Efficient Cold Tolerance Evaluation of Four Species of Liliaceae Plants through Cell Death Measurement and Lethal Temperature Prediction
Abstract
1. Introduction
2. Materials and Methods
2.1. Experimental Plants
2.2. Cold Treatment
2.3. Visual Inspection of Cold-Treated Plants
2.4. Electrolyte Leakage and Prediction of Lethal Temperature
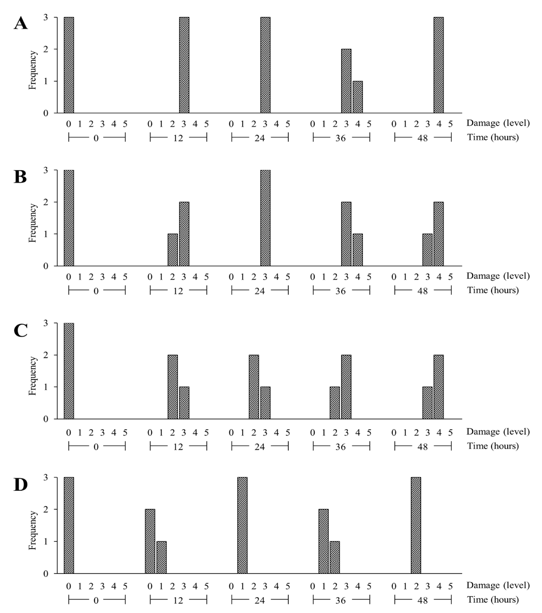
2.5. Measurement of Cell Death of Cold-Treated Plants
2.6. Determination of Reducing Sugar Contents
2.7. Selection of Cold-Tolerant Plants
2.8. Statistical Analysis
3. Results
3.1. Visual Inspection of Cold-Treated Plants
3.2. Measurement of Electrolyte Leakage Value
3.3. Prediction of Lethal Temperature
3.4. Determine the Degree of Cell Damage in Cold-Treated Plants
4. Discussion
5. Conclusions
Author Contributions
Funding
Data Availability Statement
Acknowledgments
Conflicts of Interest
References
- Wang, M.; Liao, W. Carbon monoxide as a signaling molecule in plants. Front. Plant Sci. 2016, 7, 572. [Google Scholar] [CrossRef] [PubMed]
- Zohner, C.M.; Renner, L.M.S.; Crowthe, T.W. Late-spring frost risk between 1959 and 2017 decreased in North America but increased in Europe and Asia. Proc. Natl. Acad. Sci. USA 2020, 117, 12192–12200. [Google Scholar] [CrossRef] [PubMed]
- Lichtenthaler, H.K. The stress concept in plants: An introduction. In Stress of Life: From Molecules to Man; Csermely, P., Ed.; New York Academy of Sciences: New York, NY, USA, 1998; Volume 851, pp. 187–198. [Google Scholar]
- Lee, S.Y.; Jung, J.A.; Sung, J.K.; Ha, S.K.; Lee, D.B.; Kim, T.W.; Song, B.H. Responses of nutrient uptake, carbohydrates and antioxidants against low temperature in plants. Korean J. Agric. Sci. 2014, 41, 75–83. [Google Scholar]
- Guo, X.; Liu, D.; Chong, K. Cold signaling in plants: Insights into mechanisms and regulation. J. Integr. Plant Biol. 2018, 60, 745–756. [Google Scholar] [CrossRef]
- Liu, J.; Shi, Y.; Yang, S. Insights into the regulation of C-repeat binding factors in plant cold signaling. J. Integr. Plant Biol. 2018, 60, 780–795. [Google Scholar] [CrossRef]
- Murray, M.B.; Cape, J.N.; Fowler, D. Quantification of frost damage in plant tissues by rates of electrolyte leakage. New Phytol. 1989, 113, 307–311. [Google Scholar] [CrossRef]
- Kim, I.H. Development of Shallow-Extensive Green Roof System for Urban Greening. Ph.D. Thesis, Gyeongsang National University, Jinju, Republic of Korea, 2006. [Google Scholar]
- Dexter, S.T.; Tottingham, W.E.; Graber, L.F. Preliminary results in measuring the hardiness of plants. Plant Physiol. 1930, 5, 215–223. [Google Scholar] [CrossRef] [PubMed]
- Kim, I.H.; Huh, K.Y.; Jung, H.J.; Choi, S.M.; Park, J.H. Modeling methodology for cold tolerance assessment of Pittosporum tobira. Korean J. Hortic. Sci. Technol. 2014, 32, 241–251. [Google Scholar] [CrossRef]
- Xie, H.; Sun, Y.; Cheng, B.; Xue, S.; Cheng, D.; Liu, L.; Meng, L.; Qiang, S. Variation in ICE1 methylation primarily determines phenotypic variation in freezing tolerance in Arabidopsis thaliana. Plant Cell Physiol. 2019, 60, 152–165. [Google Scholar] [CrossRef]
- Gonzalez-Mendoza, D.; Quiroz-Moreno, A.; Medrano, R.E.; Grimaldo-Juareza, O.; Zapata-Perezd, O. Cell viability and leakage of electrolytes in Avicennia germinans exposed to heavy metals. Z. Für Nat. C J. 2009, 64, 391–394. [Google Scholar] [CrossRef]
- Szalay, L.; Gyökös, I.G.; Békefi, Z. Cold hardiness of peach flowers at different phenological stages. Hortic. Sci. 2018, 45, 119–124. [Google Scholar] [CrossRef]
- Su, L.; Dai, Z.; Li, S.; Xin, H. A novel system for evaluating drought–cold tolerance of grapevines using chlorophyll fluorescence. BMC Plant Biol. 2015, 15, 82. [Google Scholar] [CrossRef] [PubMed]
- Lindén, L. Measuring Cold Hardiness in Woody Plants. Ph.D. Thesis, Applied Biology, Horticulture, University of Helsinki, Helsinki, Finland, 2002. [Google Scholar]
- Du, Y.P.; He, H.B.; Wang, Z.X.; Wei, C.; Li, S.; Jia, G.X. Investigation and evaluation of the genus Lilium resources native to China. Genet. Resour. Crop Evol. 2013, 61, 395–412. [Google Scholar] [CrossRef]
- Suh, J.K.; Wu, X.W.; Lee, A.K.; Roh, M.S. Growth and flowering physiology, and developing new technologies to increase the flower numbers in the Genus Lilium. Hortic. Environ. Biotechnol. 2013, 54, 373–387. [Google Scholar] [CrossRef]
- Asano, Y. Study on crosses between distantly related species of Lilies. V. Characteristics of newly obtained hybrids through embryo culture. J. Jpn. Soc. Hortic. Sci. 1980, 49, 392–396. [Google Scholar] [CrossRef]
- Seo, C.B. Ilustrated Flora of Korea; Hyangmoonsa: Seoul, Republic of Korea, 1979; pp. 206–209. [Google Scholar]
- Jia, W.J.; Ma, L.L.; Ding, K.; Cui, G.F.; Wu, L.F.; Wang, X.N.; Wang, J.H. Characters of sap flow of Lilium and its relations with environment factors. Xibei Zhiwu Xuebao 2012, 32, 2498–2505. [Google Scholar]
- Pereira, A. Plant Abiotic Stress Challenges from the Changing Environment. Front. Plant Sci. 2016, 7, 1123. [Google Scholar] [CrossRef]
- Hong, Y.K.; Jang, Y.J.; Seong, M.H.; Moon, M.S.; Choi, D.C. Viability of barley, wheat and oat by low temperature treatment. Korean J. Med. Crop Sci. 2003, 48, 172–173. [Google Scholar]
- Seo, Y.H.; Park, Y.S.; Jo, B.W.; Kang, A.S.; Jung, B.C.; Jung, Y.S. Regional distribution of peach freezing damage and chilling days in 2010 in Gangwon province. Korean J. Agric. For. Meteorol. 2010, 12, 225–231. [Google Scholar] [CrossRef]
- Lim, B.S.; Jung, D.S.; Yun, H.K.; Hwang, Y.S.; Chun, J.P. Symptoms of freezing injury and mechanical injury-induced fruit rot in ‘Niitaka’ pear fruit (Pyrus pyrifolia Nakai) during low temperature storage. Korean J. Hortic. Sci. Technol. 2005, 23, 282–286. [Google Scholar]
- Kwon, E.Y.; Jung, J.E.; Chung, U.R.; Lee, S.J.; Song, G.C.; Choi, D.G.; Yun, J.I. A thermal time-driven dormancy index as a complementary criterion for grape vine freeze risk evaluation. Korean J. Agric. For. Meteorol. 2006, 8, 1–9. [Google Scholar]
- Xu, J.; Chai, N.; Zhang, T.; Zhu, T.; Cheng, Y.; Sui, S.; Li, M.; Liu, D. Prediction of temperature tolerance in Lilium based on distribution and climate data. iScience 2021, 24, 102794. [Google Scholar] [CrossRef] [PubMed]
- Lindén, L.; Palonen, P.; Lindén, M. Relating Freeze-induced Electrolyte Leakage Measurements to Lethal Temperature in Red Raspberry. J. Am. Soc. Hortic. Sci. 2000, 125, 429–435. [Google Scholar] [CrossRef]
- Walker, D.J.; Romero, P.; Hoyos, A.; Correal, E. Seasonal change in cold tolerance, water relations and accumulation of cations and compatible so-lutes in Atriplex halimus L. Environ. Exp. Bot. 2008, 64, 217–224. [Google Scholar] [CrossRef]
- Von Fircks, H.A.; Verwijst, T. Plant viability as a function of temperature stress. Plant Physiol. 1993, 103, 125–130. [Google Scholar] [CrossRef]
- Burr, K.E.; Tinus, R.W.; Wallner, S.J.; King, R.M. Comparison of three cold hardness tests for conifer seedlings. Tree Physiol. 1990, 6, 351–369. [Google Scholar] [CrossRef]
- Janacek, J.; Prasil, I. Quantification of plant frost injury by nonlinear fitting of an S-shaped function. CryoLetters 1991, 12, 47–52. [Google Scholar]
- Iles, J.K.; Agnew, N.H. Seasonal cold-acclimation patterns of Sedum spectabile × telephium L. ‘Autumn Joy’ and Sedum spectabile Boreau. ‘Brilliant’. HortScience 1995, 30, 1221–1224. [Google Scholar] [CrossRef]
- Ingram, D.L.; Buchanan, D.W. Measurement of direct heat injury of roots of three woody plants. HortScience 1981, 16, 769–771. [Google Scholar] [CrossRef]
- Miller, G.L. Use of Dinitrosalicylic acid reagent for determination of reducing sugar. Anal. Chem. 1959, 31, 426–428. [Google Scholar] [CrossRef]
- Foolad, M.; Lin, G.Y. Relationship between cold tolerance during seed germination and vegetative growth in tomato: Analysis of response and correlated response to selection. J. Am. Soc. Hortic. Sci. 2001, 126, 216–220. [Google Scholar] [CrossRef]
- Sakai, A.; Weiser, C.J. Freezing resistance of trees in North America with reference to tree regions. Ecology 1973, 54, 118–126. [Google Scholar] [CrossRef]
- Sanghera, G.S.; Wani, S.H.; Hussain, W.; Singh, N.B. Engineering cold stress tolerance in crop plants. Curr. Genom. 2011, 12, 30–43. [Google Scholar] [CrossRef]
- Hyun, U.J.; Yeo, S.M.; Lee, S.B.; Lee, J.H.; Jeong, J.M.; Seong, Y.K.; Seo, D.H.; Won, Y.J.; Ahn, E.K.; Lee, J.H.; et al. Optimization of temperature regime to screen cold tolerant rice seedlings. Plant Breed. Biotechnol. 2016, 4, 176–187. [Google Scholar] [CrossRef]
- Lee, M.H.; Beak, J.K.; Kim, K.M.; Kim, K.H.; Kang, C.S.; Lee, G.E.; Choi, J.Y.; Son, J.Y.; Ko, J.M.; Choi, C.H. Assessment of cold tolerance traits of Wheat cultivars using RGB images. Korean J. Breed. Sci. 2022, 54, 171–176. [Google Scholar] [CrossRef]
- Kim, G.S.; Sa, J.G.; Huh, B.L. Response to low temperature of rice culti-vars for mid-northern area at rooting stage after transplanting. Korean J. Crop Sci. 1989, 34, 170–176. [Google Scholar]
- Kreyling, J.; Schmid, S.; Aas, G. Cold tolerance of tree species is related to the climate of their native ranges. J. Biogeogr. 2015, 42, 156–166. [Google Scholar] [CrossRef]
- Zhu, G.; Liu, Z.; Zhu, P. A study on determination of lethal temperature with logistic function. J. Nanjing Agric. Univ. 1986, 9, 11–16. [Google Scholar]
- Repo, T.; Lehto, T.; Finér, L. Delayed soil thawing affects root and shoot functioning and growth in Scots pine. Tree Physiol. 2003, 10, 1583–1591. [Google Scholar] [CrossRef]
- Nesbitt, M.L.; Ebel, R.C.; Findley, D.; Wilkins, B.; Woods, F.; Himelrick, D. Assays to assess freeze injury of Satsuma mandarin. HortScience 2002, 37, 871–877. [Google Scholar] [CrossRef]
- Smith, B.A.; Reider, M.L.; Fletcher, J.S. Relationship between vital staining and subculture growth during the senescence of plant tissue cultures. Plant Physiol. 1982, 70, 1228–1230. [Google Scholar] [CrossRef] [PubMed]
- Oprisko, M.J.; Green, R.L.; Beard, J.B.; Gates, C.E. Vital staining of root hairs in 12 warm-season perennial grasses. Crop Sci. 1990, 30, 947–950. [Google Scholar] [CrossRef]
- Yadav, S.K. Cold stress tolerance mechanisms in plants. Agron. Sustain. Dev. 2010, 30, 515–527. [Google Scholar] [CrossRef]
- Lyubushkina, I.V.; Grabelnych, O.I.; Pobezhimova, T.P.; Stepanov, A.V.; Fedyaeva, A.V.; Fedoseeva, I.V.; Voilikov, V.K. Winter wheat cells subjected to freezing temperature undergo death process with features of programmed cell death. Protoplasma 2014, 251, 615–623. [Google Scholar] [CrossRef]
- Koukalova, B.; Kovarik, A.; Fajkus, J.; Siroky, J. Chromatin fragmentation associated with apoptotic changes in tobacco cells exposed to cold stress. FEBS Lett. 1997, 414, 289–292. [Google Scholar]
- Jing, H.H.; Savina, M.; Jing, D.; Devendran, A.; Ramakanth, K.K.; Xin, T.; Wei, S.S.; Mironova, V.V.; Jian, X. A sacrifice-for-survival mechanism protects root stem cell niche from chilling stress. Cell 2017, 170, 102. [Google Scholar]
- Truernit, E.; Haseloff, J. A simple way to identify non-viable cells within living plant tissue using confocal microscopy. Plant Methods 2008, 4, 15. [Google Scholar] [CrossRef]
- Yin, H.; Chen, Q.; Yi, M. Effects of short-term heat stress on oxidative damage and responses of antioxidant system in Lilium longiflorum. Plant Growth Regul. 2007, 54, 45–54. [Google Scholar] [CrossRef]
- Xin, H.; Zhang, H.; Chen, L.; Li, X.; Lian, Q.; Yuan, X.; Hu, X.; Cao, L.; He, X.; Yi, M. Cloning and characterization of HsfA2 from lily (Lilium longiflorum). Plant Cell Rep. 2010, 29, 875–885. [Google Scholar] [CrossRef]
- Du, F.; Anderson, N. Bulb tissue cold-tolerance sensitivity differences in non-hardy and winter hardy Lilium. HortScience 2009, 44, 1013. [Google Scholar]
- Tian, X.; Xie, J.; Yu, J. Physiological and transcriptomic responses of Lanzhou Lily (Lilium davidii, var. unicolor) to cold stress. PLoS ONE 2020, 15, e0227921. [Google Scholar] [CrossRef] [PubMed]
- Anderson, J.A.; Kenna, M.P.; Taliaferro, C.M. Cold hardiness of ‘Midiron’ and ‘Tifgreen’ bermudagrass. HortScience 1988, 23, 748–750. [Google Scholar] [CrossRef]
- Cardona, C.A.; Duncan, R.R.; Lindstrom, O. Low temperature tolerance assessment in Paspalum. Crop Sci. 1997, 37, 1283–1291. [Google Scholar] [CrossRef]
- Kim, I.H.; Huh, K.Y.; Huh, M.R. Cold tolerance assessment of Sedum species for shallow-extensive green roof system. Korean J. Hortic. Sci. Technol. 2010, 28, 22–30. [Google Scholar]
- Ruelland, E.; Vaultier, M.N.; Zachowski, A.; Hurry, V. Cold signalling and cold acclimation in plants. Adv. Bot. Res. 2009, 49, 35–150. [Google Scholar]
- Tarkowski, L.P.; Ende, W.V. Cold tolerance triggered by soluble sugars: A multifaceted countermeasure. Front. Plant Sci. 2015, 6, 203. [Google Scholar] [CrossRef]
- Kooiker, M.; Drenth, J.; Glassop, D.; McIntyre, C.L.; Xue, G.P. TaMYB13-1, a R2R3 MYB transcription factor, regulates the fructan synthetic pathway and contributes to enhanced fructan accumulation in bread wheat. J. Exp. Bot. 2013, 64, 3681–3696. [Google Scholar] [CrossRef]
- Lee, C.B. Korea Illustrated Plant Book; Hyangmunsa: Seoul, Republic of Korea, 1982; pp. 1–791. [Google Scholar]








| Scientific Name | Electrolyte Leakage (Mean ± SE, %) | ||||
|---|---|---|---|---|---|
| 4 °C | 0 °C | −4 °C | −8 °C | −12 °C | |
| H. fulva | 3.9 ± 0.74 b* | 4.3 ± 0.59 b | 5.7 ± 0.83 a | 70.7 ± 9.33 a | 76.1 ± 13.46 a |
| H. longipes | 7 ± 1.16 a | 8.5 ± 0.89 a | 9.4 ± 5.89 a | 42.2 ± 24.16 b | 89.9 ± 3.75 a |
| H. plantaginea | 2.4 ± 0.37 b | 3.6 ± 0.39 b | 3.9 ± 1.04 a | 45.4 ± 8.25 ab | 76.1 ± 10.9 a |
| S. scilloides | 2.7 ± 0.55 b | 3.7 ± 0.85 b | 7.4 ± 1.53 a | 10 ± 2.4 c | 69.5 ± 14.35 a |
| Scientific Name | Estimated Lethal Temperature (°C) | Confidence Limits (95%) | |
|---|---|---|---|
| Lowest Temp. (°C) | Highest Temp. (°C) | ||
| Hemerocallis fulva | −7.15 | −8.44 | −5.86 |
| Hosta longipes | −8.87 | −9.71 | −8.03 |
| Hosta plantaginea | −11.14 | −11.71 | −10.58 |
| Scilla scilloides | −8.77 | −9.68 | −7.86 |
Disclaimer/Publisher’s Note: The statements, opinions and data contained in all publications are solely those of the individual author(s) and contributor(s) and not of MDPI and/or the editor(s). MDPI and/or the editor(s) disclaim responsibility for any injury to people or property resulting from any ideas, methods, instructions or products referred to in the content. |
© 2023 by the authors. Licensee MDPI, Basel, Switzerland. This article is an open access article distributed under the terms and conditions of the Creative Commons Attribution (CC BY) license (https://creativecommons.org/licenses/by/4.0/).
Share and Cite
Yang, W.-H.; Yong, S.-H.; Park, D.-J.; Ahn, S.-J.; Kim, D.-H.; Park, K.-B.; Jin, E.-J.; Choi, M.-S. Efficient Cold Tolerance Evaluation of Four Species of Liliaceae Plants through Cell Death Measurement and Lethal Temperature Prediction. Horticulturae 2023, 9, 751. https://doi.org/10.3390/horticulturae9070751
Yang W-H, Yong S-H, Park D-J, Ahn S-J, Kim D-H, Park K-B, Jin E-J, Choi M-S. Efficient Cold Tolerance Evaluation of Four Species of Liliaceae Plants through Cell Death Measurement and Lethal Temperature Prediction. Horticulturae. 2023; 9(7):751. https://doi.org/10.3390/horticulturae9070751
Chicago/Turabian StyleYang, Woo-Hyeong, Seong-Hyeon Yong, Dong-Jin Park, Sung-Jin Ahn, Do-Hyun Kim, Kwan-Been Park, Eon-Ju Jin, and Myung-Suk Choi. 2023. "Efficient Cold Tolerance Evaluation of Four Species of Liliaceae Plants through Cell Death Measurement and Lethal Temperature Prediction" Horticulturae 9, no. 7: 751. https://doi.org/10.3390/horticulturae9070751
APA StyleYang, W.-H., Yong, S.-H., Park, D.-J., Ahn, S.-J., Kim, D.-H., Park, K.-B., Jin, E.-J., & Choi, M.-S. (2023). Efficient Cold Tolerance Evaluation of Four Species of Liliaceae Plants through Cell Death Measurement and Lethal Temperature Prediction. Horticulturae, 9(7), 751. https://doi.org/10.3390/horticulturae9070751

