Effect of ZrO2 Content on Microstructure Evolution and Sintering Properties of (Tb0.7Lu0.3)2O3 Magneto-Optic Transparent Ceramics
Abstract
1. Introduction
2. Experiment
2.1. Preparation Processes
2.2. Characterization
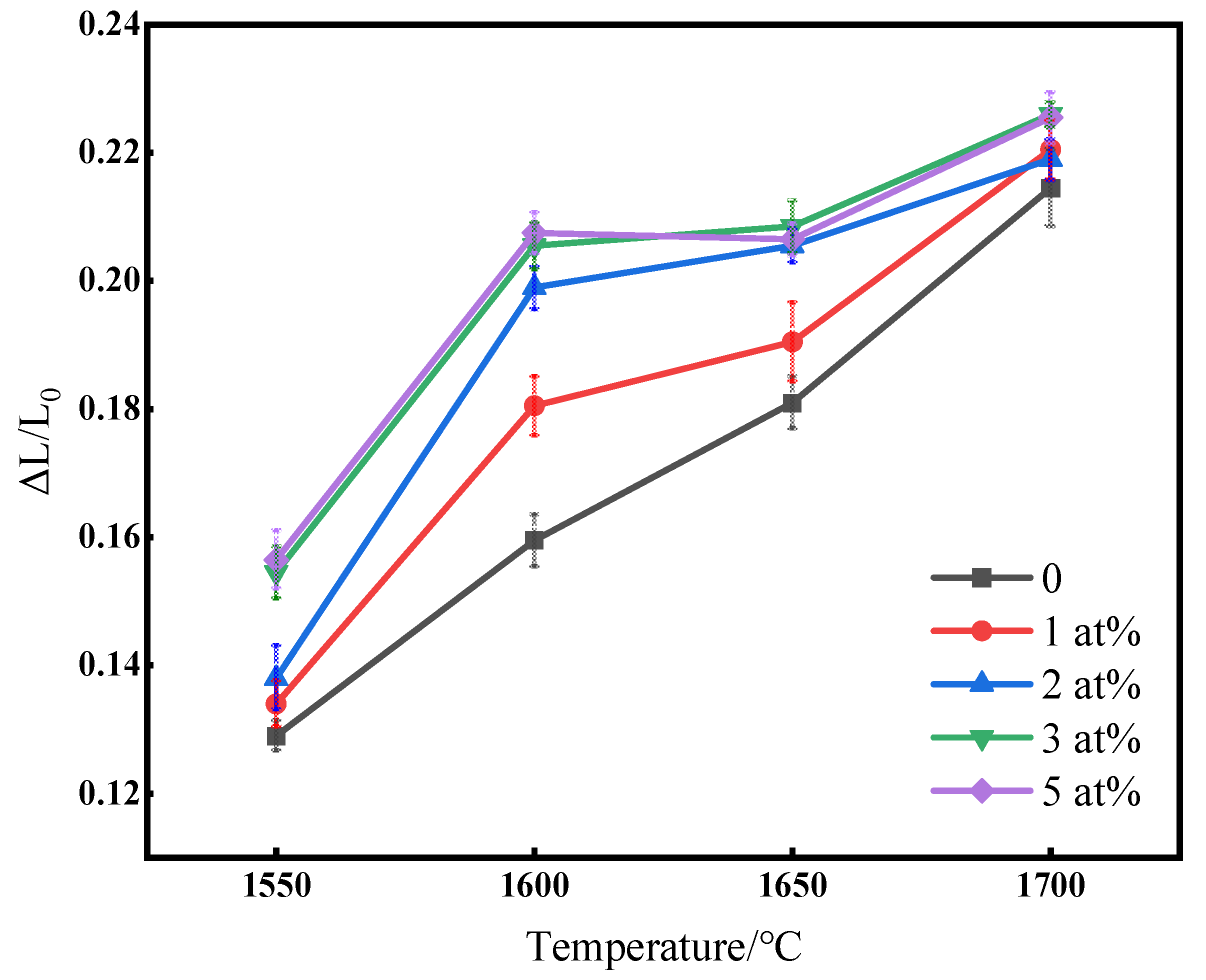
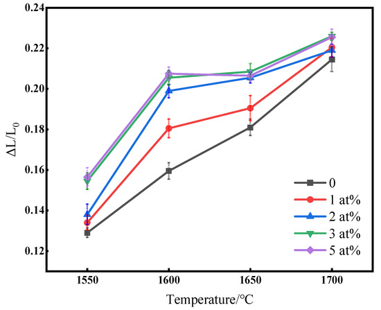
3. Result and Discussion
4. Conclusions
Author Contributions
Funding
Institutional Review Board Statement
Informed Consent Statement
Data Availability Statement
Conflicts of Interest
References
- Bayramian, A.; Armstrong, J.; Beer, G.; Campbell, R.; Chai, B.; Cross, R.; Erlandson, A.; Fei, Y.; Freitas, B.; Kent, R.; et al. High-average-power femto-petawatt laser pumped by the Mercury laser facility. J. Opt. Soc. Am. B 2008, 25, B57–B61. [Google Scholar] [CrossRef]
- Mueller, G.; Amin, R.S.; Guagliardo, D.; McFeron, D.; Lundock, R.; Reitze, D.H.; Tanner, D. Method for compensation of thermally induced modal distortions in the input optical components of gravitational wave interferometers. Class. Quantum Gravity 2002, 19, 1793–1801. [Google Scholar] [CrossRef]
- Khazanov, E.; Andreev, N.; Mal’Shakov, A.; Palashov, O.; Poteomkin, A.; Sergeev, A.; Shaykin, A.; Zelenogorsky, V.; Ivanov, I.; Amin, R.; et al. Compensation of thermally induced modal distortions in Faraday isolators. IEEE J. Quantum Electron. 2004, 40, 1500–1510. [Google Scholar] [CrossRef]
- Dai, J.; Li, J. Promising magneto-optical ceramics for high power Faraday isolators. Scr. Mater. 2018, 155, 78–84. [Google Scholar] [CrossRef]
- Yasuhara, R.; Nozawa, H.; Yanagitani, T.; Motokoshi, S.; Kawanaka, J. Temperature dependence of thermo-optic effects of single-crystal and ceramic TGG. Opt. Express 2013, 21, 31443–31452. [Google Scholar] [CrossRef]
- Chen, Z.; Hang, Y.; Wang, X.; Hong, J. Fabrication and characterization of TGG crystals containing paramagnetic rare-earth ions. Solid State Commun. 2016, 241, 38–42. [Google Scholar] [CrossRef]
- Wu, Y.; Sun, Z.; Feng, G.; Wang, S.; Xu, L.; Wu, S. Preparation and properties of novel Tb3Sc2Al3O12 (TSAG) magneto-optical transparent ceramic. J. Eur. Ceram. Soc. 2021, 41, 195–201. [Google Scholar] [CrossRef]
- Furuse, H.; Yasuhara, R. Magneto-optical characteristics of holmium oxide (Ho2O3) ceramics. Opt. Mater. Express 2017, 7, 827–833. [Google Scholar] [CrossRef]
- Yakovlev, A.; Snetkov, I.; Permin, D.; Balabanov, S.; Palashov, O. Faraday rotation in cryogenically cooled dysprosium based (Dy2O3) ceramics. Scr. Mater. 2018, 161, 32–35. [Google Scholar] [CrossRef]
- Veber, P.; Velázquez, M.; Gadret, G.; Rytz, D.; Peltz, M.; Decourt, R. Flux growth at 1230 °C of cubic Tb2O3 single crystals and characterization of their optical and magnetic properties. CrystEngComm 2014, 17, 492–497. [Google Scholar] [CrossRef]
- Ibáñez, J.; Sans, J.Á.; Cuenca-Gotor, V.; Oliva, R.; Gomis, Ó.; Rodríguez-Hernández, P.; Muñoz, A.; Rodríguez-Mendoza, U.; Velázquez, M.; Veber, P.; et al. Structural and Lattice-Dynamical Properties of Tb2O3 under Compression: A Comparative Study with Rare Earth and Related Sesquioxides. Inorg. Chem. 2020, 59, 9648–9666. [Google Scholar] [CrossRef] [PubMed]
- Snetkov, I.; Yakovlev, A.; Starobor, A.; Balabanov, S.; Permin, D.; Rostokina, E.; Palashov, O. Thermo-optical properties of terbium sesquioxide (Tb2O3) ceramics at room temperature. Opt. Lett. 2021, 46, 3592–3595. [Google Scholar] [CrossRef] [PubMed]
- Wang, Y.; Jing, W.; Li, W.; Xu, T.; Kang, B.; Liu, X.; Xin, Y.; Luo, P.; Yang, N.; Mei, B. Synthesis of highly sinterable Tb2O3 powders by spray coprecipitation for transparent ceramics: The influence of ammonium hydrogen carbonate to metal ions molar ratio. Opt. Mater. 2022, 132, 112795. [Google Scholar] [CrossRef]
- Zhang, J.; Chen, H.; Wang, J.; Wang, D.; Han, D.; Zhang, J.; Wang, S. Phase transformation process of Tb2O3 at elevated temperature. Scr. Mater. 2019, 171, 108–111. [Google Scholar] [CrossRef]
- Lee, C.; Vashishtha, S.; Sayal, A.; Weaver, J.F. Oxidation of a c-Tb2O3 (111) thin film by the sequential formation of stoichiometric phases. Surf. Sci. 2019, 694, 121555. [Google Scholar] [CrossRef]
- Zhang, J.; Chen, H.; Wang, J.; Wang, D.; Han, D.; Zhang, J.; Wang, S. Preparation of (Tb1-xLux)2O3 transparent ceramics by solid solution for magneto-optical application. J. Eur. Ceram. Soc. 2021, 41, 2818–2825. [Google Scholar] [CrossRef]
- Yang, M.; Zhou, D.; Xu, J.; Tian, T.; Jia, R.; Wang, Z. Fabrication and magneto-optical property of yttria stabilized Tb2O3 transparent ceramics. J. Eur. Ceram. Soc. 2019, 39, 5005–5009. [Google Scholar] [CrossRef]
- Zhu, L.; Park, Y.; Gan, L.; Go, S.; Kim, H.; Kim, J.; Ko, J. Fabrication and characterization of highly transparent Er: Y2O3 ceramics with ZrO2 and La2O3 additives. Ceram. Int. 2017, 43, 13127–13132. [Google Scholar] [CrossRef]
- Yi, Q.; Zhou, S.; Teng, H.; Lin, H.; Hou, X.; Jia, T. Structural and optical properties of Tm: Y2O3 transparent ceramic with La2O3, ZrO2 as composite sintering aid. J. Eur. Ceram. Soc. 2012, 32, 381–388. [Google Scholar] [CrossRef]
- Xie, J.; Mao, X.; Zhu, Q.; Jiang, B.; Zhang, L. Influence of synthesis conditions on the properties of Y2O3-MgO nanopowders and sintered nanocomposites. J. Eur. Ceram. Soc. 2017, 37, 4095–4101. [Google Scholar] [CrossRef]
- Snetkov, I.L.; Permin, D.A.; Balabanov, S.S.; Palashov, O.V. Wavelength dependence of Verdet constant of Tb3+: Y2O3 ceramics. Appl. Phys. Lett. 2016, 108, 161905. [Google Scholar] [CrossRef]
- Ikesue, A.; Aung, Y.L.; Makikawa, S.; Yahagi, A. Polycrystalline (TbxY1-x)2O3 Faraday rotator. Opt. Lett. 2017, 42, 4399–4401. [Google Scholar] [CrossRef] [PubMed]
- Ning, K.; Wang, J.; Luo, D.; Dong, Z.L.; Kong, L.B.; Tang, D.Y. Low-level sintering aids for highly transparent Yb: Y2O3 ceramics. J. Alloy. Compd. 2017, 695, 1414–1419. [Google Scholar] [CrossRef]
- Hu, D.; Liu, X.; Liu, Z.; Li, X.; Tian, F.; Zhu, D.; Yang, Z.; Wu, L.; Li, J. Fabrication of Dy2O3 Transparent Ceramics by Vacuum Sintering Using Precipitated Powders. Magnetochemistry 2021, 7, 6. [Google Scholar] [CrossRef]
- Kröger, F.A.; Vink, H.J. Relations between the concentrations of imperfections in solids. J. Phys. Chem. Solids 1958, 5, 208–223. [Google Scholar] [CrossRef]
- Bokuniaeva, A.O.; Vorokh, A.S. Estimation of particle size using the Debye equation and the Scherrer formula for polyphasic TiO2 powder. J. Phys. Conf. Ser. 2019, 1410, 012057. [Google Scholar] [CrossRef]
- Hou, X.; Zhou, S.; Li, Y.; Li, W. Effect of ZrO2 on the sinterability and spectral properties of (Yb0.05Y0.95)2O3 transparent ceramic. Opt. Mater. 2010, 32, 920–923. [Google Scholar] [CrossRef]
- Jin, L.; Zhou, G.; Shimai, S.; Zhang, J.; Wang, S. ZrO2-doped Y2O3 transparent ceramics via slip casting and vacuum sintering. J. Eur. Ceram. Soc. 2010, 30, 2139–2143. [Google Scholar] [CrossRef]
- Li, X.; Xu, Y.; Mao, X.; Zhu, Q.; Xie, J.; Feng, M.; Jiang, B.; Zhang, L. Investigation of optical, mechanical, and thermal properties of ZrO2-doped Y2O3 transparent ceramics fabricated by HIP. Ceram. Int. 2018, 44, 1362–1369. [Google Scholar] [CrossRef]
- Yang, H.; Zhu, Z. Magneto-optical glass mixed with Tb3+ ions: High Verdet constant and luminescence properties. J. Lumin. 2021, 231, 117804. [Google Scholar] [CrossRef]
- Yin, H.; Gao, Y.; Gong, Y.; Buchanan, R.; Song, J.; Li, M. Wavelength dependence of Tb3+ doped magneto-optical glass Verdet constant. Ceram. Int. 2018, 44, 10929–10933. [Google Scholar] [CrossRef]








| Publisher’s Note: MDPI stays neutral with regard to jurisdictional claims in published maps and institutional affiliations. | 
© 2022 by the authors. Licensee MDPI, Basel, Switzerland. This article is an open access article distributed under the terms and conditions of the Creative Commons Attribution (CC BY) license (https://creativecommons.org/licenses/by/4.0/).
Share and Cite
Xin, Y.; Xu, T.; Wang, Y.; Luo, P.; Li, W.; Kang, B.; Mei, B.; Jing, W. Effect of ZrO2 Content on Microstructure Evolution and Sintering Properties of (Tb0.7Lu0.3)2O3 Magneto-Optic Transparent Ceramics. Magnetochemistry 2022, 8, 175. https://doi.org/10.3390/magnetochemistry8120175
Xin Y, Xu T, Wang Y, Luo P, Li W, Kang B, Mei B, Jing W. Effect of ZrO2 Content on Microstructure Evolution and Sintering Properties of (Tb0.7Lu0.3)2O3 Magneto-Optic Transparent Ceramics. Magnetochemistry. 2022; 8(12):175. https://doi.org/10.3390/magnetochemistry8120175
Chicago/Turabian StyleXin, Yu, Tao Xu, Yaozhi Wang, Peng Luo, Weiwei Li, Bin Kang, Bingchu Mei, and Wei Jing. 2022. "Effect of ZrO2 Content on Microstructure Evolution and Sintering Properties of (Tb0.7Lu0.3)2O3 Magneto-Optic Transparent Ceramics" Magnetochemistry 8, no. 12: 175. https://doi.org/10.3390/magnetochemistry8120175
APA StyleXin, Y., Xu, T., Wang, Y., Luo, P., Li, W., Kang, B., Mei, B., & Jing, W. (2022). Effect of ZrO2 Content on Microstructure Evolution and Sintering Properties of (Tb0.7Lu0.3)2O3 Magneto-Optic Transparent Ceramics. Magnetochemistry, 8(12), 175. https://doi.org/10.3390/magnetochemistry8120175
 
        


