The Magnetic Properties and Band-Gap Energy of CuFeO2—Bulk Materials and Nanoparticles—Doped with Mn, Sc, Mg at the Fe Site, and Li, Ca at the Cu Site
Abstract
1. Introduction
2. The Model
3. Numerical Results and Discussion
3.1. Temperature and Size Dependence of the Magnetization in CFO
3.2. Doping Dependence of the Magnetization in CFO NPs
3.3. Size and Temperature Dependence of the Band Gap Energy in CFO
3.4. Ion-Doping Dependence of the Band-Gap Energy in CFO NPs
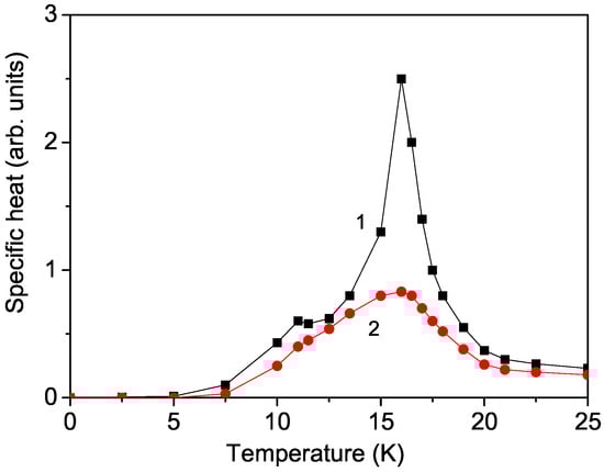
3.5. Temperature Dependence of the Specific Heat in CFO
4. Conclusions
Author Contributions
Funding
Institutional Review Board Statement
Informed Consent Statement
Data Availability Statement
Acknowledgments
Conflicts of Interest
References
- Kimura, T.; Goto, T.; Shintani, H.; Ishizaka, K.; Arima, T.; Tokura, Y. Magnetic control of ferroelectric polarization. Nature 2003, 426, 55. [Google Scholar] [CrossRef]
- Choi, Y.J.; Yi, H.T.; Lee, S.; Huang, Q.; Kiryukhin, W.; Cheong, S.-W. Ferroelectricity in an Ising chain magnet. Phys. Rev. Lett. 2008, 100, 047601. [Google Scholar] [CrossRef]
- Seki, S.; Yamasaki, Y.; Shiomi, Y.; Iguchi, S.; Onose, Y.; Tokura, Y. Impurity-doping-induced ferroelectricity in the frustrated antiferromagnet CuFeO2. Phys. Rev. B 2007, 75, 100403(R). [Google Scholar] [CrossRef]
- Mitsuda, S.; Matsumoto, T.; Wada, T.; Kurihara, K.; Urata, Y.; Yoshizawa, H.; Mekata, M. Magnetic ordering of CuFe1−xAlxO2. Physica B 1995, 213, 194. [Google Scholar] [CrossRef]
- Zhu, W.; Wang, P.; Zhu, H.; Li, X.; Zhao, J.; Xu, C.; Xiang, K. Mechanism of Type-II Multiferroicity in Pure and Al-Doped CuFeO2. Phys. Rev. Lett. 2025, 134, 066801. [Google Scholar] [CrossRef] [PubMed]
- Haraldsen, J.T.; Fishman, R.S. Effect of interlayer interactions and lattice distortions on the magnetic ground state and spin dynamics of a geometrically frustrated triangular-lattice antiferromagnet. Phys. Rev. B 2010, 82, 144441. [Google Scholar] [CrossRef]
- Kundys, B.; Maignan, A.; Pelloquin, D.; Simon, C. Magnetoelectric interactions in polycrystalline multiferroic antiferromagnets CuFe1−xRhxO2 (x = 0.00 and x = 0.05). Solid State Sci. 2009, 11, 1035–1039. [Google Scholar] [CrossRef]
- Kongkaew, T.; Sinsarp, A.; Osotchan, T.; Limphirat, W.; Subannajui, K. Magnetic properties and chemical state of nickel doped Cu FeO2 delafossite oxide powders prepared by sol-gel method. Mater. Today Proc. 2018, 5, 10932. [Google Scholar] [CrossRef]
- Xiao, G.; Xia, Z.; Wei, M.; Huang, S.; Shi, L.; Zhang, X.; Wu, H.; Yang, F.; Song, Y.; Ouyang, Z. Modulation of Jahn-Teller effect on magnetization and spontaneous electric polarization of CuFeO2. J. Magn. Magn. Mater. 2018, 449, 214. [Google Scholar] [CrossRef]
- Xiao, G.; Xia, Z.C.; Xiaoxing, Z.; Song, Y.; Huang, S.; Yang, F.; Jiang, D.; Deng, H.; Ouyang, Z.; Shi, L. Impact of Mn3+ substitution on magnetization and electric polarization behavior in geometry frustrated CuFe1−xMnxO2. J. Mater. Sci. Mater. Electr. 2019, 30, 9531. [Google Scholar] [CrossRef]
- Hayashi, K.; Fukatsu, R.; Nozaki, T.; Miyazaki, Y.; Kajitani, T. Structural, magnetic, and ferroelectric properties of CuFe1−xMnxO2. Phys. Rev. B 2013, 87, 064418. [Google Scholar] [CrossRef]
- Bera, A.; Deb, K.; Bera, T.; Sinthika, S.; Thapa, R.; Saha, B. Effect of Mg substitution in delafossite structured CuFeO2 thin film deposited on FTO coated glass substrate and its diode characteristics. Thin Solid Films 2017, 642, 316. [Google Scholar] [CrossRef]
- Dai, H.; Xie, X.; Chen, Z.; Ye, F.; Li, T.; Yang, Y. Microstructure evolution and magnetic properties of Eu doped CuFeO2 multiferroic ceramics studied by positron annihilation. Ceram. Intern. 2018, 44, 13894. [Google Scholar] [CrossRef]
- Huang, B.; Wu, L.; Ren, H.; Zhang, Q.; Lin, H.; Xu, S.; Xiong, D.; Deng, W. Effect of Y3+ doping of rare earth element on microstructure and antiferromagnetism of CuFeO2 ceramics. J. Ceram. Intern. 2024, 6, 9372. [Google Scholar] [CrossRef]
- Dai, H.; Ye, F.; Li, T.; Chen, Z.; Cao, X.; Wang, B. Impact of Li doping on the microstructure, defects, and physical properties of CuFeO2 multiferroic ceramics. Ceram. Intern. 2019, 45, 24570. [Google Scholar] [CrossRef]
- Ahmed, S.; Atif, M.; Rehman, A.U.; Bashir, S.; Iqbal, N.; Khalid, W.; Ali, Z.; Nadeem, M. Enhancement in the magnetoelectric and energy storage properties of core-shell-like CoFe2O4-BaTiO3 multiferroic nanocomposite. J. Alloys Compd. 2021, 883, 160875. [Google Scholar] [CrossRef]
- Rovillain, P.; de Sousa, R.; Gallais, Y.; Sacuto, A.; Measson, M.A.; Colson, D.; Forget, A.; Bibes, M.; Barthelemy, A.; Cazayous, M. Electric-field control of spin waves at room temperature in multiferroic BiFeO3. Nat. Mater. 2010, 9, 975. [Google Scholar] [CrossRef]
- Bieńkowski, A.; Szewczyk, R. The possibility of utilizing the high permeability magnetic materials in construction of magnetoelastic stress and force sensors. Sens. Actuators A 2004, 113, 270. [Google Scholar] [CrossRef]
- Alikin, D.; Turygin, A.; Ushakov, A.; Kosobokov, M.; Alikin, Y.; Hu, Q.; Liu, X.; Xu, Z.; Wei, X.; Shur, V. Competition between ferroelectric and ferroelastic domain wall dynamics during local switching in rhombohedral PMN-PT single crystals. Nanomater 2022, 12, 3912. [Google Scholar] [CrossRef]
- Kim, J.-H.; Kim, J.Y.; Choi, Y.H.; Youn, D.H. Facile CuFeO2 microcrystal synthesis for lithium ion battery anodes via microwave heating. J. Mater. Sci. Mater. Electron. 2020, 31, 9408. [Google Scholar] [CrossRef]
- Idrissi, M.E.; Mei, B.; Abd-Lefdil, M.; Atourki, L. Making Solar Hydrogen: A Review of the Challenges and Strategies of Synthesizing CuFeO2 Photocathodes for Photoelectrochemical Water Splitting. Molecules 2025, 30, 1152. [Google Scholar] [CrossRef]
- Wei, J.; Guo, C.; Hou, D.; Jia, D.; Xue, H.; Tian, J.; Jiang, T. High Density Facet Junctions in Nano-Stepped CuFeO2 Enable Efficient Charge Separation for Selective Photocatalytic CO2 Reduction to CH4. Inorg. Chem. Front, 2025; in press. [Google Scholar] [CrossRef]
- Bessner, J.; Jacob, T. Understanding the Nitrogen Reduction Reaction Mechanism on CuFeO2 Photocathodes. Chem. Europe 2025, 31, e202500058. [Google Scholar] [CrossRef] [PubMed]
- Li, R.-P.; Yu, S.-M.; Zhao, Z.-Y. Facet engineering for improved carrier separation and transport in CuFeO2 photocathodes. Mater. Chem. Phys. 2024, 311, 128582. [Google Scholar] [CrossRef]
- Danish, M.; Hussain, A.; Shafqat, S.R.; Sandhu, Z.A.; Batoo, R.M.; Ijaz, M.F.; Bhalli, A.H.; Fiaz, M. Multifunctional CuFeO2 Nanocomposites: 3D Series-Metal-Based Materials for Hydrogen Evolution Reaction and Supercapacitor Applications. Ceram. Int. 2025; in press. [Google Scholar] [CrossRef]
- Mao, L.; Mohan, S.; Gupta, S.K.; Mao, Y. Multifunctional delafossite CuFeO2 as water splitting catalyst and rhodamine B sensor. Mater. Chem. Phys. 2022, 278, 125643. [Google Scholar] [CrossRef]
- Zhang, L.; Goodman, B.A.; Xiong, D.K.; Deng, W. Evolution of microstructure, optical, and magnetic properties in MF CuFe1−xSnxO2 (x = 0–0.05). Ceram. Int. 2018, 45, 3007. [Google Scholar] [CrossRef]
- Maouhoubi, A.; Ouzaroual, L.; Toual, Y.; Mouchou, S.; Mezzat, F.; Azouaoui, A.; Ez-Zahraouy, H.; Hourmatallah, A.; Bouslykhane, K.; Benzakour, N. Structural, electronic and magnetic properties of the CuFeO2 multiferroic compound. Arab. J. Chem. 2024, 17, 105437. [Google Scholar] [CrossRef]
- Ye, F.; Ren, Y.; Huang, Q.; Fernandez-Baca, J.A.; Dai, P.; Lynn, J.W.; Kimura, T. Spontaneous spin-lattice coupling in the geometrically frustrated triangular lattice antiferromagnet CuFeO2. Phys. Rev. B 2006, 73, 220404(R). [Google Scholar] [CrossRef]
- Mori, R.; Hachisu, M.; Yamazaki, T.; Ichiyanagi, Y. Magnetic properties of CuFe1−xCrxO2 nanoparticles surrounded by amorphous SiO2. J. Appl. Phys. 2015, 117, 17C756. [Google Scholar] [CrossRef]
- Ye, F.; Dai, H.; Peng, K.; Li, T.; Chen, J.; Chen, Z.; Li, N. Effect of Mn doping on the microstructure and magnetic properties of CuFeO2 ceramics. J. Adv. Ceram. 2020, 9, 444. [Google Scholar] [CrossRef]
- Peng, K.; Wang, M.; Dai, H.; Li, T.; Liu, D.; Chen, Z. The Structural, Optical, and Magnetic Properties of in CuFe0.95M0.05O2 Delafossites (M=transition metal). J. Supercond. Nov. Magn 2021, 34, 1269. [Google Scholar] [CrossRef]
- Peng, K.; Dai, H.; Wang, M.; Li, T.; Liu, D.; Chen, Z.; Cao, X.; Wang, B. Defect characteristics, local electron density, and magnetic properties of rare Earth-doped CuFeO2 ceramics. Ceram. Int. 2020, 46, 28400. [Google Scholar] [CrossRef]
- Chang, Y.-H.; Wang, H.; Siao, T.-F.; Lee, Y.-H.; Bai, S.-Y.; Liao, C.-W.; Zhuang, J.-K.; Chiu, T.-W.; Kuo, C.-H. A new solution route for the synthesis of CuFeO2 and Mg-doped CuFeO2 as catalysts for dye degradation and CO2 conversion. J. Alloys Compd. 2021, 854, 157235. [Google Scholar] [CrossRef]
- Chen, H.-W.; Huang, C.-Y.; Shubcd, G.-J.; Liu, H.-L. Temperature-dependent optical properties of CuFeO2 through the structural phase transition. RSC Adv. 2021, 11, 40173. [Google Scholar] [CrossRef]
- Haiwan Xu, H.; Wu, R.; Zhang, J.; Han, W.; Chen, L.; Liang, X.; Haw, C.Y.; Mazzolini, P.; Bierwagen, O.; Qi, D.-C.; et al. Revealing the Electronic Structure and Optical Properties of CuFeO2 as a p-Type Oxide Semiconductor. ACS Appl. Electr. Mater. 2021, 3, 1834. [Google Scholar] [CrossRef]
- Omeiri, S.; Bellal, B.; Bouguelia, A.; Bessekhouad, Y.; Trari, M. Electrochemical and photoelectrochemical characterization of CuFeO2 single crystal. J. Solid State Electrochem. 2008, 13, 1395. [Google Scholar] [CrossRef]
- Moharam, M.M.; Rashad, M.M.; Elsayed, E.M.; Abou-Shahba, R.M. A facile novel synthesis of delafossite CuFeO2 powders. J. Mater. Sci. Mater. Electron. 2014, 25, 1798. [Google Scholar] [CrossRef]
- Vojkovic, S.; Fernandez, J.; Elgueta, S.; Vega, F.E.; Rojas, S.D.; Wheatley, R.A.; Seifert, B.; Wallentowitz, S.; Cabrera, A.L. Band gap determination in multi-band-gap CuFeO2 delafossite epitaxial thin film by photoconductivity. SN Appl. Sci. 2019, 1, 1322. [Google Scholar] [CrossRef]
- Alkhayatt, A.H.O.; Thahab, S.M.; Zgair, I.A. Structure, surface morphology and optical properties of post-annealed delafossite CuFeO2 thin films. Optik 2016, 127, 3745. [Google Scholar] [CrossRef]
- Yu, R.-S.; Lee, Y.-F.; Lai, Y.-S. Synthesis and Optoelectronic Properties of CuFeO2 Semiconductor Thin Films. ECS J. Solid State Sci. Technol. 2016, 5, P646. [Google Scholar] [CrossRef]
- Xiong, D.; Zhang, Q.; Verma, S.K.; Bao, X.-Q.; Li, H.; Zhao, X. Crystal structural, optical properties and mott-schottky plots of p-type Ca doped CuFeO2 nanoplates. Mater. Res. Bull. 2016, 83, 141. [Google Scholar] [CrossRef]
- Deng, Z.; Fang, K.; Wu, S.; Zhao, Y.; Dong, W.; Shao, J.; Wang, S. Structure and optoelectronic properties of Mg-doped CuFeO2 thin films prepared by sol-gel method. J. Alloys Compd. 2013, 577, 658. [Google Scholar] [CrossRef]
- Deng, Q.; Chen, H.; Wang, G.; Shen, Y.; Liu, F.; Wang, S. Structural, optical and photoelectrochemical properties of p-type Ni doped CuFeO2 by hydrothermal method. Ceram. Int. 2020, 46, 598–603. [Google Scholar] [CrossRef]
- Wheatley, R.A.; Rojas, S.; Oppolzer, C.; Joshi, T.; Borisov, P.; Lederman, D.; Cabrera, A.L. Comparative study of the structural and optical properties of epitaxial CuFeO2 and CuFe1−xGaxO2 delafossite thin films grown by pulsed laser deposition methods. Thin Solid Films 2017, 626, 110. [Google Scholar] [CrossRef]
- Petrenko, O.A.; Lees, M.R.; Balakrishnan, G.; de Brion, S.; Chouteau, G. Revised magnetic properties of CuFeO2-a case of mistaken identity. J. Phys. Condens. Matter 2005, 17, 2741. [Google Scholar] [CrossRef]
- Ribeiro, R.A.P.; de Lazaro, S.R.; Correa, M.A.; Bohn, F.; Longo, E.; Motta, F.V.; Bomio, M.R.D.; Santiago, A.A.G.; Tranquilin, R.L.; Oliveira, M.C. Disclosing the Structural, Electronic, Magnetic, and Morphological Properties of CuMnO2: A Unified Experimental and Theoretical Approach. J. Phys. Chem. C 2020, 124, 5378. [Google Scholar] [CrossRef]
- Apostolov, A.T.; Apostolova, I.N.; Wesselinowa, J.M. Ferroelectricity in the multiferroic delafossite CuFeO2 induced by ion doping or magnetic field. Solid State Commun. 2019, 292, 11. [Google Scholar] [CrossRef]
- Apostolov, A.T.; Apostolova, I.N.; Wesselinowa, J.M. Phonon properties of delafossite multiferroic compound CuFeO2. Comparison with CuCrO2. Mod. Phys. Lett. B 2019, 33, 1950141. [Google Scholar] [CrossRef]
- Tserkovnikov, Y.A. Decoupling of chains of equations for two-time Green’s functions. Theor. Math. Phys. 1971, 7, 511. [Google Scholar] [CrossRef]
- Elkhouni, T.; Amami, M.; Colin, C.V.; Salah, A.B. Structural and magnetoelectric interactions of (Ca, Mg)-doped polycrystalline multiferroic CuFeO2. Mater. Res. Bull. 2014, 53, 151. [Google Scholar] [CrossRef]





Disclaimer/Publisher’s Note: The statements, opinions and data contained in all publications are solely those of the individual author(s) and contributor(s) and not of MDPI and/or the editor(s). MDPI and/or the editor(s) disclaim responsibility for any injury to people or property resulting from any ideas, methods, instructions or products referred to in the content. |
© 2025 by the authors. Licensee MDPI, Basel, Switzerland. This article is an open access article distributed under the terms and conditions of the Creative Commons Attribution (CC BY) license (https://creativecommons.org/licenses/by/4.0/).
Share and Cite
Apostolov, A.T.; Apostolova, I.N.; Wesselinowa, J.M. The Magnetic Properties and Band-Gap Energy of CuFeO2—Bulk Materials and Nanoparticles—Doped with Mn, Sc, Mg at the Fe Site, and Li, Ca at the Cu Site. Magnetochemistry 2025, 11, 42. https://doi.org/10.3390/magnetochemistry11050042
Apostolov AT, Apostolova IN, Wesselinowa JM. The Magnetic Properties and Band-Gap Energy of CuFeO2—Bulk Materials and Nanoparticles—Doped with Mn, Sc, Mg at the Fe Site, and Li, Ca at the Cu Site. Magnetochemistry. 2025; 11(5):42. https://doi.org/10.3390/magnetochemistry11050042
Chicago/Turabian StyleApostolov, Angel T., Iliana N. Apostolova, and Julia M. Wesselinowa. 2025. "The Magnetic Properties and Band-Gap Energy of CuFeO2—Bulk Materials and Nanoparticles—Doped with Mn, Sc, Mg at the Fe Site, and Li, Ca at the Cu Site" Magnetochemistry 11, no. 5: 42. https://doi.org/10.3390/magnetochemistry11050042
APA StyleApostolov, A. T., Apostolova, I. N., & Wesselinowa, J. M. (2025). The Magnetic Properties and Band-Gap Energy of CuFeO2—Bulk Materials and Nanoparticles—Doped with Mn, Sc, Mg at the Fe Site, and Li, Ca at the Cu Site. Magnetochemistry, 11(5), 42. https://doi.org/10.3390/magnetochemistry11050042

