Martensitic Transformation, Magnetic and Mechanical Characteristics in Unidirectional Ni–Mn–Sn Heusler Alloy
Abstract
1. Introduction
2. Materials and Methods
3. Results and Discussion
3.1. Microstructure and Crystal Structure
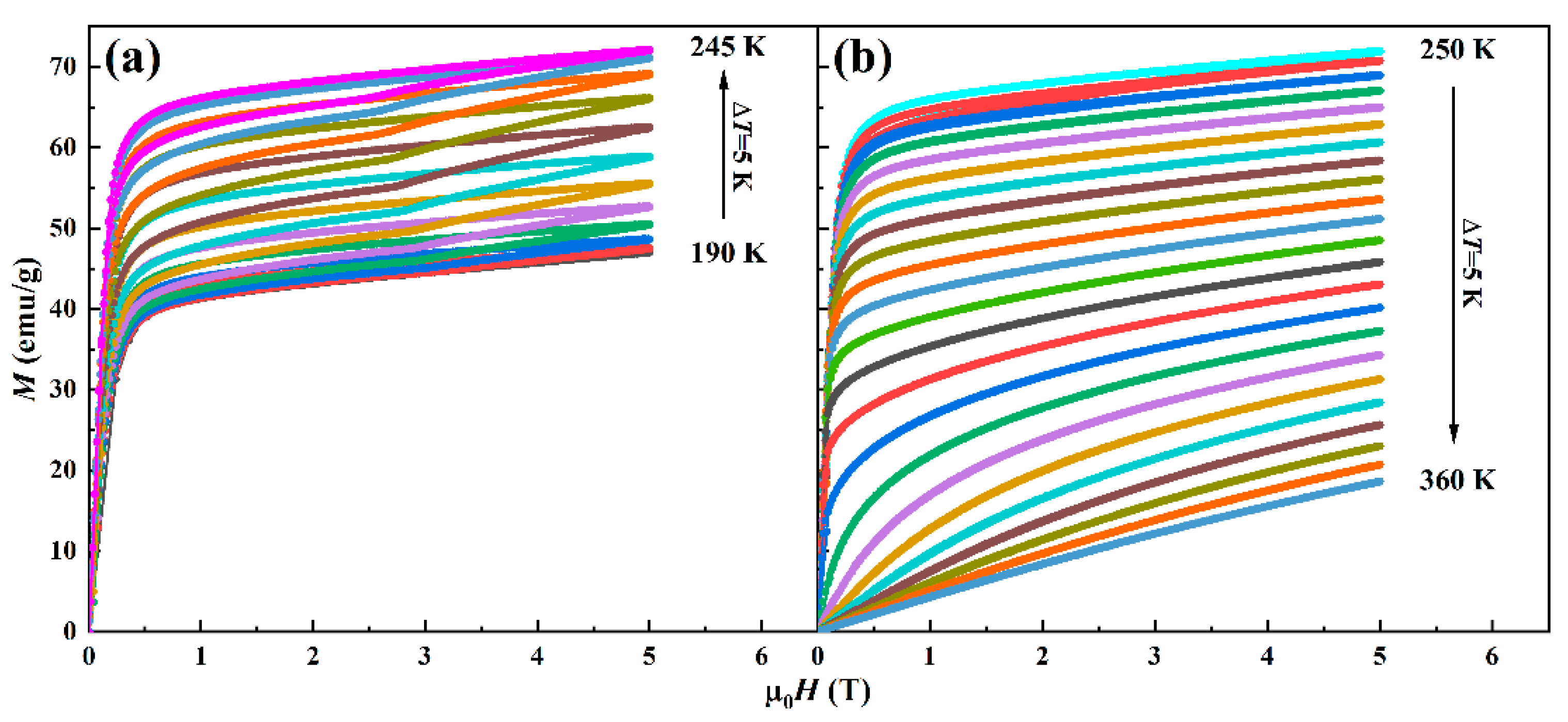
3.2. Magnetic Properties
3.3. Electrical Properties
3.4. Mechanical Properties
4. Conclusions
Author Contributions
Funding
Institutional Review Board Statement
Informed Consent Statement
Data Availability Statement
Conflicts of Interest
References
- Sutou, Y.; Imano, Y.; Koeda, N.; Omori, T.; Kainuma, R.; Ishida, K.; Oikawa, K. Magnetic and martensitic transformations of Ni-Mn-X (X = In, Sn, Sb) ferromagnetic shape memory alloys. Appl. Phys. Lett. 2004, 85, 4358–4360. [Google Scholar] [CrossRef]
- Planes, A.; Mañosa, L.; Acet, M. Magnetocaloric effect and its relation to shape-memory properties in ferromagnetic Heusler alloys. J. Phys. Condens. Matter 2009, 21, 233201. [Google Scholar] [CrossRef] [PubMed]
- Du, J.; Zheng, Q.; Ren, W.J.; Feng, W.J.; Liu, X.G.; Zhang, Z.D. Magnetocaloric effect and magnetic-field-induced shape recovery effect at room temperature in ferromagnetic Heusler alloy Ni-Mn-Sb. J. Phys. D Appl. Phys. 2007, 40, 5523–5526. [Google Scholar] [CrossRef]
- Wederni, A.; Ipatov, M.; Pineda, E.; Escoda, L.; González, J.M.; Khitouni, M.; Suñol, J.J. Martensitic transformation, thermal analysis and magnetocaloric properties of Ni-Mn-Sn-Pd alloys. Processes 2020, 8, 1582. [Google Scholar] [CrossRef]
- Dahal, B.; Huber, C.; Zhang, W.Y.; Valloppilly, S.; Huh, Y.; Kharel, P.; Sellmyer, D. Effect of partial substitution of In with Mn on the structural, magnetic, and magnetocaloric properties of Ni2Mn1+xIn1−x Heusler alloys. J. Phys. D Appl. Phys. 2019, 52, 425305. [Google Scholar] [CrossRef]
- Krenke, T.; Duman, E.; Acet, M.; Wassermann, E.F.; Moya, X.; Mañosa, L.; Planes, A. Inverse magnetocaloric effect in ferromagnetic Ni-Mn-Sn alloys. Nat. Mater. 2005, 4, 450–454. [Google Scholar] [CrossRef] [PubMed]
- Khan, M.; Dubenko, I.; Stadler, S.; Ali, N. Exchange bias in bulk Mn rich Ni-Mn-Sn Heusler alloys. J. Appl. Phys. 2007, 102, 113914. [Google Scholar] [CrossRef]
- Çakır, A.; Acet, M.; Farle, M. Exchange bias caused by field-induced spin reconfiguration in Ni-Mn-Sn. Phys. Rev. B 2016, 93, 094411. [Google Scholar] [CrossRef]
- Chabri, T.; Ghosh, K.; Mukherjee, D.; Nath, T.K. Role of interplay of austenite and martensite phase fractions on the magnetocaloric and magnetoresistance effects across the martensite transition in Ni45Mn44Sn7In4 Heusler alloy near room temperature. J. Appl. Phys. 2020, 128, 215106. [Google Scholar] [CrossRef]
- Chabria, T.; Barman, A.; Chatterjee, S.; Mollick, S.A.; Nath, T.K.; Mukherjee, D. Effects of transitional hysteresis on the large magnetocaloric and magnetoresistance properties of Ni-Mn-Co-Sn Heusler alloy. J. Alloys Compd. 2021, 863, 158485. [Google Scholar] [CrossRef]
- Li, L.W.; Yan, M. Recent progress in the development of RE2TMTM’O6 double perovskite oxides for cryogenic magnetic refrigeration. J. Mater. Sci. Technol. 2023, 136, 1–12. [Google Scholar] [CrossRef]
- Xu, P.; Hu, L.; Zhang, Z.Q.; Wang, H.F.; Li, L.W. Electronic structure, magnetic properties and magnetocaloric performance in rare earths (RE) based RE2BaZnO5 (RE = Gd, Dy, Ho, and Er) compounds. Acta Mater. 2022, 236, 118114. [Google Scholar] [CrossRef]
- Zhang, Y.K.; Li, S.; Hu, L.; Wang, X.H.; Li, L.W.; Yan, M. Excellent magnetocaloric performance in the carbide compounds RE2Cr2C3 (RE = Er, Ho, and Dy) and their composites. Mater. Today Phys. 2022, 27, 100786. [Google Scholar] [CrossRef]
- Zheng, H.X.; Wang, W.; Xue, S.C.; Zhai, Q.J.; Frenzel, J.; Luo, Z.P. Composition-dependent crystal structure and martensitic transformation in Heusler Ni-Mn-Sn alloys. Acta Mater. 2013, 61, 4648–4656. [Google Scholar] [CrossRef]
- Ameur, R.; Chemingui, M.; Bachaga, T.; Escoda, L.; Khitouni, M.; Suñol, J.J. Martensitic transformation and crystalline structure of Ni50Mn50-xSnx melt-spun Heusler Alloys. Crystals 2020, 10, 853. [Google Scholar] [CrossRef]
- Krenke, T.; Acet, M.; Wassermann, E.F. Martensitic transitions and the nature of ferromagnetism in the austenitic and martensitic states of Ni-Mn-Sn alloys. Phys. Rev. B 2005, 72, 014412. [Google Scholar] [CrossRef]
- Wang, B.M.; Liu, Y.; Ren, P.; Xia, B.; Ruan, K.B.; Yi, J.B.; Ding, J.; Li, X.G.; Wang, L. Large exchange bias after zero-field cooling from an unmagnetized state. Phys. Rev. Lett. 2011, 106, 077203. [Google Scholar] [CrossRef] [PubMed]
- Ma, L.; Wang, W.H.; Lu, J.B.; Li, J.Q.; Zhen, C.M.; Hou, D.L.; Wu, G.H. Coexistence of reentrant-spin-glass and ferromagnetic martensitic phases in the Mn2Ni1.6Sn0.4 Heusler alloy. Appl. Phys. Lett. 2011, 99, 182507. [Google Scholar] [CrossRef]
- Liao, P.; Jing, C.; Wang, X.L.; Yang, Y.J.; Zheng, D.; Li, Z.; Kang, B.J.; Deng, D.M.; Cao, S.X.; Zhang, J.C.; et al. Strongly enhanced antiferromagnetism and giant spontaneous exchange bias in Ni50Mn36Co4Sn10 Heusler alloy. Appl. Phys. Lett. 2014, 104, 092410. [Google Scholar] [CrossRef]
- Sharma, J.; Suresh, K.G. Observation of giant exchange bias in bulk Mn50Ni42Sn8 Heusler alloy. Appl. Phys. Lett. 2015, 106, 072405. [Google Scholar] [CrossRef]
- Wederni, A.; Ipatov, M.; Pineda, E.; Suñol, J.J.; Escoda, L.; Maria González, J.; Alleg, S.; Khitouni, M.; Żuberek, R.; Chumak, O.; et al. Magnetic properties, martensitic and magnetostructural transformations of ferromagnetic Ni-Mn-Sn-Cu shape memory alloys. Appl. Phys. A 2020, 126, 320. [Google Scholar] [CrossRef]
- Yang, J.J.; Li, Z.B.; Yang, B.; Yan, H.L.; Cong, D.Y.; Zhao, X.; Zuo, L. Effects of Co and Si co-doping on magnetostructural transformation and magnetocaloric effect in Ni-Mn-Sn based alloys. J. Alloys Compd. 2021, 892, 162190. [Google Scholar] [CrossRef]
- Wang, L.B.; Xuan, H.C.; Liu, S.L.; Cao, T.; Xie, Z.G.; Liang, X.H.; Chen, F.H.; Zhang, K.W.; Feng, L.; Han, P.D.; et al. Enhanced elastocaloric effect and mechanical properties of Gd-doped Ni-Mn-Sn-Gd ferromagnetic shape memory alloys. J. Alloys Compd. 2020, 846, 156313. [Google Scholar] [CrossRef]
- Qian, H.Y.; Dahal, B.; Halbritter, L.; Hu, J.; Huh, Y.; Kharel, P. Structural, magnetic and magnetocaloric properties of Ni43Mn46−xFexSn11 (x = 0, 6, 8, 10) alloys. AIP Adv. 2019, 9, 035005. [Google Scholar] [CrossRef]
- Wójcik, A.; Maziarz, W.; Szczerba, M.; Kowalczyk, M.; Cesari, E.; Dutkiewicz, J. Structure and inverse magnetocaloric effect in Ni-Co-Mn-Sn(Si) Heusler alloys. Intermetallics 2018, 100, 88–94. [Google Scholar] [CrossRef]
- Ghosh, A.; Mandal, K. Effect of structural disorder on the magnetocaloric properties of Ni-Mn-Sn alloy. Appl. Phys. Lett. 2014, 104, 031905. [Google Scholar] [CrossRef]
- Bachaga, T.; Zhang, J.; Ali, S.; Suñol, J.J.; Khitouni, M. Impact of annealing on martensitic transformation of Mn50Ni42.5Sn7.5 shape memory alloy. Appl. Phys. A 2019, 125, 146. [Google Scholar] [CrossRef]
- Żuberek, R.; Chumak, O.M.; Nabiałek, A.; Chojnacki, M.; Radelytskyi, I.; Szymczak, H. Magnetocaloric effect and magnetoelastic properties of NiMnGa and NiMnSn Heusler alloy thin films. J. Alloys Compd. 2018, 748, 1–5. [Google Scholar] [CrossRef]
- Ling, Y.C.; Hu, Y.; Wang, H.B.; Niu, B.; Chen, J.W.; Liu, R.B.; Yuan, Y.; Wang, G.Y.; Wu, D.; Xu, M.X.; et al. Strain control of phase transition and exchange bias in flexible Heusler alloy thin films. ACS Appl. Mater. Interfaces 2021, 13, 24285–24294. [Google Scholar] [CrossRef]
- Dadda, K.; Alleg, S.; Saurina, J.; Escoda, L.; Suñol, J.J. Structure, microstructure, and magnetic properties of melt spun Ni50Mn50-xInx ribbons. Magnetochemistry 2021, 7, 63. [Google Scholar] [CrossRef]
- Ullakko, K.; Huang, J.K.; Kantner, C.; O’Handley, R.C.; Kokorin, V.V. Large magnetic-field-induced strains in Ni2MnGa single crystals. Appl. Phys. Lett. 1996, 69, 1966. [Google Scholar] [CrossRef]
- Ren, J.; Li, H.W.; Yu, J.K.; Feng, S.T.; Zhai, Q.J.; Fu, J.X.; Luo, Z.P.; Zheng, H.X. Enhanced magnetocaloric effect in Heusler Ni-Mn-Sn unidirectional crystal. J. Alloys Compd. 2015, 634, 65–69. [Google Scholar] [CrossRef]
- Zhang, G.Y.; Li, Z.B.; Yang, J.J.; Yang, B.; Wang, D.H.; Zhang, Y.D.; Esling, C.; Hou, L.; Li, X.; Zhao, X.; et al. Giant elastocaloric effect in a Mn-rich Ni44Mn46Sn10 directionally solidified alloy. Appl. Phys. Lett. 2020, 116, 023902. [Google Scholar] [CrossRef]
- Niu, Y.R.; Chen, H.Y.; Zhang, X.Y.; Li, S.W.; Cong, D.Y.; Ma, T.Y.; Li, S.L.; Lin, J.P.; Wang, Y.D. Achieving excellent superelasticity and extraordinary elastocaloric effect in a directionally solidified Co-V-Ga alloy. Scr. Mater. 2021, 204, 114123. [Google Scholar] [CrossRef]
- Li, Z.Z.; Li, Z.B.; Li, D.; Yang, J.J.; Yang, B.; Hu, Y.; Wang, D.H.; Zhang, Y.D.; Esling, C.; Zhao, X.; et al. Achieving a broad refrigeration temperature region through the combination of successive caloric effects in a multiferroic Ni50Mn35In15 alloy. Acta Mater. 2020, 192, 52–59. [Google Scholar] [CrossRef]
- Li, Z.; Jing, C.; Chen, J.P.; Yuan, S.J.; Cao, S.X.; Zhang, J.C. Observation of exchange bias in the martensitic state of Ni50Mn36Sn14 Heusler alloy. Appl. Phys. Lett. 2007, 91, 112505. [Google Scholar] [CrossRef]
- Provenzano, V.; Shapiro, A.J.; Shull, R.D. Reduction of hysteresis losses in the magnetic refrigerant Gd5Ge2Si2 by the addition of iron. Nature 2004, 429, 853–857. [Google Scholar] [CrossRef]
- Zhang, Y.; Zheng, Q.; Xia, W.X.; Zhang, J.; Du, J.; Yan, A. Enhanced large magnetic entropy change and adiabatic temperature change of Ni43Mn46Sn11 alloys by a rapid solidification method. Scr. Mater. 2015, 104, 41–44. [Google Scholar] [CrossRef]
- Huang, L.; Cong, D.Y.; Ma, L.; Nie, Z.H.; Wang, Z.L.; Suo, H.L.; Ren, Y.; Wang, Y.D. Large reversible magnetocaloric effect in a Ni-Co-Mn-In magnetic shape memory alloy. Appl. Phys. Lett. 2016, 108, 032405. [Google Scholar] [CrossRef]
- Kavita, S.; Ramakrishna, V.V.; Behara, S.; Suganthi, S.; Kar, D.N.; Thomas, T.; Ramesh, T.; Sethupathi, K.; Gopalan, R. Investigation of magnetocaloric and mechanical properties of Ni49-xMn39Sb12Cox alloys. J. Alloys Compd. 2020, 847, 156558. [Google Scholar] [CrossRef]
- Varzaneh, A.G.; Kameli, P.; Amiri, T.; Ramachandran, K.K.; Mar, A.; Sarsari, I.A.; Luo, J.L.; Etsell, T.H.; Salamati, H. Effect of Cu substitution on magnetocaloric and critical behavior in Ni47Mn40Sn13−xCux alloys. J. Alloys Compd. 2017, 708, 34–42. [Google Scholar] [CrossRef]
- Zhang, H.H.; Qian, M.F.; Zhang, X.X.; Jiang, S.D.; Wei, L.S.; Xing, D.W.; Sun, J.F.; Geng, L. Magnetocaloric effect of Ni-Fe-Mn-Sn microwires prepared by melt-extraction technique. Mater. Des. 2017, 114, 1–9. [Google Scholar] [CrossRef]
- Saha, R.; Nigam, A.K. Room temperature inverse magnetocaloric effect in Pd substituted Ni50Mn37Sn13 Heusler alloys. Physics B 2014, 448, 263–266. [Google Scholar] [CrossRef]
- Jing, C.; Yang, Y.J.; Li, Z.; Wang, X.L.; Kang, B.J.; Cao, S.X.; Zhang, J.C.; Zhu, J.; Lu, B. Tuning martensitic transformation and large magnetoresistance in Ni50-xCuxMn38Sn12 Heusler alloys. J. Appl. Phys. 2013, 113, 173902. [Google Scholar] [CrossRef]
- Zhang, B.; Zhang, X.X.; Yu, S.Y.; Chen, J.L.; Cao, Z.X.; Wu, G.H. Giant magnetothermal conductivity in the Ni-Mn-In ferromagnetic shape memory alloys. Appl. Phys. Lett. 2007, 91, 012510. [Google Scholar] [CrossRef]
- Sechovský, V.; Havela, L.; Prokeš, K.; Nakotte, H.; de Boer, F.R.; Brück, E. Giant magnetoresistance effects in intermetallic compounds (invited). J. Appl. Phys. 1994, 76, 6913. [Google Scholar] [CrossRef]
- Singh, S.; Biswas, C. Magnetoresistance origin in martensitic and austenitic phases of Ni2Mn1+xSn1−x. Appl. Phys. Lett. 2011, 98, 212101. [Google Scholar] [CrossRef]
- Tan, C.L.; Zhang, K.; Tian, X.H.; Cai, W. Effect of Gd addition on microstructure, martensitic transformation and mechanical properties of Ni50Mn36Sn14 ferromagnetic shape memory alloy. J. Alloys Compd. 2017, 692, 288–293. [Google Scholar] [CrossRef]
- Liu, K.; Yuan, Y.; Ma, S.C.; Feng, G.F.; Wan, D.J.; Wang, S.B.; Chen, C.C.; Luo, X.H.; Zhong, Z.C. Large elastocaloric effect around room temperature in directionally solidified Co49Fe3V33Ga15 superelastic alloy. J. Alloys Compd. 2021, 884, 161094. [Google Scholar] [CrossRef]
- Huang, Y.J.; Hu, Q.D.; Bruno, N.M.; Chen, J.H.; Karaman, I.; Ross, J.H.; Li, J.G. Giant elastocaloric effect in directionally solidified Ni-Mn-In magnetic shape memory alloy. Scr. Mater 2015, 105, 42–45. [Google Scholar] [CrossRef]
- Chen, H.Y.; Wang, Y.D.; Nie, Z.H.; Li, R.G.; Cong, D.Y.; Liu, W.J.; Ye, F.; Liu, Y.Z.; Cao, P.Y.; Tian, F.Y.; et al. Unprecedented non-hysteretic superelasticity of [001]-oriented NiCoFeGa single crystals. Nat. Mater. 2020, 19, 712–718. [Google Scholar] [CrossRef] [PubMed]
- Shen, Y.; Sun, W.; Wei, Z.Y.; Shen, Q.; Zhang, Y.F.; Liu, J. Orientation dependent elastocaloric effect in directionally solidified Ni-Mn-Sn alloys. Scr. Mater. 2019, 163, 14–18. [Google Scholar] [CrossRef]
- Zhao, D.W.; Liu, J.; Feng, Y.; Sun, W.; Yan, A. Giant elastocaloric effect and its irreversibility in [001]-oriented Ni45Mn36.5In13.5Co5 meta-magnetic shape memory alloys. Appl. Phys. Lett. 2017, 110, 021906. [Google Scholar] [CrossRef]









Publisher’s Note: MDPI stays neutral with regard to jurisdictional claims in published maps and institutional affiliations. |
© 2022 by the authors. Licensee MDPI, Basel, Switzerland. This article is an open access article distributed under the terms and conditions of the Creative Commons Attribution (CC BY) license (https://creativecommons.org/licenses/by/4.0/).
Share and Cite
Sun, H.; Jing, C.; Zeng, H.; Su, Y.; Yang, S.; Zhang, Y.; Bachagha, T.; Zhou, T.; Hou, L.; Ren, W. Martensitic Transformation, Magnetic and Mechanical Characteristics in Unidirectional Ni–Mn–Sn Heusler Alloy. Magnetochemistry 2022, 8, 136. https://doi.org/10.3390/magnetochemistry8100136
Sun H, Jing C, Zeng H, Su Y, Yang S, Zhang Y, Bachagha T, Zhou T, Hou L, Ren W. Martensitic Transformation, Magnetic and Mechanical Characteristics in Unidirectional Ni–Mn–Sn Heusler Alloy. Magnetochemistry. 2022; 8(10):136. https://doi.org/10.3390/magnetochemistry8100136
Chicago/Turabian StyleSun, Haodong, Chao Jing, Hui Zeng, Yuan Su, Siyuan Yang, Yuanlei Zhang, Tarek Bachagha, Ting Zhou, Long Hou, and Wei Ren. 2022. "Martensitic Transformation, Magnetic and Mechanical Characteristics in Unidirectional Ni–Mn–Sn Heusler Alloy" Magnetochemistry 8, no. 10: 136. https://doi.org/10.3390/magnetochemistry8100136
APA StyleSun, H., Jing, C., Zeng, H., Su, Y., Yang, S., Zhang, Y., Bachagha, T., Zhou, T., Hou, L., & Ren, W. (2022). Martensitic Transformation, Magnetic and Mechanical Characteristics in Unidirectional Ni–Mn–Sn Heusler Alloy. Magnetochemistry, 8(10), 136. https://doi.org/10.3390/magnetochemistry8100136

