Energetic Neutral Atom Imaging of the Earth’s Ring Current and Some Results from the Chinese Double Star Program
Abstract
1. Introduction
2. The Earth’s Ring Current
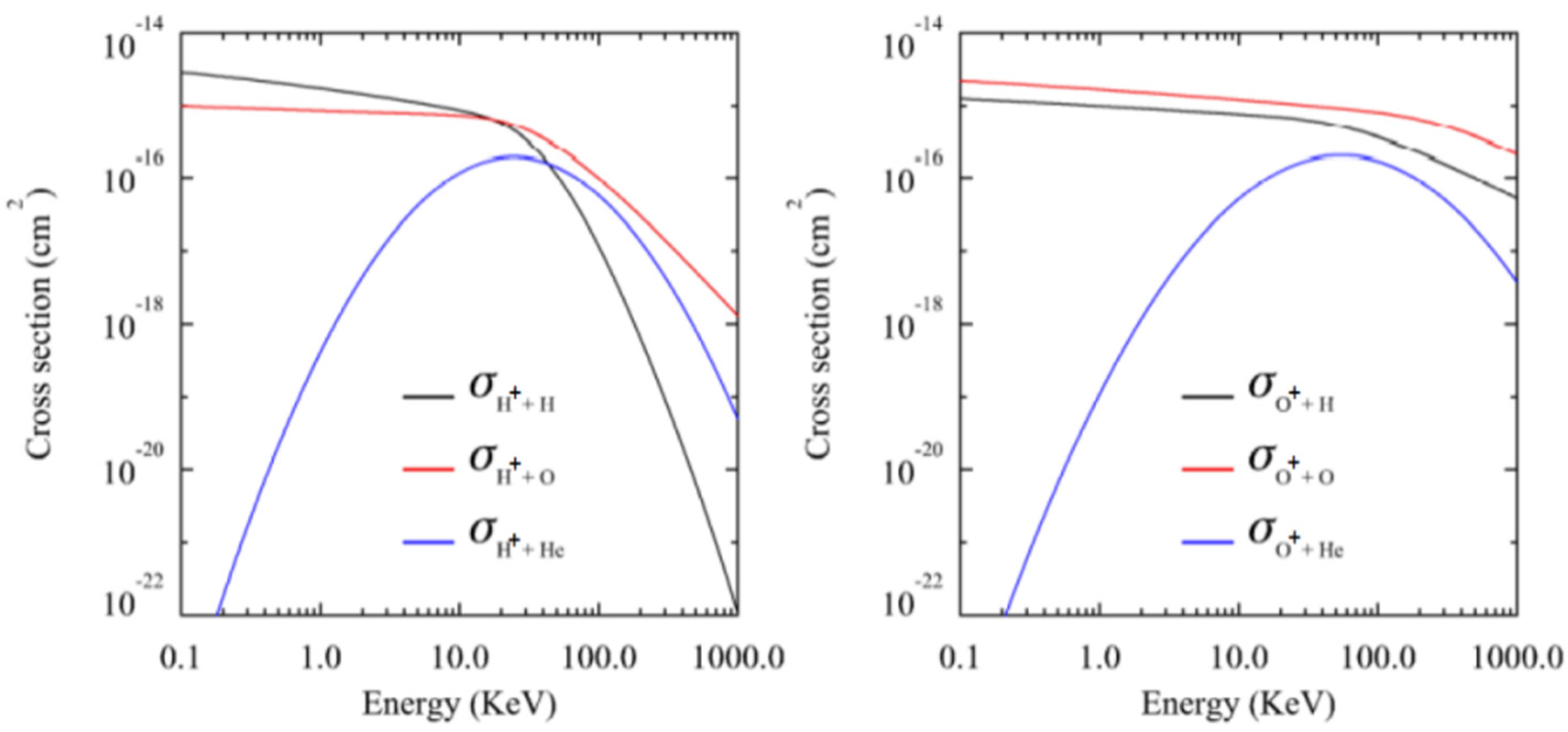
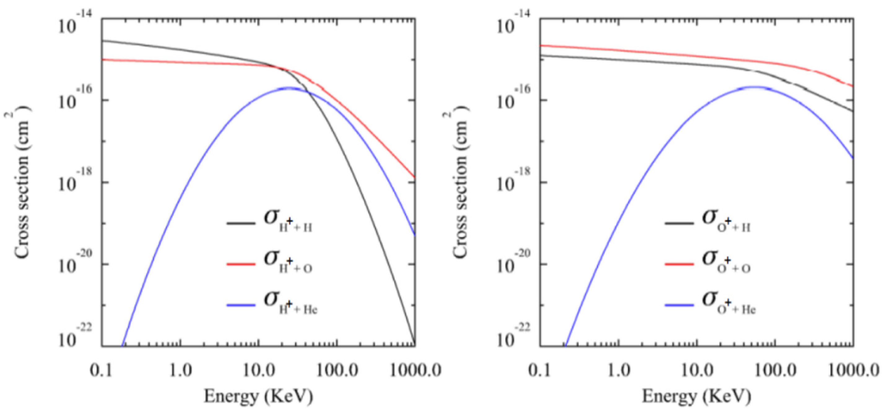
3. Charge-Exchange Reaction
4. Studies Based on NUADU Observations
4.1. Instrumentation and Observations
4.2. Review of Studies
- (A)
- Intuitive visual inspection
- (B) Parameter analysis
- (C) Forward modeling and comparison
- (D) Inversion
5. Conclusions
Author Contributions
Funding
Data Availability Statement
Conflicts of Interest
References
- Schulz, M. The Magnetosphere—ScienceDirect. Geomagnetism 1991, 25, 87–293. [Google Scholar]
- Maggiolo, R.; André, N.; Hasegawa, H.; Welling, D.T.; Zhang, Y.; Paxton, L.J. Magnetospheres in the Solar System; AGU: Washington, DC, USA, 2021. [Google Scholar] [CrossRef]
- Roederer, J.G. Dynamics of Geomagnetically Trapped Radiation; Springer: New York, NY, USA, 1970. [Google Scholar]
- Williams, D.J. Ring current and radiation belt. Rev. Geohpys. 1987, 25, 570–578. [Google Scholar] [CrossRef]
- Pfaff, R.F.; Borovsky, J.E.; Young, D.T. Measurement techniques in space plasmas: Fields. Geophys. Monogr. Ser. 1998, 103. [Google Scholar]
- Pfaff, R.F.; Borovsky, J.E.; Young, D.T. Measurement techniques in space plasmas: Particles. Geophys. Monogr. Ser. 1998, 102. [Google Scholar]
- Daglis, I.A.; Thorne, R.M.; Baumjohann, W.; Orsini, S. The terrestrial ring current: Origin, formation, and decay. Rev. Geophys. 1999, 37, 407–438. [Google Scholar] [CrossRef]
- Ogilvie, K.W.; von Rosenvinge, T.; Durney, A.C. International Sun-Earth Explorer: A Three-Spacecraft Program. Science 1977, 198, 131–138. [Google Scholar] [CrossRef]
- Nishida, A.; Uesugi, K.; Nakatani, I.; Mukai, T.; Fairfield, D.H.; Acuna, M.H. Geotail Mission to explore Earth’s magnetotail. Eos Trans. AGU 1992, 73, 425–429. [Google Scholar] [CrossRef]
- Blake, J.B.; Fennell, J.F.; Friesen, L.M.; Johnson, B.M.; Kolasinski, W.A.; Mabry, D.J.; Osborn, J.V.; Penzin, S.H.; Schnauss, E.R.; Spence, H.; et al. CEPPAD. Space Sci. Rev. 1995, 71, 531–562. [Google Scholar] [CrossRef]
- Roelof, E.C.; Mitchell, D.G.; Williams, D.J. Energetic Neutral Atoms (E∼50 KeV) from the Ring Current: IMP 7/8 and ISEE 1. J. Geophys. Res. 1985, 90, 10991–10998. [Google Scholar] [CrossRef]
- Johnson, M.H.; Kierein, J.W. Combined Release and Radiation Effects Satellite (CRRES): Spacecraft and Mission. J. Spacecr. Rocket. 1992, 29, 556–563. [Google Scholar] [CrossRef]
- Brandt, P.C.; Barabash, P.S.; Norberg, O.; Lundin, R.; Roelof, E.C.; Chase, C.J.; Mauk, B.H.; Thomsen, M. ENA imaging from the Swedish microsatellite Astrid: Images and spectral analysis. J. Geophys. Res. 1999, 104, 2367–2379. [Google Scholar] [CrossRef]
- Burch, J.L. IMAGE mission overview. Space Sci. Rev. 2000, 91, 1–14. [Google Scholar] [CrossRef]
- McComas, D.; Goldstein, J. The two wide-angle imaging neutral-atom spectrometers (TWINS) NASA mission-of-opportunity. Space Sci. Rev. 2009, 142, 157–231. [Google Scholar] [CrossRef]
- Ma, S.-Y.; Yan, W.-N.; Xu, L. Tomographic reconstruction of storm time RC ion distribution from ENA images on board multiple spacecraft. J. Geophys. Res. Space Phys. 2016, 120, 9334–9354. [Google Scholar] [CrossRef]
- Matson, D.L.; Spilker, L.J.; Lebreton, J.P. The Cassini/Huygens Mission to the Saturnian System. In The Cassini-Huygens Mission; Springer: Berlin/Heidelberg, Germany, 2003; pp. 1–58. [Google Scholar]
- Mccomas, D.J.; Allegrini, F.; Bochsler, P.; Bzowski, M.; Collier, M.; Fahr, H.; Fichtner, H.; Frisch, P.; Funsten, H.O.; Fuselier, S.A.; et al. Ibex-interstellar boundary explorer. Space Sci. Rev. 2009, 146, 11–33. [Google Scholar] [CrossRef]
- Mitchell, D.G.; Brandt, P.C.; Westlake, J.H.; Jaskulek, S.E.; Andrews, G.B.; Nelson, K.S. Energetic particle imaging: The evolution of techniques in imaging high-energy neutral atom emissions. J. Geophys. Res. Space Phys. 2016, 121, 8804–8820. [Google Scholar] [CrossRef]
- Lukyanov, A.V.; Barabash, S.; Holmstrom, M. Energetic neutral atom imaging at Mercury. Adv. Space Res. 2004, 33, 1890–1898. [Google Scholar] [CrossRef]
- Brandt, P.C.; Hsieh, S.Y.; Demajistre, R.; Mitchell, D.G. ENA Imaging of Planetary Ring Currents. In Electric Currents in Geospace and Beyond, American Geophysical Union Geophysical Monograph 235; Andreas, K., Octav, M., Michael, W., American, G., Eds.; John Wiley & Sons, Inc.: New York, NY, USA, 2018; pp. 95–113. [Google Scholar]
- Gruntman, M. Energetic Neutral Atom Imaging of Space Plasmas. Rev. Sci. Instrum. 1997, 68, 3617–3656. [Google Scholar] [CrossRef]
- Liu, Z.X.; Escoubet, C.P.; Pu, Z.; Laakso, H.; Shi, J.K.; Shen, C.; Hapgood, M. The Double Star Mission. Ann. Geophys. 2005, 23, 2707–2712. [Google Scholar] [CrossRef]
- Shen, C.; Liu, Z.-X. Double Star Project Master Science Operations Plan. Ann. Geophys. 2005, 23, 2851–2859. [Google Scholar] [CrossRef]
- Escoubet, C.P.; Russell, C.T.; Schmidt, R. (Eds.) The Cluster and Phoenix Missions; Springer Dordrecht: Berlin/Heidelberg, Germany, 1997; Volume 79. [Google Scholar]
- McKenna-Lawlor, S.; Balaz, J.; Barabash, S.; Johnsson, K.; Li, L.; Shen, C.; Shi, J.; Zong, Q.; Kudela, K.; Fu, S.; et al. The energetic NeUtral Atom Detector Unit (NUADU) for China’s Double Star Mission and its calibration. Nucl. Inst. Methods A 2004, 503, 311–322. [Google Scholar] [CrossRef]
- McKenna-Lawlor, S.; Balaz, J.; Barabash, S.; Johnsson, K.; Li, L.; Shen, C.; Shi, J.; Zong, Q.; Kudela, K.; Fu, S.; et al. An overview of the scientific objectives and technical configuration of the NeUtral Atom Detector Unit NUADU for the Chinese Double Star Mission. Planet. Space Sci. 2005, 53, 335–348. [Google Scholar] [CrossRef]
- McCormac, B.M. Magnetospheric Physics; D. Reidel Publishing Company: Dordrecht, The Netherlands, 1974. [Google Scholar]
- Ohtani, S.I.; Fujii, R.; Hesse, M.; Lysak, R.L. Magnetospheric Current Systems; AGU: Washington, DC, USA, 2000; Volume 118. [Google Scholar]
- Jordan, C.E. Empirical models of the magnetospheric magnetic field. Rev. Geophys. 1994, 32, 139–157. [Google Scholar] [CrossRef]
- Rossi, B.; Olbert, S. Introduction to the Physics of Space; McGraw-Hill Book Company: New York, NY, USA, 1970; pp. 133–146. [Google Scholar]
- Shen, C.; Yang, Y.Y.; Rong, Z.J.; Li, X.; Dunlop, M.; Carr, C.M.; Liu, Z.X.; Baker, D.N.; Chen, Z.Q.; Ji, Y.; et al. Direct calculation of the ring current distribution andmagnetic structure seen by Cluster during geomagnetic storms. J. Geophys. Res. Space Phys. 2014, 119, 2458–2465. [Google Scholar] [CrossRef]
- Shen, C.; Zeng, G.; Li, X.; Rong, Z.J. Evolution of the storm magnetic field disturbance around Earth’s surface and the associated ring current as deduced from multiple ground observatories. J. Geophys. Res. Space Phys. 2015, 120, 564–580. [Google Scholar] [CrossRef]
- Yang, Y.Y.; Shen, C.; Dunlop, M.; Rong, Z.J.; Li, X.; Angelopoulos, V.; Chen, Z.Q.; Yan, G.Q.; Ji, Y. Storm time current distribution in the inner equatorial magnetosphere: THEMIS observations. J. Geophys. Res. Space Phys. 2016, 121, 5250–5259. [Google Scholar] [CrossRef]
- Shen, C.; Liu, Z.X.; Kamei, T. A Physics Based Study of the Dst-AL Relationship. J. Geophys. Res. 2002, 107, SMP-4. [Google Scholar] [CrossRef]
- Dessler, A.J.; Parker, E.N. Hydromagnetic theory of geomagnetic storms. J. Geophys. Res. 1959, 64, 2239–2252. [Google Scholar] [CrossRef]
- Sckopke, N. A general relation between the energy of trapped particles and the disturbance field near the Earth. J. Geophys. Res. 1966, 71, 3125–3130. [Google Scholar] [CrossRef]
- Akasofu, S.I.; Chapman, S. The ring current, geomagnetic disturbance, and the Van Allen belts. J. Geophys. Res. 1961, 66, 1321–1350. [Google Scholar] [CrossRef]
- Gonzalez, W.D.; Joselyn, J.A.; Kamide, Y.; Kroehl, H.W.; Rostoker, G.; Tsurutani, B.T.; Vasyliunas, V.M. What is a geomagnetic storm? J. Geophys. Res. 1994, 99, 5771–5792. [Google Scholar] [CrossRef]
- Chapman, S.; Bartels, J. Geomagnetism; Oxford University Press: Oxford, UK, 1940; p. 1049. [Google Scholar]
- Toshihiko, I. Storm-Time Magnetospheric Currents Inferred from Mid-Latitude Geomagnetic Field Variations. J. Geomag. Geoelectr. 1990, 42, 1249–1265. [Google Scholar]
- Sandel, B.R.; King, R.A.; Forrester, W.T.; Gallagher, D.L.; Broadfoot, A.L.; Curtis, C.C. Initial results from the IMAGE extreme ultraviolet imager. Geophys. Res. Lett. 2001, 28, 1439. [Google Scholar] [CrossRef]
- Chamberlain, J.W. Planetary coronae and atmospheric evaporation. Planet. Space Sci. 1963, 11, 901–960. [Google Scholar] [CrossRef]
- Shen, C.; Zhenxing, L. Energetic neutral atom imaging of the Earth’s ring current region. Chin. J. Geophys. 2003, 46, 1–10. [Google Scholar]
- Xie, L.; Pu, Z.Y.; Zhou, X.-Z.; Fu, S.Y.; Zong, Q.-G.; Hong, M.H. Energetic ion injection and formation of the storm-time symmetric ring current. Ann. Geophys. 2006, 24, 3547–3556. [Google Scholar] [CrossRef]
- Fu, S.-Y.; Pu, Z.-Y.; Zong, Q.-G.; Xiao, C.-J.; Xie, L.; Wilken, B. Ion composition variations in the ring current during intense magnetic storms and their relationship with evolution of storms. Chin. J. Geophys. 2001, 44, 1–12. [Google Scholar] [CrossRef]
- Nosé, M.; Taguchi, S.; Hosokawa, K.; Christon, S.P.; McEntire, R.W.; Moore, T.E.; Collier, M.R. Overwhelming O+ contribution to the plasma sheet energy density during the October 2003 superstorm: Geotail/EPIC and IMAGE/LENA observations. J. Geophys. Res. 2005, 110, A09S24. [Google Scholar] [CrossRef]
- Fahr, H.J.; Fichtner, H.; Scherer, K. Theoretical aspects of energetic neutral atoms as messengers from distant plasma sites with emphasis on the heliosphere. Rev. Geophys. 2007, 45, RG4003. [Google Scholar] [CrossRef]
- McKenna-Lawlor, S.; Li, L.; Barabash, S.; Kudela, K.; Balaz, J.; Strharsky, I.; Brinkfeldt, K.; Gunell, H.; Shen, C.; Shi, J.; et al. The NUADU experiment on TC-2 and the first Energetic Neutral Atom (ENA) images recorded by this instrument. Ann. Geophys. 2005, 23, 2825–2849. [Google Scholar] [CrossRef]
- Lindsay, B.G.; Stebbings, R.F. Charge transfer cross sections for energetic neutral atom data analysis. J. Geophys. Res. 2005, 110. [Google Scholar] [CrossRef]
- Bishop, J. Multiple charge exchange and ionization collisions within the ring current-geocorona-plasmasphere system: Generation of a secondary ring current on inner L. shells. J. Geophys. Res. 1996, 101, 17325–17336. [Google Scholar] [CrossRef]
- Chen, Z.Q.; Shen, C.; Lu, L.; Mckenna Lawlor, S.; Liu, Z.X.; Yan, G.Q. Study on the Earth ring current during magnetic storms based on energetic neutral atom flux data. Chin. J. Geophys. 2012, 55, 727–737. (In Chinese) [Google Scholar] [CrossRef]
- Chen, Z.Q.; Shen, C.; Lu, L.; McKenna-Lawlor, S.; Liu, Z.X.; Yan, G.Q. Evolvement of the ring current during a magnetic storm: TC-2 neutral atom imager observations. Chin. J. Geophys. 2010, 53, 2271–2279. (In Chinese) [Google Scholar] [CrossRef]
- Zhiqing, C.; Chao, S.; Li, L.; McKenna-Lawlor, S.; Zhenxing, L.; Guangqing, Y. Energetic neutral atom imaging of the earth ring current during magnetic storms—Comparison between simulation results and observation. Chin. J. Space Sci. 2012, 32, 182–190. [Google Scholar]
- Chen, Z. Detection of Storm-Time Ring Current by Neutral Atom Imager Onboard TC-2 of Double Star Program. Ph.D. Thesis, University of Chinese Academy of Sciences, Beijing, China, 2011. (In Chinese). [Google Scholar]
- Bazell, D.; Roelof, E.; Sotirelis, T.; Brandt, P.; Nair, H.; Valek, P.; Goldstein, J.; McComas, D. Comparison of TWINS Images of Low-Altitude Emission of Energetic Neutral Atoms with DMSP Precipitating Ion Fluxes. J. Geophys. Res. 2010, 115, 1–17. [Google Scholar] [CrossRef]
- Li, L.; McKenna-Lawlor, S.; Barabash, S.; Balaz, J.; Strharsky, I.; Liu, Z.; Shen, C.; Kudela, K.; Brandt, P.; Tang, C.L. Iterative inversion of global magnetospheric ion distributions using energetic neutral atom (ENA) images recorded by the NUADU/TC2 instrument. Ann. Geophy. 2008, 26, 1641–1652. [Google Scholar]
- Li, L.; Mckenna, L.; Barabash, S.; Balaz, J.; Liu, Z.; Shen, C.; Cao, J.B.; JinBin, C.; Tang, C.L. Iterative inversion of global magnetospheric information from energy neutral atom (ENA) images recorded by the TC-2/NUADU instrument. Sci. China Technol. Sci. 2008, 51, 1731–1744. [Google Scholar]
- Lu, L.; McKenna-Lawlor, S.; Barabash, S.; Brandt, P.; Balaz, J.; Liu, Z.X.; He, Z.H.; Reeves, G. Comparisons between ion distributions retrieved from ENA images of the ring current and contemporaneous, multipoint ion measurements recorded in situ during the major magnetic storm of 15 May 2005. J. Geophys. Res. 2010, 115, A12218. [Google Scholar] [CrossRef]
- Lu, L.; McKenna-Lawlor, S.; Cao, J.; Kudela, K.; Balaz, J. The causal sequence investigation of the ring current ion-flux increasing and the magnetotail ion injection during a major storm. Sci. China Earth Sci. 2015, 59, 129–144. [Google Scholar] [CrossRef]
- Lu, L.; McKenna-Lawlor, S.; Balaz, J. Close up observation and inversion of low-altitude ENA emissions during a substorm event. Sci. China Earth Sci. 2019, 62, 1024–1032. [Google Scholar] [CrossRef]
- Lu, L.; Yu, Q.-L.; Lu, Q. Near-Approach Imaging Simulation of Low-Altitude ENA Emissions by a LEO Satellite. Front. Astron. Space Sci. 2020, 7, 35. [Google Scholar] [CrossRef]
- Kamide, Y.; Baumjohann, W.; Daglis, I.; Gonzalez, W.D.; Grande, M.; Joselyn, J.A.; McPherron, R.; Phillips, J.L.; Reeves, G.; Rostoker, G.; et al. Current understanding of magnetic storms: Storm-substorm relationships. J. Geophys. Res. 1998, 103, 17705–17728. [Google Scholar] [CrossRef]
- Grafe, A.; Feldstein, Y.I. About the relationship between auroral electrojets and ring current. Ann. Geophys. 2000, 18, 874–886. [Google Scholar] [CrossRef]
- Mcpherron, R.L. The role of substorm in generation of magnetic storms. Geophys. Monogr. 1997, 98, 131–147. [Google Scholar]
- Iyemori, T.; Rao, D.R.K. Decay of the Dst field of geomagnetic disturbance after substorm onset and its implication to storm-substorm relation. Ann. Geophys. 1996, 14, 608–618. [Google Scholar] [CrossRef]
- Brandt, P.; Ohtani, S.; Mitchell, D.; Demajistre, R. Storm—Substorm relationships during the 4 October, 2000 storm. IMAGE global ENA imaging results. Geophys. Monogr. 2003, 142, 103–117. [Google Scholar]
- Wieser, M.; Barabash, S.; Wang, X.-D.; Grigoriev, A.; Zhang, A.; Wang, C.; Wang, W. The Advanced Small Analyzer for Neutrals (ASAN) on the Chang’E-4 Rover Yutu-2. Space Sci. Rev. 2020, 216, 73. [Google Scholar] [CrossRef]
- Yongliao, Z.; Yang, L.; Yingzhuo, J. Overview of China’s Upcoming Chang’E Series and the Scientific Objectives and Payloads for Chang’E 7 Mission. In Proceedings of the 51st Lunar and Planetary Science Conference, Woodlands, TX, USA, 16–20 March 2020. [Google Scholar]
- Li, L.; Qing-Long, Y.; Ping, Z.; Xin, Z.; Xian-Guo, Z.; Xin-Yue, W.; Yuan, C. Simulation study of the energetic neutral atom (ENA) imaging monitoring of the geomagnetosphere on a lunar base. Sol.-Terr. Phys. 2021, 7, 3–11. [Google Scholar] [CrossRef]
- Wang, C.; Branduardi-Raymond, G. Progress of Solar Wind Magnetosphere Ionosphere Link Explorer (SMILE) Mission. Chin. J. Space Sci. 2018, 38, 657–661. [Google Scholar] [CrossRef]






| Channel | H | O |
|---|---|---|
| Ch1 | 46–50 keV | 132–139 keV |
| Ch2 | 50–81 keV | 139–185 keV |
| Ch3 | 81–158 keV | 185–300 keV |
| Ch4 | 158–∞ keV | 300–∞ keV |
Disclaimer/Publisher’s Note: The statements, opinions and data contained in all publications are solely those of the individual author(s) and contributor(s) and not of MDPI and/or the editor(s). MDPI and/or the editor(s) disclaim responsibility for any injury to people or property resulting from any ideas, methods, instructions or products referred to in the content. |
© 2023 by the authors. Licensee MDPI, Basel, Switzerland. This article is an open access article distributed under the terms and conditions of the Creative Commons Attribution (CC BY) license (https://creativecommons.org/licenses/by/4.0/).
Share and Cite
Chen, Z.; Shen, C.; Wu, Q.; Lu, L.; Zhang, X.; Yu, Q. Energetic Neutral Atom Imaging of the Earth’s Ring Current and Some Results from the Chinese Double Star Program. Magnetochemistry 2023, 9, 29. https://doi.org/10.3390/magnetochemistry9010029
Chen Z, Shen C, Wu Q, Lu L, Zhang X, Yu Q. Energetic Neutral Atom Imaging of the Earth’s Ring Current and Some Results from the Chinese Double Star Program. Magnetochemistry. 2023; 9(1):29. https://doi.org/10.3390/magnetochemistry9010029
Chicago/Turabian StyleChen, Zhiqing, Chao Shen, Qiong Wu, Li Lu, Xianguo Zhang, and Qinglong Yu. 2023. "Energetic Neutral Atom Imaging of the Earth’s Ring Current and Some Results from the Chinese Double Star Program" Magnetochemistry 9, no. 1: 29. https://doi.org/10.3390/magnetochemistry9010029
APA StyleChen, Z., Shen, C., Wu, Q., Lu, L., Zhang, X., & Yu, Q. (2023). Energetic Neutral Atom Imaging of the Earth’s Ring Current and Some Results from the Chinese Double Star Program. Magnetochemistry, 9(1), 29. https://doi.org/10.3390/magnetochemistry9010029

