Short-Term Conservation of Juglans regia L. via Synthetic Seed Technology
Abstract
1. Introduction
2. Materials and Methods
2.1. Plant Material Collection and Explant Sterilization
2.2. In Vitro Culture for Walnut Zygotic Embryo Development
2.3. Encapsulation Procedure
2.4. Effect of In Vitro Conditions on Encapsulated Explants
2.5. Elaboration Data and Statistical Analysis
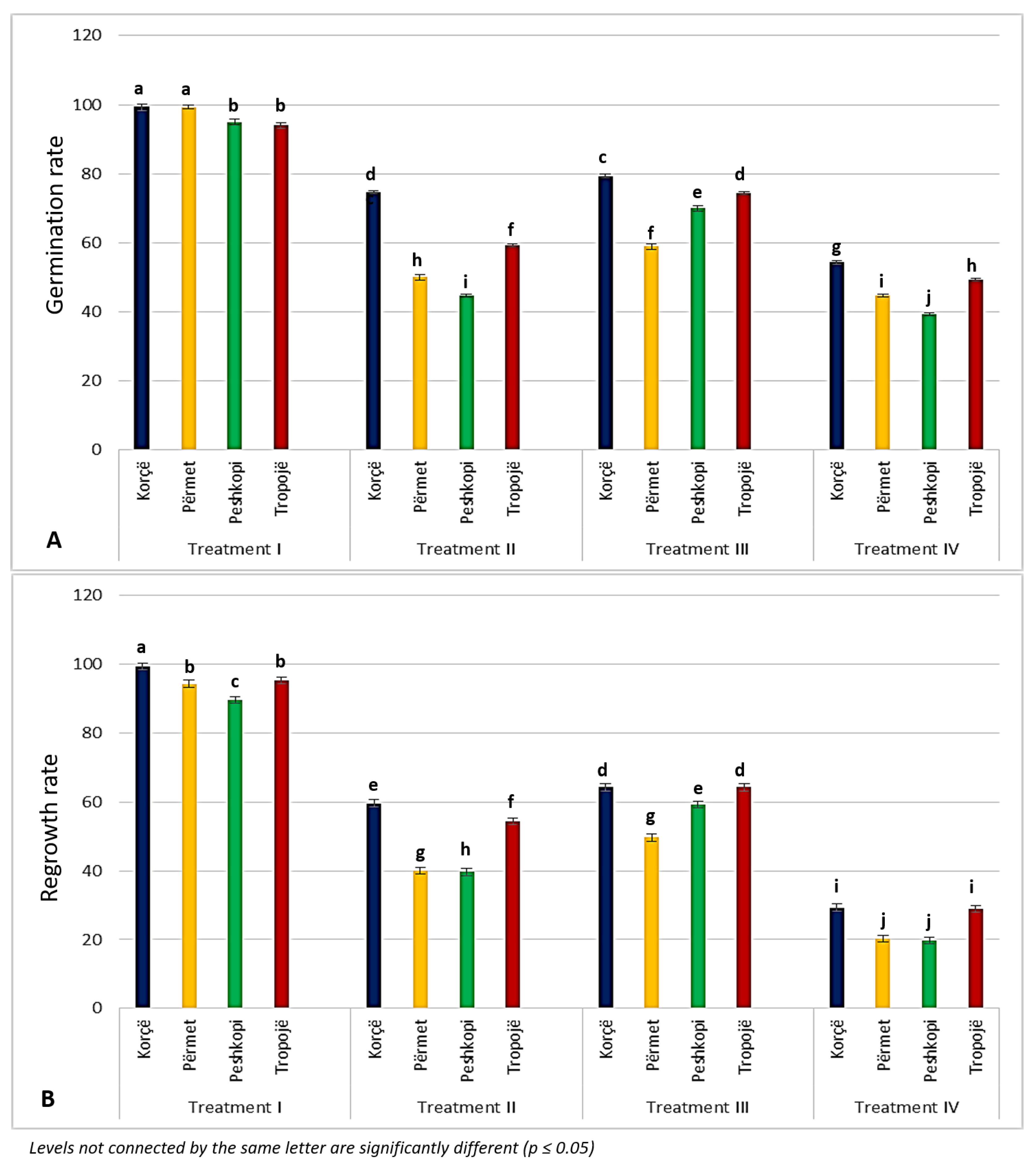
3. Results
3.1. In Vitro Germination of Walnut Zygotic Embryos
3.2. Effect of Different Temperatures and Sucrose Treatment on the Regrowth Potential of Synthetic Walnut Seeds
4. Discussion
5. Conclusions
Author Contributions
Funding
Data Availability Statement
Conflicts of Interest
References
- Aryapak, S.; Ziarati, P. Nutritive Value of Persian Walnut (Juglans regia L.) Orchards. Am. Eurasian J. Agric. Environ. Sci. 2014, 14, 1228–1235. [Google Scholar]
- Xiaoying, M.; Yufei, H.; Guogang, C. Amino Acid Composition, Molecular Weight Distribution and Gel Electrophoresis of Walnut (Juglans regia L.) Proteins and Protein Fractionations. Int. J. Mol. Sci. 2014, 15, 2003–2014. [Google Scholar]
- Vassiliou, V.G.; Voulgaridis, E.V. Wood properties and utilization potentials of walnut wood (Juglans regia L.) Grown in Greece. Acta Hortic. 2005, 705, 535–542. [Google Scholar] [CrossRef]
- Bukhari, M.N.; Shabbir, M.; Rather, L.J.; Shahid, M.; Singh, U.; Khan, M.A.; Mohammad, F. Dyeing studies and fastness properties of brown naphtoquinone colorant extracted from Juglans regia L on natural protein fiber using different metal salt mordants. Text. Cloth. Sustain. 2017, 3, 3. [Google Scholar] [CrossRef]
- Tutak, M.; Benli, H. Colour and fastness of fabrics dyed with walnut (Juglans regia L.) base natural dyes. Asian J. Chem. 2011, 23, 566–568. [Google Scholar]
- Vahdati, K.; Sarikhani Khorami, S.; Arab, M.M. Walnut: A potential multipurpose nut crop for reclaiming deteriorated lands and environment. Acta Hortic. 2018, 1190, 95–100. [Google Scholar] [CrossRef]
- Vangjeli, J. Atlas of the Albanian Flora; Academy of Sciences of Albania: Tirana, Albania, 2016; p. 58. (In Albanian) [Google Scholar]
- Vangjeli, J.; Ruci, B.; Mullaj, A. The Red Book: Threatened and Rare Plant Species of Albania; Academy of Sciences of Albania: Tirana, Albania, 1995. (In Albanian) [Google Scholar]
- Paź-Dyderska, S.; Jagodziński, A.M.; Dyderski, M.K. Possible changes in spatial distribution of walnut (Juglans regia L.) in Europe under warming climate. Reg. Environ. Change 2021, 21, 18. [Google Scholar] [CrossRef]
- Payghamzadeh, K.; Sayyed, K.K. In vitro propagation of walnut—A review. Afr. J. Biotechnol. 2011, 10, 290–311. [Google Scholar]
- Hormaza, J.I. Early selection in cherry combining RAPDs with embryo culture. Sci. Hortic. 1999, 79, 121–126. [Google Scholar] [CrossRef]
- Bridgen, M.P. A review of plant embryo culture. HortScience 1994, 29, 1243–1246. [Google Scholar] [CrossRef]
- Lambardi, M.; Ozodogru, E.A.; Jain, S.M. Protocols for Micropropagation of Selected Economically-Important Horticultural Plant; Springer: New York, NY, USA; Heidelberg, Germany; Dordrecht, The Netherlands; London, UK, 2013; p. 490. [Google Scholar] [CrossRef]
- Ríos Leal, D.; Sánchez-Olate, M.; Avilés, M.; Materan, M.E.; Uribe, M.; Hasbún, R.; Rodríguez, R. Micropropagation of Juglans regia L. In Protocols for Micropropagation of Woody Trees and Fruits; Jain, S.M., Häggman, H., Eds.; Springer: Dordrecht, The Netherlands, 2007; pp. 381–390. [Google Scholar]
- Benelli, C.; Tarraf, W.; Izgu, T.; De Carlo, A. In vitro Conservation through Slow Growth Storage Technique of Fruit Species: An Overview of the Last 10 Years. Plants 2022, 11, 3188. [Google Scholar] [CrossRef] [PubMed]
- Lambardi, M.; Ozudogru, E.A. Advances in the safe storage of micropropagated woody plants at low temperature. Acta Hortic. 2013, 988, 29–42. [Google Scholar] [CrossRef]
- Lambardi, M.; Shaarawi, S. Importance of in vitro culture for developing cryopreservation strategies of woody plants. Acta Hortic. 2017, 1187, 177–188. [Google Scholar] [CrossRef]
- Murashige, T. Plant cell and organ cultures as horticultural practices. Acta Hortic. 1977, 78, 17–30. [Google Scholar] [CrossRef]
- Aitkens-Christie, J.; Kozai, T.; Takayama, S. Automation in plant tissue culture: General introduction and overview. In Automation and Environmental Control in Plant Tissue Culture; Aitken-Christie, J., Kozai, T., Smith, M.A.L., Eds.; Kluwer Academic Publication: Dordrecht, The Netherlands, 1995; pp. 1–18. [Google Scholar]
- Micheli, M.; Standardi, A.; Fernandes da Silva, D. Encapsulation and synthetic seeds of olive (Olea europaea L.): Experiences and overview. In Synthetic Seeds; Springer: Cham, Switzerland, 2019; pp. 347–361. [Google Scholar]
- Lambardi, M.; Benelli, C.; Ozudogru, E.A.; Ozden-Tokatli, Y. Synthetic seed technology in ornamental plants. In Floriculture, Ornamental and Plant Biotechnology: Advances and Topical Issues; Teixeira da Silva, J.A., Ed.; Global Science Books: London, UK, 2006; pp. 347–354. [Google Scholar]
- Ara, H.; Jaiswal, U.; Jaiswal, V. Synthetic seed: Prospects and limitation. Curr. Sci. 2000, 78, 1438–1444. [Google Scholar]
- Daud, M.; Taha, M.Z.; Hasbullah, A.Z. Artificial seed production from encapsulated micro shoots of Sainpaulia ionantha Wendl. (African Violet). J. Appl. Sci. 2008, 8, 4662–4667. [Google Scholar] [CrossRef]
- Saiprasad, G.V.S. Artificial seeds and their applications. Resonance 2001, 6, 39–46. [Google Scholar] [CrossRef]
- Ahmad, N.; Anis, M. Direct plant regeneration from encapsulated nodal segments of Vitex negundo. Biol. Plant. 2010, 54, 748–752. [Google Scholar] [CrossRef]
- Rai, M.K.; Asthana, P.; Singh, S.K.; Jaiswal, V.S.; Jaiswal, U. The encapsulation technology in fruit plants—A review. Biotechnol. Adv. 2009, 27, 671–679. [Google Scholar] [CrossRef]
- Ravi, D.; Anand, P. Production and applications of artificial seeds: A review. Int. Res. Biol. Sci. 2012, 1, 74–78. [Google Scholar]
- Mohanty, P.; Das, M.C.; Kumaria, S.; Tandon, P. High-efficiency cryopreservation of the medicinal orchid Dendrobium nobile Lindl. Plant Cell Tissue Organ Cult. 2012, 109, 297–305. [Google Scholar] [CrossRef]
- Standardi, A.; Micheli, M. Encapsulation of in vitro-derived explants: An innovative tool for nurseries. Methods Mol. Biol. 2013, 11013, 397–418. [Google Scholar] [PubMed]
- Vdovitchenko, Y.M.; Kuzovkina, I.N. Artificial Seeds as a Way to Produce Ecologically Clean Herbal Remedies and to Preserve Endangered Plant Species, Mosc. Univ. Biolog. Sci. Bull. 2011, 66, 48–50. [Google Scholar] [CrossRef]
- Rai, M.K.; Jaiswal, V.S.; Jaiswal, U. Encapsulation of shoot tips of guava (Psidium guajava L.) for short-term storage and germplasm exchange. Sci. Hortic. 2008, 118, 33–38. [Google Scholar] [CrossRef]
- Nyende, A.B.; Schittenhelm, S.; Mix-Wagner, G.; Greef, J.M. Production, storability, and regeneration of shoot tips of potato (Solanum tuberosum L.) encapsulated in calcium alginate hollow beads. Vitr. Cell. Dev. Biol. Plant 2003, 39, 540–544. [Google Scholar] [CrossRef]
- Gantait, S.; Kundu, S.; Ali, N.; Sahu, N.C. Synthetic seed production of medicinal plants: A review on influence of explants, encapsulation agent and matrix. Acta Physiol. Plant. 2015, 37, 1847. [Google Scholar] [CrossRef]
- Bekheet, S.A. A synthetic seed method through encapsulation of in vitro proliferated bulblets of garlic (Allium sativum L.). Arab. J. Biotech. 2006, 9, 415–426. [Google Scholar]
- Roy, B.; Mandal, A.B. Development of synthetic seeds involving androgenic and pro-embryos in elite indica rice. Indian J. Biotechnol. 2008, 7, 515–519. [Google Scholar]
- Ray, A.; Bhattacharya, S. Storage and plant regeneration from encapsulated shoot tips of Rauvolfia serpentinea–an effective way of conservation and mass propagation. S. Afr. J. Bot. 2008, 74, 776–779. [Google Scholar] [CrossRef]
- Singh, A.K.; Chand, S. Plant regeneration from alginate encapsulated somatic embryos of Dalbergia sissoo Roxb. Indian J. Biotechnol. 2010, 9, 319–324. [Google Scholar]
- Andlib, A.; Verma, R.N.; Batra, A. Synthetic seeds an alternative source for quick regeneration of a zero calorie herb–Stevia rebaudiana Bertoni. J. Pharm. Res. 2011, 4, 2007–2009. [Google Scholar]
- Cheruvathur, M.K.; Kumar, G.K.; Thomas, T.D. Somatic embryogenesis and synthetic seed production in Rhinacanthus nasutus (L.) Kurz. Plant Cell Tissue Organ Cult. 2013, 113, 63–71. [Google Scholar] [CrossRef]
- Singh, S.K.; Rai, M.K.; Asthana, P.; Sahoo, L. Alginate-encapsulation of nodal segments for propagation, short term conservation and germplasm exchange and distribution of Eclipta alba (L.). Acta Physiol. Plant 2010, 32, 607–610. [Google Scholar] [CrossRef]
- Micheli, M.; Hafiz, I.A.; Standardi, A. Encapsulation of in vitro-derived explants of olive (Olea europaea L. cv. Moraiolo) II. Effects of storage on capsule and derived shoots performance. Sci. Hort. 2007, 113, 286–292. [Google Scholar] [CrossRef]
- Shatnawi, M.A.; Engelmann, F.; Frattarelli, A.; Damiano, C. Cryopreservation of apices in vitro plantlets of almond (Prunus dulcis Mill.). Cryoletters 1999, 20, 13–20. [Google Scholar]
- Plessis, P.; Leddet, C.; Dereuddre, J. Resistance to dehydration and to freezing in liquid nitrogen of alginate coated shoot tips of grapevine (Vitis vinifera L. cv. Chardonnay). C. R. Acad. Sci. 1991, 313, 373–380. [Google Scholar]
- Gantait, S.; Kundu, S. Artificial Seed Technology for Storage and Exchange of Plant Genetic Resources. In Advanced Technologies for Crop Improvement and Agricultural Productivity; Agrobios (International): Jodhpur, India, 2017; Chapter 7; pp. 135–159. [Google Scholar]
- Kumari, P.; Kumar, V.; Chandra, S. Synthetic Seeds: A Boon for Conservation and Exchange of Germplasm. Biomed. Res. 2014, 1, 1–11. [Google Scholar]
- Benelli, C.; Micheli, M.; De Carlo, A. An improved encapsulation protocol for regrowth and conservation of four ornamental species. Acta Soc. Bot. Pol. 2017, 86, 1–12. [Google Scholar] [CrossRef]
- Murashige, T.; Skoog, F. A revised medium for rapid growth and bioassays with tobacco tissue cultures. Physiol. Plant. 1962, 15, 473–497. [Google Scholar] [CrossRef]
- Lloyd, G.; McCown, B. Commercially feasible micropropagation of mountain laurel, Kalmia latifolia, by the use of shoot tip culture. Proc. Plant Prop. Soc. 1981, 30, 421–427. [Google Scholar]
- Driver, J.A.; Kuniyuki, A.H. In vitro propagation of Paradox walnut Juglans hindsii × Juglans regia rootstock. HortScience 1984, 19, 507–509. [Google Scholar] [CrossRef]
- McGranahan, G.H.; Driver, J.A.; Tulecke, W. Issue Culture of Juglans. In Cell and Tissue Culture in Forestry; Bonga, J.M., Durzan, D.J., Eds.; Forestry Sciences; Springer: Dordrecht, The Netherlands, 1987; Volume 3, pp. 261–271. [Google Scholar]
- Elhiti, M.; Stasolla, C. The use of zygotic embryos as explants for in vitro propagation: An overview. In Plant Embryo Culture; Thorpe, T., Yeung, E., Eds.; Methods in Molecular Biology; Humana Press: Totowa, NJ, USA, 2011; Volume 710, pp. 229–255. [Google Scholar] [CrossRef]
- Leslie, C.; McGranahan, G. Micropropagation of Persian walnut (Juglans regia L.). In Biotechnology in Agriculture and Forestry, High-Tech and Micropropagation I; Bajaj, Y.P.S., Ed.; Springer: Berlin/Heidelberg, Germany; New York, NY, USA, 1992; Volume 18, pp. 136–150. [Google Scholar]
- Kaur, R.; Sharma, N.; Kumar, K.; Sharma, D.R.; Sharma, S.D. In vitro germination of walnut (Juglans regia L.) embryos. Sci. Hortic. 2006, 109, 385–388. [Google Scholar] [CrossRef]
- Toosi, S.; Dilmagani, K. Proliferation of Juglans regia L. by in vitro embryo culture. J. Cell Biol. Genet. 2010, 1, 12–19. [Google Scholar]
- Ramming, D.W. The use of embryo culture in fruit breeding. HortScience 1990, 25, 393–398. [Google Scholar] [CrossRef]
- Raghavan, V.; Srivastava, P.S. Embryo culture. In Experimental Embryology of Vascular Plants; Johri, B.M., Ed.; Springer: Berlin, Germany, 1982; pp. 195–230. [Google Scholar]
- Sanchez-Zamora, M.A.; Diego Frutos Tomas, J.C.T.; Garcia-Lopez, R. Embryo germination and proliferation in vitro of Juglans regia L. Sci. Hortic. 2006, 108, 317–321. [Google Scholar] [CrossRef]
- Kepenek, K.; Kolağasi, Z. Micropropagation of walnut (Juglans regia L.). Acta Phys. Pol. 2016, 130, 150–156. [Google Scholar] [CrossRef]
- Scaltsoyiannes, A.; Tsoulpha, P.; Panetsos, K.P.; Moulalis, D. Effect of genotype on micropropagation of walnut trees (Juglans regia L.). Silvae Genet. 1997, 46, 326–332. [Google Scholar]
- Tantikanjana, T.; Young, W.H.J.; Letham, D.S.; Griffith, M.; Hussain, M.; Ljung, K. Control of axillary bud proliferation and shoot architecture in Arabidopsis through supershoot gene. Genes Dev. 2001, 15, 1587–1588. [Google Scholar] [CrossRef]
- Yari, M.G.; Gholami, M.; Khazaei, I. Impact of media and different cytokinins concentrations on in vitro shoot multiplication of Persian walnut (Juglans regia L.). Int. J. Farming Allied Sci. 2014, 3, 203–209. [Google Scholar]
- Cossio, F.; Minolta, G. Prove preliminari di coltura in vitro di embrioni isolati di noce (Juglans regia L.) e confronto tra differenti combinazioni di sali minerali. Riv. Fruttic. Ortofloric. 1983, 67, 287–298. [Google Scholar]
- Gruselle, R.; Boxus, P. Walnut micropropagation. Acta Hortic. 1990, 284, 45–52. [Google Scholar] [CrossRef]
- Yao, Y.X.; Sun, Y.W.; Li, G.G.; Li, G.H. Regeneration of plants from in vitro culture of petioles in Prunus domestica Lindl (European Plum). Biotechnol. Biotechnol. Equip. 2011, 25, 2458–2463. [Google Scholar] [CrossRef]
- Liu, X.; Pijut, P.M. Agrobacterium-mediated transformation of mature Prunus serotina (black cherry) and regeneration of transgenic shoots. Plant Cell Tissue Organ Cult. 2010, 101, 49–57. [Google Scholar] [CrossRef]
- Blando, F.; Chiriac, L.; Gerardi, C.; Lucchesini, M.; Rampino, P. Sweet Cherry (Prunus avium L.) ‘Giorgia’, Adventitious Regeneration from Leaves of Microplants. Eur. J. Hort. Sci. 2007, 72, 138–143. [Google Scholar]
- Long, L.M.; Preece, J.E.; Van Sambeek, J.W. Adventitious regeneration of Juglans nigra L. (eastern black walnut). Plant Cell Rep. 1995, 14, 799–803. [Google Scholar] [CrossRef]
- Saadat, Y.A.; Hennerty, M.J. Factors affecting the shoot multiplication of Persian walnut (Juglans regia L.). Sci. Hortic. 2002, 95, 251–260. [Google Scholar] [CrossRef]
- Berjak, P.; Pammenter, N.W. Implications of the lack of desiccation tolerance in recalcitrant seeds. Front. Plant Sci. 2013, 4, 478. [Google Scholar] [CrossRef]
- Wang, Q.; Tanne, E.; Arav, A.; Gafny, R. Cryopreservation of in vitro-grown shoot tips of grapevine by encapsulation-dehydration. Plant Cell Tissue Organ Cult. 2000, 63, 41–46. [Google Scholar] [CrossRef]
- Gonzales-Arnao, M.T.; Englmann, F.; Huet, C.; Urra, C. Cryopreservation of encapsulation apices of sugarcane: Effect of freezing temperatures and histology. Cryoletters 1993, 14, 303–308. [Google Scholar]
- Faisal, M.; Ahmad, N.; Anis, M. In vitro Plant Regeneration from Alginate–Encapsulated Microcuttings of Rauvolfia tetraphylla L. Am.-Eurasian J. Agric. Environ. Sci. 2006, 1, 01–06. [Google Scholar]
- Ganapathi, T.R.; Suprasanna, P.; Bapat, V.A.; Rao, P.S. Propagation of Banana through encapsulated shoot tips. Plant Cell Rep. 1992, 11, 571–575. [Google Scholar] [CrossRef] [PubMed]
- Piccioni, E.; Standardi, A. Encapsulation of micropropagated buds of 6 woody species. Plant Cell Tissue Organ Cult. 1995, 42, 221–226. [Google Scholar] [CrossRef]
- Kikowska, M.; Thiem, B. Alginate-encapsulated shoot tips and nodal segments in micropropagation of medicinal plants. A review. Herba Pol. 2011, 57, 45–57. [Google Scholar]
- Bapat, V.A.; Rao, P.S. In vivo growth of encapsulated axillary buds of mulberry (Morus indica L.). Plant Cell Tissue Org. Cult. 1990, 20, 69–70. [Google Scholar] [CrossRef]
- Sakamoto, Y.; Mashiko, T.; Suzuki, A.; Kawata, H.; Iwasaki, A. Development of encapsulation technology for synthetic seeds. Acta Hort. 1992, 319, 71–76. [Google Scholar] [CrossRef]
- Mondal, P.K.; Bhattacharya, A.; Sood, A.; Ahuja, P.S. Propagation of tea (Camella sinensis L. O. Kuntze) by shoot proliferation of alginate-encapsulated axillary bud stored at 4 °C. Curr. Sci. 2002, 83, 941–944. [Google Scholar]
- Sarmah, D.K.; Borthakur, M.; Borua, P.K. Artificial seed production from encapsulated PLBs regenerated from leaf base of Vanda coerulea Grifft. ex. Lindl.—An endangered orchid. Curr. Sci. 2010, 98, 686–690. [Google Scholar]
- Rihan, H.Z.; Kareem, F.; El-Mahrouk, M.E.; Fuller, M.P. Artificial Seeds (Principle, Aspects and Applications). Agronomy 2017, 7, 71. [Google Scholar] [CrossRef]
- Pritchard, H.W. Water potential and embryonic axis viability in recalcitrant seeds of Quercus rubra. Ann. Bot. Lond. 1991, 67, 43–49. [Google Scholar] [CrossRef]
- Farrant, J.M.; Berjak, P.; Pammenter, N.W. The effect of drying rate on viability retention of recalcitrant propagules of Avicennia marina. S. Afr. J. Bot. 1985, 51, 432–438. [Google Scholar] [CrossRef]
- Ali, A.; Gull, I.; Majid, A.; Saleem, A.; Naz, S.; Naveed, N.H. In vitro conservation and production of vigorous and desiccate tolerant synthetic seeds in Stevia rebaudiana. J. Med. Plants Res. 2012, 6, 1327–1333. [Google Scholar]
- Ali, A.; Iqbal, M.; Majid, A.; Naveed, N.; Rehman, A.; Afghan, S. In vitro conservation and production of vigorous and desiccate tolerant synthetic seed formation in sugarcane (Saccharum officinarum L.). In Proceedings of the Conference: Annual Convention PSST, Rawalpindi, Pakistan, 9–10 September 2013; Volume 47. [Google Scholar]
- Nassar, A.H. Slow Growth Storage of Encapsulated Germplasm of Coffea arabica L. Int. J. Agric. Biol. 2003, 5, 517–520. [Google Scholar]
- Soneji, J.R.; Roa, P.S.; Mhatre, M. Germination of Synthetic seeds of pineapple (Ananas comosus L. Merr.). Plant Cell Rep. 2002, 20, 891–894. [Google Scholar] [CrossRef]
- Pattnaik, S.; Chand, P.K. Morphogenetic response of the alginate–encapsulated axillary buds from in vitro shoot cultures of six mulberries. Plant Cell Tissus Org. Cult. 2000, 60, 177–185. [Google Scholar] [CrossRef]





| Group/Incubation Conditions | Variety | Regrowth Time (Mean ± Std. Dev.) | Period of the First Subculture |
|---|---|---|---|
| I Incubation at 25 °C | Korçë | 5.85 ± 1.18 a | 3 months (no signs of necrosis) |
| Përmet | 5.95 ± 0.92 a | ||
| Peshkopi | 6.11 ± 0.81 a | ||
| Tropojë | 5.58 ± 1.72 a | ||
| II Incubation at 25 °C after synthetic seed dehydration procedure | Korçë | 14.00 ± 1.28 b | 4 weeks (conspicuous signs of necrosis) |
| Përmet | 13.87 ± 1.72 bc | ||
| Peshkopi | 14.75 ± 1.28 b | ||
| Tropojë | 14.63 ± 1.93 b | ||
| III Incubation at 8 °C | Korçë | 17.08 ± 1.52 ef | 3 + 1 = 4 months (slight signs of necrosis) |
| Përmet | 16.00 ± 2.07 cd | ||
| Peshkopi | 16.83 ± 1.58 de | ||
| Tropojë | 16.61 ± 0.82 de | ||
| IV Incubation at 8 °C after synthetic seed dehydration procedure | Korçë | 17.00 ± 1.26 ef | 3 + 0.5 = 3.5 months (severe signs of necrosis) |
| Përmet | 18.00 ± 0.81 ef | ||
| Peshkopi | 17.25 ± 0.95 ef | ||
| Tropojë | 18.16 ± 1.33 f | ||
| Note: Levels not connected by the same letter, are significantly different between (p ≤ 0.05) | |||
Disclaimer/Publisher’s Note: The statements, opinions and data contained in all publications are solely those of the individual author(s) and contributor(s) and not of MDPI and/or the editor(s). MDPI and/or the editor(s) disclaim responsibility for any injury to people or property resulting from any ideas, methods, instructions or products referred to in the content. |
© 2023 by the authors. Licensee MDPI, Basel, Switzerland. This article is an open access article distributed under the terms and conditions of the Creative Commons Attribution (CC BY) license (https://creativecommons.org/licenses/by/4.0/).
Share and Cite
Sota, V.; Benelli, C.; Myrselaj, M.; Kongjika, E.; Gruda, N.S. Short-Term Conservation of Juglans regia L. via Synthetic Seed Technology. Horticulturae 2023, 9, 559. https://doi.org/10.3390/horticulturae9050559
Sota V, Benelli C, Myrselaj M, Kongjika E, Gruda NS. Short-Term Conservation of Juglans regia L. via Synthetic Seed Technology. Horticulturae. 2023; 9(5):559. https://doi.org/10.3390/horticulturae9050559
Chicago/Turabian StyleSota, Valbona, Carla Benelli, Matilda Myrselaj, Efigjeni Kongjika, and Nazim S. Gruda. 2023. "Short-Term Conservation of Juglans regia L. via Synthetic Seed Technology" Horticulturae 9, no. 5: 559. https://doi.org/10.3390/horticulturae9050559
APA StyleSota, V., Benelli, C., Myrselaj, M., Kongjika, E., & Gruda, N. S. (2023). Short-Term Conservation of Juglans regia L. via Synthetic Seed Technology. Horticulturae, 9(5), 559. https://doi.org/10.3390/horticulturae9050559

