Comparative Study of Equivalent Circuit Models Performance in Four Common Lithium-Ion Batteries: LFP, NMC, LMO, NCA
Abstract
:1. Introduction
2. Background
2.1. Lithium-Ion Battery Chemistries
2.1.1. Lithium Iron Phosphate (LFP) Battery
2.1.2. Lithium Nickel Manganese Cobalt Oxide (NMC) Battery
2.1.3. Lithium Manganese Oxide (LMO) Battery
2.1.4. Lithium Nickel Cobalt Aluminum Oxide (NCA) Battery
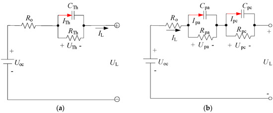
2.2. Equivalent Circuit Models for Lithium-Ion Batteries
3. Experimental
3.1. Cell Characterization Experiments
- (1)
- Discharge pulse at 1C for 10 s.
- (2)
- Rest for 40 s.
- (3)
- Charge pulse at 0.75C for 10 s.
- (4)
- Rest for 30 min.
- (5)
- Discharge at 1C for 6 min (resulting in a 10% drop in the SOC).
- (6)
- Rest for 1 h.
- (7)
- Repeat steps (1)–(6) 10 times.
3.2. Model Validation Experiments
4. Results
4.1. Cell Characterization Results
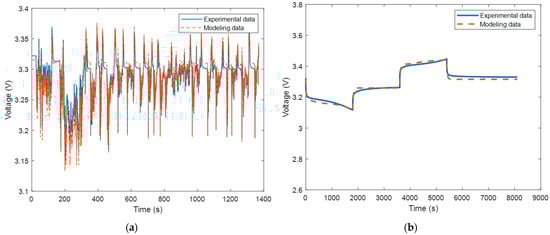
4.2. Model Validation Results
4.3. Comparative Discussion of Models and Battery Chemistries
5. Conclusions
- All three ECMs were able to predict battery voltage with low errors.
- The hysteresis effect is stronger in LFP and NCA compared to NMC and LMO, based on the SOC–OCV curves of the batteries.
- The ECMs perform better under dynamic current profiles such as a UDDS cycle compared to non-dynamic profiles such as a constant discharge/rest/charge cycle.
- The ECMs perform the best for the LFP cell, and the worst for the NCA cell, while for NMC and LMO, the results are similar and in between the other two.
- Overall, the best model for LFP and NCA is 1RC with hysteresis, as the improvement in accuracy is worth the increase in computational complexity. On the other hand, the best model for NMC and LMO is 1RC, since it has decent accuracy compared to the other models while having the lowest complexity.
Author Contributions
Funding
Institutional Review Board Statement
Informed Consent Statement
Data Availability Statement
Acknowledgments
Conflicts of Interest
References
- Statistics Canada. Electric Power Generation, Monthly Generation by Type of Electricity. 2021. Available online: https://doi.org/10.25318/2510001501-eng (accessed on 23 May 2021).
- Tran, M.-K.; Sherman, S.; Samadani, E.; Vrolyk, R.; Wong, D.; Lowery, M.; Fowler, M. Environmental and Economic Benefits of a Battery Electric Vehicle Powertrain with a Zinc–Air Range Extender in the Transition to Electric Vehicles. Vehicles 2020, 2, 21. [Google Scholar] [CrossRef]
- Tran, M.-K.; Bhatti, A.; Vrolyk, R.; Wong, D.; Panchal, S.; Fowler, M.; Fraser, R. A Review of Range Extenders in Battery Electric Vehicles: Current Progress and Future Perspectives. World Electr. Veh. J. 2021, 12, 54. [Google Scholar] [CrossRef]
- Panchal, S.; Gudlanarva, K.; Tran, M.-K.; Fraser, R.; Fowler, M. High Reynold’s Number Turbulent Model for Micro-Channel Cold Plate Using Reverse Engineering Approach for Water-Cooled Battery in Electric Vehicles. Energies 2020, 13, 1638. [Google Scholar] [CrossRef] [Green Version]
- Tran, M.-K.; Akinsanya, M.; Panchal, S.; Fraser, R.; Fowler, M. Design of a Hybrid Electric Vehicle Powertrain for Performance Optimization Considering Various Powertrain Components and Configurations. Vehicles 2021, 3, 2. [Google Scholar] [CrossRef]
- Cunanan, C.; Tran, M.-K.; Lee, Y.; Kwok, S.; Leung, V.; Fowler, M. A Review of Heavy-Duty Vehicle Powertrain Technologies: Diesel Engine Vehicles, Battery Electric Vehicles, and Hydrogen Fuel Cell Electric Vehicles. Clean Technol. 2021, 3, 28. [Google Scholar] [CrossRef]
- Fotouhi, A.; Auger, D.J.; Propp, K.; Longo, S.; Wild, M. A Review on Electric Vehicle Battery Modelling: From Lithium-Ion toward Lithium–Sulphur. Renew. Sustain. Energy Rev. 2016, 56, 1008–1021. [Google Scholar] [CrossRef] [Green Version]
- U.S. Energy Information Administration. Battery Storage in the United States: An Update on Market Trends; U.S. Energy Information Administration: Washington, DC, USA, 2020. [Google Scholar]
- Tran, M.-K.; Fowler, M. A Review of Lithium-Ion Battery Fault Diagnostic Algorithms: Current Progress and Future Challenges. Algorithms 2020, 13, 62. [Google Scholar] [CrossRef] [Green Version]
- Fleischer, C.; Waag, W.; Heyn, H.-M.; Sauer, D.U. On-Line Adaptive Battery Impedance Parameter and State Estimation Considering Physical Principles in Reduced Order Equivalent Circuit Battery Models: Part 1. Requirements, Critical Review of Methods and Modeling. J. Power Sources 2014, 260, 276–291. [Google Scholar] [CrossRef]
- Tran, M.-K.; Fowler, M. Sensor Fault Detection and Isolation for Degrading Lithium-Ion Batteries in Electric Vehicles Using Parameter Estimation with Recursive Least Squares. Batteries 2020, 6, 1. [Google Scholar] [CrossRef] [Green Version]
- Mevawalla, A.; Panchal, S.; Tran, M.-K.; Fowler, M.; Fraser, R. Mathematical Heat Transfer Modeling and Experimental Validation of Lithium-Ion Battery Considering: Tab and Surface Temperature, Separator, Electrolyte Resistance, Anode-Cathode Irreversible and Reversible Heat. Batteries 2020, 6, 61. [Google Scholar] [CrossRef]
- Yann Liaw, B.; Nagasubramanian, G.; Jungst, R.G.; Doughty, D.H. Modeling of Lithium Ion Cells—A Simple Equivalent-Circuit Model Approach. Solid State Ion. 2004, 175, 835–839. [Google Scholar] [CrossRef]
- Fletcher, S.; Black, V.J.; Kirkpatrick, I. A universal equivalent circuit for carbon-based supercapacitors. J. Solid State Electrochem. 2013, 18, 1377–1387. [Google Scholar] [CrossRef] [Green Version]
- Mevawalla, A.; Panchal, S.; Tran, M.-K.; Fowler, M.; Fraser, R. One dimensional fast computational partial differential model for heat transfer in lithium-ion batteries. J. Energy Storage 2021, 37, 102471. [Google Scholar] [CrossRef]
- He, H.; Xiong, R.; Guo, H.; Li, S. Comparison Study on the Battery Models Used for the Energy Management of Batteries in Electric Vehicles. Energy Convers. Manag. 2012, 64, 113–121. [Google Scholar] [CrossRef]
- Hu, X.; Li, S.; Peng, H. A Comparative Study of Equivalent Circuit Models for Li-Ion Batteries. J. Power Sources 2012, 198, 359–367. [Google Scholar] [CrossRef]
- Zhang, L.; Peng, H.; Ning, Z.; Mu, Z.; Sun, C. Comparative Research on RC Equivalent Circuit Models for Lithium-Ion Batteries of Electric Vehicles. Appl. Sci. 2017, 7, 1002. [Google Scholar] [CrossRef] [Green Version]
- Divya, K.C.; Østergaard, J. Battery Energy Storage Technology for Power Systems—An Overview. Electr. Power Syst. Res. 2009, 79, 511–520. [Google Scholar] [CrossRef]
- Satyavani, T.V.S.L.; Srinivas Kumar, A.; Subba Rao, P.S.V. Methods of Synthesis and Performance Improvement of Lithium Iron Phosphate for High Rate Li-Ion Batteries: A Review. Eng. Sci. Technol. Int. J. 2016, 19, 178–188. [Google Scholar] [CrossRef] [Green Version]
- Padhi, A.K.; Nanjundaswamy, K.S.; Goodenough, J.B. Phospho-olivines as Positive-Electrode Materials for Rechargeable Lithium Batteries. J. Electrochem. Soc. 1997, 144, 1188. [Google Scholar] [CrossRef]
- Forte, F.; Pietrantonio, M.; Pucciarmati, S.; Puzone, M.; Fontana, D. Lithium Iron Phosphate Batteries Recycling: An Assessment of Current Status. Crit. Rev. Environ. Sci. Technol. 2020, 1–28. [Google Scholar] [CrossRef]
- Capron, O.; Gopalakrishnan, R.; Jaguemont, J.; Van Den Bossche, P.; Omar, N.; Van Mierlo, J. On the Ageing of High Energy Lithium-Ion Batteries—Comprehensive Electrochemical Diffusivity Studies of Harvested Nickel Manganese Cobalt Electrodes. Materials 2018, 11, 176. [Google Scholar] [CrossRef]
- Li, Z.; Chernova, N.A.; Roppolo, M.; Upreti, S.; Petersburg, C.; Alamgir, F.M.; Whittingham, M.S. Comparative Study of the Capacity and Rate Capability of LiNi y Mn y Co1–2y O2 (y = 0.5, 0.45, 0.4, 0.33). J. Electrochem. Soc. 2011, 158, A516. [Google Scholar] [CrossRef]
- Yang, H.; Savory, C.N.; Morgan, B.J.; Scanlon, D.O.; Skelton, J.M.; Walsh, A. Chemical Trends in the Lattice Thermal Conductivity of Li(Ni, Mn, Co)O2 (NMC) Battery Cathodes. Chem. Mater. 2020, 32, 7542–7550. [Google Scholar] [CrossRef]
- Reddy, M.V.; Mauger, A.; Julien, C.M.; Paolella, A.; Zaghib, K. Brief History of Early Lithium-Battery Development. Materials 2020, 13, 1884. [Google Scholar] [CrossRef] [PubMed] [Green Version]
- Li, K.; Zhang, J.; Chen, M.; Yang, Z.; Niu, Q. Advances in Green Energy Systems and Smart Grid; Springer: Singapore, 2018; ISBN 9789811323812. [Google Scholar]
- Lee, M.-J.; Lee, S.; Oh, P.; Kim, Y.; Cho, J. High Performance LiMn2O4 Cathode Materials Grown with Epitaxial Layered Nanostructure for Li-Ion Batteries. Nano Lett. 2014, 14, 993–999. [Google Scholar] [CrossRef]
- Miao, Y.; Hynan, P.; von Jouanne, A.; Yokochi, A. Current Li-Ion Battery Technologies in Electric Vehicles and Opportunities for Advancements. Energies 2019, 12, 1074. [Google Scholar] [CrossRef] [Green Version]
- He, H.; Xiong, R.; Fan, J. Evaluation of Lithium-Ion Battery Equivalent Circuit Models for State of Charge Estimation by an Experimental Approach. Energies 2011, 4, 582–598. [Google Scholar] [CrossRef]
- Plett, G.L. Extended Kalman Filtering for Battery Management Systems of LiPB-Based HEV Battery Packs: Part 2. Modeling and Identification. J. Power Sources 2004, 134, 262–276. [Google Scholar] [CrossRef]
- Li, D.; Ouyang, J.; Li, H.; Wan, J. State of Charge Estimation for LiMn2O4 Power Battery Based on Strong Tracking Sigma Point Kalman Filter. J. Power Sources 2015, 279, 439–449. [Google Scholar] [CrossRef]
- Li, Y.; Wang, C.; Gong, J. A Combination Kalman Filter Approach for State of Charge Estimation of Lithium-Ion Battery Considering Model Uncertainty. Energy 2016, 109, 933–946. [Google Scholar] [CrossRef]
- Moskon, J.; Jamnik, J.; Gaberscek, M. In Depth Discussion of Selected Phenomena Associated with Intrinsic Battery Hysteresis: Battery Electrode versus Rubber Balloons. Solid State Ion. 2013, 238, 24–29. [Google Scholar] [CrossRef]
- Kalogiannis, T.; Hosen, M.S.; Sokkeh, M.A.; Goutam, S.; Jaguemont, J.; Jin, L.; Qiao, G.; Berecibar, M.; Van Mierlo, J. Comparative Study on Parameter Identification Methods for Dual-Polarization Lithium-Ion Equivalent Circuit Model. Energies 2019, 12, 4031. [Google Scholar] [CrossRef] [Green Version]
- Tran, M.-K.; Mevawala, A.; Panchal, S.; Raahemifar, K.; Fowler, M.; Fraser, R. Effect of integrating the hysteresis component to the equivalent circuit model of Lithium-ion battery for dynamic and non-dynamic applications. J. Energy Storage 2020, 32, 101785. [Google Scholar] [CrossRef]
- Li, A.; Pelissier, S.; Venet, P.; Gyan, P. Fast Characterization Method for Modeling Battery Relaxation Voltage. Batteries 2016, 2, 7. [Google Scholar] [CrossRef] [Green Version]
- Vehicle and Fuel Emissions Testing: Dynamometer Drive Schedules 2020. Available online: https://www.epa.gov/vehicle-and-fuel-emissions-testing/dynamometer-drive-schedules (accessed on 17 February 2021).









| Electrode | Electrochemical Reactions |
|---|---|
| Anode | LinC6 ⇌ Li0C6 + nLi+ + ne− |
| Cathode | Lim − nFePO4 + nLi+ + ne− ⇌ LimFePO4 |
| Overall | LinC6 + Lim − nFePO4 ⇌ Li0C6 + LimFePO4 |
| Electrode | Electrochemical Reactions |
|---|---|
| Anode | LinC6 ⇌ Li0C6 + nLi+ + ne− |
| Cathode | Lim − n(NixMnyCoz)O2 + nLi+ + ne− ⇌ Lim(NixMnyCoz)O2 |
| Overall | LinC6 + Lim − n(NixMnyCoz)O2 ⇌ Li0C6 + Lim(NixMnyCoz)O2 |
| Electrode | Electrochemical Reactions |
|---|---|
| Anode: | LinC6 ⇌ nLi+ + ne− |
| Cathode: | Lim − nMn2O4 + nLi+ + ne− ⇌ LimMn2O4 |
| Overall: | LinC6 + Lim − nMn2O4 ⇌ Li0C6 + LimMn2O4 |
| Electrode | Electrochemical Reactions |
|---|---|
| Anode | LinC6 ⇌ Li0C6 + nLi+ + ne− |
| Cathode | Lim − n(NixCoyAlz)O2 + nLi+ + ne− ⇌ Lim(NixCoyAlz)O2 |
| Overall | LinC6 + Lim − n(NixCoyAlz)O2 ⇌ Li0C6 + Lim(NixCoyAlz)O2 |
| Chemistry | Manufacturer | Cell Name | Nominal Capacity (mAh) | Nominal Voltage (V) | Voltage Range (V) |
|---|---|---|---|---|---|
| LMO | EFEST | IMR18650V1 | 2600 | 3.70 | 2.50–4.20 |
| LFP | K2 Energy Solutions, Inc. | LFP26650P | 2600 | 3.20 | 2.00–3.65 |
| NMC | Samsung SDI | INR18650-20S | 2000 | 3.60 | 2.50–4.20 |
| NCA | Panasonic | NCR18650B | 3200 | 3.60 | 2.50–4.20 |
| SOC | 1RC | 2RC | 1RCwH | ||||||||||
|---|---|---|---|---|---|---|---|---|---|---|---|---|---|
| R0 | R1 | C1 | R0 | R1 | C1 | R2 | C2 | R0 | R1 | C1 | k | h | |
| (Ω) | (Ω) | (F) | (Ω) | (Ω) | (F) | (Ω) | (F) | (Ω) | (Ω) | (F) | / | (V) | |
| 0.9 | 0.0251 | 0.0280 | 769.39 | 0.0228 | 0.0278 | 1011.76 | 0.0047 | 456.43 | 0.0241 | 0.0144 | 714.37 | 0.0629 | 0.0274 |
| 0.8 | 0.0263 | 0.0351 | 747.04 | 0.0237 | 0.0361 | 967.72 | 0.0052 | 420.79 | 0.0252 | 0.0146 | 700.26 | 0.0416 | 0.0309 |
| 0.7 | 0.0271 | 0.0287 | 720.09 | 0.0242 | 0.0284 | 962.90 | 0.0055 | 355.45 | 0.0259 | 0.0148 | 646.30 | 0.0673 | 0.0319 |
| 0.6 | 0.0279 | 0.0312 | 687.74 | 0.0247 | 0.0311 | 935.50 | 0.0061 | 321.02 | 0.0266 | 0.0153 | 600.76 | 0.0537 | 0.0304 |
| 0.5 | 0.0284 | 0.0317 | 649.01 | 0.0248 | 0.0315 | 887.06 | 0.0067 | 271.69 | 0.0270 | 0.0160 | 558.52 | 0.0597 | 0.0300 |
| 0.4 | 0.0296 | 0.0367 | 618.50 | 0.0253 | 0.0373 | 863.25 | 0.0078 | 238.12 | 0.0281 | 0.0166 | 505.92 | 0.0353 | 0.0349 |
| 0.3 | 0.0306 | 0.0392 | 567.06 | 0.0257 | 0.0402 | 836.13 | 0.0094 | 210.55 | 0.0288 | 0.0177 | 433.25 | 0.0299 | 0.0383 |
| 0.2 | 0.0324 | 0.0487 | 520.73 | 0.0268 | 0.0539 | 834.83 | 0.0118 | 202.02 | 0.0300 | 0.0193 | 353.49 | 0.0087 | 0.0341 |
| 0.1 | 0.0344 | 0.0750 | 427.09 | 0.0287 | 0.1047 | 754.39 | 0.0164 | 214.49 | 0.0310 | 0.0234 | 277.31 | 0.0003 | 0.0338 |
| 1RC | 2RC | 1RCwH | |||||||||||
|---|---|---|---|---|---|---|---|---|---|---|---|---|---|
| SOC | R0 | R1 | C1 | R0 | R1 | C1 | R2 | C2 | R0 | R1 | C1 | k | h |
| (Ω) | (Ω) | (F) | (Ω) | (Ω) | (F) | (Ω) | (F) | (Ω) | (Ω) | (F) | / | (V) | |
| 0.9 | 0.0602 | 0.0198 | 1112.36 | 0.0586 | 0.0220 | 2254.18 | 0.0058 | 671.31 | 0.0594 | 0.0094 | 903.89 | 0.0048 | 0.0107 |
| 0.8 | 0.0612 | 0.0354 | 921.69 | 0.0601 | 0.0942 | 2310.05 | 0.0099 | 758.97 | 0.0603 | 0.0116 | 754.16 | 0.0041 | 0.0132 |
| 0.7 | 0.0610 | 0.0436 | 880.62 | 0.0598 | 0.1017 | 1852.54 | 0.0094 | 794.67 | 0.0601 | 0.0119 | 781.74 | 0.0041 | 0.0127 |
| 0.6 | 0.0615 | 0.0596 | 905.44 | 0.0600 | 0.1139 | 1395.74 | 0.0067 | 855.04 | 0.0604 | 0.0101 | 886.73 | 0.0049 | 0.0169 |
| 0.5 | 0.0613 | 0.0300 | 1249.34 | 0.0599 | 0.0389 | 1902.48 | 0.0045 | 884.10 | 0.0605 | 0.0079 | 1058.58 | 0.0057 | 0.0170 |
| 0.4 | 0.0630 | 0.0312 | 1268.09 | 0.0619 | 0.0460 | 2098.65 | 0.0049 | 1102.26 | 0.0623 | 0.0081 | 1136.45 | 0.0048 | 0.0157 |
| 0.3 | 0.0641 | 0.0330 | 1290.36 | 0.0630 | 0.0511 | 2076.67 | 0.0048 | 1098.68 | 0.0633 | 0.0077 | 1159.12 | 0.0045 | 0.0167 |
| 0.2 | 0.0614 | 0.0377 | 1287.61 | 0.0605 | 0.0854 | 2237.54 | 0.0056 | 1224.73 | 0.0607 | 0.0074 | 1216.08 | 0.0043 | 0.0179 |
| 0.1 | 0.0629 | 0.0392 | 1075.17 | 0.0619 | 0.1150 | 2206.02 | 0.0078 | 965.10 | 0.0621 | 0.0094 | 954.07 | 0.0039 | 0.0170 |
| 1RC | 2RC | 1RCwH | |||||||||||
|---|---|---|---|---|---|---|---|---|---|---|---|---|---|
| SOC | R0 | R1 | C1 | R0 | R1 | C1 | R2 | C2 | R0 | R1 | C1 | k | h |
| (Ω) | (Ω) | (F) | (Ω) | (Ω) | (F) | (Ω) | (F) | (Ω) | (Ω) | (F) | / | (V) | |
| 0.9 | 0.0428 | 0.0323 | 1041.59 | 0.0417 | 0.1061 | 1251.12 | 0.0078 | 846.01 | 0.0419 | 0.0101 | 851.06 | 0.0077 | 0.0136 |
| 0.8 | 0.0425 | 0.0404 | 888.84 | 0.0410 | 0.0919 | 1384.18 | 0.0062 | 776.83 | 0.0417 | 0.0124 | 816.91 | 0.0070 | 0.0139 |
| 0.7 | 0.0428 | 0.0515 | 862.27 | 0.0417 | 0.0912 | 1488.50 | 0.0079 | 911.13 | 0.0420 | 0.0123 | 867.86 | 0.0098 | 0.0138 |
| 0.6 | 0.0431 | 0.0661 | 838.53 | 0.0411 | 0.0808 | 1017.97 | 0.0044 | 668.99 | 0.0423 | 0.0114 | 975.99 | 0.0104 | 0.0178 |
| 0.5 | 0.0415 | 0.0307 | 1318.82 | 0.0402 | 0.0362 | 1744.50 | 0.0033 | 981.40 | 0.0409 | 0.0077 | 1301.65 | 0.0105 | 0.0177 |
| 0.4 | 0.0417 | 0.0287 | 1369.56 | 0.0405 | 0.0332 | 1805.97 | 0.0031 | 1074.47 | 0.0411 | 0.0076 | 1370.47 | 0.0108 | 0.0164 |
| 0.3 | 0.0424 | 0.0353 | 1329.23 | 0.0413 | 0.0472 | 1848.58 | 0.0036 | 1258.78 | 0.0418 | 0.0076 | 1366.15 | 0.0086 | 0.0173 |
| 0.2 | 0.0439 | 0.0375 | 1212.60 | 0.0426 | 0.0494 | 1690.60 | 0.0040 | 1036.82 | 0.0432 | 0.0082 | 1195.19 | 0.0057 | 0.0190 |
| 0.1 | 0.0553 | 0.0574 | 743.89 | 0.0510 | 0.0884 | 1144.14 | 0.0136 | 315.48 | 0.0510 | 0.0136 | 615.53 | 0.0039 | 0.0218 |
| 1RC | 2RC | 1RCwH | |||||||||||
|---|---|---|---|---|---|---|---|---|---|---|---|---|---|
| SOC | R0 | R1 | C1 | R0 | R1 | C1 | R2 | C2 | R0 | R1 | C1 | k | h |
| (Ω) | (Ω) | (F) | (Ω) | (Ω) | (F) | (Ω) | (F) | (Ω) | (Ω) | (F) | / | (V) | |
| 0.9 | 0.1086 | 0.0372 | 994.96 | 0.1063 | 0.0303 | 726.32 | 0.0099 | 636.78 | 0.1024 | 0.0338 | 905.42 | 0.0019 | 0.0266 |
| 0.8 | 0.1030 | 0.0492 | 928.76 | 0.1016 | 0.0302 | 734.10 | 0.0102 | 594.41 | 0.1016 | 0.0448 | 845.17 | 0.0017 | 0.0273 |
| 0.7 | 0.1033 | 0.0534 | 899.13 | 0.1020 | 0.0315 | 766.53 | 0.0105 | 575.44 | 0.1020 | 0.0486 | 818.20 | 0.0016 | 0.0272 |
| 0.6 | 0.1034 | 0.0527 | 958.57 | 0.1023 | 0.0390 | 929.76 | 0.0078 | 613.48 | 0.1025 | 0.0480 | 872.30 | 0.0027 | 0.0345 |
| 0.5 | 0.1032 | 0.0388 | 1233.95 | 0.1024 | 0.0271 | 1131.40 | 0.0078 | 789.73 | 0.1024 | 0.0353 | 1122.90 | 0.0012 | 0.0330 |
| 0.4 | 0.1048 | 0.0403 | 1237.15 | 0.1040 | 0.0275 | 1161.67 | 0.0077 | 791.77 | 0.1040 | 0.0367 | 1125.80 | 0.0011 | 0.0306 |
| 0.3 | 0.1050 | 0.0406 | 1231.86 | 0.1042 | 0.0272 | 1128.74 | 0.0077 | 788.39 | 0.1042 | 0.0369 | 1120.99 | 0.0011 | 0.0316 |
| 0.2 | 0.1081 | 0.0476 | 1166.00 | 0.1070 | 0.0272 | 982.50 | 0.0076 | 746.24 | 0.1070 | 0.0433 | 1061.06 | 0.0014 | 0.0373 |
| 0.1 | 0.1344 | 0.0619 | 999.38 | 0.1325 | 0.0498 | 747.54 | 0.0096 | 639.61 | 0.1241 | 0.0588 | 909.44 | 0.0016 | 0.0389 |
Publisher’s Note: MDPI stays neutral with regard to jurisdictional claims in published maps and institutional affiliations. |
© 2021 by the authors. Licensee MDPI, Basel, Switzerland. This article is an open access article distributed under the terms and conditions of the Creative Commons Attribution (CC BY) license (https://creativecommons.org/licenses/by/4.0/).
Share and Cite
Tran, M.-K.; DaCosta, A.; Mevawalla, A.; Panchal, S.; Fowler, M. Comparative Study of Equivalent Circuit Models Performance in Four Common Lithium-Ion Batteries: LFP, NMC, LMO, NCA. Batteries 2021, 7, 51. https://doi.org/10.3390/batteries7030051
Tran M-K, DaCosta A, Mevawalla A, Panchal S, Fowler M. Comparative Study of Equivalent Circuit Models Performance in Four Common Lithium-Ion Batteries: LFP, NMC, LMO, NCA. Batteries. 2021; 7(3):51. https://doi.org/10.3390/batteries7030051
Chicago/Turabian StyleTran, Manh-Kien, Andre DaCosta, Anosh Mevawalla, Satyam Panchal, and Michael Fowler. 2021. "Comparative Study of Equivalent Circuit Models Performance in Four Common Lithium-Ion Batteries: LFP, NMC, LMO, NCA" Batteries 7, no. 3: 51. https://doi.org/10.3390/batteries7030051
APA StyleTran, M.-K., DaCosta, A., Mevawalla, A., Panchal, S., & Fowler, M. (2021). Comparative Study of Equivalent Circuit Models Performance in Four Common Lithium-Ion Batteries: LFP, NMC, LMO, NCA. Batteries, 7(3), 51. https://doi.org/10.3390/batteries7030051

