Effects of Dietary Carbohydrate Levels on Growth Performance, Antioxidant Capacity, and Hepatointestinal Health in Schizopygopsis younghusbandi
Abstract
1. Introduction
2. Materials and Methods
2.1. Experimental Fish and Diet
2.2. Experimental Design
2.3. Determination of Proximate Composition
2.4. Histological Analysis of the Hepatopancreas and Intestine
2.5. Enzyme Activity Assays
2.6. Biochemical Analysis of Serum
2.7. Statistical Analysis
3. Results
3.1. Growth Performance
3.2. Proximate Composition
3.3. Antioxidant Activity
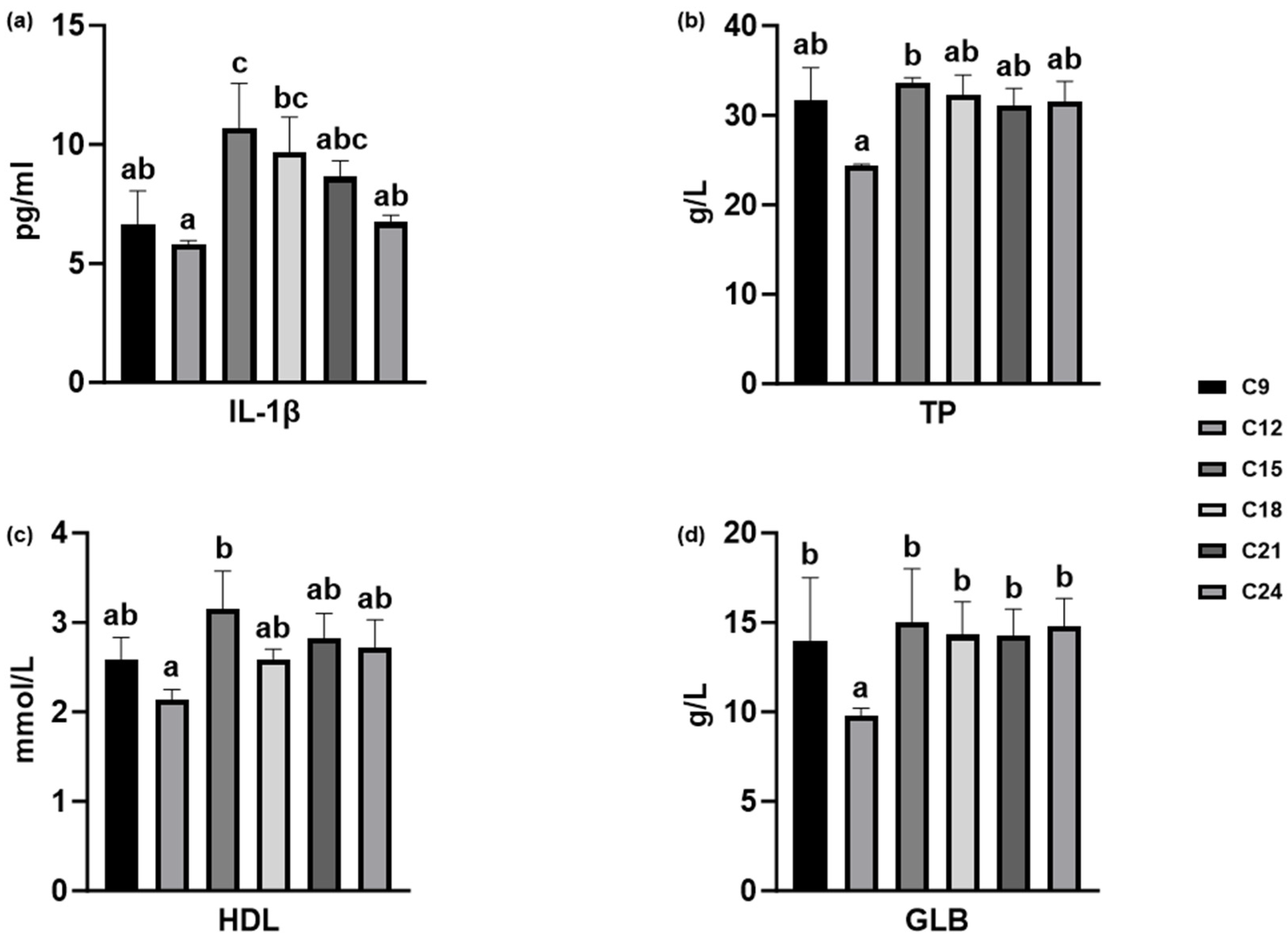
3.4. Serum Biochemistry
3.5. Intestinal Morphology and Health Assessment
3.6. The Microscopic Morphology of the Liver
4. Discussion
4.1. Low-Carbohydrate Diet Improves Growth Performance
4.2. Low-Carbohydrate Diets Enhance Antioxidant Capacity
4.3. Low-Carbohydrate Diets Maintain Hepatointestinal Tissue Integrity
5. Conclusions
Author Contributions
Funding
Institutional Review Board Statement
Data Availability Statement
Acknowledgments
Conflicts of Interest
References
- Zhang, J.-W.; Yan, Y.-N.; Zhao, Z.-Q.; Liu, X.-M.; Li, X.-D.; Zhang, D.; Ding, H.; Meng, J.-L.; Liu, C.-Q. Spatiotemporal variation of Li isotopes in the Yarlung Tsangpo River basin (upper reaches of the Brahmaputra River): Source and process. Earth Planet. Sci. Lett. 2022, 600, 117875. [Google Scholar] [CrossRef]
- Yang, Q.; Zhang, P.; Li, X.; Yang, S.; Chao, X.; Liu, H.; Ba, S. Distribution patterns and community assembly processes of eukaryotic microorganisms along an altitudinal gradient in the middle reaches of the Yarlung Zangbo River. Water Res. 2023, 239, 120047. [Google Scholar] [CrossRef] [PubMed]
- Li, C.; Hao, J.; Zhang, G.; Fang, H.; Wang, Y.; Lu, H. Runoff variations affected by climate change and human activities in Yarlung Zangbo River, southeastern Tibetan Plateau. Catena 2023, 230, 107184. [Google Scholar] [CrossRef]
- Sun, W.; Wang, Y.; Fu, Y.H.; Xue, B.; Wang, G.; Yu, J.; Zuo, D.; Xu, Z. Spatial heterogeneity of changes in vegetation growth and their driving forces based on satellite observations of the Yarlung Zangbo River Basin in the Tibetan Plateau. J. Hydrol. 2019, 574, 324–332. [Google Scholar] [CrossRef]
- Liu, X.; Yang, J.; Zhao, L.; Liu, Y.; Gao, F.; Tang, J.; Wang, H.; Chen, Z.; Wang, S.; Li, G.; et al. Aeolian activity in the Yarlung Zangbo River Basin, southern Tibetan Plateau, began at 584 ka: Implications for the glaciation of the Tibetan Plateau. Quat. Sci. Rev. 2024, 337, 108799. [Google Scholar] [CrossRef]
- Han, H.; Wang, L.; Zhang, C.; Li, H.; Ma, B. Population structure, growth characteristics, resource dynamics, and management strategies of Schizopygopsis younghusbandi in four tributaries of the yarlung zangbo river, Tibet. Biology 2025, 14, 707. [Google Scholar] [CrossRef]
- Zhou, C.; Zhou, Y.; Xu, L.; Liu, F.; Lei, L.; Gao, H.; Li, J.; Fu, S.; Duan, Y.; Tan, Y.; et al. Chromosome-level genome assembly and population genomic analysis provide insights into the genetic diversity and adaption of Schizopygopsis younghusbandi on the Tibetan Plateau. Integr. Zool. 2024. [Google Scholar] [CrossRef]
- Chen, F.; Chen, Y.; He, D. Age and growth of Schizopygopsis younghusbandi younghusbandi in the Yarlung Zangbo River in Tibet, China. Environ. Biol. Fishes 2008, 86, 155–162. [Google Scholar] [CrossRef]
- Duan, Y.J.; Xie, C.X.; Zhou, X.J.; Ma, B.S.; Huo, B. Age and growth characteristics ofSchizopygopsis younghusbandiRegan, 1905 in the Yarlung Tsangpo River in Tibet, China. J. Appl. Ichthyol. 2014, 30, 948–954. [Google Scholar] [CrossRef]
- Zeng, B.; Wang, W.; Dong, Y. Dietary protein requirement of the high altitude’s representative teleost juveniles Schizopygopsis younghusbandi (Cypriniformes: Cyprinidae). Aquac. Res. 2020, 51, 2852–2862. [Google Scholar] [CrossRef]
- Chang, T.; Gong, Z.; Shang, K.; Hu, P. Dispersal limitation dominates riverine fish communities in the areas of the water diversion project in the western Sichuan Plateau, China. Animals 2025, 15, 730. [Google Scholar] [CrossRef] [PubMed]
- Wang, J.; Li, X.; Han, T.; Yang, Y.; Jiang, Y.; Yang, M.; Xu, Y.; Harpaz, S. Effects of different dietary carbohydrate levels on growth, feed utilization and body composition of juvenile grouper Epinephelus akaara. Aquaculture 2016, 459, 143–147. [Google Scholar] [CrossRef]
- Zhang, B.-Y.; Cai, G.-H.; Yang, H.-L.; Nie, Q.-J.; Liu, Z.-Y.; Sun, Y.-Z. New insights on intestinal microorganisms and carbohydrate metabolism in fish. Aquac. Int. 2023, 32, 2151–2170. [Google Scholar] [CrossRef]
- Hemre, G.I.; Mommsen, T.P.; Krogdahl, A. Carbohydrates in fish nutrition: Effects on growth, glucose metabolism and hepatic enzymes. Aquac. Nutr. 2002, 8, 175–194. [Google Scholar] [CrossRef]
- Polakof, S.; Panserat, S.; Soengas, J.L.; Moon, T.W. Glucose metabolism in fish: A review. J. Comp. Physiol. B 2012, 182, 1015–1045. [Google Scholar] [CrossRef]
- Jubouri, M.; Talarico, G.G.M.; Weber, J.-M.; Mennigen, J.A. Alanine alters the carbohydrate metabolism of rainbow trout: Glucose flux and cell signaling. J. Exp. Biol. 2021, 224, jeb232918. [Google Scholar] [CrossRef]
- Zhu, W.; Zhang, H.; Pan, H.; Zeng, H.; Wang, W.; Liu, Y.; Wang, Z.; Zhou, Q.; Yu, C. Sodium alginate ameliorates health in freshwater fish through gut-liver axis modulation under high carbohydrate diets. Aquac. Rep. 2024, 40, 102538. [Google Scholar] [CrossRef]
- Ning, L.; Zhang, H.; Chen, X.; Zhen, J.; Chen, S.; Guang, J.; Xu, C.; Li, Y. A comparative study on the tolerance of tilapia (Oreochromis niloticus) to high carbohydrate and high lipid diets. Anim. Nutr. 2023, 13, 160–172. [Google Scholar] [CrossRef]
- Wei, M.; Tian, Z.; Zhang, N.; Zhou, L.; Li, H.; Ji, H.; He, G.; Zhang, J.; Sun, J. Promoting adipocyte hyperplasia ameliorates high-carbohydrate diet-induced inflammation, oxidative stress, and metabolic disorders and enhances growth performance and immune function in grass carp (Ctenopharyngodon idellus). Fish Physiol. Biochem. 2025, 51, 51. [Google Scholar] [CrossRef]
- Wei, M.; Yuan, X.; Song, L.; Li, H.; Ji, H.; Sun, J. Comparative proteomic analysis of pathological characterization of adipose tissue remodeling induced by high-fat diet and high-carbohydrate diet in grass carp (Ctenopharyngodon idellus). Aquaculture 2024, 590, 741079. [Google Scholar] [CrossRef]
- Liu, F.; Xiaoze, G.; Xu-Fang, L. First feeding of grass carp (Ctenopharyngodon idellus) with a high-carbohydrate diet:the effect on glucose metabolism in juveniles. Aquac. Rep. 2021, 21, 100830. [Google Scholar] [CrossRef]
- Gao, B.; Zhang, X.; Zhang, Y.; Li, S.; Lu, L.; Xu, D.; Liu, X. Effects of dietary carbohydrate levels on the growth, glycometabolism, antioxidant capacity and metabolome of largemouth bass (Micropterus salmoides). Aquac. Res. 2022, 53, 3748–3758. [Google Scholar] [CrossRef]
- Chang, R.J.A.; Celino-Brady, F.T.; Breves, J.P.; Seale, A.P. Environmental salinity differentially impacts branchial and hepatic carbohydrate metabolism in tilapia. J. Fish Biol. 2025, 107, 932–945. [Google Scholar] [CrossRef] [PubMed]
- Yin, P.; Xie, S.; Zhuang, Z.; He, X.; Tang, X.; Tian, L.; Liu, Y.; Niu, J. Dietary supplementation of bile acid attenuate adverse effects of high-fat diet on growth performance, antioxidant ability, lipid accumulation and intestinal health in juvenile largemouth bass (Micropterus salmoides). Aquaculture 2021, 531, 735864. [Google Scholar] [CrossRef]
- Andersen, W.C.; Casey, C.R.; Nickel, T.J.; Young, S.L.; Turnipseed, S.B. Dye residue analysis in raw and processed aquaculture products: Matrix extension of aoac international official method 2012.25. J. AOAC Int. 2018, 101, 1927–1939. [Google Scholar] [CrossRef]
- Wilson, R.P. Utilization of dietary carbohydrate by fish. Aquaculture 1994, 124, 67–80. [Google Scholar] [CrossRef]
- Kamalam, B.S.; Medale, F.; Panserat, S. Utilisation of dietary carbohydrates in farmed fishes: New insights on influencing factors, biological limitations and future strategies. Aquaculture 2017, 467, 3–27. [Google Scholar] [CrossRef]
- Hemre, G.I.; Torrissen, O.; Krogdahl, Å.; Lie, Ø. Glucose tolerance in Atlantic salmon, Salmo salar L., dependence on adaption to dietary starch and water temperature. Aquac. Nutr. 1995, 1, 69–75. [Google Scholar] [CrossRef]
- Hemre, G.I.; Lie, O.; Sundby, A. Dietary carbohydrate utilization in cod (Gadus morhua): Metabolic responses to feeding and fasting. Fish Physiol. Biochem. 1993, 10, 455–463. [Google Scholar] [CrossRef]
- Sen, P.R.; Rao, N.G.S.; Ghosh, S.R.; Rout, M. Observations on the protein and carbohydrate requirements of carps. Aquaculture 1978, 13, 245–255. [Google Scholar] [CrossRef]
- Meng, Y.; Li, C.; Qin, Q.; Tong, Y.; Zhu, R.; Xu, G.; Shi, Y.; Shi, J.; Ma, R. Dietary Lipid Levels Affect the Growth Performance, Lipid Deposition, and Antioxidative Capacity of Juvenile Scaleless Carp, Gymnocypris przewalskii, on the Qinghai-Tibetan Plateau. J. World Aquac. Soc. 2017, 49, 788–797. [Google Scholar] [CrossRef]
- Semenkovich, C.F. Insulin resistance and atherosclerosis. J. Clin. Investig. 2006, 116, 1813–1822. [Google Scholar] [CrossRef]
- Vercalsteren, E.; Vranckx, C.; Corbeels, K.; Van der Schueren, B.; Velde, G.V.; Lijnen, R.; Scroyen, I. Carbohydrates to prevent and treat obesity in a murine model of diet-induced obesity. Obes. Facts 2021, 14, 370–381. [Google Scholar] [CrossRef] [PubMed]
- Song, X.; Marandel, L.; Skiba-Cassy, S.; Corraze, G.; Dupont-Nivet, M.; Quillet, E.; Geurden, I.; Panserat, S. Regulation by dietary carbohydrates of intermediary metabolism in liver and muscle of two isogenic lines of rainbow trout. Front. Physiol. 2018, 9, 1579. [Google Scholar] [CrossRef] [PubMed]
- Moon, T.W. Glucose intolerance in teleost fish: Fact or fiction? Comp. Biochem. Physiol. B Biochem. Mol. Biol. 2001, 129, 243–249. [Google Scholar] [CrossRef] [PubMed]
- Li, X.; Zheng, S.; Jia, S.; Song, F.; Zhou, C.; Wu, G. Oxidation of energy substrates in tissues of largemouth bass (Micropterus salmoides). Amino Acids 2020, 52, 1017–1032. [Google Scholar] [CrossRef]
- Taysı, M.R. Assessing the effects of cadmium on antioxidant enzymes and histological structures in rainbow trout liver and kidney. Sci. Rep. 2024, 14, 27453. [Google Scholar] [CrossRef]
- Wang, Y.; Chen, Y.; Zhang, X.; Lu, Y.; Chen, H. New insights in intestinal oxidative stress damage and the health intervention effects of nutrients: A review. J. Funct. Foods 2020, 75, 104248. [Google Scholar] [CrossRef]
- Liu, R.; Zhang, Y.; Liang, X.; Lou, B.; Zhu, J. Effects of glutamate on growth performance, gut digestion and antioxidant capacity in juvenile little yellow croaker. Fishes 2025, 10, 188. [Google Scholar] [CrossRef]
- Banerjee, P.; Wang, Y.; Carnevale, L.N.; Patel, P.; Raspur, C.K.; Tran, N.; Zhang, X.; Natarajan, R.; Roberts, A.J.; Baran, P.S.; et al. diAcCA, a Pro-Drug for Carnosic Acid That Activates the Nrf2 Transcriptional Pathway, Shows Efficacy in the 5xFAD Transgenic Mouse Model of Alzheimer’s Disease. Antioxidants 2025, 14, 293. [Google Scholar] [CrossRef]
- Yu, C.; Xiao, J.-H. The Keap1-Nrf2 System: A Mediator between Oxidative Stress and Aging. Oxidative Med. Cell. Longev. 2021, 2021, 6635460. [Google Scholar] [CrossRef]
- Yulong, S.; Wenzhuo, Z.; Jiteng, W.; Jiale, H.; Jiankun, Z.; Tao, H. Astaxanthin enhances antioxidant capacity to alleviate thermal stress-induced liver inflammation in largemouth bass (Micropterus salmoides): A multi-omics insight into glutathione metabolism remodeling. Front. Mar. Sci. 2025, 12, 1595039. [Google Scholar] [CrossRef]
- Zhang, Y.; Wei, Z.; Yang, M.; Liu, D.; Pan, M.; Wu, C.; Zhang, W.; Mai, K. Dietary taurine modulates hepatic oxidative status, ER stress and inflammation in juvenile turbot (Scophthalmus maximus L.) fed high carbohydrate diets. Fish Shellfish Immunol. 2021, 109, 1–11. [Google Scholar] [CrossRef]
- Xu, R.; Ding, F.-F.; Zhou, N.-N.; Wang, T.; Wu, H.-X.; Qiao, F.; Chen, L.-Q.; Du, Z.-Y.; Zhang, M.-L. Bacillus amyloliquefaciens protects Nile tilapia against Aeromonas hydrophila infection and alleviates liver inflammation induced by high-carbohydrate diet. Fish Shellfish Immunol. 2022, 127, 836–842. [Google Scholar] [CrossRef]
- Xu, C.; Liu, W.-B.; Remø, S.C.; Wang, B.-K.; Shi, H.-J.; Zhang, L.; Liu, J.-D.; Li, X.-F. Feeding restriction alleviates high carbohydrate diet-induced oxidative stress and inflammation of Megalobrama amblycephala by activating the AMPK-SIRT1 pathway. Fish Shellfish Immunol. 2019, 92, 637–648. [Google Scholar] [CrossRef]
- Abdollahi, A.; Narayanan, S.K.; Frankovich, A.; Lai, Y.-C.; Zhang, Y.; Henderson, G.C. Albumin deficiency reduces hepatic steatosis and improves glucose metabolism in a mouse model of diet-induced obesity. Nutrients 2023, 15, 2060. [Google Scholar] [CrossRef] [PubMed]
- Deng, K.; Pan, M.; Liu, J.; Yang, M.; Gu, Z.; Zhang, Y.; Liu, G.; Liu, D.; Zhang, W.; Mai, K. Chronic stress of high dietary carbohydrate level causes inflammation and influences glucose transport through SOCS3 in Japanese flounder Paralichthys olivaceus. Sci. Rep. 2018, 8, 7415. [Google Scholar] [CrossRef] [PubMed]
- Jiao, F.; Zhang, L.; Limbu, S.M.; Yin, H.; Xie, Y.; Yang, Z.; Shang, Z.; Kong, L.; Rong, H. A comparison of digestive strategies for fishes with different feeding habits: Digestive enzyme activities, intestinal morphology, and gut microbiota. Ecol. Evol. 2023, 13, e10499. [Google Scholar] [CrossRef] [PubMed]
- Sitjà-Bobadilla, A.; Gil-Solsona, R.; Estensoro, I.; Piazzon, M.C.; Martos-Sitcha, J.A.; Picard-Sánchez, A.; Fuentes, J.; Sancho, J.V.; Calduch-Giner, J.A.; Hernández, F.; et al. Disruption of gut integrity and permeability contributes to enteritis in a fish-parasite model: A story told from serum metabolomics. Parasites Vectors 2019, 12, 486. [Google Scholar] [CrossRef]
- Painefilú, J.C.; Bianchi, V.A.; Krock, B.; De Anna, J.S.; Kristoff, G.; Luquet, C.M. Effects of paralytic shellfish toxins on the middle intestine of Oncorhynchus mykiss: Glutathione metabolism, oxidative status, lysosomal function and ATP-binding cassette class C (ABCC) proteins activity. Ecotoxicol. Environ. Saf. 2020, 204, 111069. [Google Scholar] [CrossRef]





| Item | C9 | C12 | C15 | C18 | C21 | C24 |
|---|---|---|---|---|---|---|
| Ingredients (%) | ||||||
| Corn starch | 7.8 | 11.6 | 15.4 | 19.2 | 23 | 26.8 |
| Flour | 3.9 | 3.5 | 3.1 | 2.7 | 2.3 | 1.9 |
| Fish meal | 13 | 13 | 13 | 13 | 13 | 13 |
| Mealworm meal | 10 | 10 | 10 | 10 | 10 | 10 |
| Beer yeast | 5 | 5 | 5 | 5 | 5 | 5 |
| Soybean meal | 28.6 | 28.6 | 28.6 | 28.6 | 28.6 | 28.6 |
| Wheat gluten | 5 | 5 | 5 | 5 | 5 | 5 |
| Fish oil | 1.5 | 1.5 | 1.5 | 1.5 | 1.5 | 1.5 |
| Soy oil | 1.5 | 1.5 | 1.5 | 1.5 | 1.5 | 1.5 |
| Soya lecithin | 1.5 | 1.5 | 1.5 | 1.5 | 1.5 | 1.5 |
| Vitamin premix 1 | 1 | 1 | 1 | 1 | 1 | 1 |
| Mineral premix 2 | 1 | 1 | 1 | 1 | 1 | 1 |
| Choline chloride (50%) | 0.5 | 0.5 | 0.5 | 0.5 | 0.5 | 0.5 |
| Ca(H2PO4)2 | 1.5 | 1.5 | 1.5 | 1.5 | 1.5 | 1.5 |
| Vitamin c | 0.2 | 0.2 | 0.2 | 0.2 | 0.2 | 0.2 |
| Sodium alginate | 1 | 1 | 1 | 1 | 1 | 1 |
| Microcrystalline cellulose | 17 | 13.6 | 10.2 | 6.8 | 3.4 | 0 |
| Sum | 100 | 100 | 100 | 100 | 100 | 100 |
| Proximate analysis (% air dry matter) | ||||||
| Crude protein | 35.08 | 35.07 | 35.06 | 35.05 | 35.03 | 35.03 |
| Crude lipid | 6.99 | 6.99 | 6.98 | 6.98 | 6.98 | 6.98 |
| Carbohydrate | 9.07 | 12.05 | 15.03 | 18.01 | 20.99 | 23.97 |
| Moisture | 10.85 ± 0.24 | 10.44 ± 0.31 | 11.01 ± 0.63 | 11.27 ± 0.77 | 10.94 ± 0.21 | 11.42 ± 0.49 |
| Crude ash | 10.38 ± 0.22 | 10.29 ± 0.32 | 10.42 ± 0.20 | 9.94 ± 0.17 | 10.11 ± 0.16 | 9.67 ± 0.27 |
| NFE | 22.63 | 21.16 | 20.50 | 21.28 | 20.97 | 22.03 |
| Gross energy (kJ g−1) | 18.73 ± 0.62 | 18.82 ± 0.74 | 18.77 ± 0.77 | 18.65 ± 0.65 | 18.69 ± 0.59 | 18.72 ± 0.67 |
| Item | C9 | C12 | C15 | C18 | C21 | C24 |
|---|---|---|---|---|---|---|
| IBW | 37.57 ± 0.27 | 37.53 ± 0.30 | 37.43 ± 0.29 | 37.63 ± 0.29 | 37.32 ± 0.26 | 37.48 ± 0.10 |
| FBW | 42.28 ± 1.49 | 42.41 ± 1.24 | 41.02 ± 1.12 | 40.37 ± 0.73 | 39.39 ± 0.37 | 40.69 ± 0.82 |
| SR | 90.00 ± 1.22 | 93.25 ± 2.66 | 96.75 ± 1.43 | 94.25 ± 1.70 | 93.50 ± 5.55 | 94.25 ± 3.81 |
| WGR | 11.99 ± 1.55 bc | 13.12 ± 0.55 c | 8.41 ± 0.86 ab | 7.26 ± 1.51 a | 5.66 ± 0.38 a | 8.52 ± 1.46 ab |
| SGR | 0.22 ± 0.03 bc | 0.24 ± 0.01 c | 0.16 ± 0.01 ab | 0.14 ± 0.03 a | 0.11 ± 0.01 a | 0.16 ± 0.02 ab |
| FCR | 1.83 ± 0.25 ab | 1.21 ± 0.06 a | 2.15 ± 0.22 abc | 3.15 ± 0.66 cd | 3.71 ± 0.33 d | 2.44 ± 0.41 bc |
| CF | 1.12 ± 0.01 | 1.18 ± 0.02 | 1.20 ± 0.02 | 1.13 ± 0.02 | 1.17 ± 0.02 | 1.24 ± 0.05 |
| HSI | 0.68 ± 0.04 a | 0.83 ± 0.07 a | 0.84 ± 0.04 a | 1.12 ± 0.09 b | 1.27 ± 0.07 b | 1.29 ± 0.10 b |
| VSI | 5.28 ± 0.18 a | 5.90 ± 0.19 ab | 6.51 ± 0.24 b | 6.18 ± 0.18 b | 6.50 ± 0.23 b | 6.09 ± 0.10 b |
| IPF | 0.42 ± 0.04 a | 0.59 ± 0.05 ab | 0.55 ± 0.04 ab | 0.50 ± 0.06 ab | 0.62 ± 0.07 b | 0.82 ± 0.09 c |
| Item (%) | C9 | C12 | C15 | C18 | C21 | C24 |
|---|---|---|---|---|---|---|
| Whole-fish Moisture | 69.74 ± 0.95 | 70.74 ± 0.80 | 70.69 ± 0.90 | 68.22 ± 1.06 | 67.67 ± 1.26 | 67.39 ± 1.59 |
| Whole-fish Crude fat | 21.12 ± 0.12 | 19.14 ± 0.68 | 20.43 ± 1.40 | 25.85 ± 1.69 | 19.51 ± 0.17 | 19.18 ± 0.11 |
| Whole-fish Crude protein | 63.92 ± 1.41 | 64.07 ± 1.01 | 63.45 ± 1.39 | 62.35 ± 1.96 | 64.10 ± 0.83 | 64.54 ± 1.44 |
| Muscle Moisture | 75.75 ± 0.37 | 76.80 ± 0.45 | 76.39 ± 0.72 | 76.35 ± 0.42 | 76.22 ± 0.38 | 76.72 ± 0.17 |
| Muscle Crude fat | 9.38 ± 1.31 d | 2.20 ± 0.62 a | 4.07 ± 0.27 b | 4.74 ± 0.43 b | 6.85 ± 0.18 c | 4.54 ± 0.31 b |
| Muscle Crude protein | 54.16 ± 2.29 c | 50.81 ± 0.99 bc | 42.84 ± 2.15 ab | 47.15 ± 3.24 bc | 46.09 ± 0.61 abc | 38.25 ± 3.11 a |
| Liver Moisture | 72.98 ± 1.05 b | 70.01 ± 0.71 ab | 68.44 ± 0.98 ab | 71.37 ± 1.51 ab | 71.09 ± 0.82 ab | 66.20 ± 2.52 a |
| Liver Crude fat | 23.56 ± 0.04 | 26.36 ± 0.02 | 32.15 ± 1.06 | 29.78 ± 5.47 | 28.28 ± 5.44 | 34.02 ± 4.48 |
| Liver Crude protein | 76.45 ± 2.82 | 78.22 ± 1.52 | 78.57 ± 1.05 | 80.03 ± 1.70 | 77.75 ± 2.29 | 78.35 ± 0.76 |
| Item | C9 | C12 | C15 | C18 | C21 | C24 |
|---|---|---|---|---|---|---|
| T-SOD | 58.23 ± 4.21 ab | 62.17 ± 4.75 a | 56.76 ± 6.12 ab | 55.81 ± 3.54 ab | 55.46 ± 5.52 ab | 51.44 ± 3.73 b |
| MDA | 5.66 ± 0.90 a | 5.18 ± 0.58 b | 6.49 ± 1.01 a | 6.65 ± 1.13 a | 6.39 ± 0.73 a | 7.54 ± 0.93 a |
Disclaimer/Publisher’s Note: The statements, opinions and data contained in all publications are solely those of the individual author(s) and contributor(s) and not of MDPI and/or the editor(s). MDPI and/or the editor(s) disclaim responsibility for any injury to people or property resulting from any ideas, methods, instructions or products referred to in the content. |
© 2025 by the authors. Licensee MDPI, Basel, Switzerland. This article is an open access article distributed under the terms and conditions of the Creative Commons Attribution (CC BY) license (https://creativecommons.org/licenses/by/4.0/).
Share and Cite
Ye, T.; Luo, M.; Liao, Z.; Zhang, W.; Gu, X.; He, X.; Pu, H.; Li, X.; Zeng, B.; Niu, J. Effects of Dietary Carbohydrate Levels on Growth Performance, Antioxidant Capacity, and Hepatointestinal Health in Schizopygopsis younghusbandi. Fishes 2025, 10, 489. https://doi.org/10.3390/fishes10100489
Ye T, Luo M, Liao Z, Zhang W, Gu X, He X, Pu H, Li X, Zeng B, Niu J. Effects of Dietary Carbohydrate Levels on Growth Performance, Antioxidant Capacity, and Hepatointestinal Health in Schizopygopsis younghusbandi. Fishes. 2025; 10(10):489. https://doi.org/10.3390/fishes10100489
Chicago/Turabian StyleYe, Tao, Mingfei Luo, Zhihong Liao, Wenrui Zhang, Xingyu Gu, Xuanshu He, Haiqi Pu, Xiaomin Li, Benhe Zeng, and Jin Niu. 2025. "Effects of Dietary Carbohydrate Levels on Growth Performance, Antioxidant Capacity, and Hepatointestinal Health in Schizopygopsis younghusbandi" Fishes 10, no. 10: 489. https://doi.org/10.3390/fishes10100489
APA StyleYe, T., Luo, M., Liao, Z., Zhang, W., Gu, X., He, X., Pu, H., Li, X., Zeng, B., & Niu, J. (2025). Effects of Dietary Carbohydrate Levels on Growth Performance, Antioxidant Capacity, and Hepatointestinal Health in Schizopygopsis younghusbandi. Fishes, 10(10), 489. https://doi.org/10.3390/fishes10100489

