Bandwidth Enhancement of a Mobile Phone Antenna Using Ferrite Slab
Abstract
1. Introduction
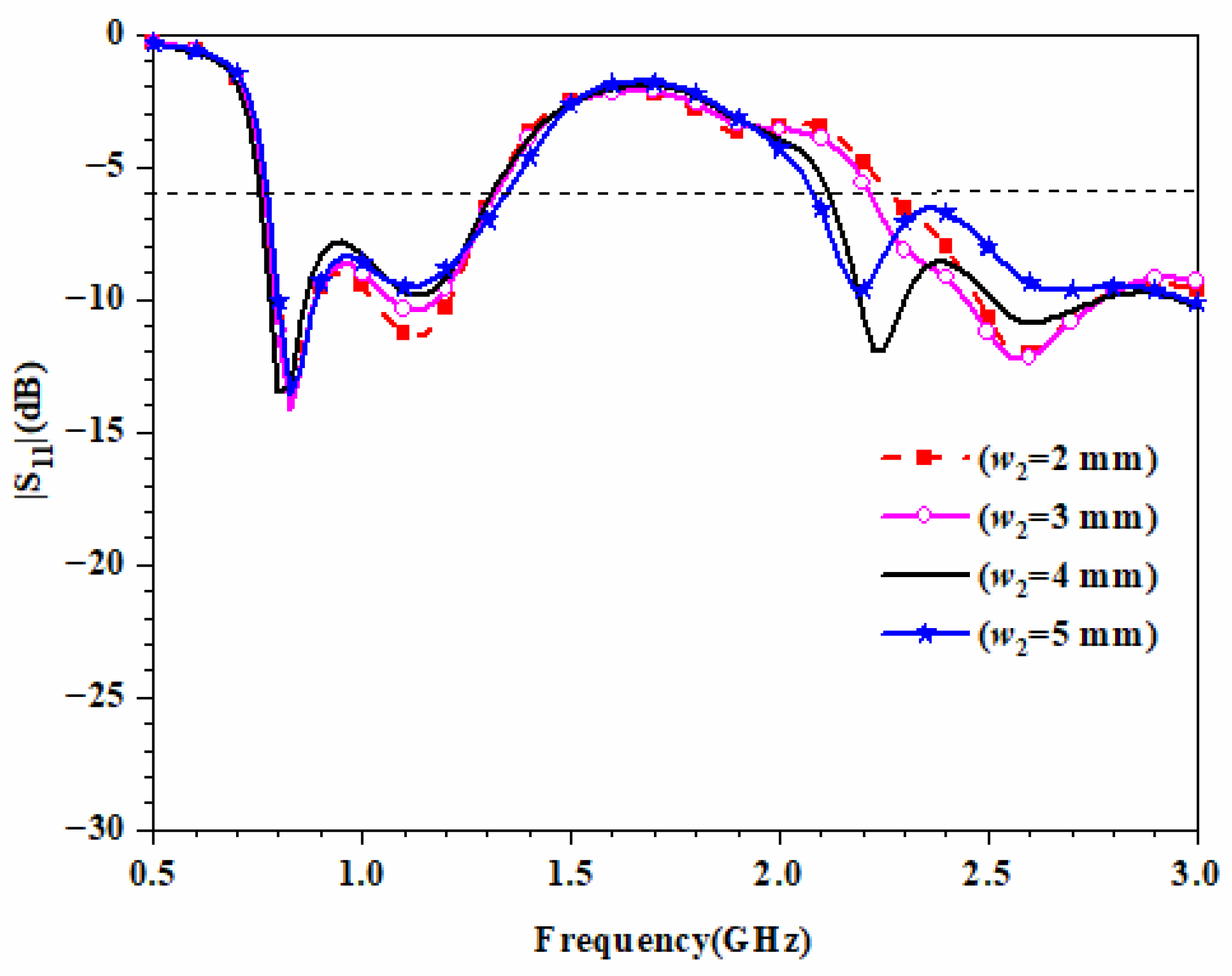
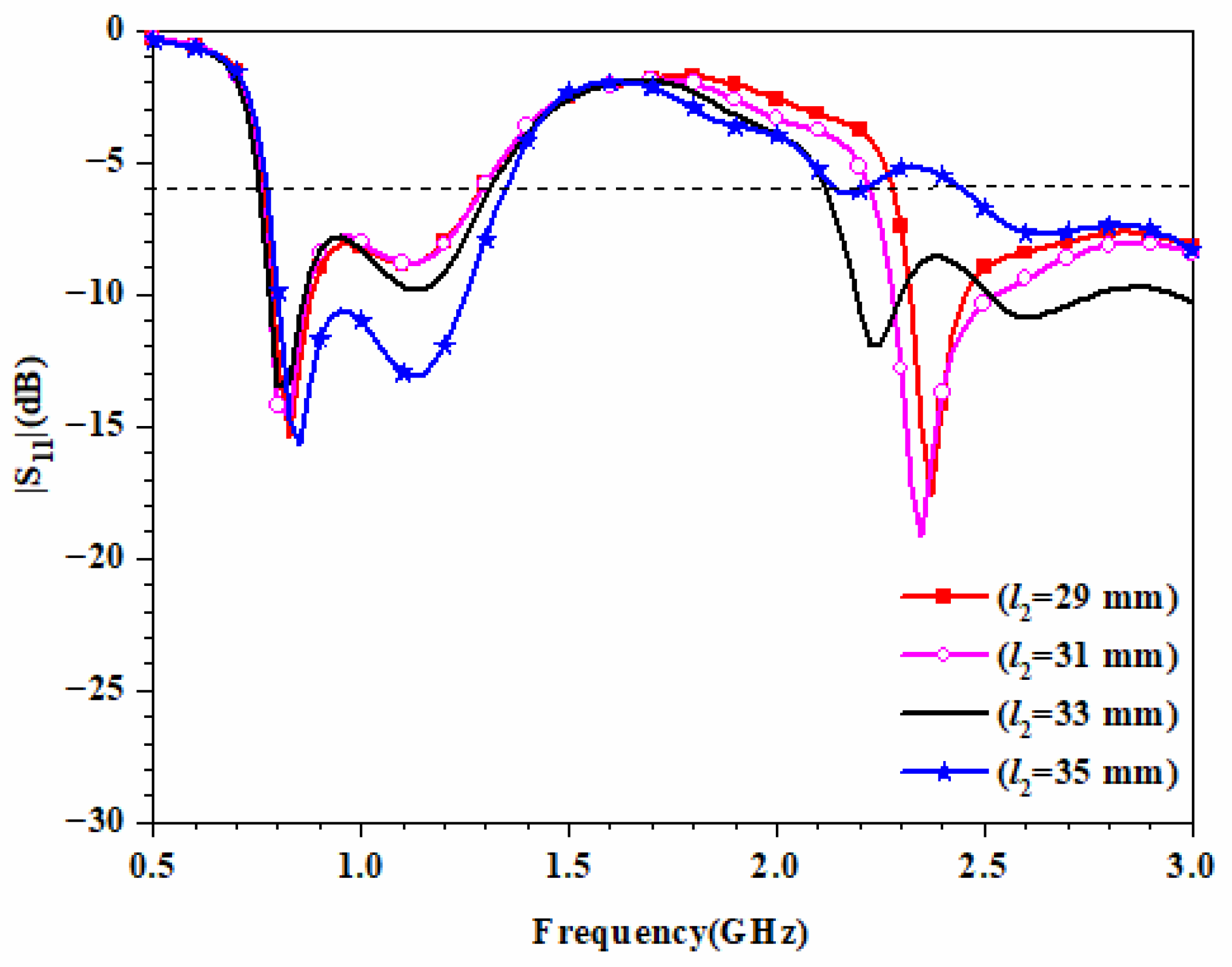
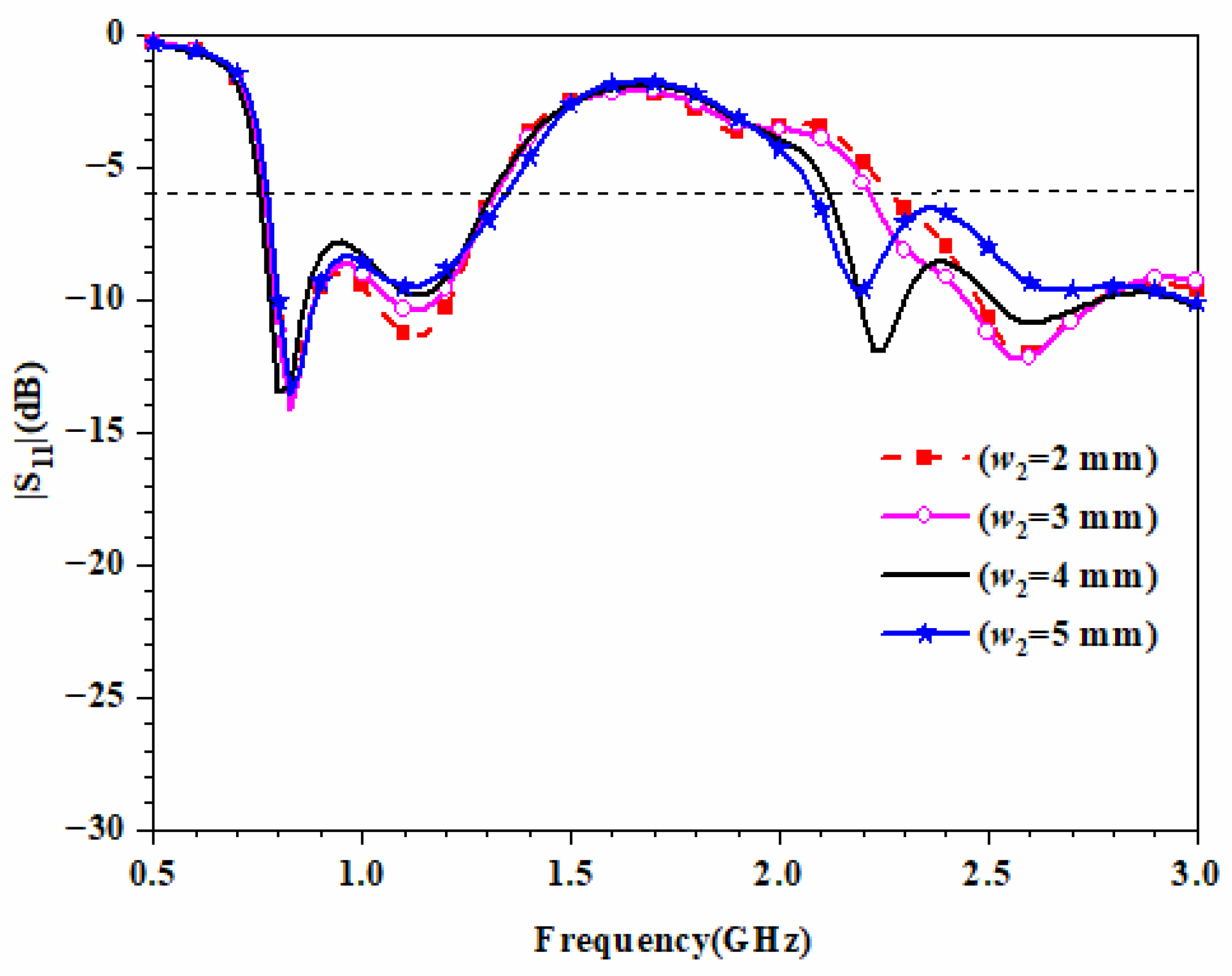
2. Design of Proposed Antenna without Ferrite Slab
3. Design and Measurement of Antennas with Ferrite Slabs
4. Conclusions
Author Contributions
Funding
Institutional Review Board Statement
Informed Consent Statement
Data Availability Statement
Conflicts of Interest
References
- Afshani, A.; Wu, K. Generalized theory of concurrent multimode reciprocal and, or nonreciprocal SIW ferrite devices. IEEE Trans. Microwa. Theory Techn. 2021, 69, 4406–4421. [Google Scholar] [CrossRef]
- Olivier, V.; Monediere, T.; Lenoir, B.; Turli, H.; Breuil, C.; Pouliguen, P.; Huitema, L. General coupling method for stripline ferrite circulators: Application on dual-band devices with complex central conductor shape. IEEE Trans. Microwa. Theory Techn. 2022, 70, 3486–3497. [Google Scholar] [CrossRef]
- Ren, H.; Xie, Y.; Wei, H.; Wu, P.; Dai, L. A novel circulator construction with high multipactor threshold and high isolation for aerospace applications. IEEE Trans. Plasma Sci. 2022, 50, 715–720. [Google Scholar] [CrossRef]
- Noferesti, M.; Djerafi, T. A tunable ferrite isolator for 30 GHz millimeter-wave applications. IEEE Trans. Magn. 2021, 57, 1–7. [Google Scholar] [CrossRef]
- Nafe, A.; Shamim, A. An integrable SIW phase shifter in a partially magnetized ferrite LTCC package. IEEE Trans. Microwa. Theory Techn. 2015, 63, 2264–2274. [Google Scholar] [CrossRef]
- Yang, G.; Sun, N.X. Tunable ultrawideband phase shifters with magnetodielectric disturber controlled by a piezoelectric transducer. IEEE Trans. Magn. 2014, 50, 1–4. [Google Scholar] [CrossRef]
- Du, S.; Yang, Q.; Wang, M.; Fan, X. A magnetically tunable bandpass filter with high out-of-band suppression. IEEE Trans. Magn. 2022, 58, 1–5. [Google Scholar] [CrossRef]
- Kagita, S.; Basu, A.; Koul, S.K. Characterization of LTCC-based ferrite tape in X-band and its application to electrically tunable phase shifter and notch filter. IEEE Trans. Magn. 2017, 53, 1–8. [Google Scholar] [CrossRef]
- Hasan, I.H.; Hamidon, M.N.; Ismail, A.; Ismail, I.; Mekki, A.S.; Kusaimi, M.A.M.; Azhari, S.; Osman, R. YIG thick film as substrate overlay for bandwidth enhancement of microstrip patch antenna. IEEE Access 2018, 6, 32601–32611. [Google Scholar] [CrossRef]
- Wang, B.; Yang, S.; Zhang, Z.; Chen, Y.; Qu, S.; Hu, J. A ferrite-loaded ultralow profile ultrawideband tightly coupled dipole array. IEEE Trans. Antennas Propag. 2022, 70, 1965–1975. [Google Scholar] [CrossRef]
- Xia, Q.; Su, H.; Zhang, T.; Li, J.; Shen, G.; Zhang, H.; Tang, X. Miniaturized terrestrial digital media broadcasting antenna based on low loss magneto-dielectric materials for mobile handset applications. J. Appl. Physics. 2012, 112, 043915. [Google Scholar] [CrossRef]
- Cheon, Y.; Lee, J.; Lee, J. Quad-band monopole antenna including LTE 700MHz with magneto-dielectric material. IEEE Antennas Wirel. Propag. Lett. 2012, 11, 137–140. [Google Scholar] [CrossRef]
- Park, B.-Y.; Jeong, M.-H.; Park, S.-O. A magneto-dielectric handset antenna for LTE, WWAN, GPS applications. IEEE Antennas Wirel. Propag. Lett. 2014, 13, 1482–1485. [Google Scholar] [CrossRef]
- Meng, Y.; Xiao, X.; Zong, W.-H.; Huang, Q.-Y.; Li, S.; Wang, J. A wideband antenna loaded with ferrite for mobile phone applications. In Proceedings of the International Applied Computational Electromagnetics Society Symposium, Suzhou, China, 1–4 August 2017; IEEE: New York, NY, USA. [Google Scholar]
- Shi, J.; Liu, H.; Wang, X.; Zhang, J.; Han, F.; Tang, X.; Wang, J. Miniaturized dual-resonant helix, spiral antenna system at MHz-band for FSK impulse radio intrabody communications. IEEE Trans. Antennas Propag. 2020, 68, 6566–6579. [Google Scholar] [CrossRef]
- Gu, W.; Luong, K.; Yao, Z.; Cui, H.; Wang, Y.E. Ferromagnetic resonance-enhanced electrically small antennas. IEEE Trans. Antennas Propag. 2021, 69, 8304–8314. [Google Scholar] [CrossRef]
- Shirkolaei, M.M.; Ghalibafan, J. Scannable leaky-wave antenna based on ferrite-blade waveguide operated below the cutoff frequency. IEEE Trans. Magn. 2021, 57, 1–10. [Google Scholar] [CrossRef]
- Zhu, J.; Xie, S.; Jin, C.; Liu, X.; Liu, H. Strategies for a high sensitivity ferrite-core RFID tag antenna using in oil well downhole applications. IEEE Trans. Magn. 2022, 58, 1–5. [Google Scholar] [CrossRef]
- Zhu, J.; Jin, C.; Liu, H. Mutual inductance modeling of two coaxial solenoid antennas with large ferrite core for underground RFID applications. IEEE Trans. Magn. 2021, 57, 1–4. [Google Scholar] [CrossRef]
- Huang, D.; Du, Z.; Wang, Y. An octa-band monopole antenna with a small nonground portion height for LTE, WLAN mobile phones. IEEE Trans. Antennas Propagat. 2017, 65, 878–882. [Google Scholar] [CrossRef]
- Deng, C.; Li, Y.; Zhang, Z.; Feng, Z. Planar printed multi-resonant antenna for octa-band WWAN, LTE mobile handset. IEEE Antennas Wirel. Propagat. 2015, 14, 1734–1737. [Google Scholar] [CrossRef]
- Yang, Y.; Zhao, Z.; Yang, W.; Nie, Z.; Liu, Q.-H. Compact multimode monopole antenna for metal-rimmed mobile phones. IEEE Trans. Antennas Propagat. 2017, 65, 2297–2304. [Google Scholar] [CrossRef]
- Chen, H.; Zhao, A. LTE antenna design for mobile phone with metal frame. IEEE Antennas Wirel. Propagat. 2016, 15, 1462–1465. [Google Scholar] [CrossRef]
- Lee, W.-W.; Hong, S. A multiband and wideband antenna using RF switch for mobile application. Microw. Opt. Technol. Lett. 2015, 57, 1491–1494. [Google Scholar] [CrossRef]
- Lee, S.W.; Sung, Y. Compact frequency reconfigurable antenna for LTE, WWAN mobile handset applications. IEEE Trans. Antennas Propagat. 2015, 63, 4572–4577. [Google Scholar] [CrossRef]
- Stanley, M.; Huang, Y.; Wang, H.; Zhou, H.; Tian, Z.; Xu, Q. A novel reconfigurable metal rim integrated open slot antenna for octa-band smartphone applications. IEEE Trans. Antennas Propag. 2017, 65, 3352–3363. [Google Scholar] [CrossRef]
- Zong, W.-H.; Yang, X.-M.; Li, S.-D.; Wei, X.-Y.; Hou, J.-C. Design and fabrication of a wideband slot antenna for handset applications. In Proceedings of the 2015 IEEE International RF and Microwave Conference, Kuching, Malaysia, 14–16 December 2015; pp. 161–165. [Google Scholar]













| Ferrite Position (mm) | Bandwidth with Ferrite Slab on the Ground Plane (GHz) | Bandwidth with Ferrite Slab on the Top Layer (GHz) |
|---|---|---|
| d = 0, t = 2.5 | 0.669–1.533, 1.69–5 | 0.743–5 |
| d = 10, t = 1.5 | 0.74–5 | 0.765–5 |
| d = 20, t = 1.5 | 0.73–5 | 0.763–5 |
| d = 30, t = 1.5 | 0.73–0.87, 1.16–1.47 | 0.764–1.07, 1.94–5 |
| d = 40, t = 1.5 | 0.73–0.84, 2.19–5 | 0.746–0.863, 2.12–5 |
| Without Ferrite Slab | 0.81–1.44, 2.3–5 | |
| Reference | Antenna Dimension (mm3) | Antenna Type | Bandwidth (GHz) | Gain | Efficiency |
|---|---|---|---|---|---|
| [11] | 52 × 8 × 3 | Helix | 0.173–0.202 | NA | NA |
| [12] | 18 × 8 × 3 | monopole | 0.698–0.751, 1.656–2.171 | >−1.67 | >33% |
| [13] | 35 × 15 × 4 | monopole | 0.745–0.973, 1.536–2.825 | NA | >47% |
| [14] | 59 × 14 × 2.8 | slot | 0.667–1.0, 1.09–1.24, 1.57–5 | NA | NA |
| Proposed | 59 × 12 × 2.8 | slot | 0.669–1.533, 1.69–5 | >−2.93 | NA |
Publisher’s Note: MDPI stays neutral with regard to jurisdictional claims in published maps and institutional affiliations. |
© 2022 by the authors. Licensee MDPI, Basel, Switzerland. This article is an open access article distributed under the terms and conditions of the Creative Commons Attribution (CC BY) license (https://creativecommons.org/licenses/by/4.0/).
Share and Cite
Li, P.; Zong, W.-H.; Jin, Z.; Yang, Z.; Qu, X.; Li, S. Bandwidth Enhancement of a Mobile Phone Antenna Using Ferrite Slab. Magnetochemistry 2022, 8, 141. https://doi.org/10.3390/magnetochemistry8110141
Li P, Zong W-H, Jin Z, Yang Z, Qu X, Li S. Bandwidth Enhancement of a Mobile Phone Antenna Using Ferrite Slab. Magnetochemistry. 2022; 8(11):141. https://doi.org/10.3390/magnetochemistry8110141
Chicago/Turabian StyleLi, Peng, Wei-Hua Zong, Zhejun Jin, Zhiqun Yang, Xiaoyun Qu, and Shandong Li. 2022. "Bandwidth Enhancement of a Mobile Phone Antenna Using Ferrite Slab" Magnetochemistry 8, no. 11: 141. https://doi.org/10.3390/magnetochemistry8110141
APA StyleLi, P., Zong, W.-H., Jin, Z., Yang, Z., Qu, X., & Li, S. (2022). Bandwidth Enhancement of a Mobile Phone Antenna Using Ferrite Slab. Magnetochemistry, 8(11), 141. https://doi.org/10.3390/magnetochemistry8110141

