Effects of Different Irrigation Regimes and Nitrogen Fertilization on the Physicochemical and Bioactive Characteristics of onion (Allium cepa L.)
Abstract
1. Introduction
2. Materials and Methods
2.1. Study Site
2.2. Crop Establishment and Management
2.3. Treatments and Experimental Design
2.4. Physicochemical Parameters
2.5. Pyruvic Acid Determination
2.6. Ascorbic Acid Determination
2.7. Preparation of Onion Extracts
2.8. Total Phenol Determination
2.9. Antioxidant Capacity Determination
2.9.1. Ferric Reducing Antioxidant Power (FRAP)
2.9.2. DPPH (2,2-Diphenyl-2-Pycrylhydrazyl)
2.9.3. ABTS (acid 2,2′-Azyno-bis-3 Ethylbenzothiazoline-6-Sulfonic)
2.10. Erythroprotective Activity
2.11. Statistical Analysis
3. Results and Discussions
3.1. Physicochemical Parameters
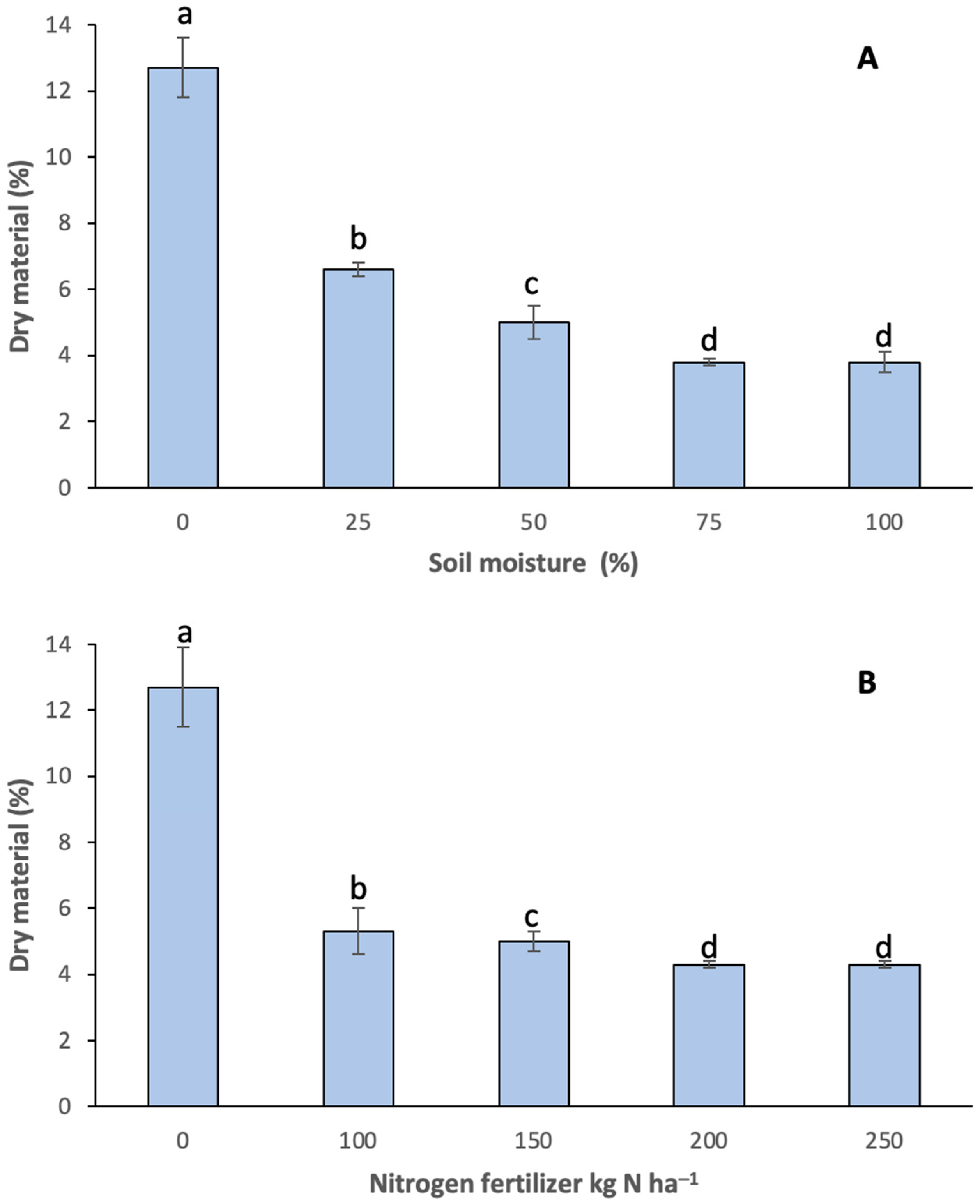
3.2. Pyruvic Acid Content
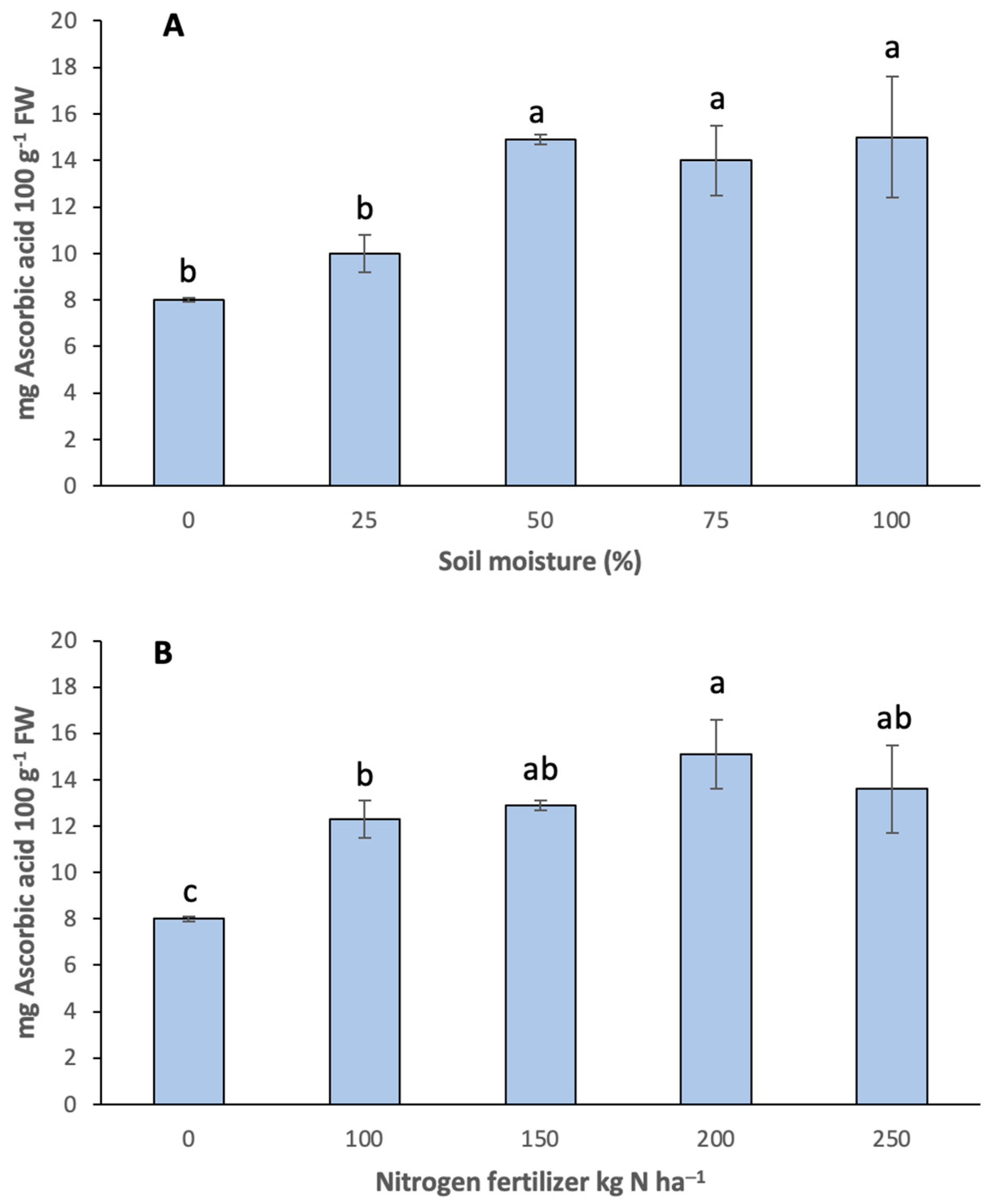
3.3. Ascorbic Acid Content
3.4. Total Phenols
3.5. Antioxidant Capacity
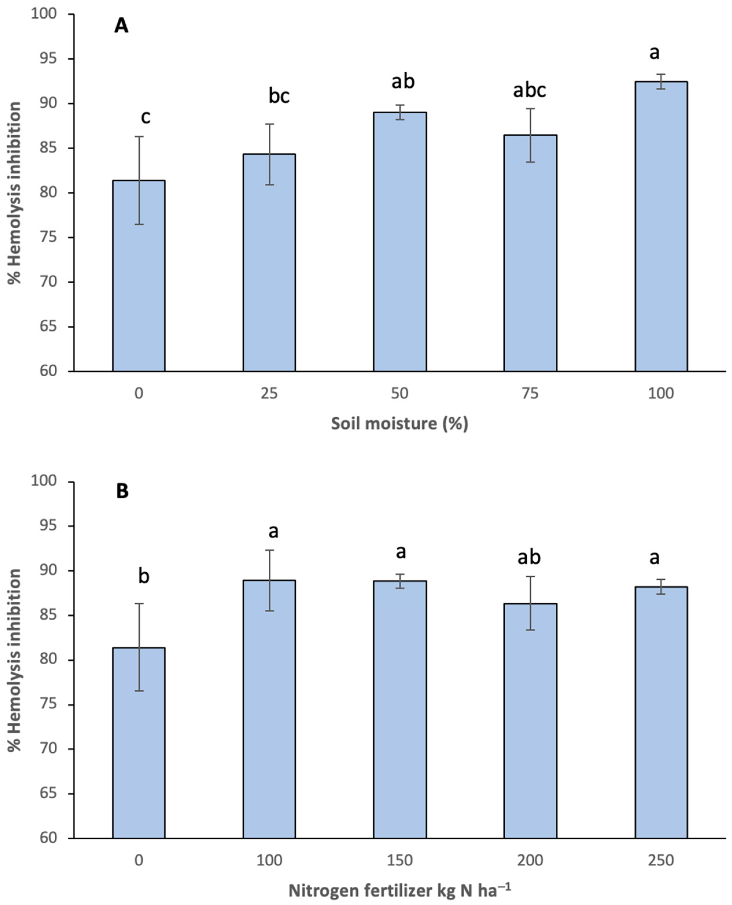
3.6. Erythroprotection Effect
3.7. Combined Variable Analysis with Principal Components
4. Conclusions
Author Contributions
Funding
Institutional Review Board Statement
Informed Consent Statement
Data Availability Statement
Conflicts of Interest
Sample Availability
References
- Mishra, P.; Sarkar, C.; Vishwajith, K.P.; Dhekale, B.S.; Sahu, P.K. Instability and forecasting using ARIMA model in area, production and productivity of onion in India. J. Crop Weed 2013, 9, 96–101. [Google Scholar]
- FAO (Food and Agriculture Organization of the United Nations). The State of Food and Agriculture. Available online: https://www.fao.org/3/ca6030en/ca6030en.pdf (accessed on 9 July 2019).
- Suleria, H.A.R.; Butt, M.S.; Anjum, F.M.; Saeed, F.; Khalid, N. Onion: Nature protection against physiological threats. Crit. Rev. Food Sci. Nutr. 2015, 55, 50–66. [Google Scholar] [CrossRef]
- Alabi, K.P.; Olaniyan, A.M.; Odewole, M.M. Characteristics of onion under different process pretreatments and different drying conditions. J. Food Process. Technol. 2016, 7, 2. [Google Scholar]
- Pérez-Gregorio, M.R.; García-Falcón, M.S.; Simal-Gándara, J. Flavonoids changes in fresh-cut onions during storage in different packaging systems. Food Chem. 2011, 124, 652–658. [Google Scholar] [CrossRef]
- Pérez-Gregorio, M.R.; Regueiro, J.; Simal-Gándara, J.; Rodrigues, A.S.; Almeida, D.P.F. Increasing the added-value of onions as a source of antioxidant flavonoids: A critical review. Crit. Rev. Food Sci. Nutr. 2014, 54, 1050–1062. [Google Scholar] [CrossRef]
- Eltaweel, M. Assessment of antimicrobial activity of onion extract (Allium cepa) on Staphylococcus aureus; in vitro study. In Proceedings of the International Conference on Chemical, Agricultural and Medical Sciences. Int. J. Adv. Chem. Eng. Biol. Sci. 2013, 1, 29–30. [Google Scholar]
- Bystrická, J.; Musilová, J.; Vollmannová, A.; Timoracká, M.; Kavalcová, P. Bioactive components of onion (Allium cepa L.)—A Review. Acta Aliment. 2013, 42, 11–22. [Google Scholar] [CrossRef]
- Lee, J.H.; Lee, Y.B.; Seo, W.D.; Kang, S.T.; Lim, J.W.; Cho, K.M. Comparative studies of antioxidant activities and nutritional constituents of persimmon juice (Diospyros kaki L. cv. Gapjubaekmok). Prev. Nutr. Food Sci. 2012, 17, 141–151. [Google Scholar] [CrossRef] [PubMed]
- Marrelli, M.; Amodeo, V.; Statti, G.; Conforti, F. Biological properties and bioactive components of Allium cepa L.: Focus on potential benefits in the treatment of obesity and related comorbidities. Molecules 2019, 24, 119. [Google Scholar] [CrossRef]
- Razavi-Azarkhiavi, K.; Behravan, J.; Mosaffa, F.; Sehatbakhsh, S.; Shirani, K.; Karimi, G. Protective effects of aqueous and ethanol extracts of rosemary on H2O2-induced oxidative DNA damage in human lymphocytes by comet assay. J. Complement. Integr. Med. 2014, 11, 27–33. [Google Scholar] [CrossRef] [PubMed]
- Li, Q.; Wang, Y.; Mai, Y.; Li, H.; Wang, Z.; Xu, J.; He, X. Health benefits of the flavonoids from onion: Constituents and their pronounced antioxidant and anti-neuroinflammatory capacities. J. Agric. Food Chem. 2020, 68, 799–807. [Google Scholar] [CrossRef] [PubMed]
- Sidhu, J.S.; Ali, M.; Al-Rashdan, A.; Ahmed, N. Onion (Allium cepa L.) is potentially a good source of important antioxidants. J. Food Sci. Technol. 2019, 56, 1811–1819. [Google Scholar] [CrossRef] [PubMed]
- Apak, R.; Özyürek, M.; Güçlü, K.; Çapanoģlu, E. Antioxidant activity/capacity measurement. 1. Classification, physicochemical principles, mechanisms, and electron transfer (ET)-based assays. J. Agric. Food Chem. 2016, 64, 997–1027. [Google Scholar] [PubMed]
- Loredana, L.; Giuseppina, A.; Filomena, N.; Florinda, F.; Marisa, D.; Donatella, A. Biochemical, antioxidant properties and antimicrobial activity of different onion varieties in the Mediterranean area. J. Food Meas. Charact. 2019, 13, 1232–1241. [Google Scholar] [CrossRef]
- Manohar, C.M.; Xue, J.; Murayyan, A.; Neethirajan, S.; Shi, J. Antioxidant activity of polyphenols from Ontario grown onion varieties using pressurized low polarity water technology. J. Funct. Foods 2017, 31, 52–62. [Google Scholar] [CrossRef]
- Islam, S.; Khar, A.; Singh, S.; Tomar, B.S. Variability, heritability and trait association studies for bulb and antioxidant traits in onion (Allium cepa L.) varieties. Indian J. Agric. Sci. 2019, 89, 450–457. [Google Scholar] [CrossRef]
- Yang, S.J.; Paudel, P.; Shrestha, S.; Seong, S.H.; Jung, H.A.; Choi, J.S. In vitro protein tyrosine phosphatase 1B inhibition and antioxidant property of different onion peel cultivars: A comparative study. Food Sci. Nutr. 2019, 7, 205–215. [Google Scholar] [CrossRef]
- Toscano-Sagar, N.A.; Pareek, S.; González-Aguilar, G.A. Cuantificación de flavonoides, fenoles totales y propiedades antioxidantes de la piel de cebolla: Un estudio comparativo de quince cultivares indios. Rev. Cienc. Tecnol. Aliment. 2020, 57, 2423–2432. [Google Scholar]
- Toscano, S.; Trivellini, A.; Cocetta, G.; Bulgari, R.; Francini, A.; Romano, D.; Ferrante, A. Effect of preharvest abiotic stresses on the accumulation of bioactive compounds in horticultural produce. Front. Plant Sci. 2019, 10, 1212. [Google Scholar] [CrossRef]
- Gharibi, S.; Tabatabaei, B.E.S.; Saeidi, G.; Goli, S.A.H. Effect of drought stress on total phenolic, lipid peroxidation, and antioxidant activity of Achillea species. Appl. Biochem. Biotechnol. 2016, 178, 796–809. [Google Scholar] [CrossRef]
- Manach, C.; Scalbert, A.; Morand, C.; Rémésy, C.; Jiménez, L. Polyphenols: Food sources and bioavailability. Am. J. Clin. Nutr. 2004, 79, 727–747. [Google Scholar] [CrossRef] [PubMed]
- Piri, H.; Naserin, A. Effect of different levels of water, applied nitrogen and irrigation methods on yield, yield components and IWUE of onion. Sci. Hortic. 2020, 268, 109361. [Google Scholar] [CrossRef]
- Mallor, G.C.; Carravedo, F.M.; Estopañán, M.G.; Mallor, G.F. Characterization of genetic resources of onion (Allium cepa L.) from the Spanish secondary centre of diversity. Span. J. Agric. Res. 2011, 9, 144–155. [Google Scholar] [CrossRef]
- Agnieszka, S.; Robert, P.; Del, V.L.; Silvano, S.; Gianluca, C. Interactions among genotype, environment and agronomic practices on production and quality of storage onion (Allium cepa L.)–A review. Hortic. Sci. 2017, 44, 21–42. [Google Scholar]
- Kimura, Y.; Okazaki, K.; Yanagida, D.; Muro, T. Cultivar and regional diferences in the metabolite composition of onion (Allium cepa L.). Sci. Hortic. 2014, 168, 1–8. [Google Scholar] [CrossRef]
- Galdon, B.R.; Rodriguez, C.T.; Rodriguez, E.R.; Ronero, C.D. Organic acid contents in onion cultivars (Allium cepa L.). J. Agric. Food Chem. 2008, 56, 6512–6519. [Google Scholar] [CrossRef]
- García, E. Modificaciones al Sistema de Clasificación Climática de Köppen; Instituto de Geografía–UNAM: Ciudad de México, Mexico, 1988. [Google Scholar]
- Association of Official Analytical Chemists-AOAC. Official Methods of Analysis, 16th ed.; Association of Official Analytical Chemists-AOAC: Gaithersburg Montgomery, MD, USA, 1998; p. 23. [Google Scholar]
- Petropoulos, S.A.; Ntatsi, G.; Fernandes, Â.; Barros, L.; Barreira, J.C.M.; Ferreira, I.C.; Antoniadis, V. Long-term storage effect on chemical composition, nutritional value and quality of Greek onion landrace “Vatikiotiko”. Food Chem. 2016, 201, 168–176. [Google Scholar] [CrossRef]
- Coca, A.; Carranza, C.E.; Miranda, D.; Rodríguez, M.H. Efecto del NaCl sobre los parámetros de crecimiento, rendimiento y calidad de la cebolla de bulbo (Allium cepa L.) bajo condiciones controladas. Rev. Colomb. Cienc. Hortícolas 2012, 6, 196–212. [Google Scholar]
- Anthon, G.E.; Barret, M. Modified method for the determination of pyruvic acid with dinitrophenyl hydrazine in the assessment of onion pungency. J. Sci. Food Agric. 2003, 83, 1210–1213. [Google Scholar] [CrossRef]
- Downes, K.; Chope, G.A.; Terry, L.A. Effect of curing at different temperatures on biochemical composition of onion (Allium cepa L.) skin from three freshly cured and cold stored UK-grown onion cultivars. Post Harv. Biol. Technol. 2009, 54, 80–86. [Google Scholar] [CrossRef]
- Eldeen, I.M.S.; Seow, E.M.; Abdullah, R.; Sulaiman, S.F. In vitro antibacterial, antioxidant, total phenolic contents and anti-HIV-1 reverse transcriptase activities of extracts of seven Phyllanthus sp. S. Afr. J. Bot. 2011, 77, 75–79. [Google Scholar] [CrossRef]
- Rubio, C.P.; Hernández-Ruiz, J.; Martínez-Subiela, S.; Tvarijonaviciute, A.; Ceron, J.J. Spectrophotometric assays for total antioxidant capacity (TAC) in dog serum: An update. BMC Vet. Res. 2016, 12, 166. [Google Scholar] [CrossRef]
- Molyneux, P. The use of the stable radical dipheylpicrylhydrazyl (DPPH) for estimating antioxidant activity. Songklanakarin J. Sci. Technol. 2004, 26, 211–219. [Google Scholar]
- Re, R.; Pellegrini, N.; Proteggente, A.; Pannala, A.; Yang, M.; Rice-Evans, C. Antioxidant activity applying an improved ABTS radical cation decolorization assay. Free Radic. Biol. Med. 1999, 26, 1231–1237. [Google Scholar] [CrossRef] [PubMed]
- Del-Toro-Sánchez, C.L.; Rodríguez-Félix, F.; Cinco-Moroyoqui, F.J.; Juárez, J.; Ruiz-Cruz, S.; Wong-Corral, F.J.; Borboa-Flores, J.; Castro-Enríquez, D.D.; Barreras-Urbina, C.G.; Tapia-Hernández, J.A. Recovery of phytochemical from three safflower (Carthamus tinctorius L.) by-products: Antioxidant properties, protective effect of human erythrocytes and profile by UPLC-DAD-MS. J. Food Process. Preserv. 2021, 45, e15765. [Google Scholar] [CrossRef]
- NOM-253-SSA1-2012. Norma Oficial Mexicana, for the Disposal of Human Blood and Its Components for Therapeutic Purposes. Available online: http://www.cnts.salud.gob.mx/descargas/NOM-253-SSA1-2012.pdf (accessed on 26 October 2020).
- Lu, J.; Jin, Y.; Liu, G.; Zhu, N.; Gui, M.; Yu, A.; Li, X. Flavonoids from the leaves of Actinidia kolomikta. Chem. Nat. Compd. 2010, 46, 205–208. [Google Scholar] [CrossRef]
- Wakchaure, G.C.; Minhas, P.S.; Kumar, S.; Khapte, P.S.; Meena, K.K.; Rane, J.; Pathak, H. Quantification of water stress impacts on canopy traits, yield, quality and water productivity of onion (Allium cepa L.) cultivars in a shallow basaltic soil of water scarce zone. Agric. Water Manag. 2021, 249, 106824. [Google Scholar] [CrossRef]
- Venâncio, J.B.; da Silva Dias, N.; de Medeiros, J.F.; de Moraes, P.L.D.; do Nascimento, C.W.A.; de Sousa Neto, O.N.; da Silva Sá, F.V. Yield and morphophysiology of onion grown under salinity and fertilization with silicon. Sci. Hortic. 2022, 301, 111095. [Google Scholar] [CrossRef]
- Klunklin, W.; Savage, G. Effect on quality characteristics of tomatoes grown under well-watered and drought stress conditions. Foods 2017, 6, 56. [Google Scholar] [CrossRef]
- Golubkina, N.; Caruso, G. Nutritional Composition and Antioxidant Properties of Fruits and Vegetables, 1st ed.; Jaiswal, A.K., Ed.; Academic Press: London, UK, 2020; Volume 1, pp. 73–87. [Google Scholar]
- Pejic, B.; Gvozdanovi, J.; Mili, S.; Ignjatovi, A.; Krsti, D. Effect of irrigation schedules on yield and water use of onion (Allium cepa L.). Afr. J. Biotechnol. 2011, 10, 2644–2652. [Google Scholar]
- Ghodke, P.H.; Andhale, P.S.; Gijare, U.M.; Thangasamy, A.; Khade, Y.P.; Mahajan, V.; Singh, M. Physiological and biochemical responses in onion crop to drought stress. Int. J. Curr. Microbiol. Appl. Sci. 2018, 7, 2054–2062. [Google Scholar] [CrossRef]
- Yoo, K.S.; Lee, E.J.; Patil, B.S. Changes in flavor precursors, pungency, and sugar content in short-day onion bulbs during 5-month storage at various temperatures or in controlled atmospheres. J. Food Sci. 2012, 77, 216–221. [Google Scholar] [CrossRef]
- Chávez-Mendoza, C.; Vega-Garcia, M.O.; Guevara-Aguilar, A.; Sánchez, E.; Alvarado-González, M.; Flores-Córdova, M.A. Effect of prolonged storage in controlled atmospheres on the conservation of the onion (Allium cepa L.) quality. Emir. J. Food Agric. 2016, 28, 842–852. [Google Scholar] [CrossRef]
- Hanci, F.; Cebeci, E. Improvement of abiotic stress tolerance in onion: Selection studies under salinity conditions. Int. J. Eng. Sci. 2019, 7, 54–58. [Google Scholar]
- Almaroai, Y.A.; Eissa, M.A. Role of marine algae extracts in water stress resistance of onion under semiarid conditions. J. Soil Sci. Plant Nutr. 2020, 20, 1092–1101. [Google Scholar] [CrossRef]
- Eissa, M.A.; Roshdy, N.M.K. Nitrogen fertilization: Effect on Cd-phytoextraction by the halophytic plant quail bush [Atriplex lentiformis (Torr.) S. Wats]. S. Afr. J. Bot. 2018, 115, 126–131. [Google Scholar] [CrossRef]
- Randle, W.M. Increasing nitrogen concentration in hydroponic solutions affects onion flavor and bulb quality. J. Am. Soc. Hort. Sci. 2000, 125, 254–259. [Google Scholar] [CrossRef]
- Di Miceli, G.; Farruggia, D.; Iacuzzi, N.; Bacarella, S.; La Bella, S.; Consentino, B.B. Planting date and different n-fertilization rates differently modulate agronomic and economic traits of a sicilian onion landrace and of a commercial variety. Horticulturae 2022, 8, 454. [Google Scholar] [CrossRef]
- Fatideh, M.M.; Asil, M.H. Onion yield, quality and storability as affected with different soil moisture and nitrogen regimes. South West. J. Hortic. Biol. Environ. 2012, 3, 145–165. [Google Scholar]
- Abdelkhalik, A.; Pascual, B.; Najera, I.; Baixauli, C.; Pascual, S.N. Regulated deficit irrigation as a water-saving strategy for onion cultivation in Mediterranean Conditions. Agronomy 2019, 9, 521. [Google Scholar] [CrossRef]
- Khokhar, K.M. Mineral nutrient management for onion bulb crops—A review. J. Hortic. Sci. Biotechnol. 2019, 94, 703–717. [Google Scholar] [CrossRef]
- Abdissa, Y.; Tekalign, T.; Pant, L.M. Growth, bulb yield and quality of onion (Allium cepa L.) as influenced by nitrogen and phosphorus fertilization on vertisol I. growth attributes, biomass production and bulb yield. Afr. J. Agric. Res. 2011, 6, 3252–3258. [Google Scholar]
- Gonçalves, F.D.C.; Grangeiro, L.C.; de Sousa, V.D.F.; Santos, J.P.D.; Souza, F.I.D.; da Silva, L.R. Yield and quality of densely cultivated onion cultivars as function of nitrogen fertilization. Rev. Bras. Eng. Agricola Ambient. 2019, 23, 847–851. [Google Scholar] [CrossRef]
- Patanè, C.; Tringali, S.; Sortino, O. Effects of deficit irrigation on biomass, yield, water productivity and fruit quality of processing tomato under semi-arid Mediterranean climate conditions. Sci. Hortic. 2011, 129, 590–596. [Google Scholar] [CrossRef]
- Wichrowska, D.; Wojdyła, T.; Rolbiecki, S.; Rolbiecki, R.; Czop, P.; Jagosz, B.; Ptach, W. Effect of nitrogen fertilization on the marketable yield and nutritive value of onion. Acta Sci. Pol. Hortorum Cultus 2017, 16, 125–133. [Google Scholar] [CrossRef]
- Golubkina, N.; Amalfitano, C.; Sekara, A.; Tallarita, A.; Pokluda, R.; Stoleru, V.; Cuciniello, A.; Agafonov, A.F.; Kalisz, A.; Hamburdă, S.B.; et al. Yield and bulb quality of storage onion cultivars as affected by farming system and nitrogen dose. Sci. Hortic. 2022, 293, 110751. [Google Scholar] [CrossRef]
- Ncayiyana, M.; Bertling, I.; Maboko, M.M. Yield and nutritional quality of different short-day onion cultivars as affected by nitrogen application. S. Afr. J. Plant Soil 2018, 35, 215–221. [Google Scholar] [CrossRef]
- Cheng, A.; Chen, X.; Jin, Q.; Wang, W.; Shi, J.; Liu, Y. Comparison of phenolic content and antioxidant capacity of red and yellow onions. Czech J. Food Sci. 2013, 31, 501–508. [Google Scholar] [CrossRef]
- López-Martínez, L.X.; Aguilar-Cisneros, L.M.; Dublán-García, O. Actividad antioxidante e inhibidora de α-glucosidasa y α-amilasa de tres variedades de cebolla (Allium cepa L.). Nova Scientia 2014, 6, 234–347. [Google Scholar] [CrossRef]
- Pulido, R.; Bravo, L.; Saura-Calixto, F. Antioxidant activity of dietary polyphenols as determined by a modified ferric reducing/antioxidant power assay. J. Agric. Food Chem. 2000, 48, 3396–3402. [Google Scholar] [CrossRef]
- Gorinstein, S.; Leontowicz, H.; Leontowicz, M.; Namiesnik, J.; Najman, K.; Drzewie, M.; Martincová, O.; Katrich, E.; Trakhtenberg, S. Comparison of the main bioactive compounds and antioxidant activities in garlic and white and red onions after treatment protocols. J. Agric. Food Chem. 2008, 56, 4418–4426. [Google Scholar] [CrossRef] [PubMed]
- Ibrahim, M.H.; Jaafar, H.Z.; Rahmat, A.; Rahman, Z.A. Involvement of nitrogen on flavonoids, glutathione, anthocyanin, ascorbic acid and antioxidant activities of Malaysian medicinal plant Labisia pumila Blume (Kacip Fatimah). Int. J. Mol. Sci. 2012, 13, 393–408. [Google Scholar] [CrossRef] [PubMed]
- Zhao, X.X.; Lin, F.J.; Li, H.; Li, H.B.; Wu, D.T.; Geng, F.; Ma, W.; Wang, Y.; Miao, B.H.; Gan, R.Y. Recent advances in bioactive compounds, health functions, and safety concerns of onion (Allium cepa L.). Front. Nutr. 2021, 8, 669805. [Google Scholar] [CrossRef] [PubMed]
- Brglez, M.E.; Knez, H.M.; Škerget, M.; Knez, Ž.; Bren, U. Polyphenols: Extraction methods, antioxidative action, bioavailability and anticarcinogenic effects. Molecules 2016, 21, 901. [Google Scholar] [CrossRef]





| Variable | January | February | March | April | May |
|---|---|---|---|---|---|
| Accumulated precipitation (mm) | 8.90 | 0.10 | 0.00 | 0.00 | 0.00 |
| Total solar (Cal cm−2) | 259.37 | 357.70 | 456.14 | 526.70 | 581.27 |
| Minimum air temperature (°C) | 3.48 | 5.72 | 6.67 | 11.67 | 14.12 |
| Maximum air temperature (°C) | 21.37 | 24.15 | 25.57 | 32.77 | 35.83 |
| Average air temperature (°C) | 12.10 | 14.91 | 16.32 | 22.82 | 25.48 |
| Minimum relative humidity (%) | 28.29 | 18.06 | 17.93 | 12.73 | 10.52 |
| Maximum relative humidity (%) | 88.81 | 84.27 | 83.63 | 74.72 | 82.27 |
| Average relative humidity (%) | 58.79 | 46.82 | 45.61 | 37.81 | 39.83 |
| Average dew points (°C) | 2.29 | 1.36 | 2.22 | 4.39 | 7.40 |
| Average wind speed (m s−1) | 1.25 | 1.55 | 1.64 | 1.76 | 1.81 |
| Average soil temperature (°C) | 12.81 | 13.74 | 15.24 | 19.85 | 23.00 |
| Treatment | Available Soil Moisture (%) | Nitrogen Fertilization Dosage (Kg ha−1) |
|---|---|---|
| 1 | 0 | 0 |
| 2 | 25 | 100 |
| 3 | 25 | 150 |
| 4 | 25 | 200 |
| 5 | 25 | 250 |
| 6 | 50 | 100 |
| 7 | 50 | 150 |
| 8 | 50 | 200 |
| 9 | 50 | 250 |
| 10 | 75 | 100 |
| 11 | 75 | 150 |
| 12 | 75 | 200 |
| 13 | 75 | 250 |
| 14 | 100 | 100 |
| 15 | 100 | 150 |
| 16 | 100 | 200 |
| 17 | 100 | 250 |
| Color | |||||||||
|---|---|---|---|---|---|---|---|---|---|
| Available Soil Moisture (%) | pH | Titratable Acidity (%) | TSS * (°Brix) | L* | a* | b* | C* | h | Firmness (kg cm−2) |
| 0 | 5.9 ± 0.1 a | 0.12 ± 0.0 b | 14.4 ± 0.3 a | 95.7 ± 1.0 a | −1.0 ± 0.6 a | 15.0 ± 1.4 a | 14.6 ± 0.8 a | 93.7 ± 2.0 b | 4.5 ± 2.0 a |
| 25 | 5.7 ± 0.0 b | 0.12 ± 0.0 b | 12.3 ± 0.0 b | 91.3 ± 1.4 b | −1.8 ± 1.9 b | 12.6 ± 0.5 b | 12.7 ± 0.5 b | 96.9 ± 2.2 a | 3.4 ± 1.0 b |
| 50 | 5.7 ± 0.0 b | 0.12 ± 0.0 b | 12.3 ± 0.0 b | 90.0 ± 0.2 c | −1.5 ± 0.2 ab | 11.1 ± 0.8 c | 11.0 ± 0.8 c | 97.7 ± 1.3 a | 3.6 ± 0.0 b |
| 75 | 5.7 ± 0.0 b | 0.13 ± 0.0 a | 12.2 ± 0.0 b | 89.5 ± 0.8 c | −1.5 ± 0.7 ab | 11.0 ± 1.4 c | 11.1± 1.5 c | 97.5 ± 2.5 a | 3.8 ± 1.5 b |
| 100 | 5.7 ± 0.0 b | 0.13 ± 0.0 a | 12.3 ± 0.0 b | 89.7 ± 1.4 c | −1.4 ± 0.6 ab | 10.4 ± 1.2 c | 10.6 ± 1.2 c | 97.7 ± 2.2 a | 3.7 ± 0.1 b |
| Color | |||||||||
| Nitrogen (kg N Ha−1) | pH | Titratable Acidity (%) | TSS * (°Brix) | L* | a* | b* | C* | h | Firmness (kg cm−2) |
| 0 | 5.9 ± 0.1 a | 0.12 ± 0.0 b | 14.4 ± 0.3 a | 95.7 ± 1.0 a | −1.0 ± 0.6 a | 15.0± 1.4 a | 14.6 ± 0.8 a | 93.7 ± 2.0 b | 4.5 ± 2.0 a |
| 100 | 5.7 ± 0.0 b | 0.12 ± 0.0 b | 12.3 ± 0.0 b | 90.3 ± 1.4 b | −1.5 ± 1.9 ab | 11.0 ± 0.5 b | 11.1 ± 0.5 b | 96.4 ± 2.2 a | 3.6 ± 1.0 b |
| 150 | 5.7 ± 0.0 b | 0.13 ± 0.0 a | 12.3 ± 0.0 b | 90.1 ± 0.2 b | −1.5 ± 0.2 ab | 11.4 ± 0.8 b | 11.5 ± 0.8 b | 97.5 ± 1.3 a | 3.6± 0.0 b |
| 200 | 5.7 ± 0.0 b | 0.13 ± 0.0 a | 12.2 ± 0.0 b | 90.1 ± 0.8 b | −1.6 ± 0.7 ab | 11.0 ± 1.4 b | 11.2± 1.5 b | 97.9 ± 2.5 a | 3.7 ± 1.5 b |
| 250 | 5.7 ± 0.0 b | 0.13 ± 0.0 a | 12.2 ± 0.0 b | 90.0 ± 1.4 b | −1.6 ± 0.6 b | 11.7 ± 1.2 b | 11.7 ± 1.2 b | 97.9 ± 2.2 a | 3.5 ± 0.1 b |
| Available Soil Moisture (%) | Total Phenols (mg GAE g−1 DW) | FRAP (µM TE g−1 DW) | DPPH (µM TE g−1 DW) | ABTS (µM TE g−1 DW) |
|---|---|---|---|---|
| 0 | 25.40 ± 0.1 a | 66.78 ± 0.0 a | 37.91 ± 1.2 e | 32.89 ± 0.3 e |
| 25 | 17.52 ± 0.7 b | 50.08 ± 0.1 b | 42.57 ± 0.1 a | 63.74 ± 0.2 a |
| 50 | 15.99 ± 0.2 c | 48.45 ± 0.2 c | 41.88 ± 0.1 b | 55.58 ± 0.2 b |
| 75 | 14.78 ± 0.1 d | 47.57 ± 0.3 d | 41.47 ± 0.1 c | 51.97 ± 0.0 c |
| 100 | 11.86 ± 0.7 e | 43.61 ± 0.3 e | 38.53 ± 0.4 d | 49.86 ± 1.4 d |
| Nitrogen Fertilizer kg N ha−1 | Total Phenols (mg GAE g−1 DW) | FRAP (µM TE g−1 DW) | DPPH (µM TE g−1 DW) | ABTS (µM TE g−1 DW) |
| 0 | 25.40 ± 0.1 a | 66.78 ± 0.0 a | 37.91 ± 1.2 c | 32.89 ± 0.3 d |
| 100 | 15.16 ± 0.7 bc | 46.17 ± 0.1 d | 40.94 ± 0.1 b | 57.57 ± 0.2 a |
| 150 | 16.09 ± 0.2 b | 47.61 ± 0.2 c | 41.35 ± 0.1 a | 56.38 ± 0.2 b |
| 200 | 14.94 ± 0.1 cd | 48.32 ± 0.3 b | 40.87 ± 0.1 b | 56.71 ± 0.0 b |
| 250 | 13.97 ± 0.7 d | 47.61 ± 0.3 c | 41.29 ± 0.4 a | 50.50 ± 1.4 c |
Disclaimer/Publisher’s Note: The statements, opinions and data contained in all publications are solely those of the individual author(s) and contributor(s) and not of MDPI and/or the editor(s). MDPI and/or the editor(s) disclaim responsibility for any injury to people or property resulting from any ideas, methods, instructions or products referred to in the content. |
© 2023 by the authors. Licensee MDPI, Basel, Switzerland. This article is an open access article distributed under the terms and conditions of the Creative Commons Attribution (CC BY) license (https://creativecommons.org/licenses/by/4.0/).
Share and Cite
Barrales-Heredia, S.M.; Grimaldo-Juárez, O.; Suárez-Hernández, Á.M.; González-Vega, R.I.; Díaz-Ramírez, J.; García-López, A.M.; Soto-Ortiz, R.; González-Mendoza, D.; Iturralde-García, R.D.; Dórame-Miranda, R.F.; et al. Effects of Different Irrigation Regimes and Nitrogen Fertilization on the Physicochemical and Bioactive Characteristics of onion (Allium cepa L.). Horticulturae 2023, 9, 344. https://doi.org/10.3390/horticulturae9030344
Barrales-Heredia SM, Grimaldo-Juárez O, Suárez-Hernández ÁM, González-Vega RI, Díaz-Ramírez J, García-López AM, Soto-Ortiz R, González-Mendoza D, Iturralde-García RD, Dórame-Miranda RF, et al. Effects of Different Irrigation Regimes and Nitrogen Fertilization on the Physicochemical and Bioactive Characteristics of onion (Allium cepa L.). Horticulturae. 2023; 9(3):344. https://doi.org/10.3390/horticulturae9030344
Chicago/Turabian StyleBarrales-Heredia, Susana Marlene, Onécimo Grimaldo-Juárez, Ángel Manuel Suárez-Hernández, Ricardo Iván González-Vega, Jairo Díaz-Ramírez, Alejandro Manelik García-López, Roberto Soto-Ortiz, Daniel González-Mendoza, Rey David Iturralde-García, Ramón Francisco Dórame-Miranda, and et al. 2023. "Effects of Different Irrigation Regimes and Nitrogen Fertilization on the Physicochemical and Bioactive Characteristics of onion (Allium cepa L.)" Horticulturae 9, no. 3: 344. https://doi.org/10.3390/horticulturae9030344
APA StyleBarrales-Heredia, S. M., Grimaldo-Juárez, O., Suárez-Hernández, Á. M., González-Vega, R. I., Díaz-Ramírez, J., García-López, A. M., Soto-Ortiz, R., González-Mendoza, D., Iturralde-García, R. D., Dórame-Miranda, R. F., & Del-Toro-Sánchez, C. L. (2023). Effects of Different Irrigation Regimes and Nitrogen Fertilization on the Physicochemical and Bioactive Characteristics of onion (Allium cepa L.). Horticulturae, 9(3), 344. https://doi.org/10.3390/horticulturae9030344

