Recovery of Ag, Au, and Pt from Printed Circuit Boards by Pressure Leaching
Abstract
:1. Introduction
2. Materials and Methods
2.1. Materials
2.2. Methods
3. Results
3.1. Pressure Leaching
3.1.1. Silver
3.1.2. Gold
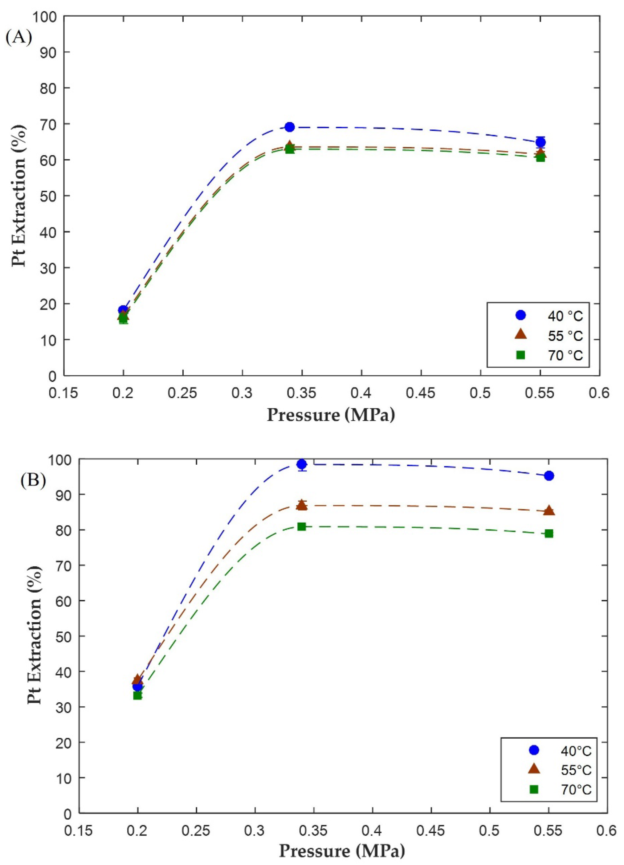
3.1.3. Platinum
3.2. Thermodynamic Analysis
3.3. Study of PCBs Material from the Leaching Tests by SEM-EDS
4. Discussion
5. Conclusions
Author Contributions
Funding
Institutional Review Board Statement
Informed Consent Statement
Data Availability Statement
Acknowledgments
Conflicts of Interest
Sample Availability
References
- Tuncuk, A.; Stazi, V.; Akcil, A.; Yazici, E.Y.; Deveci, H. Aqueous metal recovery techniques from e-scrap: Hydrometallurgy in recycling. Miner. Eng. 2012, 25, 28–37. [Google Scholar] [CrossRef]
- Petter, P.M.H.; Veit, H.M.; Bernardes, A.M. Evaluation of gold and silver leaching from printed circuit board of cellphones. Waste Manag. 2014, 34, 475–482. [Google Scholar] [CrossRef] [PubMed]
- Evangelopoulos, P.; Persson, H.; Kantarelis, E.; Yang, W. Performance analysis and fate of bromine in a single screw reactor for pyrolysis of waste electrical and electronic equipment (WEEE). Process. Saf. Environ. Prot. 2020, 143, 313–321. [Google Scholar] [CrossRef]
- Vats, M.C.; Singh, S.K. Assessment of gold and silver in assorted mobile phone printed circuit boards (PCBs): Original article. Waste Manag. 2015, 45, 280–288. [Google Scholar] [CrossRef] [PubMed]
- Widmer, R.; Oswald-Krapf, H.; Sinha-Khetriwal, D.; Schnellmann, M.; Böni, H. Global perspectives on e-waste. Environ. Impact Assess. Rev. 2005, 25, 436–458. [Google Scholar] [CrossRef]
- Wu, Z.; Yuan, W.; Li, J.; Wang, X.; Liu, L.; Wang, J. A critical review on the recycling of copper and precious metals from waste printed circuit boards using hydrometallurgy. Front. Environ. Sci. Eng. 2017, 11, 8. [Google Scholar] [CrossRef]
- Duan, H.; Li, J.; Liu, Y.; Yamazaki, N.; Jiang, W. Characterization and Inventory of PCDD/Fs and PBDD/Fs Emissions from the Incineration of Waste Printed Circuit Board. Environ. Sci. Technol. 2011, 45, 6322–6328. [Google Scholar] [CrossRef] [PubMed]
- Duan, H.; Li, J.; Liu, Y.; Yamazaki, N.; Jiang, W. Characterizing the emission of chlorinated/brominated dibenzo-p-dioxins and furans from low-temperature thermal processing of waste printed circuit board. Environ. Pollut. 2012, 161, 185–191. [Google Scholar] [CrossRef] [PubMed]
- Hall, W.J.; Williams, P.T. Pyrolysis of brominated feedstock plastic in a fluidised bed reactor. J. Anal. Appl. Pyrolysis 2006, 77, 75–82. [Google Scholar] [CrossRef] [Green Version]
- Wen, S.; Yang, F.; Li, J.G.; Gong, Y.; Zhang, X.L.; Hui, Y.; Wu, Y.N.; Zhao, Y.F.; Xu, Y. Polychlorinated dibenzo-p-dioxin and dibenzofurans (PCDD/Fs), polybrominated diphenyl ethers (PBDEs), and polychlorinated biphenyls (PCBs) monitored by tree bark in an E-waste recycling area. Chemosphere 2009, 74, 981–987. [Google Scholar] [CrossRef] [PubMed]
- Khaliq, A.; Rhamdhani, M.A.; Brooks, G.; Masood, S. Metal Extraction Processes for Electronic Waste and Existing Industrial Routes: A Review and Australian Perspective. Resources 2014, 3, 152–179. [Google Scholar] [CrossRef] [Green Version]
- Xiu, F.R.; Zhang, F.S. Electrokinetic recovery of Cd, Cr, As, Ni, Zn and Mn from waste printed circuit boards: Effect of assisting agents. J. Hazard. Mater. 2009, 170, 191–196. [Google Scholar] [CrossRef] [PubMed]
- Gámez, S.; Garcés, K.; de la Torre, E.; Guevara, A. Precious metals recovery from waste printed circuit boards using thiosulfate leaching and ion exchange resin. Hydrometallurgy 2019, 186, 1–11. [Google Scholar] [CrossRef]
- Birloaga, I.; De Michelis, I.; Ferella, F.; Buzatu, M.; Vegliò, F. Study on the influence of various factors in the hydrometallurgical processing of waste printed circuit boards for copper and gold recovery. Waste Manag. 2013, 33, 935–941. [Google Scholar] [CrossRef] [PubMed]
- Jadhav, U.; Hocheng, H. Hydrometallurgical Recovery of Metals from Large Printed Circuit Board Pieces. Sci. Rep. 2015, 5, 14574. [Google Scholar] [CrossRef] [PubMed] [Green Version]
- Torres, R.; Lapidus, G.T. Copper leaching from electronic waste for the improvement of gold recycling. Waste Manag. 2016, 57, 131–139. [Google Scholar] [CrossRef] [PubMed]
- Lei, L.I.; Song, W.; GuoDong, W.; Heng, W.; ShiDing, W. Extraction of platinum and gold from copper anode slimes by a process of chlorinating roasting first and chlorinating leaching followed. J. Min. Metall. Sect. B: Metall. 2020, 56, 193–202. [Google Scholar]
- Marsden, J.; House, I. The Chemistry of Gold Extraction; Society for Mining, Metallurgy, and Exploration: Littleton, CO, USA, 2006. [Google Scholar]
- Fuerstenau, M.C. Advances in Gold and Silver Processing. In Proceedings of the Symposium at GOLDTech 4, Reno, NV, USA, 10–12 September 1990; Society for Mining, Metallurgy, and Exploration: Littleton, CO, USA, 1990. [Google Scholar]
- Yen, W.T.; Pindred, R.A.; Lam, M.P. Hypochlorite leaching of gold ore. In Proceedings of the Advances in Gold and Silver Processing, Reno, NV, USA, 10–12 September 1990; pp. 67–74. [Google Scholar]
- Zhou, X.; Guo, J.; Lin, K.; Huang, K.; Deng, J. Leaching characteristics of heavy metals and brominated flame retardants from waste printed circuit boards. J. Hazard. Mater. 2013, 246, 96–102. [Google Scholar] [CrossRef] [PubMed]









| Metal | Ag | Au | Pt | Pd | Cu | Zn | Ni | Fe |
|---|---|---|---|---|---|---|---|---|
| Content | 170 (g/t) | 220 (g/t) | 2 (g/t) | 1.2 (g/t) | 13.14% | 0.02% | 4% | 4.9% |
| Metal | Ag | Au | Pt | Pd | Cu | Zn | Ni | Fe |
|---|---|---|---|---|---|---|---|---|
| Content | 280 (g/t) | 320 (g/t) | 28 (g/t) | 12 (g/t) | 0.13% | 0.0016% | 0.004% | 0.43% |
| Time (min) | Ag Extraction (%) | Au Extraction (%) | Pt Extraction (%) | ||||||
|---|---|---|---|---|---|---|---|---|---|
| 40 °C | 55 °C | 70 °C | 40 °C | 55 °C | 70 °C | 40 °C | 55 °C | 70 °C | |
| 10 | 52.4 | 52.4 | 52.4 | 30.0 | 30.0 | 30.0 | 29.7 | 29.7 | 29.7 |
| 20 | 71.3 | 83.5 | 80.0 | 76.3 | 56.9 | 35.2 | 48.1 | 46.8 | 43.3 |
| 30 | 84.1 | 85.7 | 81.4 | 81.9 | 73.2 | 53.8 | 56.0 | 54.5 | 54.6 |
| 40 | 88.4 | 88.9 | 82.9 | 88.2 | 80.3 | 58.0 | 71.1 | 62.4 | 63.5 |
| 60 | 94.5 | 92.8 | 84.9 | 95.9 | 90.7 | 67.7 | 81.3 | 68.6 | 71.7 |
| 90 | 97.3 | 94.3 | 86.8 | 98.8 | 96.6 | 77.5 | 94.1 | 76.9 | 78.9 |
| 120 | 97.5 | 95.0 | 87.0 | 99.0 | 97.0 | 78.2 | 97.9 | 78.2 | 79.2 |
Publisher’s Note: MDPI stays neutral with regard to jurisdictional claims in published maps and institutional affiliations. |
© 2021 by the authors. Licensee MDPI, Basel, Switzerland. This article is an open access article distributed under the terms and conditions of the Creative Commons Attribution (CC BY) license (https://creativecommons.org/licenses/by/4.0/).
Share and Cite
Martinez-Ballesteros, G.; Valenzuela-García, J.L.; Gómez-Alvarez, A.; Encinas-Romero, M.A.; Mejía-Zamudio, F.A.; Rosas-Durazo, A.d.J.; Valenzuela-Frisby, R. Recovery of Ag, Au, and Pt from Printed Circuit Boards by Pressure Leaching. Recycling 2021, 6, 67. https://doi.org/10.3390/recycling6040067
Martinez-Ballesteros G, Valenzuela-García JL, Gómez-Alvarez A, Encinas-Romero MA, Mejía-Zamudio FA, Rosas-Durazo AdJ, Valenzuela-Frisby R. Recovery of Ag, Au, and Pt from Printed Circuit Boards by Pressure Leaching. Recycling. 2021; 6(4):67. https://doi.org/10.3390/recycling6040067
Chicago/Turabian StyleMartinez-Ballesteros, Guadalupe, Jesus Leobardo Valenzuela-García, Agustin Gómez-Alvarez, Martin Antonio Encinas-Romero, Flerida Adriana Mejía-Zamudio, Aaron de Jesús Rosas-Durazo, and Roberto Valenzuela-Frisby. 2021. "Recovery of Ag, Au, and Pt from Printed Circuit Boards by Pressure Leaching" Recycling 6, no. 4: 67. https://doi.org/10.3390/recycling6040067
APA StyleMartinez-Ballesteros, G., Valenzuela-García, J. L., Gómez-Alvarez, A., Encinas-Romero, M. A., Mejía-Zamudio, F. A., Rosas-Durazo, A. d. J., & Valenzuela-Frisby, R. (2021). Recovery of Ag, Au, and Pt from Printed Circuit Boards by Pressure Leaching. Recycling, 6(4), 67. https://doi.org/10.3390/recycling6040067

