Population Dynamics of the Crocodile Shark, Pseudocarcharias kamoharai, in the Tropical Equatorial Pacific Ocean, Ecuador
Abstract
1. Introduction
2. Materials and Methods
2.1. Data Source
2.2. Data Analysis and Models
3. Results
3.1. Natural Mortality Rates
3.2. Total Mortality Rates
3.3. Fishing Mortality Rates
3.4. Exploitation Rate
3.5. Biological Reference Points
4. Discussion
4.1. Natural Mortality Rates
4.2. Total Mortality Rates
4.3. Fishing Mortality Rates
4.4. Exploitation Rate
4.5. Biological Reference Points
5. Conclusions
Author Contributions
Funding
Institutional Review Board Statement
Informed Consent Statement
Data Availability Statement
Acknowledgments
Conflicts of Interest
Correction Statement
References
- Smith, T.M.; Smith, R.L. Ecología, 6th ed.; Pearson Educación: Madrid, Spain, 2007; p. 776. [Google Scholar]
- Csirke, J. Introducción a la Dinámica de Poblaciones de Peces; FAO Documento Técnica de Pesca No. 192; FAO: Callao, Peru, 1980; p. 82. [Google Scholar]
- Cortés, E. Life history patterns, demography, and population dynamics. In Biology of Sharks and Their Relatives; Carrier, J.C., Musick, J.A., Heithaus, M.R., Eds.; CRC Press: Boca Raton, FL, USA, 2004; pp. 449–470. [Google Scholar]
- Simpfendorfer, C.A. Demographic models: Life tables, matrix models and rebound potential. In Management Techniques for Elasmobranch Fisheries; Musick, J.A., Bonfil, R., Eds.; FAO Fisheries Technical Paper No. 474; FAO: Rome, Italy, 2005; pp. 187–204. [Google Scholar]
- Gulland, J.A. The Fish Resources of the Oceans; Fishing News: Surrey, UK, 1971; p. 255. [Google Scholar]
- Ehrhardt, N.M. Curso Sobre Métodos en Dinámica de Poblaciones. Primera Parte: Estimación de Parámetros Poblacionales; FAO-INP: Ciudad de México, Mexico, 1981; p. 133. [Google Scholar]
- FAO. Glosario de Pesca. 2014. Available online: https://www.fao.org/faoterm/collection/fisheries/es (accessed on 24 June 2023).
- Aguirre-Enríquez, P. Manual de Biología Pesquera; Spain, 2012; p. 583. [Google Scholar]
- Cushing, D.H. Fisheries Biology: A study in Population Dynamics; The University of Wisconsin Press: Madison, WI, USA, 1968; p. 200. [Google Scholar]
- Cadima, E.L. Manual de Evaluación de Recursos Pesqueros; FAO Documento Técnico de Pesca. No. 393; FAO: Rome, Italy, 2003; p. 162. [Google Scholar]
- Compagno, L.J.V.; Dando, M.; Fowler, S.L. A Field Guide to the Sharks of the World; Collins: London, UK, 2005; p. 368. [Google Scholar]
- Ebert, D.A. Deep–Sea Cartilaginous Fishes of the Southeastern Pacific Ocean; FAO species catalogue for fishery purposes No. 10; FAO: Rome, Italy, 2016; p. 241. [Google Scholar]
- Martínez-Ortiz, J.; García-Domínguez, M. Guía de Campo: Condrictios del Ecuador. Quimeras, Tiburones Y Rayas; Ministerio de Agricultura, Ganadería, Acuacultura y Pesca (MAGAP), Viceministerio de Acuicultura y Pesca (VMAP), Subsecretaría de Recursos Pesqueros (SRP): Manta, Ecuador, 2013; p. 246. [Google Scholar]
- Subsecretaría de Recursos Pesqueros. Peces Pelágicos Grandes Y Tiburones. MAGAP, VAP, SRP. Available online: http://tiburon.viceministerioap.gob.ec/tiburon-ecuador/estadisticas-globales-por-mes-todos-los-puertos-264.html (accessed on 20 June 2014).
- Allen, M.S.; Hightower, J.E. Fish population dynamics: Mortality, growth, and recruitment. In Inland Fisheries Management in North America, 3rd ed.; Hubert, W.A., Quist, M.C., Eds.; American Fisheries Society: Bethesda, MD, USA, 2010; pp. 43–79. [Google Scholar]
- Calle-Morán, M.D.; Oddone, M.C.; Márquez-Farías, J.F.; Bonfil, R. Size structure, length-body mass relationship, and relative condition factor of the crocodile shark, Pseudocarcharias kamoharai, in the Southeastern Pacific Ocean, Ecuador. Reg. Stud. Mar. Sci. 2023, 60, 102890. [Google Scholar] [CrossRef]
- Calle-Morán, M.D.; Aragón-Noriega, E.A.; Galván-Magaña, F. Age and growth of the crocodile shark, Pseudocarcharias kamoharai, in the Eastern Tropical Pacific Ocean. Mar. Biol. Res. 2024, 20, 86–101. [Google Scholar] [CrossRef]
- Calle-Morán, M.D.; Aragón-Noriega, E.A. Reproductive biology of the crocodile shark, Pseudocarcharias kamoharai, in the Ecuadorian Pacific Ocean. Reg. Stud. Mar. Sci. 2023, 66, 103135. [Google Scholar] [CrossRef]
- Alverson, D.L.; Carney, M.J. A graphic review of the growth and decay of population cohorts. J. Cons. 1977, 36, 133–143. [Google Scholar] [CrossRef]
- Rickhter, V.A.; Efanov, V.N. On One of the Approaches to Estimation of Natural Mortality of Fish Populations; Research Document 76/VI; International Commission of the Northwest Atlantic Fisheries: Kaliningrad, Russia, 1976; Volume 8, pp. 1–12. [Google Scholar]
- Pauly, D. On the interrelationships between natural mortality, growth parameters and mean environmental temperature in 175 fish stocks. J. Cons. 1980, 39, 175–192. [Google Scholar] [CrossRef]
- Jensen, A.L. Beverton and Holt life history invariants result from optimal trade-off of reproduction and survival. Can. J. Fish. Aquat. Sci. 1996, 53, 820–822. [Google Scholar] [CrossRef]
- Frisk, M.G.; Miller, T.J.; Fogarty, M.J. Estimation and analysis of biological parameters in elasmobranch fishes: A comparative life history study. Can. J. Fish. Aquat. Sci. 2001, 58, 969–981. [Google Scholar] [CrossRef]
- Then, A.Y.; Hoenig, J.M.; Hall, N.G.; Hewitt, D.A. Evaluating the predictive performance of empirical estimators of natural mortality rate using information on over 200 fish species. ICES J. Mar. Sci. 2015, 72, 82–92. [Google Scholar] [CrossRef]
- Zhou, S.; Deng, R.A.; Dunn, M.R.; Hoyle, S.D.; Lei, Y.; Williams, A.J. Evaluating methods for estimating shark natural mortality rate and management reference points using life-history parameters. Fish Fish. 2022, 23, 462–477. [Google Scholar] [CrossRef]
- Roff, D.A. The evolution of life history parameters in teleost. Can. J. Fish. Aquat. Sci. 1984, 41, 989–1000. [Google Scholar] [CrossRef]
- Beverton, R.J.H.; Holt, S.J. A Review of Methods for Estimating Mortality Rates in Exploited Fish Populations, with Special Reference to Sources of Bias in Catch Sampling; Rapports et Procès-Verbaux des RèunI ons Commission Internationale pour l’Exploration Scientifique de la Mer Méditerranée; CIESM: Madrid, Spain, 1956; Volume 140, pp. 67–83. [Google Scholar]
- Beverton, R.J.H.; Holt, S.J. A review of the lifespans and mortality rates of fishes in nature, and their relation to growth and other physiological characteristics. In CIBA Foundation Colloquia on Ageing: The Lifespan of Animals; Wolstenholme, G.M.E., O’Connor, M., Eds.; J and A Churchill: London, UK, 1959; pp. 142–179. [Google Scholar]
- Ssentongo, G.W.; Larkin, P.A. Some simple methods of estimating mortality rates of exploited fish populations. J. Fish. Res. Board Can. 1973, 30, 695–698. [Google Scholar] [CrossRef]
- Hoenig, J.M. Empirical use of longevity data to estimate mortality rates. Fish. Bull. 1983, 82, 898–903. [Google Scholar]
- Pauly, D. Algunos Métodos Simples Para la Evaluación de Recursos Pesqueros Tropicales; FAO Documento Técnico de Pesca 234; FAO: Rome, Italy, 1983; p. 24. [Google Scholar]
- Ricker, W.E. Computation and Interpretation of Biological Statistics of Fish Populations; Department of Environment, Fisheries and Marine Service: Ottawa, ON, Canada, 1975; p. 382. [Google Scholar]
- Beverton, R.J.H.; Holt, S.J. Manual of Methods for Fish Stock Assessment; FAO Fishery Technical Paper No. 38; FAO: Rome, Italy, 1966; p. 67. [Google Scholar]
- Cushing, D.H. Fisheries Biology: A Study in Population Dynamics; The University of Wisconsin Press: Madison, WI, USA, 1981; p. 295. [Google Scholar]
- Patterson, K. Fisheries for small pelagic species: An empirical approach to management targets. Rev. Fish Biol. Fish. 1992, 2, 321–338. [Google Scholar] [CrossRef]
- Zhou, S.; Yin, S.; Thorson, J.T.T.; Smith, A.D.M.; Fuller, M. Linking fishing mortality reference points to life history traits: An empirical study. Can. J. Fish. Aquat. Sci. 2012, 69, 1292–1301. [Google Scholar] [CrossRef]
- Beverton, R.J.H. Patterns of reproductive strategy parameters in some marine teleost fishes. J. Fish Biol. 1992, 41, 137–160. [Google Scholar] [CrossRef]
- Froese, R.; Binohlan, C. Simple methods to obtain preliminary growth estimates for fishes. J. Appl. Ichthyol. 2003, 19, 376–379. [Google Scholar] [CrossRef]
- Branstetter, S. Early life history implications of selected carcharhinoid and lamnoid sharks of the northwest Atlantic. In Elasmobranchs as Living Resources: Advances in the Biology, Ecology, Systematics, and the Status of the Fisheries; Pratt, H.L., Jr., Gruber, S.H., Taniuchi, T., Eds.; NOAA Tech. Rep. NMFS 90; U.S. Department of Commerce: Washington, DC, USA, 1990; pp. 17–28. [Google Scholar]
- Compagno, L.J.V. Alternative life history styles of cartilaginous fishes in time and space. Environ. Biol. Fish. 1990, 28, 33–75. [Google Scholar] [CrossRef]
- Cortés, E. Life history patterns and correlations in sharks. Rev. Fish. Sci. 2000, 8, 299–344. [Google Scholar] [CrossRef]
- Dureuil, M.; Aeberhard, W.H.; Burnett, K.A.; Hueter, R.E.; Tyminski, J.P.; Worm, B. Unified natural mortality estimation for teleosts and elasmobranchs. Mar. Ecol. Prog. Ser. 2021, 667, 113–129. [Google Scholar] [CrossRef]
- Liu, K.M.; Chen, C.T.; Liao, T.; Joung, S. Age, growth, and reproduction of the pelagic thresher shark (Alopias pelagicus) in the northwestern Pacific. Copeia 1999, 1, 68–74. [Google Scholar] [CrossRef]
- Liu, K.M.; Chiang, P.J.; Chen, C.T. Age and growth estimates of the bigeye thresher shark (Alopias superciliosus) in northeastern Taiwan waters. Fish. Bull. 1998, 96, 482–491. [Google Scholar]
- Natanson, L.J.; Melo, J.J.; Campana, S.E. Validated age and growth of the porbeagle shark (Lamna nasus) in the western North Atlantic Ocean. Fish. Bull. 2002, 100, 266–278. [Google Scholar]
- Ribot-Carballal, M.C.; Galván-Magana, F.; Quiñónez-Velázquez, C. Age and growth of the shortfin mako shark (Isurus oxyrinchus) from the western coast of Baja California Sur, México. Fish. Res. 2005, 76, 14–21. [Google Scholar] [CrossRef]
- Gervelis, B.J.; Natanson, L.J. Age and growth of the common thresher shark in the western North Atlantic Ocean. Trans. Am. Fish. Soc. 2013, 142, 1535–1545. [Google Scholar] [CrossRef]
- Drew, M.; White, W.T.; Dharmadi, H.A.V.; Huveneers, C. Age, growth and maturity of the pelagic thresher (Alopias pelagicus), and the scalloped hammerhead (Sphyrna lewini). J. Fish Biol. 2015, 86, 333–354. [Google Scholar] [CrossRef]
- Smith, S.E.; Abramson, N.J. Leopard shark, Triakis semifasciatus, distribution, mortality rate, yield, and stock replenishment estimates based on a tagging study in San Francisco Bay. Fish. Bull. 1990, 88, 371–381. [Google Scholar]
- Abascal-Monroy, I.M.; López-Martínez, J.; Herrera-Valdivia, E.; Valdez-Holguín, J.E.; Cervantes-Valle, C. Dinámica poblacional del pez guitarra (Rhinobatos spp.), componente de la fauna de acompañamiento de la pesca de camarón en el Golfo de California. In Efectos de la Pesca de Arrastre en El Golfo de California; López-Martínez, J., Morales-Bojórquez, E., Eds.; Centro de Investigaciones Biológicas del Noroeste y Fundación Produce Sonora: La Paz, Mexico, 2012; p. 466. [Google Scholar]
- van der Laan, R.; Fricke, R.; Eschmeyer, W.N. Eschmeyer’s Catalog of Fishes Classification. Available online: https://www.calacademy.org/scientists/catalog-of-fishes-classification/ (accessed on 18 February 2023).
- Booth, A.J.; Foulis, A.J.; Smale, M.J. Age validation, growth, mortality, and demographic modeling of spotted gully shark (Triakis megalopterus) from the southeast coast of South Africa. Fish. Bull. 2011, 109, 101–112. [Google Scholar]
- Jatmiko, I.; Nugroho, S.C. Biological and population parameters of tiger shark, Galeocerdo Cuvier, landed in Tanjung Luar, West Nusa Tenggara. In Proceedings of the 3rd International Symposium on Marine and Fisheries Research (3rd ISMFR), Yogyakarta, Indonesia, 8–9 July 2019; E3S Web of Conferences: Les Ulis, France, 2020; Volume 147, pp. 1–9. [Google Scholar] [CrossRef]
- Simpfendorfer, C.A. Demographic analysis of the dusky shark fishery in southwestern Australia. In Life in the Slow Lane: Ecology and Conservation of Long-Lived Marine Animals; Musick, J.A., Ed.; American Fisheries Society Symposium 23; American Fisheries Society: Bethesda, MD, USA, 1999; pp. 149–160. [Google Scholar]
- Simpfendorfer, C.A. Mortality estimates and demographic analysis for the Australian sharpnose shark, Rhizoprionodon taylori, from northern Australia. Fish. Bull. 1999, 97, 978–986. [Google Scholar]
- Hidayattuloh, W. Population Dynamics of Sharks, Carcharhinus falciformis (Muller & Henle, 1839) Landed in the Fishing Port (PPS) Cilacap, Central Java. Bachelor’s Thesis, Brawijaya University, Jawa Timur, Indonesia, 2017. [Google Scholar]
- Chodrijah, U.; Jatmiko, I.; Sentosa, A.A. Population parameter of kejen shark (Carcharhinus falciformis) in southern west Nusa Tenggara. BAWAL Widya Ris. Perikan. Tangkap. 2018, 9, 175–183. [Google Scholar] [CrossRef][Green Version]
- Cailliet, G.M. Demography of the central California population of the leopard shark (Triakis semifasciatus). Aust. J. Mar Freshw. Res. 1992, 43, 183–193. [Google Scholar] [CrossRef]
- Gulland, J.A. Fish Stock Assessment. A Manual of Basic Methods; FAO/Wiley Series; FAO: Rome, Italy, 1983; p. 223. [Google Scholar]
- Damora, A.; Yuneni, R.R. Estimation of growth, mortality and exploitation of the kejen shark (Carcharhinus falciformis) on a landing basis in Banyuwangi, East Java. In Proceedings of the Symposium on Sharks and Rays in Indonesia, Jakarta, Indonesia, 10 June 2015; p. 8. [Google Scholar]
- Sparre, P.; Venema, S.C. Introducción a la Evaluación de Recursos Pesqueros Tropicales. Parte 1. Manual; FAO Documento Técnico de Pesca, 306; FAO: Rome, Italy, 1997; p. 420. [Google Scholar]
- Stevens, J.D. Variable resilience to fishing pressure in two sharks: The significance of different ecological and life history parameters. In Life in the Slow Lane: Ecology and Conservation of Long-Lived Marine Animals; Musick, J.A., Ed.; American Fisheries Society: Bethesda, MD, USA, 1999; pp. 11–16. [Google Scholar]
- Dulvy, N.K.; Forrest, R.E. Life histories, population dynamics, and extinction risks in chondrichthyans. In Sharks and Their Relatives II: Biodiversity, Adaptive Physiology, and Conservation; Carrier, J.C., Musick, J.A., Heithaus, M.R., Eds.; CRC Press: Boca Ratón, FL, USA, 2010; pp. 639–679. [Google Scholar]





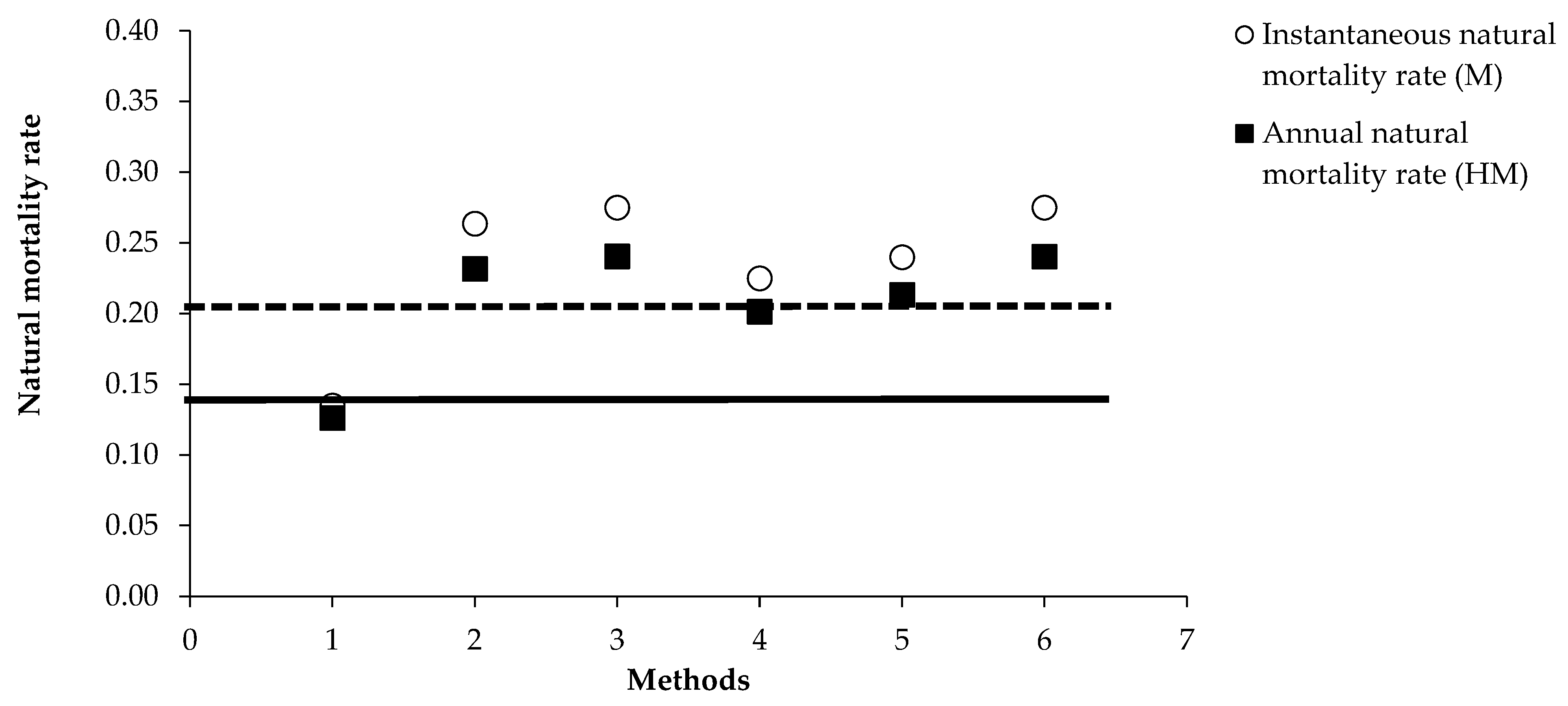
| Methods | Instantaneous Natural Mortality Rate (M) | Annual Natural Mortality Rate (HM) |
|---|---|---|
| Alverson and Carney [19] | 0.14 | 0.13 |
| Rickhter and Efanov [20] | 0.26 | 0.23 |
| Pauly [21] | 0.28 | 0.24 |
| Jensen [22] a | 0.23 | 0.20 |
| Jensen [22] b | 0.24 | 0.21 |
| Jensen [22] c | 0.28 | 0.24 |
| Frisk et al. [23] a | 0.20 | 0.18 |
| Frisk et al. [23] b | 0.22 | 0.20 |
| Then et al. [24] a | 0.35 | 0.29 |
| Then et al. [24] b | 0.21 | 0.19 |
| Zhou et al. [25] | 0.28 | 0.25 |
| Specialized literature | 0.16 | 0.15 |
| 0.24 | 0.21 | |
| ± | 0.06 | 0.05 |
| Methods | Instantaneous Total Mortality Rate (Z) | Annual Natural Mortality Rate (HZ) |
|---|---|---|
| Beverton and Holt [27] | 0.08 | 0.08 |
| Beverton and Holt [28] | 0.51 | 0.40 |
| Ssentengo and Larkin [29] | 0.15 | 0.14 |
| Hoenig [30] | 0.23 | 0.21 |
| Order | Family | Species | M | F | Z | Location | Reference |
|---|---|---|---|---|---|---|---|
| Orectolobiformes | Rhincodontidae | Rhincodon typus | 0.09 | 0.05 | 0.14 | Western and Central Pacific Ocean | [25] |
| Lamniformes | Pseudocarchariidae | Pseudocarcharias kamoharai | 0.24 | 0.27 | 0.51 | Eastern Tropical Pacific Ocean | This study |
| Alopiidae | Alopias pelagicus | 0.17 | 0.03 | 0.20 | Western and Central Pacific Ocean | [25] | |
| Alopias superciliosus | 0.17 | 0.06 | 0.23 | Western and Central Pacific Ocean | [25] | ||
| Alopias vulpinus | 0.21 | 0.08 | 0.29 | Western and Central Pacific Ocean | [25] | ||
| Lamnidae | Isurus oxyrinchus | 0.14 | 0.04 | 0.18 | Western and Central Pacific Ocean | [25] | |
| Lamna nasus | 0.12 | 0.04 | 0.16 | Western and Central Pacific Ocean | [25] | ||
| Carcharhiniformes | Triakidae | Triakis megalopterus | 0.14 | - | - | Western Indian Ocean | [52] |
| Triakis semifasciata | 0.24 | 0.08 | 0.32 | Northeast Pacific Ocean | [49] | ||
| Carcharhinidae | Carcharhinus falciformis | 0.13 | 0.04 | 0.17 | Western and Central Pacific Ocean | [25] | |
| Carcharhinus longimanus | 0.16 | 0.09 | 0.25 | Western and Central Pacific Ocean | [25] | ||
| Prionace glauca | 0.20 | 0.11 | 0.31 | Western and Central Pacific Ocean | [25] | ||
| Galeocerdonidae | Galeocerdo cuvier | 0.16 | 0.17 | 0.33 | Eastern Indian Ocean | [53] | |
| Sphyrnidae | Sphyrna lewini | 0.15 | 0.06 | 0.21 | Western and Central Pacific Ocean | [25] | |
| Sphyrna mokarran | 0.14 | 0.08 | 0.22 | Western and Central Pacific Ocean | [25] | ||
| Sphyrna zygaena | 0.16 | 0.04 | 0.20 | Western and Central Pacific Ocean | [25] | ||
| Eusphyra blochii | 0.20 | 0.11 | 0.31 | Western and Central Pacific Ocean | [25] | ||
| Rhinopristiformes | Rhinobatidae | Pseudobatos glaucostigma | 0.17 | 0.19 | 0.36 | Northeast Pacific Ocean | [50] |
| Pseudobatos productus | 0.29 | 0.39 | 0.68 | Northeast Pacific Ocean | [50] |
Disclaimer/Publisher’s Note: The statements, opinions and data contained in all publications are solely those of the individual author(s) and contributor(s) and not of MDPI and/or the editor(s). MDPI and/or the editor(s) disclaim responsibility for any injury to people or property resulting from any ideas, methods, instructions or products referred to in the content. |
© 2024 by the authors. Licensee MDPI, Basel, Switzerland. This article is an open access article distributed under the terms and conditions of the Creative Commons Attribution (CC BY) license (https://creativecommons.org/licenses/by/4.0/).
Share and Cite
Calle-Morán, M.D.; Aragón-Noriega, E.A.; Hernández-Téllez, A.R.; Marín-Enríquez, E.; Tovar-Ávila, J.; Arzola-González, J.F.; Payán-Alejo, J. Population Dynamics of the Crocodile Shark, Pseudocarcharias kamoharai, in the Tropical Equatorial Pacific Ocean, Ecuador. Fishes 2025, 10, 5. https://doi.org/10.3390/fishes10010005
Calle-Morán MD, Aragón-Noriega EA, Hernández-Téllez AR, Marín-Enríquez E, Tovar-Ávila J, Arzola-González JF, Payán-Alejo J. Population Dynamics of the Crocodile Shark, Pseudocarcharias kamoharai, in the Tropical Equatorial Pacific Ocean, Ecuador. Fishes. 2025; 10(1):5. https://doi.org/10.3390/fishes10010005
Chicago/Turabian StyleCalle-Morán, Marcos Douglas, Eugenio Alberto Aragón-Noriega, Ana Rosa Hernández-Téllez, Emigdio Marín-Enríquez, Javier Tovar-Ávila, Juan Francisco Arzola-González, and Jorge Payán-Alejo. 2025. "Population Dynamics of the Crocodile Shark, Pseudocarcharias kamoharai, in the Tropical Equatorial Pacific Ocean, Ecuador" Fishes 10, no. 1: 5. https://doi.org/10.3390/fishes10010005
APA StyleCalle-Morán, M. D., Aragón-Noriega, E. A., Hernández-Téllez, A. R., Marín-Enríquez, E., Tovar-Ávila, J., Arzola-González, J. F., & Payán-Alejo, J. (2025). Population Dynamics of the Crocodile Shark, Pseudocarcharias kamoharai, in the Tropical Equatorial Pacific Ocean, Ecuador. Fishes, 10(1), 5. https://doi.org/10.3390/fishes10010005

