Abstract
Ferrites have excellent magnetic, electric, and optical properties that make them an indispensable choice of material for a plethora of applications, such as in various biomedical fields, magneto–optical displays, rechargeable lithium batteries, microwave devices, internet technology, transformer cores, humidity sensors, high-frequency media, magnetic recordings, solar energy devices, and magnetic fluids. Recently, magnetically recoverable nanocatalysts are one of the most prominent fields of research as they can act both as homogeneous and heterogenous catalysts. Nano-ferrites provide a large surface area for organic groups to anchor, increase the product and decrease reaction time, providing a cost-effective method of transformation. Various organic reactions were reported, such as the photocatalytic decomposition of a different dye, alkylation, dehydrogenation, oxidation, C–C coupling, etc., with nano-ferrites as a catalyst. Metal-doped ferrites with Co, Ni, Mn, Cu, and Zn, along with the metal ferrites doped with Mn, Cr, Cd, Ag, Au, Pt, Pd, or lanthanides and surface modified with silica and titania, are used as catalysts in various organic reactions. Metal ferrites (MFe2O4) act as a Lewis acid and increase the electrophilicity of specific groups of the reactants by accepting electrons in order to form covalent bonds. Ferrite nanocatalysts are easily recoverable by applying an external magnetic field for their reuse without significantly losing their catalytic activities. The use of different metal ferrites in different organic transformations reduces the catalyst overloading and, at the same time, reduces the use of harmful solvents and the production of poisonous byproducts, hence, serving as a green method of chemical synthesis. This review provides insight into the application of different ferrites as magnetically recoverable nanocatalysts in different organic reactions and transformations.
1. Introduction
Ferrite comes from the Latin word “ferrum”, which means iron. Ferrites are a group of non-metallic ceramic compounds made by consolidating and heating significant measures of iron (III) oxide with at least one metal, such as Cu, Sr, Ba, Co, Mn, Ni, Zn, etc. Ferrites are generally ferrimagnetic in nature, which means they are attracted to magnets and, thus, can easily be magnetized by an externally applied magnetic field. The magnetic dipole moment associated with the electron spin determines the magnetic behavior of the ferrites [1]. Ferrite materials exhibit ferromagnetism, which shows magnetism at a temperature lower than the Curie temperature (TC), thus, becoming paramagnetic at a temperature higher than TC. Ferrites do not conduct electricity as ferromagnetic materials do but rather show extremely high electrical resistivity with specific resistivities 1014 times more than that of metals with dielectric constants around 10 to 16 or greater, making them potential candidates for transformers as a magnetic core [2]. A ferrite is usually described by the formula MFe2O4, where M is any bivalent metal (usually transition metals) such as Cu, Zn, Ni, Co, Mg, etc. [3]. According to the crystalline structure, ferrites can be categorized as spinel ferrite (MFe2O4), hexagonal ferrite (MFe12O19), and garnet ferrite (M3Fe5O12), where M is a bivalent transition metal, such as Fe, Cu, Zn, Ni, Co, Mn, etc., and ortho ferrite (MFeO3), where M is a trivalent metallic ion, such as a rare-earth ion [4,5].
Ferrites can be divided further, on the basis of magnetic coercivity, as soft and hard ferrites [6]. The principal ferrite compounds were first discovered in 1930 by Yogoro Kato, along with Takeshi Takei from the Tokyo Organization of Innovation [7]. They were granted a patent for discovering magnetic core oxide materials in the year 1932 in Japan (Japan PAT 98844). A Cu-Zn ferrite was newly invented commercially by the TDK corporation in 1935. During the First World War, ferrites were mainly used for radio communication equipment. Around 1950, the research on ferrites accelerated to meet the demand in the television industry. In 1952, a Ni-Zn/Mn-Zn ferrite was used by a researcher from the “Philips” company as a television component [8]. The ferrites exhibit good optical and mechanical properties, excellent electrical resistance, permeability, and magnetic properties, as well as good chemical/thermal stability [9,10]. Since the discovery of ferrite, it has become the best choice for different electronic and electrical industries (such as microwave devices, magnetic recordings, radio, television, and magneto–optical displays, as a core material for transformers, internet and sensing applications, solar cells, transducers, and supercapacitors) [11,12,13]. Ferrites are extensively used in biomedical applications [14], for instance, in disease diagnosis, drug delivery [15,16,17,18], MRI [17], and cancer treatment with magnetic hyperthermia [19,20]. The role of ferrites as a nanocatalyst is notable in various organic reactions (such as the photocatalytic decomposition of various dyes, alkylation, dehydrogenation, oxidation, C–C coupling, etc.). The smaller size of the nanoparticles with a greater surface area, selectivity, and easy recovery, retaining their catalytic activity for many cycles, make nanoparticles excellent catalysts [21]. Ferrite, when used in organic reactions as a catalyst, provides a green synthesis method with a more environment-friendly pathway of chemical synthesis by reducing reaction time and avoiding harmful byproducts, and providing the benefit of stability in reuse [22,23]. Ferrite nanoparticles can be extracted conveniently from reaction mixtures by applying an external magnet (Figure 1), facilitating the easy recovery and recyclability of the catalyst, thus, avoiding the catalyst loss that occurs with the centrifugation and filtration methods [24].
Figure 1.
Recyclable magnetic nanocatalyst.
Research on catalysts is one of the major topics in organic synthesis. The primary function of a catalyst is to accelerate chemical reactions. With higher catalyst activity, the reactor size can be reduced, as well as the operating conditions such as temperature and pressure, leading to a decrease in operating costs [25,26]. Magnetic nanoparticles (MNPs) have garnered attention for their catalytic applications due to their unique properties [27,28]. Therefore, the primary goal of researchers is to develop nanocatalysts with high activity, excellent yield, reduced reaction time, and good selectivity [29,30]. Ferrite nanoparticles (FNPs) and their composites have a promising future as heterogeneous catalysts due to their easy separation and reusability through the application of an external magnetic field [31,32]. FNPs eliminate the use of harmful chemicals and solvents, making them environmentally friendly [33]. FNPs with a spinel structure exhibit high thermal and chemical stability, a larger surface area, moderate magnetization, and mechanical hardness, which make them predominantly used as catalysts in organic reactions (Figure 2) [34]. This mini-review provides insights into the catalytic applications of ferrite nanoparticles in various organic reactions. The focus of this study will primarily be on five spinel ferrites (CuFe2O4, ZnFe2O4, NiFe2O4, CoFe2O4, and MnFe2O4) that have been extensively employed as reusable heterogeneous catalysts in various organic reactions.
Figure 2.
Characteristics of the ferrite nanoparticles.
2. Synthesis
2.1. Synthesis of Nano-Ferrites
The methods for the preparation of ferrite nanocatalysts (Figure 3) include wet-chemical, sono-chemical technique [35], sol–gel microemulsion [36,37], co-precipitation method [38,39,40], microwave heating [41], hydrothermal routes [42], thermal decomposition [43,44], and mechanical or high-energy ball milling [45]. The properties of ferrites are significantly influenced by the chosen preparation method [46].
Figure 3.
General methods of synthesis of the Fe3O4 nanoparticles.
Among the various methods, co-precipitation is the most commonly used method for preparing ferrite nanoparticles. This method requires proper pH adjustment, temperature control, and appropriate ionic strength, along with a divalent metal to trivalent ion mole ratio of 1:2, to achieve superior quality nanoparticles. Reducing agents such as NaOH, NH3, TMAOH (tetramethylammonium hydroxide), etc., are used to reduce iron precursors and produce monodispersed Fe3O4 nanoparticles with a wide range of particle size distributions, either in the presence or absence of surfactants [47]. Highly monodisperse nanoparticles with a narrow particle size distribution and uniform morphology can be obtained through the thermal decomposition method using various salts such as Fe(CO)5, Fe(Cup)3, Fe(acac)3, etc. [48,49]. The microemulsion technique is employed to achieve nanoparticles with controlled size and shape [50,51], but this method involves high temperatures and complex reactions. The hydrothermal method is an alternative approach that avoids the requirements of the microemulsion process [52]. Another method for preparing Fe3O4 nanoparticles is sono-chemical, in which salts such as Fe(C2H3O2)2 and Fe(acac)3 are sonicated [53,54,55]. A cost-effective, simple, and facile method for obtaining a homogeneous product with high purity is the sol–gel method. The sol–gel process involves the hydrolysis and condensation of precursor materials in a solution medium. Conventionally preferred precursor materials are metal alkoxides or inorganic salts. In the sol–gel method, citric acid forms a gel with a homogeneous distribution of precursor metal ions [56,57,58]. Each method has its own advantages and disadvantages (Table 1). However, green synthesis, which avoids the use of harmful chemicals and utilizes biological methods such as long-term mineralization with bacteria, is an emerging area of research [59,60,61]. Natural extracts from plants containing secondary metabolites, such as flavonoids, phenols, tannins, alkaloids, etc., are used to produce spinel nano-ferrites in an eco-friendly manner [62].
2.2. Synthesis of Metal-Doped Ferrites
Spinel ferrites have been extensively studied in recent years due to their excellent thermal resistance, as well as their notable magnetic and catalytic activity. Spinel ferrite is represented as AB2O4, where A represents a divalent metal cation, and B represents a trivalent metal cation. In the case of normal spinel, 8 out of 64 available tetrahedral sites are occupied by A cations, while 16 out of 32 available octahedral sites are occupied by B cations (Figure 4). On the other hand, if all tetrahedral sites are exclusively occupied by B cations, with random occupancy of both A and B cations in the octahedral sites, it is referred to as an inverse spinel. When both the divalent metal ions M2+ and the trivalent Fe3+ ions occupy both the tetrahedral (A) and octahedral (B) sites, it is classified as a mixed spinel (Figure 5).
Figure 4.
Structure of spinel ferrite.
Figure 5.
Different types of spinel ferrites according to distribution of cations in tetrahedral and octahedral sites.
Transition metals such as Cu, Zn, Co, Ni, and Mn, when incorporated into spinel ferrites, modify the redox activity of the ferrites [63,64]. Substituting Fe3+ with other metals in the octahedral sites affects the strength of the metal–oxygen bonds, enhancing the stability and redox properties of the ferrite [65,66]. Various metals such as Au, Ag, Pt, Pd, Cr, lanthanides, etc., as well as surface modifiers such as SiO2, ZrO2, TiO2, etc., are incorporated into the ferrites to enhance their catalytic activity (Figure 6). The catalytic activity of metal-coated ferrites has been reported in various organic synthesis processes. For example, one-pot synthesis of magnetite nanoparticles coated with Pt has been reported for their magneto-sensitive catalytic applications [67]. Vaddula et al. synthesized the Fe3O4–Dopa–Pd nanocatalyst and used it as a catalyst in Heck reactions. They sonicated an aqueous mixture of Fe3O4 with dopamine and then reacted it with a methanolic solution of Pd to obtain the catalyst [68]. The photocatalytic properties of FNPs were enhanced by doping them with Ce4+, Mn2+, CO2+, and Ni2+ metal ions, which were synthesized using the co-precipitation method [69]. Fe3O4 modified with Ag was prepared through a thermal decomposition process by reacting Fe(NO3)3.9H2O and AgNO3 at high temperatures [70]. Fe3O4/Au composites were prepared using the seed deposition technique for the catalytic reduction of 4-nitrophenols [71]. Nanoparticles of Al-doped zinc ferrite were synthesized by a thermal treatment method in the presence of polyvinylpyrrolidone (PVP) as a capping agent [72]. Mn-doped La-Ce FNPs were synthesized using the hydrothermal route with an ionic liquid surfactant (ILS), and the doped samples exhibited a transition from ferromagnetism to paramagnetism [73].
Figure 6.
Methods for the synthesis of metal-doped ferrites.
Table 1.
Reaction conditions with advantages and disadvantages of different methods of synthesis of metal ferrites.
Table 1.
Reaction conditions with advantages and disadvantages of different methods of synthesis of metal ferrites.
| Methods | Example | Reaction Temp (°C) | pH | Particle Size (nm) | Advantages | Disadvantages | Reference |
|---|---|---|---|---|---|---|---|
| Co-precipitation Method | NiFe2O4 | 80 | 12 | ~8 | (1) Simple and easy method (2) The grain size and the homogeneity can be controlled | (1) High calcination temperature for better crystallinity (2) pH control for avoiding agglomeration (3) Broadly size distributed crystals obtained (4) Long reaction time | [74,75,76] |
| MnFe2O4 | 70 | 11 | 200–290 | ||||
| Hydrothermal Method | NiFe2O44 | 150 | 10 | 53 | (1) Easily accessible method (2) Particles with enhanced morphology (3) Better control of composition | (1) pH needs to be maintained around 9–12 (2) Stabilizing agents such as glycerol, sodium dodecyl sulfate, etc. required (3) Special equipment and high temperature required | [77,78] |
| CoFe2O | 180 | 9 | 34 | ||||
| Sono-chemical method | CuFe2O4 | 25 | 6 | 60 | (1) Controlled reaction conditions (2) MNPs with high crystallinity (3) Low working temperature | (1) Less controllable shapes and dispersity (2) Medium yield | [79] |
| Sol–gel microemulsion | CoFe2O4 | 110 | 7 | 77 | (1) Low temperature (2) Particles with controlled shape and size (3) Cheap (4) Homogenous and pure product | (1) Time-consuming (2) Large quantity of solvent required | [56,80] |
| CoMn0.2Fe1.8O4 | 60–70 | - | 20 | ||||
| Thermal decomposition | MnFe2O4 | 270 | - | 18.9 | (1) Monodispersed particles with smaller size (2) Better crystallinity (3) Suitable for large-scale production | (1) High temperature required (2) Toxic organic solvents required (3) Costly | [81] |
| Ball milling | MgFe2O4 | - | - | 12.3 | (1) Simple and convenient (2) Less impurities | (1) High sintering temperature (2) Long-time milling (3) Less control on unwanted phase formation | [82] |
| Microwave heating | CoFe2O4 | 100–200 | - | - | (1) Short period of time (2) High-quality yield with narrow size distribution (3) Better reproducibility at reasonable cost (4) Efficient heating | (1) Organic solvent (2) Medium yield | [83] |
3. Catalytic Activities of Spinel Ferrites
3.1. Heterogenous Catalysis of Ferrites in Organic Reactions
Simple ferrites, as well as mixed metal ferrites, are gaining importance as catalysts in organic synthesis (Figure 7) [84,85]. The octahedral site of the spinel ferrite exhibits higher catalytic activity compared to the tetrahedral site because of its larger size, which allows for better accommodation of reactant species. Therefore, understanding the preferred site for the metal cation is crucial for exploring the catalytic activity of the ferrite. Ferrites, as heterogeneous catalysts, play a significant role in various reactions. Heterogeneous catalysts are easier to handle, require less workup, and prevent metal contamination. The advantages of ferrites as heterogeneous catalysts include high yields under moderate reaction conditions, the ability to accommodate multifunctional groups, and easy catalyst recovery and recycling. In recent years, the utilization of magnetic nanoparticles (MNPs) as effective catalysts in organic synthesis has significantly increased. The high surface area, fewer coordination sites, and responsive morphologies of ferrite nanocatalysts at the nanoscale enable more efficient processes, offering advantages over conventional methods in organic reactions. Consequently, the reaction rate is maximized with minimal catalyst consumption.
Figure 7.
Different types of reactions catalyzed by metal ferrite.
3.1.1. Copper Ferrite
Among spinel ferrites, copper nano-ferrites (CuFe2O4) have emerged as one of the most widely used catalysts in various novel reactions. One important catalytic behavior of CuFe2O4 is its role in methanol decomposition to CO and H2 [86]. Another significant application of CuFe2O4 is in the conversion of CO to CO2 [87]. Murthy et al. reported the first synthesis of β, γ-unsaturated ketones and allylation of acid chlorides using CuFe2O4 nanomaterial as a recyclable heterogeneous initiator, without any additives, ligands, or co-catalysts [88]. The 20 nm nanocatalyst was prepared by the sol–gel method at room temperature using citrate as a precursor and tetrahydrofuran (THF) as a solvent, which yielded promising results for three consecutive cycles and significantly reduced the reaction time. A wide range of acid chlorides was reacted with cinnamyl chloride as well as allyl bromide under the mentioned conditions, although the reaction with long-chain aliphatic acid chloride did not yield allyl ketone (Scheme 1). The acylation of allyl halides by CuFe2O4 nanocatalyst was not affected by electronic effects or steric effects. It was reported that all acylation reactions were followed by allylic rearrangement [89,90] to eliminate the double bond from the conjugation. The mechanism involves the electrophilic attack of CuFe2O4 nanocatalyst at the γ carbon atom of the allylic group without any prototropic rearrangement, which then reacts with the acyl halides, resulting in the formation of stable allyl ketone, as confirmed by IR and NMR spectral studies.
Scheme 1.
Reaction for the β, γ-unsaturated ketone synthesis.
In another study, CuFe2O4 nanoparticles were employed for the C–O coupling in the Ullmann reaction, which involved various aryl halides and phenols, as well as amino, methoxy, ketone, methyl, cyano, and halide derivatives (Scheme 2). The catalyst exhibited high yields without requiring any form of protection for sensitive functional groups such as MeCO, CN, and NH2 [91].
Scheme 2.
Mechanism for C–O coupling reaction by CuFe2O4 nanocatalyst.
In CuFe2O4, Cu(II) is a more active species compared to Cu(I), which enables easier electron transfer for the oxidative coupling reaction with an aryl halide. Utilizing 10 mol% of catalysts, a yield of 92% was achieved in the sixth run. This was further confirmed by the X-ray diffraction (XRD) patterns, which indicated that the crystal structure of the CuFe2O4 nanoparticles remained intact after six runs. These results explain the excellent recyclability and high stability of the magnetic catalyst.
A one-pot synthesis of α-aminonitrile derivatives was reported, involving the condensation of different aldehydes with amines and trimethylsilyl cyanides in the presence of CuFe2O4 nanocatalyst. Water was used as the solvent, and AcOH served as the promoter at room temperature [92]. The enhanced catalytic activity was attributed to the availability of active sites. The proposed mechanism involved the attack of the acidic proton of CuFe2O4 nanocatalyst in AcOH on the aldehydes, followed by a simultaneous reaction with the amines to form a major intermediate (Scheme 3). The catalyst exhibited recyclability and reusability for four cycles with no significant loss in activity. It was observed that benzaldehyde derivatives provided better yields compared to ketone derivatives, regardless of the substitution on the aromatic ring. Additionally, substituted benzaldehydes and substituted aryl amines yielded improved results.
Scheme 3.
Proposed mechanism for the synthesis of 𝛼-aminonitrile derivatives with CuFe2O4 nanocatalyst.
A ligand-free, simple, efficient, and magnetically recoverable method for synthesizing aldehydes and ketones via the oxidative decarboxylation of phenylacetic acid has been reported using CuFe2O4 nanocatalyst [93]. The proposed mechanism involves the decarboxylation of phenylacetic acid, leading to the generation of active Cu species. These active Cu species further undergo oxidation through peroxy cuprate, resulting in the formation of the corresponding aldehyde (Scheme 4). The yield of the desired product was found to be higher when an electron-donating group was attached to the aromatic ring, as compared to an electron-withdrawing group. Furthermore, the position of the substituent on the aromatic ring was observed to impact the product yield, with ortho substituents exhibiting lower yields compared to meta and para substituents. Steric hindrance was identified as a contributing factor to the reduced yield in ortho-substituted compounds.
Scheme 4.
Proposed mechanism for the oxidative decarboxylation reaction.
In a novel study, Cu nanoparticles synthesized through a green method using neem leaf extract were employed for the oxidation of various toluene derivatives under mild reaction conditions without the use of any solvent, resulting in an excellent yield of benzoic acid (Scheme 5). The catalyst exhibited recyclability for up to five cycles without any loss of activity [94]. Derivatives with electron-donating groups exhibited higher yields compared to derivatives with electron-withdrawing groups, suggesting that toluene derivatives with electron-donating groups were more reactive in the oxidative reaction. Notably, the oxidation of toluene derivatives with electron-withdrawing groups, such as 4-nitrotoluene, required harsh reaction conditions for a successful conversion. Additionally, it was observed that the electron-rich 2-hydroxytoluene provided an excellent yield. Interestingly, substituted toluene derivatives underwent oxidation efficiently, irrespective of the substituent group.
Scheme 5.
Oxidation of benzyl alkanes to benzoic acid.
The catalyst was washed with ethanol and then reused for up to four cycles without any loss of activity in the oxidation of toluene. However, after the fifth cycle, the reactivity decreased due to a change in the morphology of the nanoparticles. CuFe2O4 catalysts were also employed for the synthesis of biaryls from aryl-boronic acid (Scheme 6) using various solvents such as methanol, THF, ethanol, etc. Additionally, the catalyst was used for catalyzing the oxidation of various aryl and aromatic alcohols [95]. The maximum catalyst recovery, shortest reaction time, and highest yield (83–96%) were achieved when using methanol as the solvent.
Scheme 6.
Formation of biaryl using CuFe2O4 nanocatalyst.
CuFe2O4 exhibited remarkable catalytic activity in the dehydrogenation of ethanol to acetaldehyde (97%) and hydrogen at 300 °C, with selectivity shifting towards acetone, CO2, and hydrogen at higher temperatures of 400–500 °C [96]. The reversible transition of Cu2+ to Cu1+ in the crystal structure of the ferrite is responsible for the high activity of CuFe2O4 in the oxidation-reduction–dehydrogenation process leading to the formation of acetaldehyde. The dissociation of the O-H bond of the ethanol molecule occurred on the [Cu-O] pair. The resulting ethoxy species bonded to the cupric ion, while the hydrogen atom bonded to the oxygen ion on the catalyst surface. The second hydrogen atom was released through the desorption of acetaldehyde, followed by the formation of a hydrogen molecule through the recombination of hydrogen atoms.
CuFe2O4 doped with molybdenum was studied as an active catalyst for the gas-phase oxidative coupling reaction of methanol and ethanol, resulting in the formation of hydroxy acetone, methyl acetate, ethyl acetate, ethyl–methyl–ether, with small amounts of dimethyl–ether, diethyl–ether, formaldehyde, and acetaldehyde [97]. The conversion of ethanol increased with temperature and molybdenum concentration. Higher catalytic activity was observed for a greater Cu1+/Cu2+ ratio as well as Mo5+/Mo6+ ratios, while a higher Fe2+/Fe3+ ratio resulted in selectivity towards hydroxy acetone. The gain of electrons from interstitial oxygen led to the reduction of Cu2+ to Cu1+, Fe3+ to Fe2+, and Mo6+ to Mo5+ or Mo4+, respectively. The unstable interstitial oxygen, upon losing electrons, became highly mobile and escaped from the lattice, transforming into active oxygen (O−) responsible for the observed transformation reaction.
A similar study was conducted on the aerobic oxidation of aqueous bioethanol in a liquid phase to acetic acid using a mild hydrothermal environment, employing Au-supported CuFe2O4 nanoparticles [98]. The enhanced activity of ethanol and oxygen was attributed to the oxidation-reduction activity of Fe2+ ions in conjunction with negatively charged Auδ−. Efficient and environmentally friendly CuFe2O4-catalyzed oxidation of aryl alcohols to aldehydes was investigated using water as the solvent in the presence of dioxygen [99]. A novel magnetic nanocomposite, CuFe2O4 with carbon quantum dots (CQDs) derived from gelatin, was successfully synthesized for the reduction of ortho and para nitroaniline (ONA, PNA) using NaBH4 as a reducing agent in an aqueous medium at 25 °C (Scheme 7) [100]. The nanocatalyst exhibited excellent reduction performance for nitroanilines due to the easy electron transfer from the negative BH4− ion to ortho and para nitroanilines (PNA and ONA) (Scheme 8). The Fermi level shift of CuFe2O4 nanocomposites facilitated electron acceptance. The recyclability study demonstrated that the catalytic activity of the reusable catalyst remained high, changing insignificantly from 98.8% to 96% for PNA reduction and from 96.16% to 90% for ONA after six runs.
Scheme 7.
Formation of para and ortho-nitroaniline by NaBH4 in the presence of CuFe2O4 nanocatalyst.
Scheme 8.
The reduction mechanism of nitroanilines by NaBH4 with CuFe2O4/CQD (gelatin) as nanocatalyst.
CuFe2O4 is also utilized as a heterogeneous catalyst in the photosensitive Fenton process due to its narrow band gap, excellent response to visible light, low cost, and high photochemical stability [101]. Shi et al. developed soft magnetic CuFe2O4 with SiO2 nanofibrous membranes, which exhibited efficient Fenton catalytic activity for organic pollutants (Scheme 9). The degradation rate reached 96% within 20 min, and the catalyst demonstrated exceptional recyclability (Figure 8) [102].
Scheme 9.
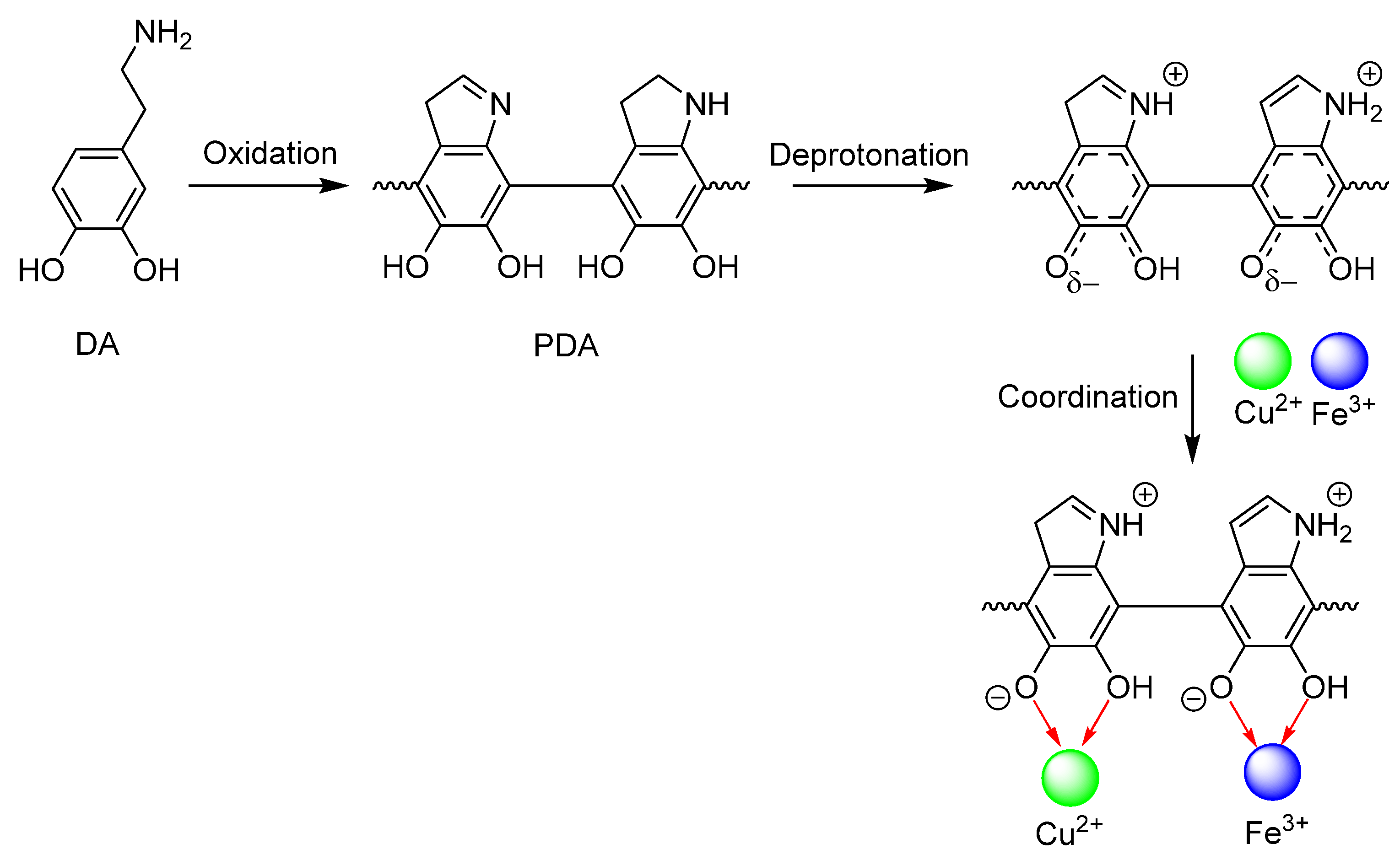
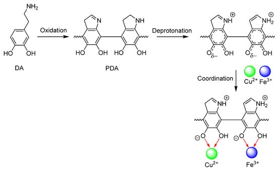
The mechanism demonstrating the absorption of Cu2+ and Fe3+ on PDA-SNM (polydopamine- silica nanofibrous membranes) (adapted with permission from Ref. [102], 2019, Journal of Colloid and Interface Science).
Figure 8.
The degradation of the CuFe2O4–SNM at different periods of time (adapted with permission from Ref. [102], 2019, Journal of Colloid and Interface Science).
Copper ferrite (CuFe2O4) nanoparticles were synthesized using a microwave ignition reaction and coated with extracted chlorophyll obtained from mulberry green leaves to enhance the photocatalytic degradation of methylene blue dye (MB) [103]. In another study, a novel catalyst consisting of copper–nickel ferrite (CuNiFe2O4) loaded onto multi-walled carbon nanotubes (MWCNTs) was prepared through a coprecipitation method. This catalyst was employed in the sonophotocatalytic degradation process of Acid Blue 113 (AB113) dye (Figure 9) [104]. The catalyst exhibited remarkable efficiency in terms of dye removal (100%), total organic carbon (93%), and chemical oxygen demand (95%) under the following conditions: pH of the dye solution = 5, MWCNT-CuNiFe2O4 dosage = 0.6 g/L, AB113 dye concentration = 50 mg/L, UV light intensity = 36 W, ultrasonic wave frequency = 35 kHz, and treatment time = 30 min. The main reactive species responsible for the degradation of AB113 dye were holes (h+) and hydroxyl radicals (•OH).
Figure 9.
Proposed mechanism for MWCNT–CuNiFe2O4/UV/US system.
3.1.2. Zinc Ferrite
Zinc nano ferrite has been utilized as a catalyst in the oxidation of organic reactions. Neodymium-doped ZnFe2O4 was investigated as a catalyst in the oxidative conversion of methane and coupling reactions [105]. There was a strong relationship between the catalytic effect and the structure of the oxide, along with the defects created as a result of substitution. The catalytic activities toward the coupling reaction followed the order:
ZnFe1.5Nd0.5O4 < ZnFeNdO4 < ZnFe1.75Nd0.25O4 < ZnFe2O4 < ZnNd2O4
The important aspect was the redox nature of the reaction mixture, which played a crucial role in creating definite lattice defects through the removal of lattice oxygen associated with Fe3+ reduction. The positive charge resulting from the reduction of Fe3+ to Fe2+ was compensated by the presence of oxygen defects. The introduction of octahedrally coordinated Nd3+ ions generated new types of defects that facilitated methane combustion. ZnFe2O4 nanocatalysts exhibited the conversion of methanol, a substitute green fuel used in fuel cells, to CO and H2 at relatively lower temperatures [106]. Catalytic tests demonstrated a significant transformation of the ferrite phase due to the influence of the reaction medium, as confirmed by Mössbauer spectra. Pd-substituted ZnFe2O4 was investigated for Heck and Suzuki cross-coupling reactions under aerobic conditions without the need for any ligands [107]. The substituted ZnFe2O4 exhibited excellent catalytic activity. A wide range of aryl halides and boronic acids were studied for the Suzuki reaction under optimized conditions (Scheme 10). The catalyst loading was low, and it could be easily recovered and reused (Table 2). Similarly, for the Heck reaction, various aryl halides with different alkenes were considered, except for aryl chloride, which was not catalyzed by the substituted ZnFe2O4 [22].
Scheme 10.
Heck and Suzuki Cross-coupling reactions catalyzed by Pd–ZnFe2O4 nanoparticles.
Table 2.
Activity of Pd-ZnFe2O4 nanocatalyst for Heck and Suzuki reaction (adapted from with permission from Ref. [107], 2013, Catalysis Communications).
A magnetic-recyclable catalyst, Pd-doped ZnFe2O4 (ZnFe2O4@PDA/COF@Pd), was synthesized using a covalent organic framework (COF) as a carrier and polydopamine as a crosslinking agent. The catalyst demonstrated excellent catalytic activity in Suzuki coupling and the reduction of p-nitrophenol [108]. The COF prevented the aggregation and leaching of Pd nanoparticles, thereby enhancing the activity and stability of the catalyst. In another study, superparamagnetic Pd-ZnFe2O4 nanoparticles were effectively employed as a heterogeneous catalyst in carbon–carbon and carbon–oxygen cross-coupling reactions, including the Heck–Matsuda reaction for diazonium salt in an aqueous medium (Scheme 11), Sonogashira coupling reaction with ethanol, cyanation of aromatic halides without cyanide (Scheme 12), and Ullmann coupling reaction with phenols to obtain the corresponding coupled products (Scheme 13) [109]. These C–C coupling reactions failed to proceed without the catalyst, highlighting the significance of the catalyst in the reactions.
Scheme 11.
Coupling reaction of diazonium tetrafluoroborates in the presence of Pd–ZnFe2O4 nanocatalyst with styrene.
Scheme 12.
Cyanation of aromatic halides with K4Fe [(CN)6] with Pd-ZnFe2O4 MNP as a catalyst.
Scheme 13.
Pd–ZnFe2O4 MNP catalyzed carbon–oxygen cross-coupling reaction.
The catalytic activity of ZnFe2O4, doped with nitrogen and sulfur and synthesized through co-precipitation and wet impregnation processes, was investigated for the complete degradation of 4-chlorophenol [110]. Non-metal doping had an adverse impact on the structure, enhancing both the stability and activity of the catalyst. Nitrogen and sulfur doping increased the chemical oxygen demand (COD) removal efficiency to 98%. No leaching of Fe was observed, indicating a heterogeneous reaction mechanism. The magnetically separable catalyst exhibited stability, as demonstrated by phase analysis using X-ray diffraction (XRD), and could be reused for five consecutive cycles (Table 3). The radicals formed through electron transfer from the metal ion in the catalyst to persulfate were responsible for the reaction, as shown in Equations (1)–(3).
Table 3.
Stability of the catalyst during the persulfate-activated oxidation of 4-CP (adapted from with permission from Ref. [110], 2022, Journal of Physics and Chemistry of Solids).
Fe3+ + HSO5− → Fe2+ + SO52− + H+
Fe2+ + HSO4− → Fe3+ + SO42− + OH−
Fe3+ + PMS → Fe2+ + SO42−
The spinel structure of zinc ferrite crystals enhances the stability of the ferrite, resulting in improved efficiency. The photocatalytic decomposition of organic contaminants in water using zinc ferrites has been extensively studied. For example, ZnFe2O4 exhibits photocatalytic activity, but its efficiency can be further enhanced by coupling it with another semiconductor or by coupling it with carbon nanotubes and graphene (Figure 10). A magnetically separable graphene oxide nanocomposite, ZnFe2O4, was synthesized as an efficient and stable catalyst for the degradation of MB dye in aqueous solutions (Figure 11) under solar radiation [111]. The catalyst effectively degraded the MB dye through the formation of free radicals, as shown in Equations (4)–(8).
Figure 10.
Mechanism showing the photodegradation of MB dye in the presence of ZnFe2O4@rGO under sunlight (adapted with permission from Ref. [111], 2020, Journal of Colloid and Interface Science).
Figure 11.
Dye degradation under solar radiation (150 W) using 0.5 g L−1 catalyst loading and 10 mg L−1 with MB solution. Inset: Dispersed ZnFe2O4@rGO-H2O(NaOH)-1 catalyst without MB solution (left) and with (right) MB solution in a magnetic field within a few seconds of contact (adapted with permission from Ref. [111], 2020, Journal of Colloid and Interface Science).
In recent studies, a composite of spinel zinc ferrite (ZnFe2O4) and cellulose was successfully fabricated as an effective photocatalyst. The composite efficiently degraded methylene blue (MB) by 100% after 180 min at pH 6.5 and demonstrated reusability for up to four regeneration cycles [112]. SDS (sodium dodecyl sulfate)-coated Zn ferrites were utilized as excellent magnetic adsorbents for the removal of violet dye from wastewater across a wide range of dye concentrations [113]. Biocomposite-based materials such as zinc ferrite-chitosan (ZFN-CS) were capable of removing crystal violet and brilliant green dyes under ambient conditions in both simple and binary systems [114]. A ZnFe2O4 photocatalyst was synthesized using a facile reduction-oxidation method to investigate its catalytic activity for the decolorization of Orange II dye under Vis/ZnFe2O4/PS (persulfate, S2O82−) conditions [115]. The reaction was initiated by SO4•− through electron transfer attack, while •OH contributed via electrophilic addition or hydrogen abstraction reactions on the N=N azo form of Orange II, resulting in the formation of 4-aminobenzenesulfonic acid and 1-amino-2-naphthol (Figure 12). Simultaneously, electrophilic addition of •OH occurred on the C=N hydrozone form of Orange II, leading to the production of 2-naphthol and 4-hydrazinebenzenesulfonic acid. The ZnFe2O4 photocatalyst exhibited high activity and stability with minimal iron and zinc leaching throughout the various experimental cycles, as shown in Equations (9)–(15).
Figure 12.
The photo-degradation of Orange II by ZnFe2O4 catalyst by persulfate under visible light (adapted with permission from Ref. [115], 2016, Separation and Purification Technology).
3.1.3. Nickel Ferrite
Nanosized nickel ferrite, whether in pure or doped form, finds application in various catalytic reactions. For instance, NiFe2O4 has been utilized as an effective catalyst in the water–gas shift (WGS) reaction within the industry [116]. Comparatively, the activity of NiFe2O4 (111) surfaces was found to be significantly higher than that of Fe3O4 (111) surfaces, as demonstrated by thermodynamic and kinetic studies on water adsorption and dissociation using the DFT + U approach. This disparity had a direct impact on catalytic activity. Regarding the dissociation of a single H2O molecule, the activation barrier was low (0.18 eV) for the 0.25 ML Fetet1 termination, while there was no barrier for the 0.5 ML Feoct2–tet1 termination (Figure 13). This highlights the significance of water dissociation as a major controlling factor in the WGS reaction. The surface reactivity stemmed from the interaction between the 3σ orbitals of OH and the d orbitals of the surface Fe atom, resulting in the formation of new bonding orbitals that shifted the energy axis deeper, thereby leading to a greater energy gain and stronger water adsorption for the 0.5 ML Feoct2–tet1 termination.
Figure 13.
Dissociation pathway and activation barrier for single water molecule with NiFe2O4 0.25 ML Fetet1 (adapted with permission from Ref. [116], 2013, The Journal of Physical Chemistry C).
CoFe2O4/NiFe2O4 was employed as a catalyst for the chemical looping reaction involving methanol and ethanol–water mixtures, which were subsequently deoxidized with CO2 to produce CO [117]. Ni ferrospinels were tested as catalysts for the total oxidation of propane to CO2 within the temperature range of 250–600 °C [118]. Nickel ferrite is also utilized in various coupling reactions. NiFe2O4-supported Pd nanoparticles were investigated as highly active and reusable catalysts in Sonogashira cross-coupling reactions, demonstrating high conversion rates even after the tenth run [119]. The redox behavior of NiFe2O4 imparted high activity and stability to the catalyst by creating oxygen defects that facilitated electron transfer between the metal and support. NiFe2O4 was studied as a catalyst without the use of copper for the Sonogashira reaction in a green solvent (water) (Scheme 14). Several aromatic and alkyl halides were effectively coupled with phenylacetylene under optimal reaction conditions (Scheme 15), resulting in excellent yields (Figure 14) in a short period of time [120]. A similar study was conducted using Fe3O4@Ni nanoparticles by using Euphorbia aculate extract that acted as a stabilizing agent and also served the purpose of a reducing agent and showed amazing catalytic activity in Sonogashira coupling and A3 coupling reactions [121].
Scheme 14.
Sonogashira coupling reactions.
Scheme 15.
Proposed mechanism for Sonogashira coupling reaction with Pd/NiFe2O4 catalyst.
Figure 14.
Reusability test for the Pd/NiFe2O4 catalyst for the Sonogharia coupling reaction between benylacetylene and iodobenzene (adapted with permission from Ref. [119], 2022, Journal of Colloid and Interface Science).
Ferrite-nickel nanoparticles (Fe3O4-Ni MNPs) were investigated as heterogeneous catalysis for hydrogen-transfer reactions in the reduction of nitro and carbonyl compounds (Scheme 16) using glycerol as a hydrogen donor as well as solvent [122].
Scheme 16.
NiFe2O4 catalyzed reduction of nitro arenes.
A robust magnetic nanocatalyst of NiFe2O4 was synthesized through a hydrothermal route for investigating the Claisen–Schmidt condensation between various aldehydes and acetylferrocene, including both aryl and heterocyclic compounds (Scheme 17). The catalyst demonstrated a high yield of acetylferrocene chalcones. The effect of different groups on the reaction rate and yield was examined [123]. The presence of more electronegative and conjugated phenyl groups activated the reaction more effectively, resulting in improved yield and reaction time.
Scheme 17.
Claisen–Schmidt condensation of acetylferrocene for the production of acetylferrocene chalcones.
In another study, the catalytic performance of Cu-incorporated NiFe2O4 nanoparticles was investigated for the reduction of nitroarenes to arylamines in the presence of NaBH4 [124]. Similarly, Ni-doped magnetic reusable nanoparticles of CoFe2O4 were successfully employed as catalysts for the first time in the C–O coupling reaction between phenol derivatives and various aromatic halides [125]. A microwave irradiation method using NiFe2O4 MNPs as catalysts (Scheme 18) was reported for the facile synthesis of polyhydroquinoline derivatives. The catalyst exhibited efficient and effective activity (Table 4) compared to other known catalysts [126].
Scheme 18.
Synthesis of polyhydroquinoline derivatives in the presence of NiFe2O4.
Table 4.
Comparison of the catalytic efficiency of NiFe2O4 MNPs with known catalysts.
The reactions were carried out with 4-hydroxybenzaldehyde (1 mmol), dimedone (1 mmol), ammonium acetate (1.5 mmol), ethyl acetoacetate (1 mmol), and 23.4 mg of NiFe2O4 MNPs (10 mol%).
Various aromatic aldehydes with different electron-withdrawing or electron-donating groups at various positions (ortho, meta, and para) on the aromatic ring, as well as heterocyclic aldehydes, were examined in this study. It was observed that aldehydes with electron-donating groups required a longer reaction time. In a separate catalytic investigation using nickel ferrite, p-nitrophenol (P-NP) was reduced with NaBH4 in the presence of Ag nanoparticles supported on magnetic NiFe2O4/oxidized graphite, and the catalyst exhibited remarkable activity [132].
NiFe2O4 has demonstrated significant photocatalytic activity. Qu et al. conducted a study using a novel magnetic catalyst composed of silica-supported spinel NiFe2O4 for heterogeneous Fenton, such as oxidation of rhodamine B [133]. The results are illustrated in Figure 15.
Figure 15.
Silica-supported spinel NiFe2O4 catalyst for Fenton, such as oxidation of rhodamine B (adapted with permission from Ref. [133], 2019, Chinese Chemical Letters).
NiFe2O4 nanoparticles were synthesized using urea and glycine as a mixed fuel and were studied for the degradation of MB as a water contaminant under sunlight (Figure 16) [134]. The nanocatalyst exhibited good photocatalytic activity against dye degradation and demonstrated reusability up to four cycles.
Figure 16.
The mechanism of photocatalytic degradation of MB dye by nickel ferrite (adapted with permission from Ref. [134], 2021, Ceramics International).
Binary composites based on nickel ferrite, such as Ni0.8Zn0.2Fe2O4 nanoparticles, showed a high degradation efficiency of the order of 98.48% compared to other samples, which demonstrated good photocatalytic activity and reusability against dye degradation. NiFe2O4–based nanocomposites, including binary and ternary composites, have exhibited excellent performance in water treatment as photocatalysts for the removal of various organic pollutants such as MO, MB, RB, CR, phenol, and antibiotics. These nanocomposites demonstrated maximum efficiency in eliminating the contaminants [135].
3.1.4. Cobalt Ferrite
The strong magnetic anisotropy, good magnetization, and high coercivity of cobalt ferrite (CoFe2O4) at mild temperatures make it a commercially significant ferrite. CoFe2O4 nanoparticles with a size range of 40–50 nm were synthesized using the co-precipitation method. These nanoparticles were employed to investigate the aldol condensation of various aromatic aldehydes and acetophenone derivatives in an ethanolic solution (Scheme 19) [136].
Scheme 19.
Aldol condensation reaction using CoFe2O4 nanoparticles.
A good yield of α, β-unsaturated ketones was obtained, and the catalyst was efficiently recovered using an external magnet. CoFe2O4, synthesized using the wet chemical method, was employed as a novel catalyst for the synthesis of methanol from CO2 through hydrogenation [137]. The catalytic activity was found to increase with higher calcination temperatures. At elevated temperatures, there was a higher distribution of cations at octahedral sites, resulting in improved catalytic activity for methanol formation. The oxidation of alcohol is a crucial aspect of the modern chemical industry. Magnetically recoverable CoFe2O4 served as a catalyst for the oxidation of primary and secondary aliphatic alcohols, as well as benzylic alcohols, to their respective carbonyl products in the presence of water using oxone (potassium hydrogen monopersulfate) as the oxidizing agent (Scheme 20) [138]. The oxidation of various benzylic alcohols exhibited high yields of carbonyl compounds in short reaction times (Table 5). The presence of electron-withdrawing groups significantly reduced the reaction rate, while electron-donating groups on the benzene ring accelerated the reaction. It was observed that aliphatic alcohols underwent slow oxidation, and there were no reports of overoxidation of aldehydes to corresponding carboxylic acids. The catalyst could be easily separated and reused for more than six cycles without a significant decrease in activity.
Scheme 20.
CoFe2O4 catalyzed oxidation of primary/secondary alcohols.
Table 5.
Recycling of CoFe2O4 catalyst for the oxidative transformation of 2- chlorobenzyl alcohol to 2-chlorobenzaldehyde.
The oxidation of alcohols using cobalt ferrite was investigated by Bhat et al. [139], who utilized active Ni(OH)2 coated with CoFe2O4. Additionally, Dhar et al. studied the production of corresponding aldehydes [140] using CoFe2O4 nanoparticles doped with Cr and Zn, supported by graphene oxide nanosheets grafted with guanidine. These catalysts were examined for the aerobic oxidative reaction of alcohols and alkyl arenes, resulting in the formation of respective aldehydes and ketones. This was also investigated for the oxidative one-pot synthesis of 2-phenylbenzo [d]oxazole derivatives (Scheme 21) [141].
Scheme 21.
Oxidative one-pot synthesis of 2-phenylbenzo [d]oxazole.
CoFe2O4 was also utilized in the oxidation of alkenes. Silica-coated CoFe2O4 nanoparticles, modified with a Schiff base molybdenum complex, were effectively employed as heterogeneous catalysts in the oxidative reaction of several alkenes using t-BuOOH as the oxidant (Scheme 22) [142]. The study demonstrated that CoFe2O4 nanoparticles efficiently catalyzed the conversion of alkenes into their corresponding aldehydes or epoxides, providing excellent yields (Scheme 23). The catalyst exhibited outstanding efficiency and recyclability, showcasing its potential as an alternative to numerous heterogeneous molybdenum Schiff base catalysts reported to date.
Scheme 22.
Oxidation of alkene using Mo-salenSi@Si-MNPs catalyst.
Scheme 23.
Mechanism for oxidation of styrene with the Molybdenum/CoFe2O4 catalyst.
Considering carbon–carbon cross-coupling reaction, the Pd-supported CoFe2O4 nanocatalyst was inspected for Suzuki coupling reaction (Scheme 24) in presence of ethanol without any ligand [143]. The reaction required less amount of catalyst loading (1.6 mol%) and showed good catalytic recovery and reusability for multiple cycles.
Scheme 24.
Suzuki reaction catalyzed by Pd–CoFe2O4 MNPs.
CoFe2O4 nanoparticles were also employed in C–O bond formation to catalyze the reaction between various types of aryl halides and phenol derivatives [125]. The comparison of catalytic activity for the same reaction with nickel ferrite and cobalt ferrite, under similar conditions for all types of aryl halides, showed that NiFe2O4 completed the reaction in a shorter time, suggesting its better activity compared to CoFe2O4 (Figure 17).
Figure 17.
Recovery and reusability of NiFe2O4 and CuFe2O4.
A modified spinel CoFe2O4, incorporating varying amounts of Hf (IV), was synthesized using the sol–gel method with the gelating agent propylene oxide. The catalyst was investigated for its effectiveness in the conversion of ethyl acetate to CO2 [144]. The activity of the Hf (IV) modified CoFe2O4 varied as:
CFO-Hf0.1 < CFO-Hf0.01 < CFO-Hf0.5 < CFO-Hf
A strong correlation between the activity and specific surface area was reported. The CFO-Hf1, with a specific surface area of 16 m2/g, was the most active, while CFO-Hf0.1 having a surface area of 3 m2/g, was the least active. Hf (IV) was introduced to replace Fe in the CoFe2O4 structure, resulting in a slight increase in lattice parameters and micro-strain within the crystal lattice, along with a reduction in the average crystallite size. CoFe2O4, modified with diamine-N-sulfamic acid, was investigated as a heterogeneous catalyst for the production of amides through the Ritter reaction (Scheme 25) without the need for any solvent [145]. The catalyst exhibited recyclability and maintained its catalytic activity significantly over multiple cycles.
Scheme 25.
Formation of amides via the Ritter reaction.
A similar nanocomposite consisting of silica and phosphotungstic acid (PTA)-coated CoFe2O4@SiO2-PTA was examined for its catalytic properties in the N-formylation reaction (Scheme 26) involving various amines. The reaction was conducted without the use of any solvent and resulted in the production of formamides with high yields and in a significantly reduced reaction time [146].
Scheme 26.
Formation of formamide by formylation of amine.
At first, the carbonyl group present in formic acid coordinated with the PTA of the catalyst and got activated to form an intermediate. The carbonyl moiety of the intermediate then interacted with aniline via the NH2 group forming another intermediate that produced the respective formamide by transferring the proton to the catalyst. In another mechanism, PTA was coordinated to formic acid as well as aniline for the formation of the intermediate, which rearranged and transferred the proton to give the product (Scheme 27).
Scheme 27.
Proposed reaction pathway for the N-formylation of aniline with the help of CoFe2O4@SiO2-PTA nanocatalyst.
In recent studies, a robust nanocatalyst of CoFe2O4 was prepared using the sol–gel technique by reacting o-phenylenediamine with aldehydes and was investigated as an effective catalyst in the formation of derivatives of 2-aryl benzimidazole (Scheme 28) in the absence of any solvent [147].
Scheme 28.
Preparation of benzimidazoles in the presence of CoFe2O4 nanocatalyst.
Studies have shown a rapid reaction within a short time frame when dealing with aldehydes that have electron-withdrawing substituents. This is due to the enhanced electrophilic nature of aryl aldehydes. Researchers explored the use of a CeZrO2 composite consisting of CoFe2O4/NiFe2O4 with varying weight percentages (x = 20–100%) for the chemical looping reduction of methanol and a mixture of ethanol and water (with a molar ratio of 1:1) separately, aiming to produce CO with the assistance of the catalyst [117]. The highest production of CO was achieved using 20 wt% CoFe2O4 in the chemical looping process with methanol. In the case of ethanol, it was decomposed into CO, along with CH4 and H2, but the conversion of CH4 was not facilitated without the presence of a configured pre-catalyst bed. The oxidation of carbon resulted in a high yield of CO when reacting with methanol. However, when reacting with a mixture of ethanol and water, the yield of CO remained low, at approximately 13 mol CO per kg CoFe2O4, due to the unconverted presence of CH4 and H2O (Scheme 29).
Scheme 29.
Decomposition of methanol/ethanol by CoFe2O4-CeZrO2.
The photocatalytic performance of CoFe2O4 nanostructures was investigated, demonstrating the ability to degrade 91% of Congo red dye within 90 min at pH 9 [148]. Additionally, cobalt ferrite nanospheres were synthesized and tested for their photocatalytic degradation efficiency using Alizarin Red S (ARS) as a model pollutant. It was observed that after 1.5 h, the degradation rates were 82% for bare nanospheres, 87% for annealed nanospheres, and 91% for surface-treated nanospheres of cobalt ferrite [149].
Cobalt ferrite nanoparticles were prepared by the sol–gel method, and the photocatalytic degradation of MB and Evans Blue (EB) under visible light irradiation was evaluated (Figure 18) [150].
CoFe2O4 (e−CB) + O2 →O2•−
H2O → H+ + OH−
h+VB + OH− → •OH
O2•− + H= →•OOH
•OOH + e− → HOO–
HOO− + H+ → H2O2
H2O2 + e− → •OH + OH−
CoFe2O4 + (h+VB) + H2O →•OH + H+
Dye (MB and EB) + •OH → CO2 + H2O (Byproduct)
Dye (MB and EB) + CoFe2O4 {h+VB} → Oxidation product
Dye (MB and EB) + CoFe2O4 {e–CB} → Reduction product
Figure 18.
Plausible mechanism for the photocatalytic degradation of MB and EB CoFe2O4 nanocatalyst (adapted with permission from Ref. [150], 2020, AIP Conference Proceedings).
The photocatalytic activity of the CoFe2O4 photocatalyst is initiated by visible light, which leads to the excitation of electrons from the valence band (VB) to the conduction band (CB), creating a hole in the VB (Equation (16)). The produced holes reacted with the surface H2O or OH ion, forming hydroxyl radicals (●OH), and the electrons of the CB reacted with the dissolved O2 molecule forming superoxide radicals (●O2−) (Equations (17)–(19)). The e−/h+ pairs recombination was inhibited by ●O2−. The protonation of hydroperoxyl radicals produced hydrogen peroxide (H2O2), which further dissociates to give ●OH (Equations (20)–(24)). The strong oxidizing species generated on the surface of CoFe2O4 react with the organic dye, resulting in the formation of H2O and CO2 (Equations (25)–(27)). To investigate the photolytic effects in more detail, cobalt zinc ferrites (CZF) were synthesized with the composition CoxZn1−xFe2O4 using the citrate precursor method [151]. Among the different compositions tested, Co0.5Zn0.5Fe2O4 exhibited the highest degradation rate of 77% within 1 h under visible light for the degradation of MB dye, while also having no adverse impact on the environment.
3.1.5. Manganese Ferrite
Manganese ferrite magnetic nanoparticles show good catalytic activity. Several studies have been reported on using MnFe2O4 as catalysts in many organic reactions. Magnetically separable Pd doped MnFe2O4 nanoparticles were employed as a catalyst for the decarboxylative Sonogashira reaction, resulting in the formation of diarylacetylenes, which involves the reaction of phenyl propiolic acid and arene diazonium salts [152]. The catalyst was prepared using a one-pot co-precipitation method, aided by ultrasound, without the presence of any ligand. Synthesis of symmetrical and unsymmetrical diaryl acetylenes was done without any ligand and co-catalyst (Scheme 30). Arene diazonium salts, both electron-rich and electron-deficient, produced excellent results. There was a slight steric effect observed at the ortho position of the arenediazonium salt. The proposed mechanism involved the in situ formation of iodobenzamide, which subsequently underwent oxidative addition to the nanocatalyst in the presence of an alkynyl carboxylic acid (transmetallation). Finally, through decarboxylation followed by reductive elimination, diaryl acetylene was produced.
Scheme 30.
Coupling reaction of arenediazonium salts and phenyl propiolic acid.
The catalytic properties of a core-shell structured manganese oxide supported by MnFe2O4 were investigated in the oxidation reaction of benzyl alcohol (BzOH) using air as the oxidant and hexane as the solvent within a temperature range of 60–90 °C [153]. The magnetic nanocatalyst displayed moderate activity but exhibited 100% selectivity towards benzaldehyde (BzH) under ambient conditions (Scheme 31). It was observed that solvents with nucleophilic properties hindered the interaction between the alcohol and the activated Mn sites. The formation of benzaldehyde increased with longer reaction times and higher temperatures; however, the selectivity towards dibenzyl ether decreased.
Scheme 31.
Oxidation of BzOH by MnFe2O4 nanocatalyst.
Single-domain MnFe2O4 was investigated for the catalytic conversion of cyclohexene in a flow system at temperatures ranging from 200 to 400 °C [154]. The reaction was examined using different catalysts, which facilitated dehydrogenation and hydrogenation reactions, leading to the production of benzene (as the main product), along with cyclohexane and methyl cyclopropane as byproducts. The catalytic activity was found to increase with an increase in the ratio of glycine to nitrates (G/N) and a decrease in both the BET surface area and the activation energy of the catalyzed reaction. The improved activity was attributed to the enhanced formation of MnFe2O4 crystallites, which acted as an active dehydrogenation catalyst.
Solid nanospheres (MSN) of MnFe2O4, prepared using the solvothermal technique, were employed as catalysts for the generation of hydroxyl radicals (HO•) and sulfate radicals (SO4•−) from potassium peroxymonosulfate (PMS). These radicals were utilized for the degradation and mineralization of para-nitrophenol (PNP) present in water [155]. PMS served the role of oxidant that was activated by the catalyst to generate SO4•− and HO• radicals, whose formation in return was enabled by redox cycles between the oxidation states (II) and (III) of Fe and Mn (Scheme 32). The catalyst was able to remove 100% of PNP in 7 h using 4 mM of PMS and 0.5 g L−1 of MSN at 40 °C and pH 5.8.
Scheme 32.
Proposed degradation mechanism of PNP by MSN/PMS.
In a recent development, MnFe2O4-supported magnetically separable palladium catalysts were reported for the hydrogenation of nitrobenzene to aniline (Scheme 33), showing excellent catalytic activity with no by-products and above 96% aniline yield [156].
Scheme 33.
Hydrogenation of nitrobenzene to aniline.
The catalytic activity of the Pd/MnFe2O4 nanocatalyst was unaffected by the hydrogenation temperature and resulted in a 96% yield of aniline. Furthermore, the catalyst demonstrated reusability for at least four cycles without any loss in catalytic performance.
Catalytic tests were conducted on Pd-decorated MnFe2O4 nanoparticles for the hydrogenation of nitrobenzene at four different reaction temperatures (283 K, 293 K, 303 K, and 323 K) and a constant hydrogen pressure of 20 bar (Figure 19). All three Pd-decorated catalysts achieved a nitrobenzene conversion of 99.9%, although the reaction times varied significantly. The temperature variation, however, had an impact on the aniline yield (YAN), with the highest yield of 96.8 n/n% observed for the Pd/MnFe2O4 (623 K) catalyst after 240 min of hydrogenation at 283 K. Due to its consistent activity regardless of the hydrogenation temperature, the 573 K catalyst was tested for reuse without regeneration. The Pd/MnFe2O4 magnetic catalyst demonstrated easy preparation, high conversion rates, yields, and selectivity, as well as the ability to be reused, making it successful for the industrial hydrogenation of nitro compounds (Figure 20).
Figure 19.
Aniline selectivity vs. the hydrogenation temperature with Pd/MnFe2O4 (773 K, 623 K, 673 K).
Figure 20.
Schematic diagram of preparation and application of Pd/MnFe2O4 nanocatalyst.
A synergistic process of photocatalysis and adsorption was investigated for the degradation of Reactive Red 4 (RR4) dye solution by the immobilization of the TiO2/chitosan layer on glass support (TiO2/CS/glass) [157]. The degradation rate of RR4 by TiO2/CS/glass was 32 times faster compared to the single layer of TiO2, but it exhibited high dependence on the TiO2 loading and the initial pH of the solution. The h+/OH species that diffused from the TiO2 layer into the TiO2/CS interface oxidized the chemisorbed RR4 anions at the interface; at the same time, the electrons so generated were transferred to the conduction band of TiO2 (Figure 21). The surplus electrons in the conduction band of TiO2 enhanced the number of superoxide ions produced, improving the photocatalytic degradation of RR4. In addition to its high catalytic efficiency for RR4 degradation, the immobilized TiO2/CS demonstrated easy recovery from the reaction mixture, maintaining its high catalytic activity over multiple cycles of extended usage without any loss in efficiency.
Figure 21.
The possible mechanism demonstrating the photocatalytic degradation of RR4 by TiO2/CS/glass: (i) adsorption of RR4 by CS, (ii) direct photocatalytic degradation of RR4 by the TiO2 photocatalyst, and (iii) charge transfer from the oxidized RR4 dye at the TiO2/CS interface to the conduction band of TiO2 (adapted with permission from Ref. [157] 2012, Journal of Colloid and Interface Science).
Chitosan extracted from shrimp shells (Penaeus merguiensis) was investigated for its potential to remove Reactive Orange 107 dye (RO 107) from wastewater, showing a removal efficiency of 96.20% [158]. In recent studies, manganese ferrite nanoparticles were synthesized using ginger root/cardamom extract as fuel through the self-combustion method [159]. These MnFe2O4 nanoparticles, mediated by plant extracts, proved useful for the photocatalytic degradation of MB dye under visible light with different H2O2 concentrations. To enhance the photocatalytic performance of MnFe2O4 nano-ferrites, Zn2+ and La3+ ions were doped using a sol–gel auto-combustion technique for the degradation of the organic textile Malachite Green Dye (MGD) under natural solar radiation [160]. Substitution of zinc and lanthanum improved the photocatalytic performance of nano-ferrites Mn1−xZnxLayFe2−yO4 (x = 0.0, 0.01, 0.03; y = 0.0, 0.02, 0.04). The photocatalytic behavior of MnFe2O4 was found to increase with dopant concentration; about 96% of MGD was degraded by Mn0.97Zn0.03La0.04Fe1.96O4 after 60 min of irradiation. The effect of doping with different compositions of cerium (Ce) was studied under visible light irradiation for the degradation of an aqueous solution containing Reactive Orange 16 (RO 16) and Congo Red (CR) 22. The degradation of MGD followed: Mn0.97Zn0.03La0.04Fe1.96O4 > Mn0.99Zn0.01La0.02Fe1.98O4 > MnFe2O4 with 96.1, 92.4, and 88.3% degradation, respectively.
The valence electrons of MnFe2O4 were excited to the conduction band by sunlight creating equal number of holes in the valence band. The excited electrons reduced the atmospheric oxygen to produce superoxide anion (O2−). Simultaneously, the holes of the valence band reacted with the H2O molecules to form hydroxyl radicals (Figure 22). The active radical species (O2− and ●OH) degraded the dye molecules producing mineral acids, CO2 and H2O, thus, decolorizing the solution. Mn0.5Zn0.5Ce0.3Fe1.7O4 NPs showed the highest percentage degradation efficiency, namely 97.25% (CD) and 98.42% (RO 16).
Figure 22.
The plausible photocatalytic mechanism of the pure and doped MnFe2O4 nano-ferrites with the sunlight-induced charge separation.
The recent catalytic uses of ferrite nanoparticles, especially metal ferrites of Cu, Zn, Ni, Co and Mn, in a wide spectrum of organic reactions such as C–C coupling, aldol condensation, polymerization, hydrogenation, as well as in oxidation reactions have been highlighted in this mini-review (Table 6).
Table 6.
Catalytic activities of various metal ferrites.
4. Magnetic Recovery and Reusability of MFe2O4 as an Environment-Friendly Green Catalyst
Catalysts are widely used in organic reactions, and it is important for them to be environmentally friendly in order to prevent pollution and manage waste. The use of heterogeneous catalysts instead of homogeneous catalysts allows for easy recyclability and reuse, thus minimizing waste generation [161]. Separating homogeneous catalysts from reaction mixtures is often challenging due to their decomposition during the reaction and contamination issues, which hinders their reuse and recycling. In contrast, magnetic nanoparticles (MNPs) serve as novel heterogeneous catalysts in organic reactions due to their small size, high surface area, excellent loading capacity, and high catalytic activity. They can be easily separated using an external magnet, eliminating the need for centrifugation or complex filtration processes [162]. MNPs exhibit high stability, enabling repeated use and providing a high yield [163]. There is only a minimal decrease in product yield (1–5%) with the catalyst until the fifth to tenth run, which is significant from an economic perspective. The decline in yield is attributed to losses during washing and magnetic separation, as well as chemisorption blocking active sites and forming organic intermediates [164]. The advantages offered by MNPs make them the preferred choice of catalysts in organic reactions. This review focuses on the current developments in the field of magnetically supported nanocatalysts for various organic reactions.
5. Conclusions
The application of spinel ferrites (CuFe2O4, ZnFe2O4, NiFe2O4, CoFe2O4, and MnFe2O4) as heterogeneous catalysts in organic transformations has achieved significant advancements. This review provides a brief overview of the catalytic performance of these magnetically retrievable catalysts in various organic reactions. It is observed that these nanocatalysts enhance product yield and reduce reaction time under environmentally friendly conditions. The excellent magnetic properties of ferrite nanocatalysts enable easy recovery from reaction systems and reusability with minimal loss of activity. MFe2O4 has been successfully employed as a catalyst in several reactions, including condensation reactions, cyclization, oxidation of various alkenes, alkylation, C–C coupling, dehydrogenation reactions, and synthesis of organic compounds such as arylamines and acetylferrocene chalcones, among others. The size of ferrite nanoparticles depends on the type of transition metal and the synthetic methodology used. The catalytic activity of ferrites is greatly influenced by the nanoparticles’ morphology, doping atom ratios, impurities, and specific surface area. Transition metal ferrites increase electrophilicity by acting as Lewis acids, forming covalent bonds, and playing a crucial role in activating specific groups of reactants. However, in several reactions, the mechanisms are still uncertain, and further studies are needed to explore and explain the plausible mechanisms and unexpected results. Catalyst leaching leading to the loss of catalyst during repeated reuse is also an important aspect that requires investigation in future studies and research. Currently, limited research has been reported on rare earth-doped metal ferrites as heterogeneous catalysts in organic reactions. Further research can be conducted to explore the catalytic activities of ferrites, particularly rare earth metal ferrites, for a wider range of chemical transformations and organic synthesis. It is hoped that this review will provide guidance for future research in the field of ferrite catalytic activities.
Author Contributions
Writing—original draft preparation, N.M. and H.S.D.; writing—review and editing, N.M. and H.S.D. All authors have read and agreed to the published version of the manuscript.
Funding
This research received no external funding.
Institutional Review Board Statement
Not applicable.
Informed Consent Statement
Not applicable.
Data Availability Statement
Not applicable.
Conflicts of Interest
The authors declare no conflict of interest.
References
- Spaldin, N.A. Magnetic Materials; Cambridge University Press: Cambridge, UK, 2010; ISBN 9780521886697. [Google Scholar]
- Arcaro, S.; Venturini, J. Magnetic, Electrical, and Optical Properties of Ferrites. In Modern Ferrites in Engineering: Synthesis, Processing and Cutting-Edge Applications; Springer: Cham, Switzerland, 2021; pp. 25–47. [Google Scholar]
- Kharisov, B.I.; Dias, H.R.; Kharissova, O.V.; Jiménez-Pérez, V.M.; Pérez, B.O.; Flores, B.M. Iron-Containing Nanomaterials: Synthesis, Properties, and Environmental Applications. RSC Adv. 2012, 2, 9325. [Google Scholar] [CrossRef]
- Dhiman, P.; Rana, G.; Goyal, D.; Goyal, A. Basics of Ferrites: Types and Structures. In Ferrites and Multiferroics: Fundamentals to Applications; Springer: Cham, Switzerland, 2021; pp. 1–25. [Google Scholar]
- Singh, A.K.; Zaidi, M.G.H.; Sah, P.L.; Saxena, R. A review on classification of various ferrite particles on the basis of crystal structure. Eur. J. Adv. Eng. Technol. 2018, 5, 350–354. [Google Scholar]
- Chattopadhyay, S.; Bandyopadhyay, A.; Nath, M. Physics of Ferrite Ceramics. In Ceramic Science and Engineering; Elsevier: Amsterdam, The Netherlands, 2022; pp. 165–185. [Google Scholar]
- Okamoto, A. The Invention of Ferrites and Their Contribution to the Miniaturization of Radios. In Proceedings of the 2009 IEEE Globecom Workshops, Honolulu, HI, USA, 30 November–4 December 2009; pp. 1–6. [Google Scholar]
- Barakat, M.M.; Henaish, M.A.; Olofa, S.A.; Tawfik, A. Sintering Behaviour of the Spinel Ferrite System Ni0.65Zn0.35Fe2−xCuxO4. J. Therm. Anal. 1991, 37, 241–248. [Google Scholar] [CrossRef]
- Younes, A.; Kherrouba, N.; Bouamer, A. Magnetic, Optical, Structural and Thermal Properties of Copper Ferrite Nanostructured Synthesized by Mechanical Alloying. Micro Nano Lett. 2021, 16, 251–256. [Google Scholar] [CrossRef]
- Akther Hossain, A.K.M.; Biswas, T.S.; Yanagida, T.; Tanaka, H.; Tabata, H.; Kawai, T. Investigation of Structural and Magnetic Properties of Polycrystalline Ni0.50Zn0.50−xMgxFe2O4 Spinel Ferrites. Mater. Chem. Phys. 2010, 120, 461–467. [Google Scholar] [CrossRef]
- Kumar, R.; Kumar, R.; Kumar Sahoo, P.; Singh, M.; Soam, A. Synthesis of Nickel Ferrite for Supercapacitor Application. Mater. Today Proc. 2022, 67, 1001–1004. [Google Scholar] [CrossRef]
- Chen, G.; Chen, J.; Pei, W.; Lu, Y.; Zhang, Q.; Zhang, Q.; He, Y. Bismuth Ferrite Materials for Solar Cells: Current Status and Prospects. Mater. Res. Bull. 2019, 110, 39–49. [Google Scholar] [CrossRef]
- Tatarchuk, T.; Bououdina, M.; Judith Vijaya, J.; John Kennedy, L. Spinel Ferrite Nanoparticles: Synthesis, Crystal Structure, Properties, and Perspective Applications. In Nanophysics, Nanomaterials, Interface Studies, and Applications: Selected Proceedings of the 4th International Conference Nanotechnology and Nanomaterials (NANO2016), Lviv, Ukraine, 24–27 August 2016; Springer International Publishing: Berlin/Heidelberg, Germany, 2017; pp. 305–325. [Google Scholar]
- Pham, T.N.; Huy, T.Q.; Le, A.-T. Spinel Ferrite (AFe2O4)-Based Heterostructured Designs for Lithium-Ion Battery, Environmental Monitoring, and Biomedical Applications. RSC Adv. 2020, 10, 31622–31661. [Google Scholar] [CrossRef]
- Mou, X.; Ali, Z.; Li, S.; He, N. Applications of Magnetic Nanoparticles in Targeted Drug Delivery System. J. Nanosci. Nanotechnol. 2015, 15, 54–62. [Google Scholar] [CrossRef]
- Mattingly, S.J.; O’Toole, M.G.; James, K.T.; Clark, G.J.; Nantz, M.H. Magnetic Nanoparticle-Supported Lipid Bilayers for Drug Delivery. Langmuir 2015, 31, 3326–3332. [Google Scholar] [CrossRef]
- Mikhaylov, G.; Mikac, U.; Butinar, M.; Turk, V.; Turk, B.; Psakhie, S.; Vasiljeva, O. Theranostic Applications of an Ultra-Sensitive T1 and T2 Magnetic Resonance Contrast Agent Based on Cobalt Ferrite Spinel Nanoparticles. Cancers 2022, 14, 4026. [Google Scholar] [CrossRef]
- Lee, N.; Yoo, D.; Ling, D.; Cho, M.H.; Hyeon, T.; Cheon, J. Iron Oxide Based Nanoparticles for Multimodal Imaging and Magnetoresponsive Therapy. Chem. Rev. 2015, 115, 10637–10689. [Google Scholar] [CrossRef]
- Polla, M.B.; Montedo, O.R.K.; Arcaro, S. Nanomaterials for Magnetic Hyperthermia. In Technological Applications of Nanomaterials; Springer: Cham, Switzerland, 2022; pp. 165–183. [Google Scholar]
- Liu, X.; Zhang, H.; Zhang, T.; Wang, Y.; Jiao, W.; Lu, X.; Gao, X.; Xie, M.; Shan, Q.; Wen, N.; et al. Magnetic Nanomaterials-Mediated Cancer Diagnosis and Therapy. Prog. Biomed. Eng. 2022, 4, 012005. [Google Scholar] [CrossRef]
- White, R.J.; Luque, R.; Budarin, V.L.; Clark, J.H.; Macquarrie, D.J. Supported Metal Nanoparticles on Porous Materials. Methods and Applications. Chem. Soc. Rev. 2009, 38, 481–494. [Google Scholar] [CrossRef] [PubMed]
- Tandon, R.; Tandon, N.; Patil, S.M. Overview on Magnetically Recyclable Ferrite Nanoparticles: Synthesis and Their Applications in Coupling and Multicomponent Reactions. RSC Adv. 2021, 11, 29333–29353. [Google Scholar] [CrossRef] [PubMed]
- Qiao, S.; Zhang, N.; Wu, H.; Hanas, M. Based on MFe2O4 NPs Catalyzed Multicomponent Reactions: Green and Efficient Strategy in Synthesis of Heterocycles. Synth. Commun. 2021, 51, 2873–2891. [Google Scholar] [CrossRef]
- Lu, A.-H.; Salabas, E.L.; Schüth, F. Magnetic Nanoparticles: Synthesis, Protection, Functionalization, and Application. Angew. Chem. Int. Ed. 2007, 46, 1222–1244. [Google Scholar] [CrossRef] [PubMed]
- Anastas, P.T.; Bartlett, L.B.; Kirchhoff, M.M.; Williamson, T.C. The Role of Catalysis in the Design, Development, and Implementation of Green Chemistry. Catal. Today 2000, 55, 11–22. [Google Scholar] [CrossRef]
- Vaccari, A. Preparation and Catalytic Properties of Cationic and Anionic Clays. Catal. Today 1998, 41, 53–71. [Google Scholar] [CrossRef]
- Ingle, A.P.; Chandel, A.K.; Philippini, R.; Martiniano, S.E.; da Silva, S.S. Advances in Nanocatalysts Mediated Biodiesel Production: A Critical Appraisal. Symmetry 2020, 12, 256. [Google Scholar] [CrossRef]
- Zou, M.; Qi, Y.; Qu, R.; Al-Basher, G.; Pan, X.; Wang, Z.; Huo, Z.; Zhu, F. Effective Degradation of 2,4-Dihydroxybenzophenone by Zero–Valent Iron Powder (Fe0)-Activated Persulfate in Aqueous Solution: Kinetic Study, Product Identification and Theoretical Calculations. Sci. Total Environ. 2021, 771, 144743. [Google Scholar] [CrossRef] [PubMed]
- Corma, A.; Garcia, H. Supported Gold Nanoparticles as Catalysts for Organic Reactions. Chem. Soc. Rev. 2008, 37, 2096. [Google Scholar] [CrossRef] [PubMed]
- Davis, S.E.; Ide, M.S.; Davis, R.J. Selective Oxidation of Alcohols and Aldehydes over Supported Metal Nanoparticles. Green. Chem. 2013, 15, 17–45. [Google Scholar] [CrossRef]
- Lim, C.W.; Lee, I.S. Magnetically Recyclable Nanocatalyst Systems for the Organic Reactions. Nano Today 2010, 5, 412–434. [Google Scholar] [CrossRef]
- Amiri, M.; Eskandari, K.; Salavati-Niasari, M. Magnetically Retrievable Ferrite Nanoparticles in the Catalysis Application. Adv. Colloid. Interface Sci. 2019, 271, 101982. [Google Scholar] [CrossRef]
- Gawande, M.B.; Branco, P.S.; Varma, R.S. Nano-Magnetite (Fe3O4) as a Support for Recyclable Catalysts in the Development of Sustainable Methodologies. Chem. Soc. Rev. 2013, 42, 3371. [Google Scholar] [CrossRef] [PubMed]
- Patil, S.; Tandon, R.; Tandon, N. A Current Research on Silica Coated Ferrite Nanoparticle and Their Application: Review. Curr. Res. Green. Sustain. Chem. 2021, 4, 100063. [Google Scholar] [CrossRef]
- Zhang, S.; Zhang, Y.; Wang, Y.; Liu, S.; Deng, Y. Sono-chemical Formation of Iron Oxide Nanoparticles in Ionic Liquids for Magnetic Liquid Marble. Phys. Chem. Chem. Phys. 2012, 14, 5132. [Google Scholar] [CrossRef]
- Rashad, M.M.; Soltan, S.; Ramadan, A.A.; Bekheet, M.F.; Rayan, D.A. Investigation of the Structural, Optical and Magnetic Properties of CuO/CuFe2O4 Nanocomposites Synthesized via Simple Microemulsion Method. Ceram. Int. 2015, 41, 12237–12245. [Google Scholar] [CrossRef]
- Masthoff, I.-C.; Kraken, M.; Mauch, D.; Menzel, D.; Munevar, J.A.; Baggio Saitovitch, E.; Litterst, F.J.; Garnweitner, G. Study of the Growth Process of Magnetic Nanoparticles Obtained via the Non-Aqueous Sol–Gel Method. J. Mater. Sci. 2014, 49, 4705–4714. [Google Scholar] [CrossRef]
- Thakur, S.; Rai, R.; Sharma, S. Structural Characterization and Magnetic Study of NiFexO4 Synthesized by Co-Precipitation Method. Mater. Lett. 2015, 139, 368–372. [Google Scholar] [CrossRef]
- Zi, Z.; Sun, Y.; Zhu, X.; Yang, Z.; Dai, J.; Song, W. Synthesis and Magnetic Properties of CoFe2O4 Ferrite Nanoparticles. J. Magn. Magn. Mater. 2009, 321, 1251–1255. [Google Scholar] [CrossRef]
- Nabiyouni, G.; Julaee, M.; Ghanbari, D.; Aliabadi, P.C.; Safaie, N. Room Temperature Synthesis and Magnetic Property Studies of Fe3O4 Nanoparticles Prepared by a Simple Precipitation Method. J. Ind. Eng. Chem. 2015, 21, 599–603. [Google Scholar] [CrossRef]
- Mondal, A.K.; Chen, S.; Su, D.; Kretschmer, K.; Liu, H.; Wang, G. Microwave Synthesis of α-Fe2O3 Nanoparticles and Their Lithium Storage Properties: A Comparative Study. J. Alloys Compd. 2015, 648, 732–739. [Google Scholar] [CrossRef]
- Tadic, M.; Panjan, M.; Damnjanovic, V.; Milosevic, I. Magnetic Properties of Hematite (α-Fe2O3) Nanoparticles Prepared by Hydrothermal Synthesis Method. Appl. Surf. Sci. 2014, 320, 183–187. [Google Scholar] [CrossRef]
- Darezereshki, E.; Bakhtiari, F.; Alizadeh, M.; Behrad vakylabad, A.; Ranjbar, M. Direct Thermal Decomposition Synthesis and Characterization of Hematite (α-Fe2O3) Nanoparticles. Mater. Sci. Semicond. Process. 2012, 15, 91–97. [Google Scholar] [CrossRef]
- Zakiyah, L.B.; Saion, E.; Al-Hada, N.M.; Gharibshahi, E.; Salem, A.; Soltani, N.; Gene, S. Up-Scalable Synthesis of Size-Controlled Copper Ferrite Nanocrystals by Thermal Treatment Method. Mater. Sci. Semicond. Process. 2015, 40, 564–569. [Google Scholar] [CrossRef]
- Zhang, Z.; Yao, G.; Zhang, X.; Ma, J.; Lin, H. Synthesis and Characterization of Nickel Ferrite Nanoparticles via Planetary Ball Milling Assisted Solid-State Reaction. Ceram. Int. 2015, 41, 4523–4530. [Google Scholar] [CrossRef]
- Kurian, M.; Nair, D.S.; Rahnamol, A.M. Influence of the Synthesis Conditions on the Catalytic Efficiency of NiFe2O4 and ZnFe2O4 Nanoparticles towards the Wet Peroxide Oxidation of 4-Chlorophenol. React. Kinet. Mech. Catal. 2014, 111, 591–604. [Google Scholar] [CrossRef]
- Kang, Y.S.; Risbud, S.; Rabolt, J.F.; Stroeve, P. Synthesis and Characterization of Nanometer-Size Fe3O4 and γ-Fe2O3 Particles. Chem. Mater. 1996, 8, 2209–2211. [Google Scholar] [CrossRef]
- Hyeon, T.; Lee, S.S.; Park, J.; Chung, Y.; Na, H. Bin Synthesis of Highly Crystalline and Monodisperse Maghemite Nanocrystallites without a Size-Selection Process. J. Am. Chem. Soc. 2001, 123, 12798–12801. [Google Scholar] [CrossRef] [PubMed]
- Sun, S.; Zeng, H.; Robinson, D.B.; Raoux, S.; Rice, P.M.; Wang, S.X.; Li, G. Monodisperse MFe 2 O 4 (M = Fe, Co, Mn) Nanoparticles. J. Am. Chem. Soc. 2004, 126, 273–279. [Google Scholar] [CrossRef] [PubMed]
- Chin, A.B.; Yaacob, I.I. Synthesis and Characterization of Magnetic Iron Oxide Nanoparticles via w/o Microemulsion and Massart’s Procedure. J. Mater. Process. Technol. 2007, 191, 235–237. [Google Scholar] [CrossRef]
- Vidal-Vidal, J.; Rivas, J.; López-Quintela, M.A. Synthesis of Monodisperse Maghemite Nanoparticles by the Microemulsion Method. Colloids Surf. A Phys. Eng. Asp. 2006, 288, 44–51. [Google Scholar] [CrossRef]
- Wang, J.; Sun, J.; Sun, Q.; Chen, Q. One-Step Hydrothermal Process to Prepare Highly Crystalline Fe3O4 Nanoparticles with Improved Magnetic Properties. Mater. Res. Bull. 2003, 38, 1113–1118. [Google Scholar] [CrossRef]
- Bang, J.H.; Suslick, K.S. Sono-chemical Synthesis of Nanosized Hollow Hematite. J. Am. Chem. Soc. 2007, 129, 2242–2243. [Google Scholar] [CrossRef] [PubMed]
- Pinkas, J.; Reichlova, V.; Zboril, R.; Moravec, Z.; Bezdicka, P.; Matejkova, J. Sono-chemical Synthesis of Amorphous Nanoscopic Iron(III) Oxide from Fe(Acac)3. Ultrason. Sonochemistry 2008, 15, 257–264. [Google Scholar] [CrossRef] [PubMed]
- Vijayakumar, R.; Koltypin, Y.; Felner, I.; Gedanken, A. Sono-chemical Synthesis and Characterization of Pure Nanometer-Sized Fe3O4 Particles. Mater. Sci. Eng. A 2000, 286, 101–105. [Google Scholar] [CrossRef]
- Bhagwat, V.R.; Humbe, A.V.; More, S.D.; Jadhav, K.M. Sol–gel Auto Combustion Synthesis and Characterizations of Cobalt Ferrite Nanoparticles: Different Fuels Approach. Mater. Sci. Eng. B 2019, 248, 114388. [Google Scholar] [CrossRef]
- Sivakumar, P.; Ramesh, R.; Ramanand, A.; Ponnusamy, S.; Muthamizhchelvan, C. Preparation and Properties of Nickel Ferrite (NiFe2O4) Nanoparticles via Sol–Gel Auto-Combustion Method. Mater. Res. Bull. 2011, 46, 2204–2207. [Google Scholar] [CrossRef]
- Xu, J.; Yang, H.; Fu, W.; Du, K.; Sui, Y.; Chen, J.; Zeng, Y.; Li, M.; Zou, G. Preparation and Magnetic Properties of Magnetite Nanoparticles by Sol–Gel Method. J. Magn. Magn. Mater. 2007, 309, 307–311. [Google Scholar] [CrossRef]
- Almessiere, M.A.; Slimani, Y.; Auwal, I.A.; Shirsath, S.E.; Gondal, M.A.; Sertkol, M.; Baykal, A. Biosynthesis Effect of Moringa Oleifera Leaf Extract on Structural and Magnetic Properties of Zn Doped Ca-Mg Nano-Spinel Ferrites. Arab. J. Chem. 2021, 14, 103261. [Google Scholar] [CrossRef]
- Yulizar, Y.; Abdullah, I.; Marcony Surya, R.; Parwati, N.; Apriandanu, D.O.B. Two-Phase Synthesis of NiCo2O4 Nanoparticles Using Bryophyllum Pinnatum (Lam) Oken Leaf Extract with Superior Catalytic Reduction of 2,4,6-Trinitrophenol. Mater. Lett. 2022, 311, 131465. [Google Scholar] [CrossRef]
- Qin, H.; He, Y.; Xu, P.; Huang, D.; Wang, Z.; Wang, H.; Wang, Z.; Zhao, Y.; Tian, Q.; Wang, C. Spinel Ferrites (MFe2O4): Synthesis, Improvement and Catalytic Application in Environment and Energy Field. Adv. Colloid. Interface Sci. 2021, 294, 102486. [Google Scholar] [CrossRef]
- Cahyana, A.H.; Liandi, A.R.; Yulizar, Y.; Romdoni, Y.; Wendari, T.P. Green Synthesis of CuFe2O4 Nanoparticles Mediated by Morus alba L. Leaf Extract: Crystal Structure, Grain Morphology, Particle Size, Magnetic and Catalytic Properties in Mannich Reaction. Ceram. Int. 2021, 47, 21373–21380. [Google Scholar] [CrossRef]
- Meshkani, F.; Rezaei, M. Preparation of Nanocrystalline Metal (Cr, Al, Mn, Ce, Ni, Co and Cu) Modified Ferrite Catalysts for the High Temperature Water Gas Shift Reaction. Renew. Energy 2015, 74, 588–598. [Google Scholar] [CrossRef]
- Khan, A.; Chen, P.; Boolchand, P.; Smirniotis, P. Modified Nano-Crystalline Ferrites for High-Temperature WGS Membrane Reactor Applications. J. Catal. 2008, 253, 91–104. [Google Scholar] [CrossRef]
- Reddy, G.K.; Gunasekara, K.; Boolchand, P.; Smirniotis, P.G. Cr- and Ce-Doped Ferrite Catalysts for the High Temperature Water−Gas Shift Reaction: TPR and Mossbauer Spectroscopic Study. J. Phys. Chem. C. 2011, 115, 920–930. [Google Scholar] [CrossRef]
- Cai, T.; Huang, H.; Deng, W.; Dai, Q.; Liu, W.; Wang, X. Catalytic Combustion of 1,2-Dichlorobenzene at Low Temperature over Mn-Modified Co3O4 Catalysts. Appl. Catal. B 2015, 166–167, 393–405. [Google Scholar] [CrossRef]
- He, Q.; Wu, Z.; Zeng, L.; Huang, C. One-Pot Synthesis and Characterization of Platinum-Coated Magnetite Nanoparticles for Magnetosensitive Catalyst. Sens. Mater. 2012, 24, 233–244. [Google Scholar]
- Vaddula, B.R.; Saha, A.; Leazer, J.; Varma, R.S. A Simple and Facile Heck-Type Arylation of Alkenes with Diaryliodonium Salts Using Magnetically Recoverable Pd-Catalyst. Green. Chem. 2012, 14, 2133. [Google Scholar] [CrossRef]
- Neto, N.A.; Nascimento, L.E.D.; Correa, M.; Bohn, F.; Bomio, M.R.D.; Motta, F.V.D. Characterization and Photocatalytic Application of Ce4+, Co2+, Mn2+ and Ni2+ Doped Fe3O4 Magnetic Nanoparticles Obtained by the Co-Precipitation Method. Mater. Chem. Phys. 2020, 242, 122489. [Google Scholar] [CrossRef]
- Petrov, D.A.; Ivantsov, R.D.; Zharkov, S.M.; Velikanov, D.A.; Molokeev, M.S.; Lin, C.-R.; Tso, C.-T.; Hsu, H.-S.; Tseng, Y.-T.; Lin, E.-S.; et al. Magnetic and Magneto–optical Properties of Fe3O4 Nanoparticles Modified with Ag. J. Magn. Magn. Mater. 2020, 493, 165692. [Google Scholar] [CrossRef]
- Yang, Y.; Jiang, K.; Guo, J.; Li, J.; Peng, X.; Hong, B.; Wang, X.; Ge, H. Facile Fabrication of Au/Fe3O4 Nanocomposites as Excellent Nanocatalyst for Ultrafast Recyclable Reduction of 4-Nitropheol. Chem. Eng. J. 2020, 381, 122596. [Google Scholar] [CrossRef]
- ullah Rather, S.; Lemine, O.M. Effect of Al Doping in Zinc Ferrite Nanoparticles and Their Structural and Magnetic Properties. J. Alloys Compd. 2020, 812, 152058. [Google Scholar] [CrossRef]
- Shikha, P.; Kang, T.S.; Randhawa, B.S. Mn Doping Induced Physico-Chemical Changes in La Ce Ferrite Nanofabricated by Ionic Liquid Assisted Hydrothermal Route. J. Alloys Compd. 2017, 701, 788–796. [Google Scholar] [CrossRef]
- Maaz, K.; Karim, S.; Mumtaz, A.; Hasanain, S.K.; Liu, J.; Duan, J.L. Synthesis and Magnetic Characterization of Nickel Ferrite Nanoparticles Prepared by Co-Precipitation Route. J. Magn. Magn. Mater. 2009, 321, 1838–1842. [Google Scholar] [CrossRef]
- Yang, L.; Zhang, Y.; Liu, X.; Jiang, X.; Zhang, Z.; Zhang, T.; Zhang, L. The Investigation of Synergistic and Competitive Interaction between Dye Congo Red and Methyl Blue on Magnetic MnFe2O4. Chem. Eng. J. 2014, 246, 88–96. [Google Scholar] [CrossRef]
- Rahman, S.; Nadeem, K.; Anis-ur-Rehman, M.; Mumtaz, M.; Naeem, S.; Letofsky-Papst, I. Structural and Magnetic Properties of ZnMg-Ferrite Nanoparticles Prepared Using the Co-Precipitation Method. Ceram. Int. 2013, 39, 5235–5239. [Google Scholar] [CrossRef]
- Nejati, K.; Zabihi, R. Preparation and Magnetic Properties of Nano Size Nickel Ferrite Particles Using Hydrothermal Method. Chem. Cent. J. 2012, 6, 23. [Google Scholar] [CrossRef]
- Allaedini, G.; Tasirin, S.M.; Aminayi, P. Magnetic Properties of Cobalt Ferrite Synthesized by Hydrothermal Method. Int. Nano Lett. 2015, 5, 183–186. [Google Scholar] [CrossRef]
- Lv, W.; Liu, B.; Luo, Z.; Ren, X.; Zhang, P. XRD Studies on the Nanosized Copper Ferrite Powders Synthesized by Sono-chemical Method. J. Alloys Compd. 2008, 465, 261–264. [Google Scholar] [CrossRef]
- Goyal, A.; Bansal, S.; Samuel, P.; Kumar, V.; Singhal, S. CoMn0.2 Fe1.8O4 Ferrite Nanoparticles Engineered by Sol–Gel Technology: An Expert and Versatile Catalyst for the Reduction of Nitroaromatic Compounds. J. Mater. Chem. A 2014, 2, 18848–18860. [Google Scholar] [CrossRef]
- Singh, G.; Chandra, S. Electrochemical Performance of MnFe2O4 Nano-Ferrites Synthesized Using Thermal Decomposition Method. Int. J. Hydrogen Energy 2018, 43, 4058–4066. [Google Scholar] [CrossRef]
- Gangaswamy, D.R.S.; Varma, M.C.; Bharadwaj, S.; Sambasiva Rao, K.; Rao, K.H. Comparison Study of Structural and Magnetic Properties of Magnesium-Substituted Nickel–Zinc Ferrites Synthesized by Solid-State and Sol–Gel Routes. J. Supercond. Nov. Magn. 2015, 28, 3599–3606. [Google Scholar] [CrossRef]
- Manikandan, A.; Sridhar, R.; Arul Antony, S.; Ramakrishna, S. A Simple Aloe Vera Plant-Extracted Microwave and Conventional Combustion Synthesis: Morphological, Optical, Magnetic and Catalytic Properties of CoFe2O4 Nanostructures. J. Mol. Struct. 2014, 1076, 188–200. [Google Scholar] [CrossRef]
- Kooti, M.; Afshari, M. Magnetic Cobalt Ferrite Nanoparticles as an Efficient Catalyst for Oxidation of Alkenes. Sci. Iran. 2012, 19, 1991–1995. [Google Scholar] [CrossRef]
- Kharisov, B.I.; Dias, H.V.R.; Kharissova, O.V. Mini-Review: Ferrite Nanoparticles in the Catalysis. Arab. J. Chem. 2019, 12, 1234–1246. [Google Scholar] [CrossRef]
- Velinov, N.; Koleva, K.; Tsoncheva, T.; Manova, E.; Paneva, D.; Tenchev, K.; Kunev, B.; Mitov, I. Nanosized Cu0.5Co0.5Fe2O4 Ferrite as Catalyst for Methanol Decomposition: Effect of Preparation Procedure. Catal. Commun. 2013, 32, 41–46. [Google Scholar] [CrossRef]
- Lou, J.-C.; Chang, C.-K. Catalytic Oxidation of CO Over a Catalyst Produced in the Ferrite Process. Environ. Eng. Sci. 2006, 23, 1024–1032. [Google Scholar] [CrossRef]
- Murthy, Y.L.N.; Diwakar, B.S.; Govindh, B.; Nagalakshmi, K.; Viswanath, I.V.K.; Singh, R. Nano Copper Ferrite: A Reusable Catalyst for the Synthesis of β, γ-Unsaturated Ketones. J. Chem. Sci. 2012, 124, 639–645. [Google Scholar] [CrossRef]
- Hegedus, L.S.; Kendall, P.M.; Lo, S.M.; Sheats, J.R. Alkylation of Acid Chlorides by Alkylrhodium(I) Complexes. J. Am. Chem. Soc. 1975, 97, 5448–5452. [Google Scholar] [CrossRef]
- Kasatkin, A.N.; Kulak, A.N.; Tolstikov, G.A. Regioselective Condensation of (l-Alkoxy-2-Butenyl)Triisopropoxytitanium with Carbonyl Compounds. Bull. Acad. Sci. USSR Div. Chem. Sci. 1985, 34, 2238. [Google Scholar] [CrossRef]
- Yang, S.; Wu, C.; Zhou, H.; Yang, Y.; Zhao, Y.; Wang, C.; Yang, W.; Xu, J. An Ullmann C—O Coupling Reaction Catalyzed by Magnetic Copper Ferrite Nanoparticles. Adv. Synth. Catal. 2013, 355, 53–58. [Google Scholar] [CrossRef]
- Gharib, A.; Noroozi Pesyan, N.; Vojdani Fard, L.; Roshani, M. Catalytic Synthesis of α-Aminonitriles Using Nano Copper Ferrite (CuFe2O4) under Green Conditions. Org. Chem. Int. 2014, 2014, 169803. [Google Scholar] [CrossRef]
- Rahman, T.; Borah, G.; Gogoi, P.K. Spinel Structured Copper Ferrite Nanocatalyst with Magnetic Recyclability for Oxidative Decarboxylation of Phenyl Acetic Acids. Catal. Lett. 2020, 150, 2267–2272. [Google Scholar] [CrossRef]
- Al-Hunaiti, A.; Al-Said, N.; Halawani, L.; Haija, M.A.; Baqaien, R.; Taher, D. Synthesis of Magnetic CuFe2O4 Nanoparticles as Green Catalyst for Toluene Oxidation under Solvent-Free Conditions. Arab. J. Chem. 2020, 13, 4945–4953. [Google Scholar] [CrossRef]
- Tapsale, S.D.; Jadhav, K.M.; Mane, D.V.; Patil, S.G. Synthesis of Metal Spinel Type of Ferrite and Used as a Catalyst in Organic Reactions. J. Pharm. Innov. 2018, 7, 215–217. [Google Scholar]
- Dolgykh, L.Y.; Stolyarchuk, I.L.; Staraya, L.A.; Vasylenko, I.V.; Pyatnitsky, Y.I.; Strizhak, P.E. Catalytic Properties of CuFe2O4 in Steam Reforming of Ethanol. Theor. Exp. Chem. 2015, 51, 230–235. [Google Scholar] [CrossRef]
- Mitran, G.; Chen, S.; Seo, D.-K. Molybdenum Dopped Copper Ferrites as Active Catalysts for Alcohols Oxidative Coupling. Materials 2019, 12, 1871. [Google Scholar] [CrossRef]
- Hu, W.; Li, D.; Yang, Y.; Li, T.; Chen, H.; Liu, P. Copper Ferrite Supported Gold Nanoparticles as Efficient and Recyclable Catalyst for Liquid-Phase Ethanol Oxidation. J. Catal. 2018, 357, 108–117. [Google Scholar] [CrossRef]
- Zhu, X.; Yang, D.; Wei, W.; Jiang, M.; Li, L.; Zhu, X.; You, J.; Wang, H. Magnetic Copper Ferrite Nanoparticles/TEMPO Catalyzed Selective Oxidation of Activated Alcohols to Aldehydes under Ligand- and Base-Free Conditions in Water. RSC Adv. 2014, 4, 64930–64935. [Google Scholar] [CrossRef]
- Naghash-Hamed, S.; Arsalani, N.; Mousavi, S.B. Facile Copper Ferrite/Carbon Quantum Dot Magnetic Nanocomposite as an Effective Nanocatalyst for Reduction of Para-Nitroaniline and Ortho-Nitroaniline. Nano Futur. 2022, 6, 045003. [Google Scholar] [CrossRef]
- Cheng, R.; Fan, X.; Wang, M.; Li, M.; Tian, J.; Zhang, L. Facile Construction of CuFe2O4/g-C3N4 Photocatalyst for Enhanced Visible-Light Hydrogen Evolution. RSC Adv. 2016, 6, 18990–18995. [Google Scholar] [CrossRef]
- Shi, F.; Shan, H.; Li, D.; Yin, X.; Yu, J.; Ding, B. A General Strategy to Fabricate Soft Magnetic CuFe2O4@SiO2 Nanofibrous Membranes as Efficient and Recyclable Fenton-such as Catalysts. J. Colloid. Interface Sci. 2019, 538, 620–629. [Google Scholar] [CrossRef] [PubMed]
- Jeddi, M.; Rabbani, M.; Tarlani, A. Fabrication of Novel Chlorophyll/CuFe2O4 Nanoparticles Exploiting as Photocatalyst for Dye-Scavenging under LED Light. Int. J. Environ. Sci. Technol. 2022, 19, 10547–10562. [Google Scholar] [CrossRef]
- Al-Musawi, T.J.; Mengelizadeh, N.; Taghavi, M.; Shehu, Z.; Balarak, D. Capability of Copper–Nickel Ferrite Nanoparticles Loaded onto Multi-Walled Carbon Nanotubes to Degrade Acid Blue 113 Dye in the Sonophotocatalytic Treatment Process. Environ. Sci. Pollut. Res. 2022, 29, 51703–51716. [Google Scholar] [CrossRef]
- Papa, F.; Patron, L.; Carp, O.; Paraschiv, C.; Ioan, B. Catalytic Activity of Neodymium Substituted Zinc Ferrites for Oxidative Conversion of Methane. J. Mol. Catal. A Chem. 2009, 299, 93–97. [Google Scholar] [CrossRef]
- Koleva, K.V.; Velinov, N.I.; Tsoncheva, T.S.; Mitov, I.G.; Kunev, B.N. Preparation, Structure and Catalytic Properties of ZnFe2O4. Bulg. Chem. Commun. 2013, 45, 434–439. [Google Scholar]
- Singh, A.S.; Patil, U.B.; Nagarkar, J.M. Palladium Supported on Zinc Ferrite: A Highly Active, Magnetically Separable Catalyst for Ligand Free Suzuki and Heck Coupling. Catal. Commun. 2013, 35, 11–16. [Google Scholar] [CrossRef]
- Lv, K.; Yan, G.; Wang, G.; Chen, Z.; Hu, J. Palladium-Decorated Covalent Organic Framework Supported on Zinc Ferrite as Magnetic Catalyst for Suzuki Reaction and p-Nitrophenol Reduction. Catal. Lett. 2022, 1–6. [Google Scholar] [CrossRef]
- Singh, A.S.; Shendage, S.S.; Nagarkar, J.M. Palladium Supported on Zinc Ferrite: An Efficient Catalyst for Ligand Free C–C and C–O Cross Coupling Reactions. Tetrahedron Lett. 2013, 54, 6319–6323. [Google Scholar] [CrossRef]
- Hareendran, A.; Dais, E.; Shinoy, D.; Srikripa, S.; Shibu, G.M.; Kurian, M. Nitrogen- and Sulfur-Doped Zinc Ferrite Nanoparticles as Efficient Heterogeneous Catalysts in Advanced Oxidation Processes. J. Phys. Chem. Solids 2022, 161, 110398. [Google Scholar] [CrossRef]
- Baynosa, M.L.; Mady, A.H.; Nguyen, V.Q.; Kumar, D.R.; Sayed, M.S.; Tuma, D.; Shim, J.-J. Eco-Friendly Synthesis of Recyclable Mesoporous Zinc Ferrite@reduced Graphene Oxide Nanocomposite for Efficient Photocatalytic Dye Degradation under Solar Radiation. J. Colloid. Interface Sci. 2020, 561, 459–469. [Google Scholar] [CrossRef] [PubMed]
- Charradi, K.; Ahmed, Z.; BenMoussa, M.A.; Beji, Z.; Brahmia, A.; Othman, I.; Haija, M.A.; Chtourou, R.; Keshk, S.M.A.S. A Facile Approach for the Synthesis of Spinel Zinc Ferrite/Cellulose as an Effective Photocatalyst for the Degradation of Methylene Blue in Aqueous Solution. Cellulose 2022, 29, 2565–2576. [Google Scholar] [CrossRef]
- Kumar, M.; Dosanjh, H.S.; Singh, H. Synthesis of Spinel ZnFe2O4 Modified with SDS via Low Temperature Combustion Method and Adsorption Behaviour of Crystal Violet Dye. Asian J. Chem. 2017, 29, 2057–2064. [Google Scholar] [CrossRef]
- Kumar, M.; Dosanjh, H.S.; Singh, H. Magnetic Zinc Ferrite–Chitosan Bio-Composite: Synthesis, Characterization and Adsorption Behavior Studies for Cationic Dyes in Single and Binary Systems. J. Inorg. Organomet. Polym. Mater. 2018, 28, 880–898. [Google Scholar] [CrossRef]
- Cai, C.; Liu, J.; Zhang, Z.; Zheng, Y.; Zhang, H. Visible Light Enhanced Heterogeneous Photo-Degradation of Orange II by Zinc Ferrite (ZnFe2O4) Catalyst with the Assistance of Persulfate. Sep. Purif. Technol. 2016, 165, 42–52. [Google Scholar] [CrossRef]
- Kumar, P.V.; Short, M.P.; Yip, S.; Yildiz, B.; Grossman, J.C. High Surface Reactivity and Water Adsorption on NiFe2O4(111) Surfaces. J. Phys. Chem. C 2013, 117, 5678–5683. [Google Scholar] [CrossRef]
- Dharanipragada, N.V.R.A.; Galvita, V.V.; Poelman, H.; Buelens, L.C.; Detavernier, C.; Marin, G.B. Bifunctional Co- and Ni- Ferrites for Catalyst-Assisted Chemical Looping with Alcohols. Appl. Catal. B Environ. 2018, 222, 59–72. [Google Scholar] [CrossRef]
- Urdă, A.; Herraïz, A.; Rédey, Á.; Marcu, I.-C. Co and Ni Ferrospinels as Catalysts for Propane Total Oxidation. Catal. Commun. 2009, 10, 1651–1655. [Google Scholar] [CrossRef]
- Keskin, S.; Çıtlakoğlu, M.; Akbayrak, S.; Kaya, S. Magnetically Separable Nickel Ferrite Supported Palladium Nanoparticles: Highly Reusable Catalyst in Sonogashira Cross-Coupling Reaction. J. Colloid. Interface Sci. 2022, 623, 574–583. [Google Scholar] [CrossRef]
- Moghaddam, F.M.; Tavakoli, G.; Rezvani, H.R. A Copper-Free Sonogashira Reaction Using Nickel Ferrite as Catalyst in Water. Catal. Commun. 2015, 60, 82–87. [Google Scholar] [CrossRef]
- Alinezhad, H.; Pakzad, K.; Nasrollahzadeh, M. Efficient Sonogashira and A3 coupling reactions catalyzed by biosynthesized magnetic Fe3O4@Ni nanoparticles from Euphorbia maculata extract. Appl. Organomet. Chem. 2020, 34, 945–951. [Google Scholar] [CrossRef]
- Gawande, M.B.; Rathi, A.K.; Branco, P.S.; Nogueira, I.D.; Velhinho, A.; Shrikhande, J.J.; Indulkar, U.U.; Jayaram, R.V.; Ghumman, C.A.A.; Bundaleski, N.; et al. Regio- and Chemoselective Reduction of Nitroarenes and Carbonyl Compounds over Recyclable Magnetic Ferrite—Nickel Nanoparticles (Fe3O4Ni) by Using Glycerol as a Hydrogen Source. Chem.-A Eur. J. 2012, 18, 12628–12632. [Google Scholar] [CrossRef] [PubMed]
- Abu-Dief, A.M.; Nassar, I.F.; Elsayed, W.H. Magnetic NiFe2O4 Nanoparticles: Efficient, Heterogeneous and Reusable Catalyst for Synthesis of Acetylferrocene Chalcones and Their Anti-Tumour Activity. Appl. Organomet. Chem. 2016, 30, 917–923. [Google Scholar] [CrossRef]
- Zeynizadeh, B.; Mohammadzadeh, I.; Shokri, Z.; Ali Hosseini, S. Synthesis and Characterization of NiFe2O4@Cu Nanoparticles as a Magnetically Recoverable Catalyst for Reduction of Nitroarenes to Arylamines with NaBH4. J. Colloid. Interface Sci. 2017, 500, 285–293. [Google Scholar] [CrossRef]
- Moghaddam, F.M.; Tavakoli, G.; Aliabadi, A. Application of Nickel Ferrite and Cobalt Ferrite Magnetic Nanoparticles in C–O Bond Formation: A Comparative Study between Their Catalytic Activities. RSC Adv. 2015, 5, 59142–59153. [Google Scholar] [CrossRef]
- Ahankar, H.; Ramazani, A.; Joo, S.W. Magnetic Nickel Ferrite Nanoparticles as an Efficient Catalyst for the Preparation of Polyhydroquinoline Derivatives under Microwave Irradiation in Solvent-Free Conditions. Res. Chem. Intermed. 2016, 42, 2487–2500. [Google Scholar] [CrossRef]
- Safaei-Ghomi, J.; Ghasemzadeh, M.A. Zinc Oxide Nanoparticle Promoted Highly Efficient One Pot Three-Component Synthesis of 2,3-Disubstituted Benzofurans. Arab. J. Chem. 2017, 10, S1774–S1780. [Google Scholar] [CrossRef]
- Joshi, V.M.; Pawar, R.P. Pawar microwave assisted expeditious synthesis of bioactive polyhydroquinoline derivatives. Eur. Chem. Bull. 2013, 2, 679–682. [Google Scholar]
- Wang, L.-M.; Sheng, J.; Zhang, L.; Han, J.-W.; Fan, Z.-Y.; Tian, H.; Qian, C.-T. Facile Yb(OTf)3 Promoted One-Pot Synthesis of Polyhydroquinoline Derivatives through Hantzsch Reaction. Tetrahedron 2005, 61, 1539–1543. [Google Scholar] [CrossRef]
- Katkar, S.S.; Mohite, P.H.; Gadekar, L.S.; Vidhate, K.N.; Lande, M.K. ZnO-Beta Zeolite: As an Effective and Eco-Friendly Heterogeneous Catalyst for the Synthesis of Benzothiazole Derivatives. Chin. Chem. Lett. 2010, 21, 421–425. [Google Scholar] [CrossRef]
- Kassaee, M.Z.; Masrouri, H.; Movahedi, F. ZnO-Nanoparticle-Promoted Synthesis of Polyhydroquinoline Derivatives via Multicomponent Hantzsch Reaction. Mon. Für Chem.-Chem. Mon. 2010, 141, 317–322. [Google Scholar] [CrossRef]
- Bhagat, A.; Kokkiripati, A.; Bhaduri, B. Synthesis of Silver Nanoparticles Anchored on Nickel Ferrite/Oxidized-Graphite Composite for the Efficient Reduction of Aqueous P-Nitrophenol. Inorg. Chem. Commun. 2022, 143, 109806. [Google Scholar] [CrossRef]
- Qu, J.; Che, T.; Shi, L.; Lu, Q.; Qi, S. A Novel Magnetic Silica Supported Spinel Ferrites NiFe2O4 Catalyst for Heterogeneous Fenton-such as Oxidation of Rhodamine B. Chin. Chem. Lett. 2019, 30, 1198–1203. [Google Scholar] [CrossRef]
- Jadhav, S.A.; Khedkar, M.V.; Somvanshi, S.B.; Jadhav, K.M. Magnetically Retrievable Nanoscale Nickel Ferrites: An Active Photocatalyst for Toxic Dye Removal Applications. Ceram. Int. 2021, 47, 28623–28633. [Google Scholar] [CrossRef]
- Arumugham, N.; Mariappan, A.; Eswaran, J.; Daniel, S.; Kanthapazham, R.; Kathirvel, P. Nickel Ferrite-Based Composites and Its Photocatalytic Application—A Review. J. Hazard. Mater. Adv. 2022, 8, 100156. [Google Scholar] [CrossRef]
- Kamal Senapati, K.; Phukan, P. Magnetically Separable CoFe2O4 Nanocatalyst for Aldol Condensations of Aldehydes and Ketones Magnetically Separable Cobalt Ferrite Nanocatalyst for Aldol Condensations of Aldehydes and Ketones. Bull. Catal. Soc. Indian 2011, 9, 1–8. [Google Scholar]
- Alharthi, A.I.; Din, I.U.; Alotaibi, M.A.; Centi, G. Application of Cobalt Ferrite Nanocatalysts for Methanol Synthesis by CO2 Hydrogenation: Deciphering the Role of Metals Cations Distribution. Ceram. Int. 2021, 47, 19234–19240. [Google Scholar] [CrossRef]
- Sadri, F.; Ramazani, A.; Massoudi, A.; Khoobi, M.; Azizkhani, V.; Tarasi, R.; Dolatyari, L.; Min, B.-K. Magnetic CoFe2O4 Nanoparticles as an Efficient Catalyst for the Oxidation of Alcohols to Carbonyl Compounds in the Presence of Oxone as an Oxidant. Bull. Korean Chem. Soc. 2014, 35, 2029–2032. [Google Scholar] [CrossRef]
- Bhat, P.B.; Inam, F.; Bhat, B.R. Nickel Hydroxide/Cobalt–Ferrite Magnetic Nanocatalyst for Alcohol Oxidation. ACS Comb. Sci. 2014, 16, 397–402. [Google Scholar] [CrossRef]
- Paul, B.; Purkayastha, D.D.; Dhar, S.S. One-Pot Hydrothermal Synthesis and Characterization of CoFe2O4 Nanoparticles and Its Application as Magnetically Recoverable Catalyst in Oxidation of Alcohols by Periodic Acid. Mater. Chem. Phys. 2016, 181, 99–105. [Google Scholar] [CrossRef]
- Shaabani, A.; Hezarkhani, Z.; Nejad, M.K. Cr- and Zn-Substituted Cobalt Ferrite Nanoparticles Supported on Guanidine–Modified Graphene Oxide as Efficient and Recyclable Catalysts. J. Mater. Sci. 2017, 52, 96–112. [Google Scholar] [CrossRef]
- Kooti, M.; Afshari, M. Molybdenum Schiff Base Complex Covalently Anchored to Silica-Coated Cobalt Ferrite Nanoparticles as a Novel Heterogeneous Catalyst for the Oxidation of Alkenes. Catal. Lett. 2012, 142, 319–325. [Google Scholar] [CrossRef]
- Senapati, K.K.; Roy, S.; Borgohain, C.; Phukan, P. Palladium Nanoparticle Supported on Cobalt Ferrite: An Efficient Magnetically Separable Catalyst for Ligand Free Suzuki Coupling. J. Mol. Catal. A Chem. 2012, 352, 128–134. [Google Scholar] [CrossRef]
- Tsvetkov, M.; Zaharieva, J.; Issa, G.; Cherkezova-Zheleva, Z.; Nedyalkov, M.; Paneva, D.; Tsoncheva, T.; Milanova, M. Cobalt Ferrite Modified with Hf(IV) as a Catalyst for Oxidation of Ethyl Acetate. Catal. Today 2020, 357, 541–546. [Google Scholar] [CrossRef]
- Zhao, X.-N.; Hu, H.-C.; Zhang, F.-J.; Zhang, Z.-H. Magnetic CoFe2O4 Nanoparticle Immobilized N-Propyl Diethylenetriamine Sulfamic Acid as an Efficient and Recyclable Catalyst for the Synthesis of Amides via the Ritter Reaction. Appl. Catal. A Gen. 2014, 482, 258–265. [Google Scholar] [CrossRef]
- Kooti, M.; Nasiri, E. Phosphotungstic Acid Supported on Silica-Coated CoFe2O4 Nanoparticles: An Efficient and Magnetically-Recoverable Catalyst for N-Formylation of Amines under Solvent-Free Conditions. J. Mol. Catal. A Chem. 2015, 406, 168–177. [Google Scholar] [CrossRef]
- Borade, R.M.; Kale, S.B.; Tekale, S.U.; Jadhav, K.M.; Pawar, R.P. Cobalt Ferrite Magnetic Nanoparticles as Highly Efficient Catalyst for the Mechanochemical Synthesis of 2-Aryl Benzimidazoles. Catal. Commun. 2021, 159, 106349. [Google Scholar] [CrossRef]
- Ali, N.; Said, A.; Ali, F.; Raziq, F.; Ali, Z.; Bilal, M.; Reinert, L.; Begum, T.; Iqbal, H.M.N. Photocatalytic Degradation of Congo Red Dye from Aqueous Environment Using Cobalt Ferrite Nanostructures: Development, Characterization, and Photocatalytic Performance. Water Air Soil. Pollut. 2020, 231, 50. [Google Scholar] [CrossRef]
- Ali, N.; Ali, F.; Said, A.; Begum, T.; Bilal, M.; Rab, A.; Sheikh, Z.A.; Iqbal, H.M.N.; Ahmad, I. Characterization and Deployment of Surface-Engineered Cobalt Ferrite Nanospheres as Photocatalyst for Highly Efficient Remediation of Alizarin Red S Dye from Aqueous Solution. J. Inorg. Organomet. Polym. Mater. 2020, 30, 5063–5073. [Google Scholar] [CrossRef]
- Naik, M.M.; Vinuth, M.; Karthik, K.; Suresha, B.; Nagaraju, G.; Sujatha, H.R. Photocatalytic Degradation of Dyes by Cobalt Ferrite Nanoparticles Synthesized by Sol–gel Method. AIP Conf. Proc. 2020, 2274, 040004. [Google Scholar] [CrossRef]
- Chahar, D.; Taneja, S.; Bisht, S.; Kesarwani, S.; Thakur, P.; Thakur, A.; Sharma, P.B. Photocatalytic Activity of Cobalt Substituted Zinc Ferrite for the Degradation of Methylene Blue Dye under Visible Light Irradiation. J. Alloys Compd. 2021, 851, 156878. [Google Scholar] [CrossRef]
- Jadhav, V.G.; Sarode, S.A.; Nagarkar, J.M. Palladium on Manganese Ferrite: An Efficient Catalyst for Ligand Free Decarboxylative Sonogashira Reaction with Arene Diazonium Tetrafluoroborate. Tetrahedron Lett. 2015, 56, 1771–1774. [Google Scholar] [CrossRef]
- Elmaci, G.; Ozer, D.; Zumreoglu-Karan, B. Liquid Phase Aerobic Oxidation of Benzyl Alcohol by Using Manganese Ferrite Supported-Manganese Oxide Nanocomposite Catalyst. Catal. Commun. 2017, 89, 56–59. [Google Scholar] [CrossRef]
- Deraz, N.M.; Shaban, S. Optimization of Catalytic, Surface and Magnetic Properties of Nanocrystalline Manganese Ferrite. J. Anal. Appl. Pyrolysis 2009, 86, 173–179. [Google Scholar] [CrossRef]
- Mateus, L.; Torres-Alcázar, A.; López-Ramón, M.V.; Álvarez, M.Á.; Moreno-Castilla, C. Manganese Ferrite Solid Nanospheres Solvothermally Synthesized as Catalyst for Peroxymonosulfate Activation to Degrade and Mineralize Para-Nitrophenol: Study of Operational Variables and Catalyst Reutilization. J. Environ. Chem. Eng. 2021, 9, 105192. [Google Scholar] [CrossRef]
- Hajdu, V.; Muránszky, G.; Nagy, M.; Kopcsik, E.; Kristály, F.; Fiser, B.; Viskolcz, B.; Vanyorek, L. Development of High-Efficiency, Magnetically Separable Palladium-Decorated Manganese-Ferrite Catalyst for Nitrobenzene Hydrogenation. Int. J. Mol. Sci. 2022, 23, 6535. [Google Scholar] [CrossRef]
- Nawi, M.A.; Sabar, S. Sheilatina Photocatalytic Decolourisation of Reactive Red 4 Dye by an Immobilised TiO2/Chitosan Layer by Layer System. J. Colloid. Interface Sci. 2012, 372, 80–87. [Google Scholar] [CrossRef]
- Saba, T.; Minhas, F.; Malik, M.I.; Talpur, F.N.; Jabbar, A.; Bhanger, M.I. Efficient Removal of Reactive Orange 107 Dye from Aqueous Media by Shrimp Shell Derived Chitosan Functionalized Magnetic Nanoparticles. Am. J. Anal. Chem. 2018, 09, 633–653. [Google Scholar] [CrossRef]
- Chaudhari, A.; Kaida, T.; Desai, H.B.; Ghosh, S.; Bhatt, R.P.; Tanna, A.R. Dye Degradation and Antimicrobial Applications of Manganese Ferrite Nanoparticles Synthesized by Plant Extracts. Chem. Phys. Impact 2022, 5, 100098. [Google Scholar] [CrossRef]
- Kour, S.; Jasrotia, R.; Puri, P.; Verma, A.; Sharma, B.; Singh, V.P.; Kumar, R.; Kalia, S. Improving Photocatalytic Efficiency of MnFe2O4 Ferrites via Doping with Zn2+/La3+ Ions: Photocatalytic Dye Degradation for Water Remediation. Environ. Sci. Pollut. Res. 2021, 30, 71527–71542. [Google Scholar] [CrossRef] [PubMed]
- Sun, L.-B.; Shen, J.; Lu, F.; Liu, X.-D.; Zhu, L.; Liu, X.-Q. Fabrication of Solid Strong Bases with a Molecular-Level Dispersion of Lithium Sites and High Basic Catalytic Activity. Chem. Commun. 2014, 50, 11299–11302. [Google Scholar] [CrossRef] [PubMed]
- Polshettiwar, V.; Varma, R.S. Green Chemistry by Nano-Catalysis. Green. Chem. 2010, 12, 743. [Google Scholar] [CrossRef]
- Monajjemifar, S.; Moeinpour, F.; Mohseni-Shahri, F.S. Investigation into the Catalytic Performance of Cu(II) Supported Graphene Quantum Dots Modified NiFe2O4 as a Proficient Nanocatalyst in the Synthesis of Propargylasmines. Catal. Lett. 2021, 151, 1444–1455. [Google Scholar] [CrossRef]
- Cahyana, A.H.; Liandi, A.R.; Maghdalena, M.; Yunarti, R.T.; Wendari, T.P. Magnetically Separable Fe3O4/Graphene Oxide Nanocomposite: An Efficient Heterogenous Catalyst for Spirooxindole Derivatives Synthesis. Ceram. Int. 2022, 48, 18316–18323. [Google Scholar] [CrossRef]
Disclaimer/Publisher’s Note: The statements, opinions and data contained in all publications are solely those of the individual author(s) and contributor(s) and not of MDPI and/or the editor(s). MDPI and/or the editor(s) disclaim responsibility for any injury to people or property resulting from any ideas, methods, instructions or products referred to in the content. |
© 2023 by the authors. Licensee MDPI, Basel, Switzerland. This article is an open access article distributed under the terms and conditions of the Creative Commons Attribution (CC BY) license (https://creativecommons.org/licenses/by/4.0/).






















































