Mathematical and Physical Properties of Three-Band s± Eliashberg Theory for Iron Pnictides
Abstract
1. Introduction
2. The Model
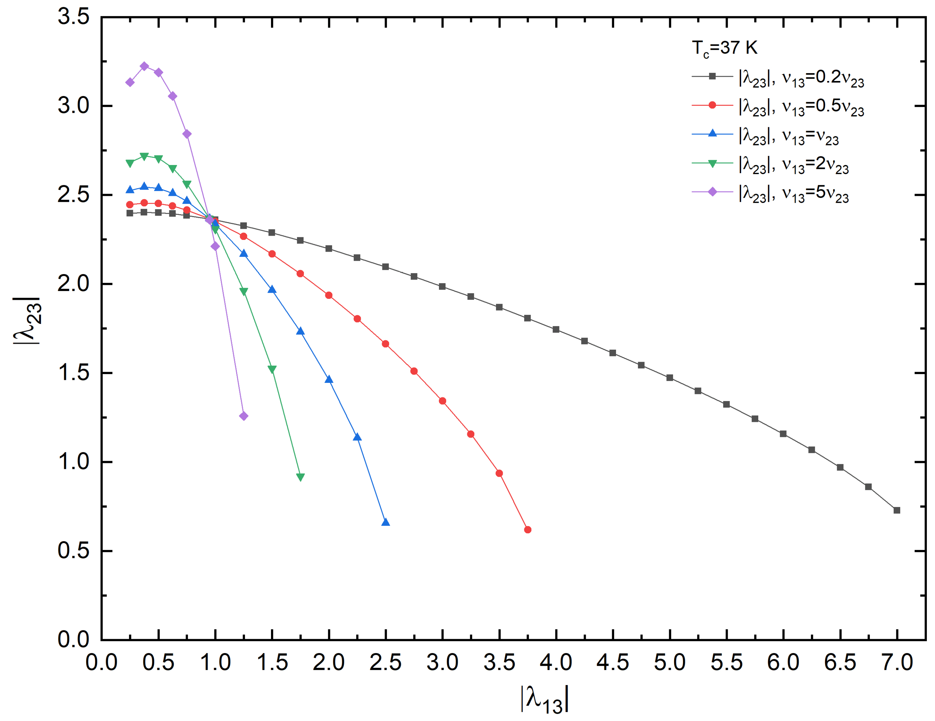
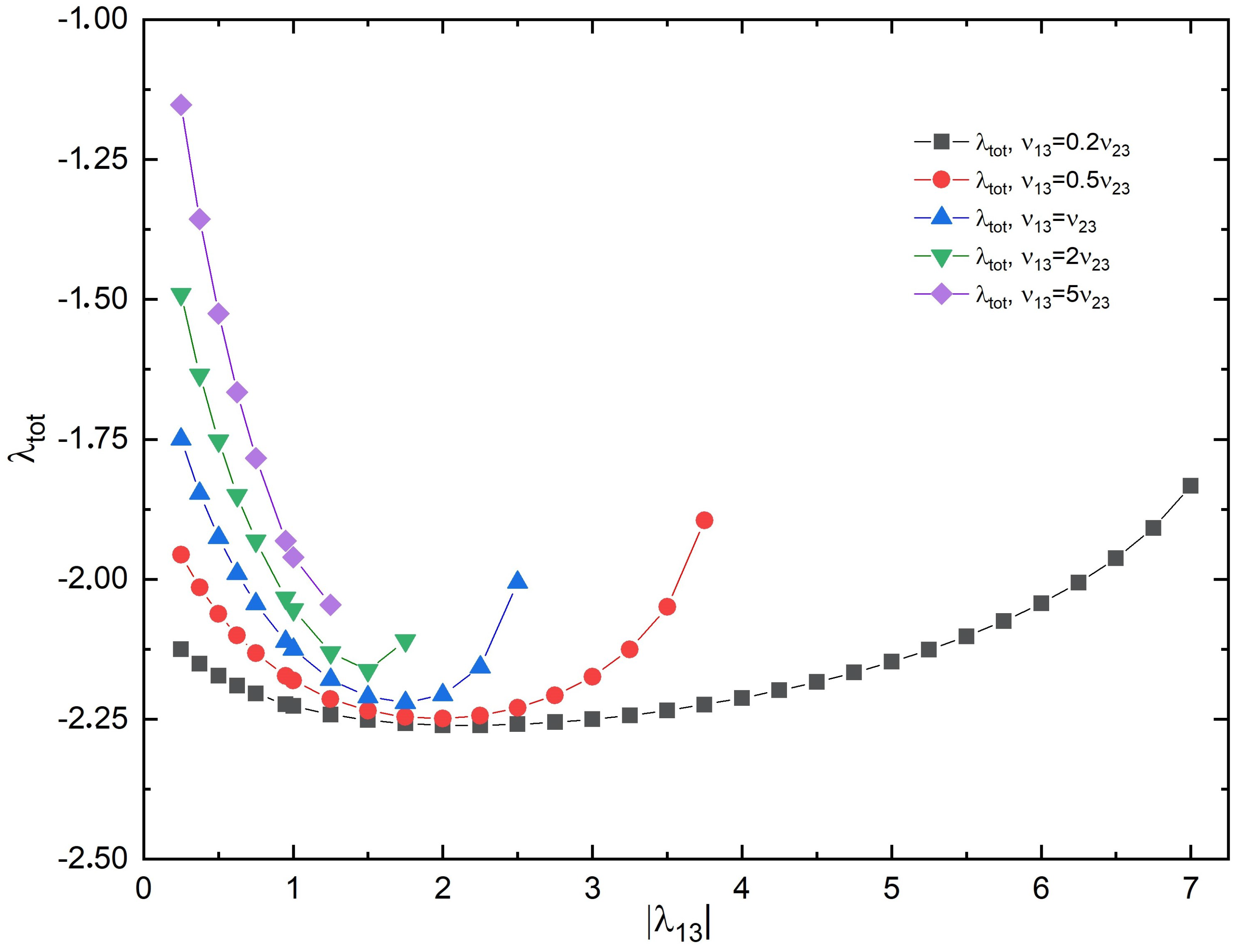
3. Discussion
4. Conclusions
Funding
Institutional Review Board Statement
Informed Consent Statement
Data Availability Statement
Acknowledgments
Conflicts of Interest
References
- Ghigo, G.; Torsello, D.; Ummarino, G.A.; Gozzelino, L.; Tanatar, M.A.; Prozorov, R.; Canfield, P.C. Disorder-Driven Transition from s± to s++ Superconducting Order Parameter in Proton Irradiated Ba(Fe1-xRhx)2As2 Single Crystals. Phys. Rev. Lett. 2018, 121, 107001. [Google Scholar] [CrossRef] [PubMed]
- Torsello, D.; Ummarino, G.A.; Gozzelino, L.; Tamegai, T.; Ghigo, G. Comprehensive Eliashberg analysis of microwave conductivity and penetration depth of K-, Co-, and P-substituted BaFe2As2. Phys. Rev. B 2019, 99, 134518. [Google Scholar] [CrossRef]
- Torsello, D.; Cho, K.; Joshi, K.R.; Ghimire, S.; Ummarino, G.A.; Nusran, N.M.; Tanatar, M.A.; Meier, W.R.; Xu, M.; Bud’ko, S.L.; et al. Analysis of the London penetration depth in Ni-doped CaKFe4As4. Phys. Rev. B 2019, 100, 094513. [Google Scholar] [CrossRef]
- Ghigo, G.; Ummarino, G.A.; Gozzelino, L.; Gerbaldo, R.; Laviano, F.; Torsello, D.; Tamegai, T. Effects of disorder induced by heavy-ion irradiation on (Ba1-xKx)Fe2As2 single crystals, within the three-band Eliashberg s± wave model. Sci. Rep. 2017, 7, 13029. [Google Scholar] [CrossRef] [PubMed]
- Torsello, D.; Ummarino, G.A.; Bekaert, J.; Gozzelino, L.; Gerbaldo, R.; Tanatar, M.A.; Canfield, P.C.; Prozorov, R.; Ghigo, G. Superconductivity of underdoped PrFeAs(O, F) investigated via point-contact spectroscopy and nuclear magnetic resonance. Phys. Rev. B 2020, 13, 064046. [Google Scholar]
- Ummarino, G.A. Phenomenology of CaKFe4As4 explained in the framework of four bands Eliashberg theory. Physica C 2016, 529, 50. [Google Scholar] [CrossRef]
- Ummarino, G.A.; Galasso, S.; Sanna, A. A phenomenological multiband Eliashberg model for LiFeAs. J. Phys. Condens. Matter 2013, 25, 205701. [Google Scholar] [CrossRef] [PubMed][Green Version]
- Inosov, D.S.; Park, J.T.; Charnukha, A.; Li, Y.; Boris, A.V.; Keimer, B.; Hinkov, V. Crossover from weak to strong pairing in unconventional superconductors. Phys. Rev. B 2011, 83, 214520. [Google Scholar] [CrossRef]
- Paglione, J.; Greene, R.L. High-temperature superconductivity in iron-based materials. Nat. Phys. 2010, 6, 645. [Google Scholar] [CrossRef]
- Mazin, I.I.; Singh, D.J.; Johannes, M.D.; Du, M.H. Unconventional Superconductivity with a Sign Reversal in the Order Parameter of LaFeAsO1-xFx. Phys. Rev. Lett. 2008, 101, 057003. [Google Scholar] [CrossRef]
- Mazin, I.I.; Schmalian, J. Pairing symmetry and pairing state in ferropnictides: Theoretical overview. Physica C 2009, 469, 614. [Google Scholar] [CrossRef]
- Hirschfeld, P.J.; Korshunov, M.M.; Mazin, I.I. Gap symmetry and structure of Fe-based superconductors. Rep. Prog. Phys. 2011, 74, 124508. [Google Scholar] [CrossRef]
- Coombes, J.M.; Carbotte, J.P. Dependence of 2Δ0/kBTc on the shape of electron-phonon spectral density. J. Low Temp. Phys. 1986, 63, 431. [Google Scholar] [CrossRef]
- Coombes, J.M.; Carbotte, J.P. Dependence of superconducting thermodynamics ratios on the shape of the electron-phonon spectral density. Phys. Rev. B 1988, 38, 8697. [Google Scholar] [CrossRef] [PubMed]
- Carbotte, J.P. Properties of boson-exchange superconductors. Rev. Mod. Phys. 1990, 62, 1027. [Google Scholar] [CrossRef]
- Boeri, L.; Calandra, M.; Mazin, I.I.; Dolgov, O.V.; Mauri, F. Effects of magnetism and doping on the electron-phonon coupling in BaFe2As2. Phys. Rev. B 2010, 82, 020506. [Google Scholar] [CrossRef]
- Éliashberg, G.M. Interations between electrons and lattice vibrations in a superconductors. Sov. Phys. JETP 1960, 11, 696. [Google Scholar]
- Ummarino, G.A. Eliashberg Theory. In Emergent Phenomena in Correlated Matter; Pavarini, E., Koch, E., Schollwöck, U., Eds.; Forschungszentrum Jülich GmbH and Institute for Advanced Simulations: Jülich, Germany, 2013; pp. 13.1–13.36. ISBN 978-3-89336-884-6. [Google Scholar]
- Chubukov, A.V.; Pines, D.; Schmalian, J. A Spin Fluctuation Model for d-Wave Superconductivity; Bennemann, K.H., Ketterson, J.B., Eds.; Superconductivity: Novel Superconductors; Springer: Berlin/Heidelberg, Germany, 2008; Volume II. [Google Scholar]
- Manske, D.; Eremin, I.; Bennemann, K.H. Electronic Theory for Superconductivity in High-Tc Cuprates and Sr2RuO4; Bennemann, K.H., Ketterson, J.B., Eds.; Superconductivity: Novel Superconductors; Springer: Berlin/Heidelberg, Germany, 2008; Volume II. [Google Scholar]
- Marsiglio, F. Eliashberg theory of the critical temperature and isotope effect. Dependence on bandwidth, band-filling, and direct Coulomb repulsion. J. Low Temp. Phys. 1992, 87, 659. [Google Scholar] [CrossRef]
- Choi, H.Y. Finite bandwidth effects on the transition temperature and NMR relaxation rate of impure superconductors. Phys. Rev. B 1996, 53, 8591. [Google Scholar] [CrossRef]
- Sadovskii, M.V. Antiadiabatic Phonons and Superconductivity in Eliashberg–McMillan Theory. J. Supercond. Nov. Magn. 2020, 33, 19. [Google Scholar] [CrossRef]
- Ummarino, G.A.; Gonnelli, R.S. s- and d-wave solution of Eliashberg equations with finite bandwidth. Physica C 2000, 341–348, 295. [Google Scholar] [CrossRef]
- Ummarino, G.A.; Tortello, M.; Daghero, D.; Gonnelli, R.S. Three-band s± Eliashberg theory and the superconducting gaps of iron pnictides. Phys. Rev. B 2009, 80, 172503. [Google Scholar] [CrossRef]
- Ummarino, G.A.; Tortello, M.; Daghero, D.; Gonnelli, R.S. Predictions of Multiband s± Strong-Coupling Eliashberg Theory Compared to Experimental Data in Iron Pnictides. J. Supercond. Nov. Magn. 2011, 24, 247. [Google Scholar] [CrossRef]
- Ummarino, G.A. Multiband s± Eliashberg theory and temperature-dependent spin-resonance energy in iron pnictide superconductors. Phys. Rev. B 2011, 83, 092508. [Google Scholar] [CrossRef]
- Ummarino, G.A.; Gonnelli, R.S. Breakdown of Migdal’s theorem and intensity of electron-phonon coupling in high-Tc superconductors. Phys. Rev. B 1997, 56, 14279. [Google Scholar] [CrossRef]
- Inosov, D.S.; Park, J.T.; Bourges, P.; Sun, D.L.; Sidis, Y.; Schneidewind, A.; Hradil, K.; Haug, D.; Lin, C.T.; Keimer, B.; et al. Normal-state spin dynamics and temperature-dependent spin-resonance energy in optimally doped BaFe1.85Co0.15As2. Nat. Phys. 2010, 6, 178. [Google Scholar] [CrossRef]
- Ummarino, G.A.; Gonnelli, R.S. Real-axis direct solution of the d-wave Eliashberg equations and the tunneling density of states in optimally doped Bi2Sr2CaCu2O8+x. Physica C 1999, 328, 189–194. [Google Scholar] [CrossRef]
- Allen, P.B.; Dynes, R.C. Transition temperature of strong-coupled superconductors reanalyzed. Phys. Rev. B 1975, 12, 905. [Google Scholar] [CrossRef]





Disclaimer/Publisher’s Note: The statements, opinions and data contained in all publications are solely those of the individual author(s) and contributor(s) and not of MDPI and/or the editor(s). MDPI and/or the editor(s) disclaim responsibility for any injury to people or property resulting from any ideas, methods, instructions or products referred to in the content. |
© 2023 by the author. Licensee MDPI, Basel, Switzerland. This article is an open access article distributed under the terms and conditions of the Creative Commons Attribution (CC BY) license (https://creativecommons.org/licenses/by/4.0/).
Share and Cite
Ummarino, G.A. Mathematical and Physical Properties of Three-Band s± Eliashberg Theory for Iron Pnictides. Magnetochemistry 2023, 9, 28. https://doi.org/10.3390/magnetochemistry9010028
Ummarino GA. Mathematical and Physical Properties of Three-Band s± Eliashberg Theory for Iron Pnictides. Magnetochemistry. 2023; 9(1):28. https://doi.org/10.3390/magnetochemistry9010028
Chicago/Turabian StyleUmmarino, Giovanni Alberto. 2023. "Mathematical and Physical Properties of Three-Band s± Eliashberg Theory for Iron Pnictides" Magnetochemistry 9, no. 1: 28. https://doi.org/10.3390/magnetochemistry9010028
APA StyleUmmarino, G. A. (2023). Mathematical and Physical Properties of Three-Band s± Eliashberg Theory for Iron Pnictides. Magnetochemistry, 9(1), 28. https://doi.org/10.3390/magnetochemistry9010028
