Preliminary Tests and Results Concerning Integration of Sentinel-2 and Landsat-8 OLI for Crop Monitoring
Abstract
1. Introduction
2. Materials and Methods
2.1. Test Area
2.2. Dataset
2.3. Geometric Assessment
2.3.1. Absolute Positioning Test
2.3.2. Relative Positioning Test
2.4. Spectral Assessment
3. Result and Discussion
3.1. Geometric Assessment
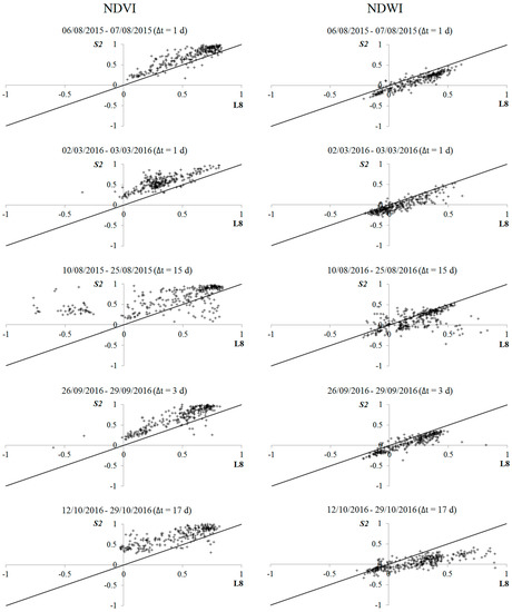
3.2. Spectral Assessment
4. Conclusions
Author Contributions
Conflicts of Interest
References
- Copernicus Programme. Available online: http://ec.europa.eu/growth/sectors/space/copernicus/ (accessed on 3 July 2017).
- Drusch, M.; Bello, U.D.; Carlier, S.; Colin, O.; Fernandez, V.; Gascon, F.; Hoersch, B.; Isola, C.; Laberinti, P.; Martimort, P.; et al. Sentinel-2: ESA’s optical high-resolution mission for GMES operational services. Remote Sens. Environ. 2012, 120, 25–36. [Google Scholar] [CrossRef]
- Frampton, W.J.; Dash, J.; Watmough, G.; Milton, J.E. Evaluating the capabilities of Sentinel-2 for quantitative estimation of biophysical variables in vegetation. ISPRS J. Photogramm. Remote Sens. 2013, 82, 83–92. [Google Scholar] [CrossRef]
- Hill, M.J. Vegetation index suites as indicators of vegetation state in grassland and savanna: An analysis with simulated SENTINEL 2 data for a North American transect. Remote Sens. Environ. 2013, 137, 94–111. [Google Scholar] [CrossRef]
- Laurin, G.V.; Puletti, N.; Hawthorned, W.; Liesenberg, V.; Corona, P.; Papaleb, D.; Chen, Q.; Valentini, R. Discrimination of tropical forest types, dominant species, and mapping of functional guilds by hyperspectral and simulated multispectral Sentinel-2 data. Remote Sens. Environ. 2016, 176, 163–176. [Google Scholar] [CrossRef]
- Malenovský, Z.; Rott, H.; Cihlar, J.; Schaepman, M.E.; García-Santos, G.; Fernandes, R.; Berger, M. Sentinels for science: Potential of Sentinel-1,-2, and-3 missions for scientific observations of ocean, cryosphere, and land. Remote Sens. Environ. 2012, 120, 91–101. [Google Scholar]
- Harmonized Landsat Sentinel-2. Available online: https://hls.gsfc.nasa.gov/ (accessed on 4 November 2017).
- Mandanici, E.; Bitelli, G. Preliminary Comparison of Sentinel-2 and Landsat 8 Imagery for a Combined Use. Remote Sens. 2016, 8, 1014. [Google Scholar] [CrossRef]
- Johnson, L.F.; Roczen, D.E.; Youkhana, Y.K.; Nemani, R.R.; Bosch, D.F. Mapping vineyard leaf area with multispectral satellite imagery. Comput. Electron. Agric. 2013, 38, 33–44. [Google Scholar] [CrossRef]
- Thenkabail, P.S. Biophysical and yield information for precision farming from near-real-time and historical Landsat TM images. Int. J. Remote Sens. 2003, 24, 2879–2904. [Google Scholar] [CrossRef]
- Delegido, J.; Verrelst, J.; Meza, C.M.; Rivera, J.P.; Alonso, L.; Moreno, J. A red-edge spectral index for remote sensing estimation of green LAI over agroecosystems. Eur. J. Agron. 2013, 46, 42–52. [Google Scholar] [CrossRef]
- Atkinson, P.M.; Jeganathan, C.; Dash, J.; Atzberger, C. Inter-comparison of four models for smoothing satellite sensor time-series data to estimate vegetation phenology. Remote Sens. Environ. 2012, 123, 400–417. [Google Scholar] [CrossRef]
- Zhukov, B.; Oertel, D.; Lanzl, F.; Reinhackel, G. Unmixing-based multi sensor multi-resolution image fusion. IEEE Trans. Geosci. Remote Sens. 1999, 37, 1212–1226. [Google Scholar] [CrossRef]
- Gao, F.; Masek, J.; Schwaller, M.; Hallet, F. On the blending of the Landsat and MODIS surface reflectance: Predicting daily Landsat surface reflectance. IEEE Trans. Geosci. Remote Sens. 2006, 44, 2207–2218. [Google Scholar]
- Hilker, T.; Wulder, M.A.; Coopsa, N.C.; Linke, J.; McDermid, G.; Masek, J.G.; Gao, F.; White, J.C. A new data fusion model for high spatial-and temporal-resolution mapping of forest disturbance based on Landsat and MODIS. Remote Sens. Environ. 2009, 113, 1613–1627. [Google Scholar] [CrossRef]
- Testa, S.; Borgogno Mondino, E.; Pedroli, C. Correcting MODIS 16-day composite NDVI time-series with actual acquisition dates. Eur. J. Remote Sens. 2014, 47, 285–305. [Google Scholar] [CrossRef]
- Gao, F.; Hilker, T.; Zhu, X.L.; Anderson, M.; Masek, J.; Wang, P.; Yang, Y. Fusing Landsat and MODIS data for vegetation monitoring. IEEE Geosci. Remote Sens. Mag. 2015, 3, 47–60. [Google Scholar] [CrossRef]
- Ranson, K.J.; Kovacs, K.; Sun, G.; Kharuk, V.I. Disturbance recognition in the boreal forest using radar and Landsat-7. Can. J. Remote Sens. 2003, 29, 271–285. [Google Scholar] [CrossRef]
- Ju, J.; Roy, D.P. The availability of cloud-free Landsat ETM+ data over the conterminous United States and globally. Remote Sens. Environ. 2008, 112, 1196–1211. [Google Scholar] [CrossRef]
- Roy, D.P.; Ju, J.C.; Lewisb, P.; Schaaf, C.; Gao, F.; Hansen, M.; Lindquist, E. Multi-temporal MODIS–Landsat data fusion for relative radiometric normalization, gap filling, and prediction of Landsat data. Remote Sens. Environ. 2008, 112, 3112–3130. [Google Scholar] [CrossRef]
- Wang, Q.; Blackburn, G.A.; Onojeghuo, A.O.; Dash, J.; Zhou, L.; Zhang, Y.; Atkinson, P.M. Fusion of Landsat 8 OLI and Sentinel-2 MSI Data. IEEE Trans. Geosci. Remote Sens. 2017, 55, 3885–3899. [Google Scholar] [CrossRef]
- Hall, D.L.; McMullen, S.A. Mathematical Techniques in Multisensor Data Fusion; Artech House: London, UK, 2004. [Google Scholar]
- Wu, M.; Wang, C. Spatial and Temporal Fusion of Remote Sensing Data using wavelet transform. In Proceedings of the 2011 International Conference on Remote Sensing, Environment and Transportation Engineering (RSETE), Nanjing, China, 24–26 June 2011. [Google Scholar]
- Nikolakopoulos, K.G.; Papoulis, D. A Preliminary Comparison between Landsat-8 OLI and Sentinel-2 MSI for Geological Applications. Living Planet Symp. 2016, 740, 203. [Google Scholar]
- Mantas, V.M.; Marques, J.C.; Pereira, A. A Data Fusion Approach for the Production of Impervious Surface Area Estimates Using Sentinel-1 A and Landsat-8 Data. Living Planet Symp. 2016, 740, 112. [Google Scholar]
- Li, Z.; Xu, D.; Guo, X. Remote sensing of ecosystem health: Opportunities, challenges, and future perspectives. Sensors 2014, 14, 21117–21139. [Google Scholar] [CrossRef] [PubMed]
- Lefebvre, A.; Sannier, C.; Corpetti, T. Monitoring urban areas with Sentinel-2A data: Application to the update of the Copernicus high resolution layer imperviousness degree. Remote Sens. 2016, 8, 606. [Google Scholar] [CrossRef]
- Vanonckelen, S.; Lhermitte, S.; Balthazar, V.; Van Rompaey, A. Performance of atmospheric and topographic correction methods on Landsat imagery in mountain areas. Int. J. Remote Sens. 2014, 35, 4952–4972. [Google Scholar] [CrossRef]
- Balthazar, V.; Vanacker, V.; Lambin, E.F. Evaluation and parameterization of ATCOR3 topographic correction method for forest cover mapping in mountain areas. Int. J. Appl. Earth Obs. Geoin. Form. 2012, 18, 436–450. [Google Scholar] [CrossRef]
- Cooley, T.; Anderson, G.P.; Felde, G.W.; Hoke, M.L.; Ratkowski, A.J.; Chetwynd, J.H.; Gardner, J.A.; Adler-Golden, S.M.; Matthew, M.W.; Berk, A.; et al. FLAASH, a MODTRAN4-based atmospheric correction algorithm, its application and validation. Geosci. Remote Sens. Symp. 2002, 3, 1414–1418. [Google Scholar]
- Rouse, J.W. Monitoring the Vernal advancement and Retrogradation (Greenwave Effect) of Natural Vegetation.NASA/GSFCT Type III Final Report; NASA/GSFCT: Greenbelt, MD, USA, 1974. Available online: https://ntrs.nasa.gov/search.jsp?R=19740022555 (accessed on 4 November 2017).
- Gao, B.C. NDWI—A normalized difference water index for remote sensing of vegetation liquid water from space. Remote Sens. Environ. 1996, 58, 257–266. [Google Scholar] [CrossRef]
- Borgogno Mondino, E.; Lessio, A. Estimation and Mapping of NDVI Uncertainty from Landsat 8 OLI datasets: An Operational Approach. In Proceedings of the 2015 IEEE International Geoscience and Remote Sensing Symposium (IGARSS), Milan, Italy, 26–31 July 2015. [Google Scholar]
- Borgogno Mondino, E.; Lessio, A.; Gomarasca, M.A. A fast operative method for NDVI uncertainty estimation and its role in vegetation analysis. Eur. J. Remote Sens. 2016, 49, 137–156. [Google Scholar] [CrossRef]
- Earth Explorer. Available online: http://earthexplorer.usgs.gov/ (accessed on 3 July 2017).
- European Space Agency. Sentinel-2 User Handbook; European Space Agency: Paris, France, 2013. [Google Scholar]
- Department of the Interior U.S. GeologicSurvey. Landsat 8 (L8) Data User Handbook, 2015. Available online: https://landsat.usgs.gov/landsat-8-l8-data-users-handbook (accessed on 4 November 2017).
- Farr, T.G.; Rosen, P.A.; Caro, E.; Crippen, R.; Duren, R.; Hensley, S.; Kobrick, M.; Paller, M.; Rodriguez, E.; Roth, L.; et al. The shuttle radar topography mission. Rev. Geophys. 2007, 45. [Google Scholar] [CrossRef]
- SRTM DEM. Available online: http://www.cgiar-csi.org/data/srtm-90m-digital-elevation-database-v4-1 (accessed on 3 July 2017).
- Corine Land Cover Maps. Available online: http://land.copernicus.eu/pan-european/corine-land-cover (accessed on 3 July 2017).
- Borgogno Mondino, E.; Lessio, A.; Tarricone, L.; Novello, V.; de Palma, L. A comparison between multispectral aerial and satellite imagery in precision viticulture. Precis. Agric. 2017, 1–23. [Google Scholar] [CrossRef]
- De Smith, M.J.; Goodchild, M.F.; Longley, P.A. Goodchild, and Paul Longley. In Geospatial Analysis—A Comprehensive Guide to Principles, Techniques and Software Tools; Troubador Publishing Ltd.: Leicester, UK, 2007. [Google Scholar]
- Moran, M.S.; Jackson, R.D.; Slater, P.N.; Teillet, P.M. Evaluation of simplified procedures for retrieval of land surface reflectance factors from satellite sensor output. Remote Sens. Environ. 1992, 41, 169–184. [Google Scholar] [CrossRef]
- Chavez, P.S. Image-based atmospheric corrections. Revisited and Improved Photogrammetric Engineering and Remote Sensing, [Falls Church, Va.]. Am. Soc. Photogramm. 1996, 62, 1025–1036. [Google Scholar]
- Wahid, D.A.; Akiyama, T. Phenological change detection in flat and terrace paddy using aster satellite images in Takayama river basin area. In Proceedings of the ASPRS 2007 Annual Conference, Tampa, FL, USA, 7–11 May 2007. [Google Scholar]
- Fenn, R.W.; Clough, S.A.; Gallery, W.O.; Good, R.E.; Kneizys, F.X.; Mill, J.D.; Rothman, L.S.; Shettle, E.P.; Volz, F.E. Handbook of Geophysics and Space Environment—Cap.18: Optical and Infrared Properties of the Atmosphere; Air Force Cambridge Research Laboratories U.S.: London, UK, 1985. [Google Scholar]






| Type of Assessment | Images | Date (DD/MM/YY) | ||
|---|---|---|---|---|
| Geometric | Sentinel-2 MSI | Orbit | ID tiles | |
| 65 | T32TLQ, T32TMQ, T32TLR, T32TMR | 06/08/2015 | ||
| Landsat 8OLI | Path | Row | ||
| 195 | 029 | 07/08/2015 | ||
| 195 | 028 | 30/08/2015 | ||
| ICE aerial orthoimages | - | - | 2009–2011 | |
| Spectral | Sentinel-2 MSI | Orbit | ID tiles | |
| 65 | T32TMQ | 06/08/2015, 03/03/2016, 10/08/2016, 29/09/2016, 29/10/2016 | ||
| Landsat 8OLI | Path | Row | ||
| 195 | 029 | 07/08/2015, 02/03/2016, 25/08/2016, 26/09/2016, 12/10/2016 | ||
| Sentinel-2 MSI | Landsat 8OLI | ICE Aerial Images | |||
|---|---|---|---|---|---|
| Temporal Resolution: 5 Days | Temporal Resolution: 16 Days | Bands (μm) | Geometric Resolution (m) | ||
| Bands (μm) | Geometric Resolution (m) | Bands (μm) | Geometric Resolution (m) | ||
| B1: 0.433–0.453 | 60 | B1: 0.435–0.451 | 30 | B1: 0.65–0.68 | 0.4 |
| B2: 0.458–0.523 | 10 | B2: 0.452–0.512 | 30 | B2: 0.54–0.57 | 0.4 |
| B3: 0.543–0.578 | 10 | B3: 0.533–0.590 | 30 | B3: 0.46–0.52 | 0.4 |
| B4: 0.650–0.680 | 10 | B4: 0.636–0.673 | 30 | ||
| B5: 0.698–0.713 | 20 | B5: 0.851–0.879 | 30 | ||
| B6: 0.733–0.748 | 20 | B6: 1.566–1.651 | 30 | ||
| B7: 0.773–0.793 | 20 | B7: 2.107–2.294 | 30 | ||
| B8: 0.785–0.900 | 10 | ||||
| B8a: 0.855–0.875 | 20 | ||||
| B9: 0.935–0.955 | 60 | ||||
| B10: 1.360–1.390 | 60 | ||||
| B11: 1.565–1.655 | 20 | ||||
| B12: 2.100–2.280 | 20 | ||||
| Radiometric resolution: 12 bit | Radiometric resolution: 16 bit | Radiometric resolution: 8 bit | |||
| Band Name | Sun Irradiance (W·m−2·µm−1) | Atmospheric Transmittance | Wavelength (µm) | |
|---|---|---|---|---|
| L8 | B1 | 1955 | 0.50 | 0.435–0.451 |
| B2 | 1989 | 0.60 | 0.452–0.512 | |
| B3 | 1865 | 0.65 | 0.533–0.590 | |
| B4 | 1594 | 0.65 | 0.636–0.673 | |
| B5 | 987 | 0.80 | 0.851–0.879 | |
| B6 | 248 | 0.89 | 1.566–1.651 | |
| B7 | 77 | 0.92 | 2.107–2.294 | |
| S2 | B1 | 1914 | 0.50 | 0.433–0.453 |
| B2 | 1942 | 0.60 | 0.458–0.523 | |
| B3 | 1823 | 0.65 | 0.543–0.578 | |
| B4 | 1513 | 0.65 | 0.650–0.680 | |
| B5 | 1426 | 0.80 | 0.698–0.713 | |
| B6 | 1288 | 0.80 | 0.733–0.748 | |
| B7 | 1163 | 0.80 | 0.773–0.793 | |
| B8 | 1036 | 0.80 | 0.785–0.900 | |
| B8a | 955 | 0.80 | 0.855–0.875 | |
| B9 | 813 | 0.40 | 0.935–0.955 | |
| B10 | 367 | 0.35 | 1.360–1.390 | |
| B11 | 246 | 0.89 | 1.565–1.655 | |
| B12 | 85 | 0.92 | 2.100–2.280 | |
| Date | Julian Day | Sun Azimuth | Sun Elevation Angle | Time at Center of Scene | Earth—Sun Distance d [au] |
|---|---|---|---|---|---|
| 6 August 2015 | 218 | 145.822810° | 58.264970° | 10:20:16.027Z | 1.0145120 |
| 7 August 2015 | 219 | 142.304364° | 57.065028° | 10:10:45.224Z | 1.0141769 |
| 2 March 2016 | 62 | 153.299355° | 34.816474° | 10:11:00.998Z | 0.9912165 |
| 3 March 2016 | 63 | 155.912972° | 35.529299° | 10:20:22.030Z | 0.9912746 |
| 10 August 2016 | 223 | 147.289199 | 57.056207° | 10:20:32.026Z | 1.0136956 |
| 25 August 2016 | 238 | 148.211510° | 52.124554° | 10:11:16.111Z | 1.0106903 |
| 26 September 2016 | 270 | 157.699566° | 41.616622° | 10:11:21.387Z | 1.0024652 |
| 29 September 2016 | 273 | 161.295565° | 48.036572° | 10:20:22.026Z | 1.0013659 |
| 12 October 2016 | 286 | 161.167284° | 35.968410° | 10:11:26.419Z | 0.9978427 |
| 29 October 2016 | 303 | 166.285066° | 30.627586° | 10:21:32.026Z | 0.9932749 |
| Orthoimage ICE 2009 vs. Sentinel-2 | S2 vs. L8 | ||||||||
|---|---|---|---|---|---|---|---|---|---|
| μΔE(m) | σΔE(m) | μΔN(m) | σΔN(m) | RMSE(m) | μΔE(m) | σΔE(m) | μΔN(m) | σΔN(m) | RMSE(m) |
| −0.2 | 3.7 | 1.1 | 4.4 | 5.9 | 4.7 | 7.5 | 11.3 | 8.2 | 16.2 |
| Compared S2 and L8 Image Pairs (Date S2–Date L8) | ||||||||||||||||
|---|---|---|---|---|---|---|---|---|---|---|---|---|---|---|---|---|
| Bands | 06/08/2015–07/08/2015 | 02/03/2016–03/03/2016 | 10/08/2016–25/08/2016 | 26/09/2016–29/09/2016 | 12/10/2016–29/10/2016 | |||||||||||
| L8 | S2 | R | μΔ | σΔ | R | μΔ | σΔ | R | μΔ | σΔ | R | μΔ | σΔ | R | μΔ | σΔ |
| B1 | B1 | 0.28 | 0.01 | 0.02 | 0.47 * | 0.04 | 0.01 | 0.06 | 0.03 | 0.06 | 0.17 | 0.00 | 0.04 | 0.11 | −0.02 | 0.02 |
| B2 | B2 | 0.62 | 0.01 | 0.02 | 0.41 * | 0.02 | 0.02 | 0.04 | 0.03 | 0.06 | 0.31 | 0.00 | 0.04 | 0.43 * | −0.01 | 0.02 |
| B3 | B3 | 0.84 * | −0.03 | 0.02 | 0.63 * | −0.03 | 0.02 | 0.27 | −0.01 | 0.07 | 0.49 * | −0.03 | 0.04 | 0.71 * | −0.05 | 0.02 |
| B4 | B4 | 0.88 * | −0.03 | 0.03 | 0.78 * | −0.03 | 0.03 | 0.36 | −0.02 | 0.08 | 0.66 * | −0.03 | 0.05 | 0.77 * | −0.05 | 0.04 |
| B5 | B8 | 0.93 * | 0.02 | 0.05 | 0.92 * | 0.02 | 0.05 | 0.84 * | 0.06 | 0.09 | 0.84 * | 0.02 | 0.07 | 0.86 * | −0.02 | 0.06 |
| B8a | 0.94 * | 0.07 | 0.06 | 0.92 * | 0.04 | 0.05 | 0.85 * | 0.11 | 0.11 | 0.87 * | 0.06 | 0.07 | 0.86 * | 0.00 | 0.06 | |
| B6 | B12 | 0.94 * | 0.06 | 0.05 | 0.91 * | 0.04 | 0.04 | 0.76 * | 0.06 | 0.09 | 0.85 * | 0.06 | 0.07 | 0.85 * | 0.02 | 0.05 |
| B7 | B13 | 0.93 * | 0.02 | 0.03 | 0.91 * | 0.02 | 0.03 | 0.65 * | 0.10 | 0.05 | 0.84 * | 0.03 | 0.05 | 0.83 * | 0.01 | 0.04 |
| Compared S2 and L8 Image Pairs (Date S2–Date L8) | NDVI | NDWI | ||||
|---|---|---|---|---|---|---|
| a0 | a1 | R | b0 | b1 | R | |
| 06/08/2015–07/08/2015 | 0.9305 | 0.1811 | 0.89 | 0.8900 | −0.0805 | 0.94 |
| 02/03/2016–03/03/2016 | 0.7491 | 0.3214 | 0.79 | 0.8206 | −0.0748 | 0.87 |
| 10/08/2016–25/08/2016 | 0.3756 | 0.5032 | 0.61 | 0.5235 | 0.0153 | 0.53 |
| 26/09/2016–29/09/2016 | 0.9279 | 0.2492 | 0.88 | 0.8317 | −0.0745 | 0.88 |
| 12/10/2016–29/10/2016 | 0.6193 | 0.4195 | 0.79 | 0.4492 | −0.0514 | 0.79 |
| Image Pair (S2–L8) | Time Delay (d) | NDVI | NDWI | ||||
|---|---|---|---|---|---|---|---|
| RMSE | RMSE′ | RRR | RMSE | RMSE′ | RRR | ||
| 06/08/2015–07/08/2015 | 1 | 0.18 | 0.10 | 44.4% | 0.13 | 0.07 | 46.2% |
| 02/03/2016–03/03/2016 | 1 | 0.27 | 0.10 | 63.0% | 0.13 | 0.08 | 38.5% |
| 10/08/2016–25/08/2016 | 15 | 0.43 | 0.21 | 51.2% | 0.22 | 0.17 | 22.7% |
| 26/09/2016–29/09/2016 | 3 | 0.25 | 0.12 | 52.0% | 0.14 | 0.09 | 35.7% |
| 12/10/2016–29/10/2016 | 17 | 0.30 | 0.12 | 60.0% | 0.25 | 0.09 | 64.0% |
© 2017 by the authors. Licensee MDPI, Basel, Switzerland. This article is an open access article distributed under the terms and conditions of the Creative Commons Attribution (CC BY) license (http://creativecommons.org/licenses/by/4.0/).
Share and Cite
Lessio, A.; Fissore, V.; Borgogno-Mondino, E. Preliminary Tests and Results Concerning Integration of Sentinel-2 and Landsat-8 OLI for Crop Monitoring. J. Imaging 2017, 3, 49. https://doi.org/10.3390/jimaging3040049
Lessio A, Fissore V, Borgogno-Mondino E. Preliminary Tests and Results Concerning Integration of Sentinel-2 and Landsat-8 OLI for Crop Monitoring. Journal of Imaging. 2017; 3(4):49. https://doi.org/10.3390/jimaging3040049
Chicago/Turabian StyleLessio, Andrea, Vanina Fissore, and Enrico Borgogno-Mondino. 2017. "Preliminary Tests and Results Concerning Integration of Sentinel-2 and Landsat-8 OLI for Crop Monitoring" Journal of Imaging 3, no. 4: 49. https://doi.org/10.3390/jimaging3040049
APA StyleLessio, A., Fissore, V., & Borgogno-Mondino, E. (2017). Preliminary Tests and Results Concerning Integration of Sentinel-2 and Landsat-8 OLI for Crop Monitoring. Journal of Imaging, 3(4), 49. https://doi.org/10.3390/jimaging3040049

