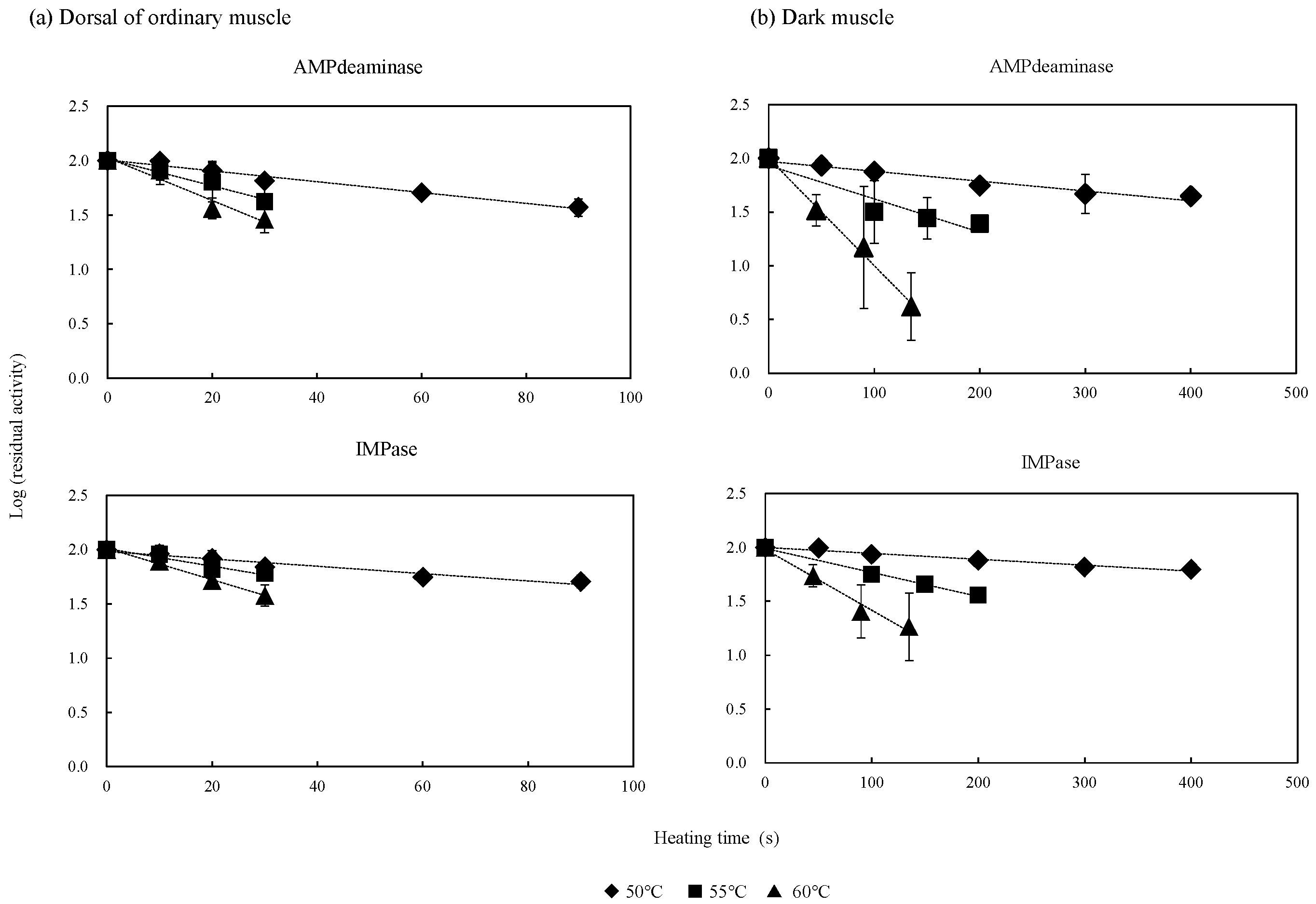
3.2. Kinetic Analysis of Thermal Inactivation Behaviors of AMP Deaminase and IMPase
4. Conclusions
Author Contributions
Funding
Institutional Review Board Statement
Informed Consent Statement
Data Availability Statement
Conflicts of Interest
Abbreviations
| IMP | inosine 5′-monophosphate |
| AMP | adenosine 5′-monophosphate |
| DM | dark muscle |
| OM | dorsal ordinary muscle |
References
- Murata, M.; Ando, M.; Sakaguchi, M. Freshness and palatability of fish meat. Nippon Shokuhin Kagaku Kogaku Kaishi 1995, 42, 462–468. (In Japanese) [Google Scholar] [CrossRef]
- Tomioka, K.; Endo, K. Effects of heating rate on the levels of extractive components in meats. J. Home Econ. Jpn. 1994, 45, 595–601, (In Japanese with English abstract). [Google Scholar] [CrossRef]
- Gram, L.; Huss, H.H. Microbiological spoilage of fish and fish products. Int. J. Food Microbiol. 1996, 33, 121–137. [Google Scholar] [CrossRef]
- Fukushima, H.; Yamada, K.; Wada, R.; Maeda, T.; Matsumiya, M. Thermal stabilities of inosine monophosphate-degrading enzymes in several fish muscles. Int. J. Food Prop. 2020, 23, 1158–1167. [Google Scholar] [CrossRef]
- Seki, H.; Hamada–Sato, N. Effect of various salts on inosinic acid-degrading enzyme activity in white and dark muscle of the Pacific saury. Fish. Sci. 2025, 81, 365–371. [Google Scholar] [CrossRef]
- Chen, B.; Yan, Q.; Li, D.; Xie, J. Degradation mechanism and development of detection technologies of ATP-related compounds in aquatic products: Recent advances and remaining challenges. Crit. Rev. Food Sci. Nutr. 2025, 65, 101–122. [Google Scholar] [CrossRef]
- Huang, X.; You, Y.; Liu, Q.; Dong, H.; Bai, W.; Lan, B.; Wu, J. Effect of gamma irradiation treatment on microstructure, water mobility, flavor, sensory and quality properties of smoked chicken breast. Food Chem. 2023, 421, 136174. [Google Scholar] [CrossRef]
- Furuta, A.; Mabuchi, R.; Tanimoto, S. Effects of different heating conditions on the texture and extracts of the meat from each part of the yellowtail Seriola quinqueradiata. Fish. Sci. 2020, 86, 693–700. [Google Scholar] [CrossRef]
- Fujikawa, H. Prediction of microbial death by heat and evaluation of the heating process. Nippon Shokuhin Kagaku Kaishi 2002, 3, 65–78, (In Japanese with English abstract). [Google Scholar] [CrossRef]
- Ling, B.; Tang, J.; Kong, F.; Mitcham, E.J.; Wang, S. Kinetics of food quality changes during thermal processing: A review. Food Bioprocess Technol. 2015, 8, 343–358. [Google Scholar] [CrossRef]
- Anthon, G.E.; Barrett, D.M. Kinetic parameters for the thermal inactivation of quality-related enzymes in carrots and potatoes. J. Agric. Food Chem. 2002, 50, 4119–4125. [Google Scholar] [CrossRef]
- Anthon, G.E.; Sekine, Y.; Watanabe, N.; Barrett, D.M. Thermal inactivation of pectin methylesterase, polygalacturonase, and peroxidase in tomato juice. J. Agric. Food Chem. 2002, 50, 6153–6159. [Google Scholar] [CrossRef]
- Tanimoto, S.; Matsumoto, H.; Fujii, K.; Ohdoi, R.; Sakamoto, K.; Izuwa, S.; Yamane, Y.; Shimoda, M.; Osajima, Y. Thermal inactivation behavior of enzymes in fresh sake during pasteurization. J. Brew. Soc. Jpn. 2004, 99, 208–214, (In Japanese with English abstract). [Google Scholar] [CrossRef][Green Version]
- Tanimoto, S.; Matsumoto, H.; Fujii, K.; Ohdoi, R.; Sakamoto, K.; Izuwa, S.; Yamane, Y.; Miyake, M.; Shimoda, M.; Osajima, Y. Inactivation of enzymes in fresh sake using a continuous flow system for high-pressure carbonation. Biosci. Biotechnol. Biochem. 2005, 69, 2094–2100. [Google Scholar] [CrossRef]
- Johnsen, S.O.; Skipnes, D.; Skåra, T.; Hendrickx, M.E. Thermal Inactivation kinetics of acid phosphatase (ACP) in cod (Gadus morhua). Eur. Food Res. Technol. 2007, 224, 315–320. [Google Scholar] [CrossRef]
- Fortea, M.I.; López-Miranda, S.; Serrano-Martínez, A.; Carreño, J.; Núñez-Delicado, E. Kinetic characterisation and thermal inactivation study of polyphenol oxidase and peroxidase from table grape (Crimson seedless). Food Chem. 2009, 113, 1008–1014. [Google Scholar] [CrossRef]
- Skipnes, D.; Van der Plancken, I.; Van Loey, A.; Hendrickx, M.E. Kinetics of heat denaturation of proteins from farmed Atlantic cod (Gadus morhua). J. Food Eng. 2008, 85, 51–58. [Google Scholar] [CrossRef]
- Murata, M.; Sakaguchi, M. Storage of yellowtail (Seriola quinqueradiata) white and dark muscles in ice: Changes in content of adenine nucleotides and related compounds. J. Food Sci. 1986, 51, 321–326. [Google Scholar] [CrossRef]
- Terauchi, K.; Matsumoto, T.; Hirota, N. Properties of AMP deaminase from skeletal muscle of snapper. Nippon Suisan Gakkaishi 1992, 58, 2075–2079, (In Japanese with English abstract). [Google Scholar] [CrossRef][Green Version]
- Yoshioka, T.; Konno, Y.; Konno, K. Below-zero storage fish to suppress loss of freshness. Fish. Sci. 2019, 85, 601–609. [Google Scholar] [CrossRef]
- Kuda, T.; Tsuda, N.; Yano, T. Thermal inactivation characteristics of acid and alkaline phosphatase in fish and shellfish. Food Chem. 2004, 88, 543–548. [Google Scholar] [CrossRef]
- Hashimoto, A.; Kobayashi, A.; Arai, K. Thermostability of fish myofibrillar Ca-ATPase and adaptation to environmental temperature. Nippon Suisan Gakkaishi 1982, 48, 671–684, (In Japanese with English abstract). [Google Scholar] [CrossRef]
- Matsumoto, T.; Terauchi, K.; Hirota, N. Regulatory properties of AMP deaminase from Snapper muscle. Fish. Sci. 1994, 60, 103–106. [Google Scholar] [CrossRef][Green Version]
- Chaney, A.L.; Marbach, E.P. Modifies reagents for determination of urea and ammonia. Clin. Chem. 1962, 8, 130–132. [Google Scholar] [CrossRef]
- Takahashi, T. Koden Hishokuho (Photoelectric colorimetry); Sekine, T., Sasagawa, T., Morita, S., Kimura, T., Kuratomi, K., Eds.; Nankodo: Tokyo, Japan, 1965; pp. 8–10. (In Japanese) [Google Scholar]
- Obatake, A.; Doi, T.; Ono, T. Post-mortem degradation of inosinic acid and related enzyme activity in the dark muscle of fish. Nippon Suisan Gakkaishi 1988, 54, 283–288, (In Japanese with English abstract). [Google Scholar] [CrossRef]
- Watabe, S.; Hashimoto, K. Myosins from white and dark muscles of mackerel: Some physico-chemical and enzymatic properties. J. Biochem. 1980, 87, 1491–1499. [Google Scholar] [CrossRef]
- Rehbein, H.; Oehlenschläger, J. Fishery Products: Quality, Safety and Authenticity; Wiley-Blackwell: Oxford, UK, 2009. [Google Scholar]
- Yasuda, Y.; Tsunoda, K.; Tanioka, Y.; Ohsawa, N. Enzymological comparison of serum and organ alkaline phosphatases in pig fetuses. Jpn. J. Zootech. sci. 1982, 53, 305–312, (In Japanese with English abstract). [Google Scholar] [CrossRef]
- Hazel, J.R.; Prosser, C.L. Molecular mechanisms of temperature compensation in poikilotherms. Physiol. Rev. 1974, 54, 620–677. [Google Scholar] [CrossRef]
- Tomioka, K.; Endo, K. Purification of 5′-nucleotidase from carp muscle. Nippon Suisan Gakkaishi 1984, 50, 1077–1081, (In Japanese with English abstract). [Google Scholar] [CrossRef][Green Version]
- Nedachi, K.; Hirota, N. Purification and properties of 5′-nucleotidase from snapper muscle. Nippon Suisan Gakkaishi 1992, 58, 1905–1911. [Google Scholar] [CrossRef][Green Version]
- Obatake, A.; Doi, T.; Itoh, Y. Purification and properties of acid phosphomonoesterase from the dark muscle of common mackerel. Nippon Suisan Gakkaishi 1988, 54, 463–468, (In Japanese with English abstract). [Google Scholar] [CrossRef]
- Lushchak, V.I.; Husak, V.V.; Storey, K.B. Regulation of AMP-deaminase activity from white muscle of common carp Cyprinus carpio. Comp. Biochem. Physiol. Part B Biochem. Mol. Biol. 2008, 149, 362–369. [Google Scholar] [CrossRef] [PubMed]
- Hidaka, T.; Saito, K. Studies on the biochemical change in fish muscle-X. On the AMP-deaminase activity of some fractions prepared from fish muscle. Nippon Suisan Gakkaishi 1960, 26, 1001–1005, (In Japanese with English abstract). [Google Scholar] [CrossRef]
- Orta-Ramirez, A.; Price, J.F.; Hsu, Y.C.; Veeramuthu, G.J.; Cherry-Merritt, J.S.; Smith, D.M. Thermal inactivation of Escherichia coli O157:H7, Salmonella senftenberg, and enzymes with potential as time-temperature indicators in ground beef. J. Food Prot. 1997, 60, 471–475. [Google Scholar] [CrossRef]
- FAO/WHO. Available online: https://www.fao.org/input/download/standards/13215/CXG_079e.pdf (accessed on 26 April 2025).
- FDA. Available online: https://www.fda.gov/media/80390/download (accessed on 26 April 2025).
- Food Sanitation Act. Available online: https://www.japaneselawtranslation.go.jp/en/laws/view/3687#je_ch2at9 (accessed on 26 April 2025).

| AMP Deaminase | IMPase | |||
|---|---|---|---|---|
| Dorsal Ordinary Muscle | Dark Muscle | Dorsal Ordinary Muscle | Dark Muscle | |
| Enzyme activity (unit/fish muscle g) | 240 ± 17 | 128 ± 14 * | 1.6 ± 0.1 † | 2.1 ± 0.1 *† |
| Temperature (°C) | AMP Deaminase | IMPase | |||
|---|---|---|---|---|---|
| Dorsal of Ordinary Muscle | Dark Muscle | Dorsal of Ordinary Muscle | Dark Muscle | ||
| D value (s) | 50 | 196 ± 21 | 1009 ± 418 | 298 ± 23 † | 1889 ± 192 *† |
| 55 | 91 ± 32 | 300 ± 106 * | 128 ± 20 | 450 ± 44 * | |
| 60 | 51 ± 7 | 139 ± 67 | 71 ± 14 | 203 ± 97 | |
| Z value (°C) | 17 ± 1 | 12 ± 2 * | 16 ± 1 | 10 ± 2 * | |
Disclaimer/Publisher’s Note: The statements, opinions and data contained in all publications are solely those of the individual author(s) and contributor(s) and not of MDPI and/or the editor(s). MDPI and/or the editor(s) disclaim responsibility for any injury to people or property resulting from any ideas, methods, instructions or products referred to in the content. |
© 2025 by the authors. Licensee MDPI, Basel, Switzerland. This article is an open access article distributed under the terms and conditions of the Creative Commons Attribution (CC BY) license (https://creativecommons.org/licenses/by/4.0/).
Share and Cite
Furuta, A.; Okura, R.; Kobayashi, C.; Tanimoto, S. Kinetic Analysis of the Thermal Inactivation Behavior of AMP Deaminase and IMPase in Each Muscle Type of Yellowtail Seriola quinqueradiata. Fishes 2025, 10, 215. https://doi.org/10.3390/fishes10050215
Furuta A, Okura R, Kobayashi C, Tanimoto S. Kinetic Analysis of the Thermal Inactivation Behavior of AMP Deaminase and IMPase in Each Muscle Type of Yellowtail Seriola quinqueradiata. Fishes. 2025; 10(5):215. https://doi.org/10.3390/fishes10050215
Chicago/Turabian StyleFuruta, Ayumi, Renri Okura, Chinatsu Kobayashi, and Shota Tanimoto. 2025. "Kinetic Analysis of the Thermal Inactivation Behavior of AMP Deaminase and IMPase in Each Muscle Type of Yellowtail Seriola quinqueradiata" Fishes 10, no. 5: 215. https://doi.org/10.3390/fishes10050215
APA StyleFuruta, A., Okura, R., Kobayashi, C., & Tanimoto, S. (2025). Kinetic Analysis of the Thermal Inactivation Behavior of AMP Deaminase and IMPase in Each Muscle Type of Yellowtail Seriola quinqueradiata. Fishes, 10(5), 215. https://doi.org/10.3390/fishes10050215

