Multifunctional Synergistic Response Induced by Phase Transition in Molecular Compounds
Abstract
1. Introduction
2. Materials and Methods
2.1. Materials
2.2. Synthesis of (TMAA)2[CoCl4] (1)
2.3. Synthesis of (TMAA)2[MnCl4] (2)
2.4. X-Ray Single-Crystal Structure Determination
3. Results and Discussion
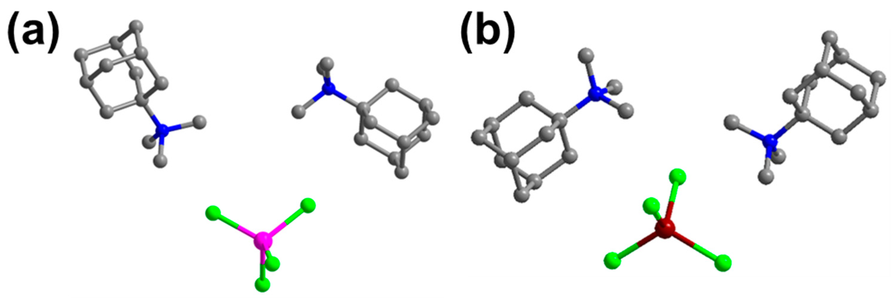
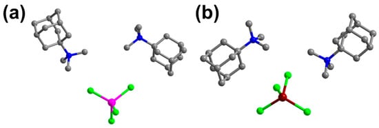
3.1. Structural Description
3.2. Magnetic Properties
3.3. Dielectric Properties
4. Conclusions
Supplementary Materials
Author Contributions
Funding
Institutional Review Board Statement
Informed Consent Statement
Data Availability Statement
Acknowledgments
Conflicts of Interest
References
- Sato, O. Dynamic molecular crystals with switchable physical properties. Nat. Chem. 2016, 8, 644–656. [Google Scholar] [CrossRef] [PubMed]
- Wang, J.; Neaton, J.B.; Zheng, H.; Nagarajan, V.; Ogale, S.B.; Liu, B.; Vihland, D.; Vaithyanathan, V.; Schlom, D.G.; Waghmare, U.V.; et al. Epitaxial BiFeO3 Multiferroic Thin Film. Heterostruct. Sci. 2003, 299, 1719–1722. [Google Scholar]
- Fiebig, M.; Lottermoser, T.; Meier, D.; Trassin, M. The evolution of multiferroics. Nat. Rev. Mater. 2016, 1, 16046. [Google Scholar] [CrossRef]
- Feng, Z.W.; Shi, T.; Geng, G.Z.; Li, J.J.; Deng, Z.L.; Kivshar, Y.; Li, X.P. Dual-band polarized upconversion photoluminescence enhanced by resonant dielectric metasurfaces. eLight 2023, 3, 21. [Google Scholar] [CrossRef]
- Sun, B.; Liu, X.F.; Li, X.Y.; Cao, Y.; Yan, Z.; Fu, L.; Tang, N.J.; Wang, Q.; Shao, X.F.; Yang, D.Z.; et al. Reversible Thermochromism and Strong Ferromagnetism in Two-Dimensional Hybrid Perovskites. Angew. Chem. Int. Ed. 2020, 59, 203–208. [Google Scholar] [CrossRef]
- Liu, J.Y.; Zhang, S.Y.; Zeng, Y.; Shu, X.; Du, Z.Y.; He, C.T.; Zhang, W.X.; Chen, X.M. Molecular Dynamics, Phase Transition and Frequency-Tuned Dielectric Switch of an Ionic Co-Crystal. Angew. Chem. Int. Ed. 2018, 130, 8164–8168. [Google Scholar] [CrossRef]
- Jia, Z.H.; Liu, J.Y.; Liu, D.X.; Zhang, S.Y.; Du, Z.Y.; He, C.T.; Zhang, W.X.; Chen, X.M. Four-step thermosensitive dielectric response arising from motionable low-symmetry ammonium confined in deformable supramolecular cages. J. Mater. Chem. C 2021, 9, 8076–8082. [Google Scholar] [CrossRef]
- Wang, C.F.; Wang, N.; Shi, C.; Ye, H.Y.; Zhang, Y.; Miao, L.P. NH4+/K+-substitution-induced C–F–K coordination bonds for designing the highest-temperature hybrid halide double perovskite ferroelastic. Chin. Chem. Lett. 2023, 34, 107774. [Google Scholar] [CrossRef]
- Wang, C.F.; Wang, N.; Liu, L.; Miao, L.P.; Ye, H.Y.; Zhang, Y.; Shi, C. Enantiomeric hybrid high-temperature multiaxial ferroelectrics with a narrow bandgap and high piezoelectricity. Chin. Chem. Lett. 2023, 34, 108051. [Google Scholar] [CrossRef]
- Liu, S.M.; He, L.; Wang, Y.Z.; Shi, P.P.; Ye, Q. Tunable phase transition, band gap and SHG properties by halogen replacement of hybrid perovskites [(thiomorpholinium)PbX3, X = Cl, Br, I]. Chin. Chem. Lett. 2022, 33, 1032–1036. [Google Scholar] [CrossRef]
- Garcia, V.; Bibes, M. Inside story of ferroelectric memories. Nature 2012, 483, 279–280. [Google Scholar] [CrossRef] [PubMed]
- Harada, J.; Kawamura, Y.; Takahashi, Y.; Uemura, Y.; Hasegawa, T.; Taniguchi, H.; Maruyama, K. Plastic/Ferroelectric Crystals with Easily Switchable Polarization: Low-Voltage Operation, Unprecedentedly High Pyroelectric Performance, and Large Piezoelectric Effect in Polycrystalline Forms. J. Am. Chem. Soc. 2019, 141, 9349–9357. [Google Scholar] [CrossRef] [PubMed]
- Liao, W.Q.; Zeng, Y.L.; Tang, Y.Y.; Peng, H.; Liu, J.C.; Xiong, R.G. Multichannel Control of Multiferroicity in Single Component Homochiral Organic Crystals. J. Am. Chem. Soc. 2021, 143, 21685–21693. [Google Scholar] [CrossRef] [PubMed]
- Liu, K.; Ouyang, B.; Guo, X.J.; Liu, Y. Advances in flexible organic field-effect transistors and their applications for flexible electronics. Npj Flex. Electron. 2022, 6, 1. [Google Scholar] [CrossRef]
- Liu, Y.; Wang, S.; Chen, Z.J.; Xiao, L.X. Applications of ferroelectrics in photovoltaic devices. Sci. China Mater. 2016, 59, 851. [Google Scholar] [CrossRef]
- Tang, Y.Y.; Li, P.F.; Liao, W.Q.; Shi, P.P.; You, Y.M.; Xiong, R.G. Multiaxial Molecular Ferroelectric Thin Films Bring Light to Practical Applications. J. Am. Chem. Soc. 2018, 140, 8051–8059. [Google Scholar] [CrossRef]
- Wei, X.K.; Domingo, N.; Sun, Y.; Balke, N.; Dunin-Borkowski, R.E.; Mayer, J. Progress on Emerging Ferroelectric Materials for Energy Harvesting, Storage and Conversion. Adv. Energy Mater. 2022, 12, 2201199. [Google Scholar] [CrossRef]
- Zhang, W.; Xiong, R.G. Ferroelectric Metal–Organic Frameworks. Chem. Rev. 2012, 112, 1163–1195. [Google Scholar] [CrossRef]
- Horiuchi, S.; Tokura, Y. Organic ferroelectrics. Nat. Mater. 2008, 7, 357–366. [Google Scholar] [CrossRef]
- Gui, L.A.; Chen, J.W.; Zhang, Y.F.; Li, L.H.; Li, J.R.; Hu, Z.B.; Zhang, S.Y.; Zhang, J.L.; Zhang, Z.Y.; Ye, H.Y.; et al. Room-temperature Magnetocapacitance Spanning 97 K Hysteresis in Molecular Material. Angew. Chem. Int. Ed. 2025, 64, e202416380. [Google Scholar] [CrossRef]
- Gui, L.A.; Zhang, Y.F.; Peng, Y.; Hu, Z.B.; Song, Y. Synergetic Responses of Multiple Functions Induced by Phase Transition in Molecular Materials. ChemPhysChem 2024, 25, e202400297. [Google Scholar] [CrossRef] [PubMed]
- Zhang, Z.X.; Zhang, T.; Shi, P.P.; Zhang, W.Y.; Ye, Q.; Fu, D.W. Exploring high-performance integration in a plastic crystal/film with switching and semiconducting behavior. Inorg. Chem. Front. 2020, 7, 1239–1249. [Google Scholar] [CrossRef]
- Gao, Y.F.; Zhang, Z.X.; Zhang, T.; Su, C.Y.; Zhang, W.Y.; Fu, D.W. Regulated molecular rotor in phase transition materials with switchable dielectric and SHG effect. Mater. Chem. Front. 2020, 4, 3003–3012. [Google Scholar] [CrossRef]
- Li, X.Q.; Li, D.; Peng, Y.; Liu, Y.; Wang, J.Q.; Li, L.N.; Yao, Y.P.; Liu, X.T.; Luo, J.H. Exploring a layered iodide perovskite crystal with centimetered dimension for extended spectral polarization-sensitive photodetection. J. Mater. Chem. C 2021, 9, 9499–9504. [Google Scholar] [CrossRef]
- Jia, J.H.; Li, Q.W.; Chen, Y.C.; Liu, J.L.; Tong, M.L. Luminescent single-molecule magnets based on lanthanides: Design strategies, recent advances and magneto-luminescent studies. Coord. Chem. Rev. 2019, 378, 365–381. [Google Scholar] [CrossRef]
- Liu, K.; Zhang, X.J.; Meng, X.X.; Shi, W.; Cheng, P.; Powell, A.K. Constraining the coordination geometries of lanthanide centers and magnetic building blocks in frameworks: A new strategy for molecular nanomagnets. Chem. Soc. Rev. 2016, 45, 2423–2439. [Google Scholar] [CrossRef]
- Zhang, Z.X.; Su, C.Y.; Li, J.; Song, X.J.; Fu, D.W.; Zhang, Y. Ferroelastic Hybrid Bismuth Bromides with Dual Dielectric Switches. Chem. Mater. 2021, 33, 5790–5799. [Google Scholar] [CrossRef]
- Su, C.Y.; Lun, M.M.; Chen, Y.D.; Zhou, Y.C.; Zhang, Z.X.; Chen, M.; Huang, P.Z.; Fu, D.W.; Zhang, Y. Hybrid Optical-Electrical Perovskite Can Be a Ferroelastic Semiconductor. CCS Chem. 2022, 4, 2009–2019. [Google Scholar] [CrossRef]
- Zhang, S.Y.; Shu, X.; Zeng, Y.; Liu, Q.Y.; Du, Z.Y.; He, C.T.; Zhang, W.X.; Chen, X.M. Molecule-based nonlinear optical switch with highly tunable on-off temperature using a dual solid solution approach. Nat. Commun. 2020, 11, 2752. [Google Scholar] [CrossRef]
- Gao, F.F.; Li, X.; Qin, Y.; Li, Z.G.; Guo, T.M.; Zhang, Z.Z.; Su, G.D.; Jiang, C.Y.; Azeem, M.; Li, W.; et al. Dual-Stimuli-Responsive Photoluminescence of Enantiomeric Two-Dimensional Lead Halide Perovskites. Adv. Opt. Mater. 2021, 9, 2100003. [Google Scholar] [CrossRef]
- Liu, X.L.; Li, D.; Zhao, H.X.; Dong, X.W.; Long, L.S.; Zheng, L.S. Inorganic–Organic Hybrid Molecular Materials: From Multiferroic to Magnetoelectric. Adv. Mater. 2021, 33, 2004542. [Google Scholar] [CrossRef] [PubMed]
- Tang, Y.Y.; Wang, Z.X.; Li, P.F.; You, Y.M.; Stroppa, A.; Xiong, R.G. Brilliant triboluminescence in a potential organic–inorganic hybrid ferroelectric: (Ph3PO)2MnBr2. Inorg. Chem. Front. 2017, 4, 154–159. [Google Scholar] [CrossRef]
- Jin, W.H.; Lu, H.H.; Zhang, Q.; Qu, D.H. A dual-mode orthogonally tunable fluorescent system covering the whole white light region. Mater. Chem. Front. 2020, 4, 532–536. [Google Scholar] [CrossRef]
- Wang, Z.P.; Zhang, Z.Z.; Tao, L.Q.; Shen, N.N.; Hu, B.; Gong, L.K.; Li, J.R.; Chen, X.P.; Huang, X.Y. Hybrid Chloroantimonates(III): Thermally Induced Triple-Mode Reversible Luminescent Switching and Laser-Printable Rewritable Luminescent Paper. Angew. Chem. Int. Ed. 2019, 58, 9974–9978. [Google Scholar] [CrossRef]
- Li, J.; Xu, C.; Zhang, W.Y.; Shi, P.P.; Ye, Q.; Fu, D.W. Smart and efficient opto-electronic dual response material based on two-dimensional perovskite crystal/thin film. J. Mater. Chem. C 2020, 8, 1953–1961. [Google Scholar] [CrossRef]
- Morita, H.; Tsunashima, R.; Nishihara, S.; Inoue, K.; Omura, Y.; Suzuki, Y.; Kawamata, J.; Hoshino, N.; Akutagawa, T. Ferroelectric Behavior of a Hexamethylenetetramine-Based Molecular Perovskite Structure. Angew. Chem. Int. Ed. 2019, 58, 9184–9187. [Google Scholar] [CrossRef]
- Zhang, Y.F.; Gui, L.A.; Peng, Y.; Hu, Z.B.; Song, Y. Perspective on room temperature and low-field-induced magnetoelectric coupling in molecular complexes. Dalton Trans. 2025, 54, 881–888. [Google Scholar] [CrossRef]
- Clark, J.B.; Hastie, J.W.; Kihlborg, L.H.E.; Metselaar, R.; Thackeray, M.M. Definitions of terms relating to phase transitions of the solid state. Pure Appl. Chem. 1994, 66, 577–594. [Google Scholar] [CrossRef]
- Shi, C.; Han, X.B.; Zhang, W. Structural phase transition-associated dielectric transition and ferroelectricity in coordination compounds. Coord. Chem. Rev. 2019, 378, 561–576. [Google Scholar] [CrossRef]
- Du, Z.Y.; Xu, T.T.; Huang, B.; Su, Y.J.; Xue, W.; He, C.T.; Zhang, W.X.; Chen, X.M. Switchable Guest Molecular Dynamics in a Perovskite-Like Coordination Polymer toward Sensitive Thermoresponsive Dielectric Materials. Angew. Chem. Int. Ed. 2015, 12, 928–932. [Google Scholar] [CrossRef]
- Muhammad; Lim, C.W. From Photonic Crystals to Seismic Metamaterials: A Review via Phononic Crystals and Acoustic Metamaterials. Arch. Comput. Method. E 2022, 29, 1137–1198. [Google Scholar] [CrossRef]
- Nishita, M.; Park, S.Y.; Nishio, T.; Kamizaki, K.; Wang, K.; Takumi, T.; Hashimoto, R.; Otani, H.; Pazour, G.J.; Hsu, V.W.; et al. Ror2 signaling regulates Golgi structure and transport through IFT20 for tumor invasiveness. Sci. Rep. 2017, 7, 1. [Google Scholar] [CrossRef] [PubMed]
- Sen, A.; Swain, D.; Guru Row, T.N.; Sundaresan, A. Unprecedented 30 K hysteresis across switchable dielectric and magnetic properties in a bright luminescent organic-inorganic halide (CH6N3)2MnCl4. J. Mater. Chem. C 2019, 7, 4838–4845. [Google Scholar] [CrossRef]
- Zhang, Y.; Ye, H.Y.; Cai, H.L.; Fu, D.W.; Ye, Q.; Zhang, W.; Zhou, Q.H.; Wang, J.L.; Yuan, G.L.; Xiong, R.G. Switchable Dielectric, Piezoelectric, and Second-Harmonic Generation Bistability in a New Improper Ferroelectric above Room Temperature. Adv. Mater. 2014, 26, 4515. [Google Scholar] [CrossRef]
- Schmid, H. Some symmetry aspects of ferroics and single phase multiferroics. J. Phys. Condens. Matter. 2008, 20, 434201. [Google Scholar] [CrossRef]
- Spaldin, N.A.; Fiebig, M.; Mostovoy, M. The toroidal moment in condensed-matter physics and its relation to the magnetoelectric effect. J. Phys. Condens. Matter. 2008, 20, 434203. [Google Scholar] [CrossRef]
- Yao, H.Q.; Ding, Z.J.; Zhang, S.Y.; Wu, Y.F.; Qiu, X.; Peng, Y.; Ye, H.Y.; Hu, Z.B. High temperature synergistic response of magnetism, dielectricity, and luminescence in a Mn(II)-based molecular organic–inorganic hybrid. CrystEngComm 2024, 26, 1767–1772. [Google Scholar] [CrossRef]
- Yao, H.Q.; Li, L.H.; Zhang, S.Y.; Peng, Y.; Liu, S.J.; Wen, H.R.; Zhang, J.L.; Ye, H.Y.; Song, Y.; Hu, Z.B. Near-Room-Temperature Synergetic Response of Magnetism, Dielectricity and Luminescence Based on (C5NH13Cl)2MnBr4. Chem. Eur. J. 2023, 29, e202300598. [Google Scholar] [CrossRef]
- Cheng, Y.; Ruan, H.P.; Peng, Y.; Li, L.H.; Xie, Z.Q.; Liu, L.; Zhang, S.Y.; Ye, H.Y.; Hu, Z.B. Magnetic, dielectric and luminescence synergetic switchable effects in molecular material [Et3NCH2Cl]2[MnBr4]. Chin. Chem. Let. 2024, 35, 108554. [Google Scholar] [CrossRef]
- Zhao, X.H.; Huang, X.C.; Zhang, S.L.; Shao, D.; Wei, H.Y.; Wang, X.Y. Cation-Dependent Magnetic Ordering and Room-Temperature Bistability in Azido-Bridged Perovskite-Type Compounds. J. Am. Chem. Soc. 2013, 135, 16006–16009. [Google Scholar] [CrossRef]
- Du, S.N.; Su, D.; Ruan, Z.Y.; Zhou, Y.Q.; Deng, W.; Zhang, W.X.; Sun, Y.; Liu, J.L.; Tong, M.L. Reversible Switchability of Magnetic Anisotropy and Magnetodielectric Effect Induced by Intermolecular Motion. Angew. Chem. Int. Ed. 2022, 61, e202204700. [Google Scholar] [CrossRef] [PubMed]
- Shao, T.; Ren, R.Y.; Huang, P.Z.; Ni, H.F.; Su, C.Y.; Fu, D.W.; Xie, L.Y.; Lu, H.F. Metal ion modulation triggers dielectric double switching and green fluorescence in A2MX4-type compounds. Dalton Trans. 2022, 51, 2005–2011. [Google Scholar] [CrossRef] [PubMed]
- Hu, Z.B.; Gui, L.A.; Li, L.H.; Xiao, T.T.; Hand, A.T.; Tin, P.; Ozerov, M.; Peng, Y.; Ouyang, Z.; Wang, Z.; et al. CoII Single-ion Magnet and its Multi-dimensional Aggregations: Influence of the Structural Rigidity on Magnetic Relaxation Process. Chin. Chem. Lett. 2025, 36, 109600. [Google Scholar] [CrossRef]
- Li, L.H.; Peng, Y.; Zhang, S.; Xiao, T.; Song, Y.; Ye, H.Y.; Zhang, J.; Zhang, Y.Q.; Wang, Z.; Hu, Z.B. Subtle changes Effect on Slow Relaxation Behaviour of Co(II) Ions Based Metal Organic Frameworks. Cryst. Growth Des. 2023, 23, 2099–2105. [Google Scholar] [CrossRef]
- Chilton, N.F.; Anderson, R.P.; Turner, L.D.; Soncini, A.; Murray, K.S. PHI: A powerful new program for the analysis of anisotropic monomeric and exchange-coupled polynuclear d- and f-block complexes. J. Comput. Chem. 2013, 34, 1164–1175. [Google Scholar] [CrossRef]





Disclaimer/Publisher’s Note: The statements, opinions and data contained in all publications are solely those of the individual author(s) and contributor(s) and not of MDPI and/or the editor(s). MDPI and/or the editor(s) disclaim responsibility for any injury to people or property resulting from any ideas, methods, instructions or products referred to in the content. |
© 2025 by the authors. Licensee MDPI, Basel, Switzerland. This article is an open access article distributed under the terms and conditions of the Creative Commons Attribution (CC BY) license (https://creativecommons.org/licenses/by/4.0/).
Share and Cite
Chen, X.-F.; Wang, T.; Liao, D.; Wu, N.; Peng, Y.; Zhang, S.-Y.; Hu, Z.-B. Multifunctional Synergistic Response Induced by Phase Transition in Molecular Compounds. Magnetochemistry 2025, 11, 41. https://doi.org/10.3390/magnetochemistry11050041
Chen X-F, Wang T, Liao D, Wu N, Peng Y, Zhang S-Y, Hu Z-B. Multifunctional Synergistic Response Induced by Phase Transition in Molecular Compounds. Magnetochemistry. 2025; 11(5):41. https://doi.org/10.3390/magnetochemistry11050041
Chicago/Turabian StyleChen, Xiao-Feng, Tao Wang, Dan Liao, Nan Wu, Yan Peng, Shi-Yong Zhang, and Zhao-Bo Hu. 2025. "Multifunctional Synergistic Response Induced by Phase Transition in Molecular Compounds" Magnetochemistry 11, no. 5: 41. https://doi.org/10.3390/magnetochemistry11050041
APA StyleChen, X.-F., Wang, T., Liao, D., Wu, N., Peng, Y., Zhang, S.-Y., & Hu, Z.-B. (2025). Multifunctional Synergistic Response Induced by Phase Transition in Molecular Compounds. Magnetochemistry, 11(5), 41. https://doi.org/10.3390/magnetochemistry11050041

