Next Article in Journal
Effect of Different Cultivation Patterns on Amomum villosum Yield and Quality Parameters, Rhizosphere Soil Properties, and Rhizosphere Soil Microbes
Next Article in Special Issue
Phytochemical and Antioxidant Characterization of Extracts from Unexplored Medicinal Plants Salix schwerinii and Salix kochiana
Previous Article in Journal
The Effect of Potassium–Nitrogen Balance on the Yield and Quality of Strawberries Grown under Soilless Conditions
Previous Article in Special Issue
Assessment of Genetic Variability for Fruit Nutritional Composition in the Ex-Situ Collection of Jujube (Ziziphus spp.) Genotypes of Arid Regions of India
 
 
Font Type:
Arial Georgia Verdana
Font Size:
Aa Aa Aa
Line Spacing:
Column Width:
Background:
Article

Biological Activity of Combretum erythrophyllum: Antioxidant, Apoptotic, and Cytotoxic Activity of the Leaf and Stembark Extract

1
School of Life Sciences, University of KwaZulu-Natal, Westville Campus, Private Bag X54001, Durban 4000, South Africa
2
Plant Production Department, College of Food & Agriculture Sciences, King Saud University, Riyadh 11451, Saudi Arabia
*
Author to whom correspondence should be addressed.
Horticulturae 2023, 9(3), 305; https://doi.org/10.3390/horticulturae9030305
Submission received: 11 January 2023 / Revised: 17 February 2023 / Accepted: 20 February 2023 / Published: 23 February 2023

Abstract

Species of Combretum are highly valued in Africa due to the plethora of traditional medicinal uses they may offer and the medicinally important phytometabolites they are known to contain. Traditionally, C. erythrophyllum is used to treat bacterial infections, venereal diseases, abdominal pain, sores, infertility, and labour pains, while displaying, anti-viral, anti-parasitic, cytotoxic, and mutagenic activities. There are numerous published works available on the bioactivity of phytometabolites of the leaf extracts of C. erythrophyllum; however there have been limited or no studies published on the bioactivity of the stembark. Hence, this study aimed to provide a comparative analysis of the biological activity of the leaf and stembark extracts of C. erythrophyllum. The following characters were evaluated through the emanating study: total flavonoid and phenolic content, as well as the antioxidant, cytotoxic, and apoptosis activities of the leaf and stembark extract. Methanolic extracts appeared to have the highest possible antioxidant potential among all of the tested extracts and displayed the lowest IC50 values (leaf 5.29 and stembark 4.29 µg/mL) when evaluated using the DPPH assay, the methanolic extracts appeared to quantify the largest amount of compositional phenolic content (1341.05 ± 4.4 mg/GAE/g). Methanolic extracts were the best performing, with the overall lowest IC50 values when tested against HeLa and HEK293 cells (leaf 54.53 µg/mL and stembark 18.30 µg/mL). A positive correlation between % inhibition and extract concentrations was noted for all of the assays. The extent/level of antioxidant activity was seen to be directly proportional to the flavonoid and phenolic content. Extracts with the highest total phenolic content appeared to display the strongest cytotoxic activity. This study integrated the use of fluorescence microscopy with acridine orange staining in order to accurately determine the viability of cells. A direct correlation was observed between the results obtained from the cytotoxicity and apoptosis assay. It may be concluded that the antioxidant properties, total phenolic, and total flavonoid content were directly proportional to the apoptotic and cytotoxic activity expressed by the tested extracts. Focus should now be placed on isolating phytocompounds of importance from the best performing extracts. The transformation of an isolate into a drug of pharmacological importance has yet to be appraised on a large scale. Therefore, further evaluation of this species and particularly the transformation of the isolates needs to be explored as this species has shown immense medicinal potential.

1. Introduction

Worldwide, the rate at which infectious diseases are spreading is of the utmost concern [1]. More importantly, a large percentage of these emerging diseases, mainly caused by pathogenic bacteria (e.g., methicillin-resistant Staphylococcus aureus (MRSA)) and viruses (e.g., human immune deficiency virus) are showing signs of drug resistance, rendering most conventional treatments ineffective [2]. Furthermore, signs of drug resistance have also been noted in chemotherapy, a conventional method used for treating numerous cancer types [3]. Because of the inefficiencies of the current conventional treatments, researchers have had to divert attention towards alternate, natural methods of treatment that present minimal side effects, i.e., treatments derived from natural products [4].
Research suggests that cancer is one of the leading causes of fatality in the current age. This is mainly due to the sporadic growth and migration of these aggressive invasive cancer cells. Because of the nature of these cells, they are known to pose a great obstacle in conventional cancer treatment methods (such as chemotherapy) [3]. Conventional methods for treating this ailment have proven to be highly detrimental to the host, with extreme side effects, as chemotherapeutic agents are extremely toxic in nature [5]. These methods are not cost or time effective, bearing minimal results, in most cases. The main problem associated with conventional therapy is drug resistance or multi drug resistance (MDR) [6]. Medical professionals have reported that some cancer cells have shown insensitivity to chemotherapeutic agents. Avenues to overcome this insensitivity are continuously being explored with much success discovered in the medicinal plant world. Bioactive compounds, such as quercetin, curcumin, and tetrandrine, extracted from medicinal plants have been shown to restore chemotherapy sensitivity, hence incorporating plant-based therapy with conventional cancer treatment holds much promise [5,7].
Medicinal plants are highly valued for their phytochemical constituents, which can be used in drug development [8]. Certain plant species are known to thrive against microbial disruptions due to the presence of bioactive compounds with an antimicrobial potential. These bioactive compounds are traditionally known to treat and cure infections and diseases within humans [9]. The presence of phenolic compounds, flavonoids, glycosides, alkaloids, and saponins has been associated with antibacterial properties derived from certain plants [10]. In addition, C. erythrophyllum is known to contain numerous antibacterial compounds, each with a high biological activity [11].
Further studies demonstrating the true medicinal worth of traditionally utilized species will be highly beneficial, not only for further use in the modern drug development industry, but also for communities. Reports generated by the WHO suggest that there have been no novel drug discoveries since 1961, but rather modifications of existing drugs [12]. There is no balance between the number of evolving microbes and relevant drug discovery [13]. Thus, further research evaluating the use of medicinal plant species to treat these ailments is prudent. There have been studies conducted on the phytochemical constituents and possible biological activity of the leaves of Combretum erythrophyllum; however, there have been limited or no studies conducted on the phytochemical constituents and biological activity of the stembark [14]. Hence, this study aims to provide a comparative analysis of the biological activity of the leaf and stembark extracts of C. erythrophyllum. The following will be elucidated from the emanating study: the total phenolic content, total flavonoid content, antioxidant properties, apoptosis, and cytotoxic screening of the leaf and stembark extract.

2. Materials and Methods

2.1. Generation of Crude Extract

2.1.1. Plant Collection

Plant material of C. erythrophyllum was obtained from the University of Kwa-Zulu Natal (Westville), Durban, South Africa (29°49′ S; 30°59′ E). A voucher specimen was previously submitted to the Herbarium (13476/2), University of KwaZulu-Natal, Westville Campus. The collected fresh material was left to air dry at ambient temperatures of 23–25 °C for six weeks. The dried leaf and stembark material were then crushed into a fine powder using a blender (Philipps HR7762, Shanghai, China) and were stored in cool and dark conditions until further use.

2.1.2. Extraction

This was a three-step process that involved the use of powdered material and three organic solvents of varying polarity. These solvents were added individually at three consecutive time intervals. Firstly, approximately 10 g of powdered leaf material was added to 100 mL of analytical reagent grade hexane (organic solvent) in a round bottom flask, attached to the reflux apparatus and placed in a heating mantle. The mantle was set at a low heat and distillation commenced. After approximately 3 h of heating, the extract was filtered using a funnel and filter paper (Whatman No. 1). This process was repeated three times to allow for maximum extraction of the compounds. Secondly, this process was then repeated using chloroform, followed by methanol, as the organic solvents of choice.
Thereafter, the crushed stembark material was processed following the above method. The generated extracts were utilized for various assays evaluating the biological activity of the synthesised material.

2.2. Antioxidant Assays

2.2.1. Extract Concentrations

Here, 1 mg/mL stock solution of each extract was generated for the purposes of these assays. Subsequently, aliquots of each extract were diluted with the solvent of choice, to obtain final concentrations of 15, 30, 60, 120, and 240 µg/mL. These concentrations were utilized for a range of antioxidant, total phenolics, and total flavonoids assays.

2.2.2. DPPH (2,2-diphenyl-1-picryl-hydrazyl-hydrate) Scavenging Activity

A sterile 96-well microplate was inoculated with 50 µL of a 0.3 mM solution of DPPH (dissolved in methanol) and 100 µL of each extract. The solutions were thoroughly blended and the microplates were wrapped in foil and placed in a dark environment at ambient temperatures for 30 min. Ascorbic acid was utilized as the standard of choice (positive control). After the incubation period, the absorbance was read at 517 nm using the Synergy HTX multimode microplate reader, BioTek Instruments Inc. (Winooski, VT, USA), equipped with the Gen5 software for data collection and analysis.
The DPPH scavenging activity was calculated using the following equation:
D P P H   S c a v e n g i n g   a c t i v i t y   % = A b s _ c o n t r o l A b s _ s a m p l e / A b s _ c o n t r o l   x 00

2.2.3. Ferric (Fe3+) Reducing Antioxidant Power

A sterile 96-well microplate was inoculated with 25 µL of a 0.2 M sodium phosphate buffer, 50 µL of 1% potassium ferricyanide (dissolved in distilled water), and 25 µL of each extract. The solutions were thoroughly blended and the microplates were incubated at ambient temperatures for 30 min. Gallic acid was utilized as the positive control. After the incubation period, 25 µL of 10% trichloroacetic acid (TCA), 25 µL of distilled water, and 5 µL of 0.1% ferric chloride was introduced into each well. The solutions were thoroughly blended, incubated for a further 10 min and the absorbances were read at 700 nm using the Synergy HTX multimode microplate reader, BioTek Instruments Inc., (Winooski, USA), equipped with the Gen5 software for data collection and analysis. The ferric (Fe3+) reducing antioxidant power was calculated using the following equation:
%   I n h i b i t i o n = A b s   o f   s a m p l e A b s   o f   G a l l i c   a c i d   × 100

2.2.4. Total Phenolic Content

In order to quantify the total phenolic content of the tested extract, the Folin–Ciocalteu reagent assay was carried out. A sterile 96-well microplate was inoculated with 150 µL of 10% diluted Folin–Ciocalteau reagent, 120 μL of 0.7 M Na2CO3, and 30 µL of the extracts. The solutions were thoroughly blended and the microplates were incubated with shaking on a rotary shaker at ambient temperatures for 30 min. Gallic acid was utilized as the positive control. The solutions were thoroughly blended, and then the absorbances were read at 765 nm using the Synergy HTX multimode microplate reader, BioTek Instruments Inc. (Winooski, United States of America), and equipped with the Gen5 software for data collection and analysis.
The total phenolic content was calculated using the following equation:
C t p = C o n c e n t r a t i o n   x   V o l u m e m a s s

2.2.5. Total Flavonoid Content

A sterile 96-well microplate was inoculated with 40 µL of plant extract, 200 μL of water, 15 µL of 5% sodium nitrate, 15 µL of 10% aluminium chloride, and 15 µL of sodium hydroxide. Quercetin was utilized as the positive control. The solutions were thoroughly blended, and the absorbances were read at 510 nm using the Synergy HTX multimode microplate reader, BioTek Instruments Inc. (Winooski, USA), equipped with the Gen5 software for data collection and analysis.
The total flavonoid content was calculated using the following equation:
C t f = C o n c e n t r a t i o n   x   V o l u m e m a s s

2.3. Cytotoxicity Assay

2.3.1. Preparation of Extracts: Concentrations

A five mg/mL stock solution was generated for the purpose of this assay. Portions of these extracts were subsequently diluted using dimethyl sulphoxide (DMSO), in order to formulate the concentrations mentioned below. Concentrations evaluated: 15, 30, 60, 120, and 240 µg/mL.

2.3.2. MTT (3-(4,5-dimethylthiazol-2-yl)-2,5-diphenyltetrazolium bromide) Assay

The cytotoxic effect of the generated extracts was evaluated against three cell lines, human embryonic kidney cells (HEK293), human cervical carcinoma cells (HeLa), and human breast adenocarcinoma cells (MCF-7) (all of the cell lines sourced from ATCC, Manasas, VA, USA). The cells were incubated in sterile 96-well plates (cell densities: 250,000–300,000 cells per well) overnight at 37 °C. Thereafter, the medium was replaced with fresh medium, followed by the addition of 100 µL of each extract at their varying concentrations. The plate was then incubated for 48 h at 37 °C. This was done in triplicate. The growth medium was removed and replaced with 0.1 mL of medium containing 10% MTT solution (5 mg/mL in PBS). The cells were incubated at 37 °C for a further 4 h. The MTT containing medium was then removed and 0.1 mL DMSO was added to the wells and the absorbances were measured at 570 nm using a Mindray MR-96A microplate reader (Vacutec, Hamburg, Germany).

2.4. Apoptosis Assay

In order to evaluate the apoptotic potential of the generated extracts, an apoptosis analysis using acridine orange/ethidium bromide (AO/EB) staining was performed. The cells were incubated in sterile 96-well plates (cell densities: 250,000–300,000 cells per well) overnight at 37 °C. The growth medium was then aspirated and substituted with 250 µL of complete medium. Thereafter, 150 µL of extract (most toxic cytotoxic concentration was tested 240 µg) was added to each well and the plate was then incubated for 24 h at 37 °C. Subsequently, all of the remaining growth medium was removed and the cells were briefly rinsed (twice) using 200 µL of PBS. The cells were then stained using 10 μL of the dye (100 μg/mL acridine orange and 100 μg/mL ethidium bromide in PBS). The plate was shaken for 5 min on a Stuart Scientific platform rocker at 30 rev/min. The cells were then washed with PBS and all of the cells were viewed using an inverted fluorescence microscope (Olympus CKX41, Tokyo, Japan) at excitation and emission wavelengths of 490 nm and 516 nm, respectively.
In order to quantify the apoptotic properties of the extracts against the tested cell lines, the apoptotic index was calculated using the equation listed below.
A p o p t o t i c   I n d e x = N u m b e r   o f   a p o p t o t i c   c e l l s / N u m b e r   o f   t o t a l   c e l l s   c o u n t e d    

2.5. Statistical Analysis

The emanating study was performed in triplicate. All of the generated data were subjected to statistical analysis using the IBM SPSS, statistical analysis software version 27, IBM CORP1997, USA. A Tukey’s honest significant difference multiple range post hoc test was performed. All of the data were normalized and a significant difference was noted among all of the data sets, p < 0.05.

3. Results and Discussion

3.1. Antioxidant Assays

Recent literature has stressed the importance of the controlled presence of antioxidants within the human body [12]. It was further suggested that antioxidants help maintain a homeostatic environment within the body by regulating the quantity of both the free radicals and antioxidants present within [13]. A deficit or excess of either may lead to health conditions, such as oxidative stress related ailments [14]. As the body ages, its natural ability to restore this balance diminishes; hence, alternative measures are required to prevent the onset of further health issues. Conventional treatments, such as vitamins (with added antioxidant potential) may aid in restoring the balance, but could result in additional harm, hence modern alternatives incorporating herbal extracts are being explored [15]. Interest in incorporating medicinal plants with antioxidant capabilities and conventional treatment methods has increased. The literature suggests that medicinal plants are a rich source of phytochemicals and, in turn, a possible source of naturally occurring antioxidants [16]. These naturally occurring antioxidants are known to inhibit free radicals while disrupting oxidative chain reactions within cells. Because of the naturally occurring antioxidants found in plants, research suggests that those prone (elderly and vulnerable) to oxidative stress related ailments incorporate a richer plant-based diet [17]. Phytochemicals such as triterpenes, phenols, flavonoids, and resins are known to exhibit a radical scavenging activity [18,19]. There are numerous assays that may be performed in order to quantify the antioxidant potential of plant extracts, namely, DPPH, FRAP, ABTS, etc. [20].
Numerous researchers have highlighted the antioxidant ability of multiple Combretum species [21,22,23]. These studies revealed that the quantity of phenolic compounds is directly proportional to the antioxidant activity associated with the plant. These results correlate with the findings obtained from this study. Species such as a Combretum sericeum and Combretum acutum exhibit high levels of antioxidant activity while simultaneously exhibiting a high phenol and flavonoid content [24].

3.1.1. Assay of 2,2-diphenyl-1-picryl-hydrazyl-hydrate (DPPH)

DPPH is a stable free radical that can attach to an unstable electron or hydrogen radical to stabilize the molecule [12]. A colour change is observed when DPPH radicals react with complementary reducing agents. In this process, electrons are absorbed and colour change occurs, simultaneously. Fundamentally, this assay induces a violet to orange yellow colour change within the tested extract, distinctly indicating the free radical scavenging activity occurring within the extract. The free radical scavenging activity indicates the presence of a possible antioxidant ability. In order to evaluate the antioxidant ability of the generated extracts, a DPPH (2,2-diphenyl-1-picryl-hydrazyl-hydrate) assay was performed. This assay was performed on the crude hexane, chloroform, and methanolic leaf and stembark extracts of C. erythrophyllum (at varying concentrations).
The DPPH analysis indicated that all of the extracts displayed varying free radical scavenging activities, implying a possible antioxidant potential (Table 1, Figure 1C). Furthermore, a positive correlation between overall free radical scavenging activity and extract concentrations was noted. The chloroform leaf and stembark extracts displayed the highest IC50 values (120.71 and 265.41 µg/mL, respectively), indicating the lowest overall antioxidant potential from all of the extracts (Table 1). This was further substantiated by the level of colour change observed after the addition of DPPH (Figure 1A,B). The extracts still displayed a light purple/violet colour, indicating a low free radical scavenging activity.
The methanolic extracts displayed the lowest IC50 values (leaf 5.29 and stembark 4.29 µg/mL), indicating the highest possible antioxidant potential from all of the tested extracts (Table 1). This was further confirmed by the colour change observed after the addition of DPPH (Figure 1A,B). The extracts displayed a distinctive orange yellow colour, indicating a high free radical scavenging potential. Overall, the IC50 values of the tested crude extracts were significantly lower than the positive control (ascorbic acid).
Recently, many Combretum species have been evaluated for their potential antioxidant capabilities. The antioxidant potential of the roots of Combretum album Pers. was recently evaluated, with substantial antioxidant properties quantified from the methanolic extracts (highest antioxidant activity IC50 12.98 μg/mL) [25]. Combretum leprosum Mart. was evaluated for a range of properties, with both the leaf and stembark fractions displaying a significant antioxidant potential. However, the stembark fraction appeared to project an immense antioxidant activity [22]. This, in turn, was correlated with the results from the emanating study, substantiating the increased antioxidant potential noted within the stembark extracts, which appeared to be characteristic among some Combretum species.

3.1.2. FRAP (Ferric Reducing Antioxidant Power) Assay

In order to further evaluate the antioxidant ability of the generated extracts, a ferric (Fe3+) reducing antioxidant power assay was performed. This assay was performed on the crude hexane, chloroform, and methanolic leaf and stembark extracts of C. erythrophyllum (at varying concentrations). Essentially, this assay quantifies the antioxidant potential of the tested extract, through the reduction of ferric iron (Fe3+) to ferrous iron (Fe2+). This reduction is facilitated by antioxidants that are possibly present within the extract. A colour change is anticipated during the reduction process (gain of electrons), from yellow to green (antioxidant potential) and blue (high antioxidant potential), based on the antioxidant activity of the tested extract [26].
The FRAP analysis indicated that all of the extracts displayed varying free radical scavenging activities, implying a possible antioxidant potential (Table 2, Figure 2). As noted, in the DPPH assay, a positive correlation between % inhibition and extract concentrations was also noted. The chloroform leaf and stembark extracts displayed the highest IC50 values (over 500 µg/mL, respectively) indicating the lowest overall antioxidant potential from all of the extracts (Table 2). The methanolic extracts displayed the lowest IC50 values (<1 µg/mL), indicating the highest possible antioxidant potential among all of the tested extracts (Table 2). This finding was further substantiated by the visual colour change observed upon the addition of the various chemicals associated with the assay (Figure 2A,B). The FRAP results obtained varied from 6% to 97% inhibition depending on the extract concentration and the extraction solvent (Figure 2C). The results obtained from the emanating assay are directly correlated with those obtained from the DPPH assay, indicating that the antioxidant activity is concentration dependant. In both instances, the methanol stembark extracts performed the best, with the lowest IC50 recorded. Overall, the IC50 values of the tested crude extracts were significantly lower than the positive control.
Interest in the antioxidant capabilities of the species within the Combretum genus has been of high interest mainly due to their extensive use in traditional medicine [23]. Scientists have conducted extensive research on the antioxidant ability of Combretum indicum (L.) DeFilipps [27]. The results indicated that this species was indeed a rich source of antioxidant agents capable of neutralizing free radicals. Furthermore, Combretum species, such as Combretum micranthum G. Don, Combretum glutinosum Perr. Ex DC., Combretum acutum Laws., and Combretum sericeum G. Don, were also evaluated for their potential antioxidant capabilities using the FRAP assay, yielding favourable results . These results are similar to those obtained from the current study. Furthermore, numerous Combretum species have indicated their possible ability to neutralize free radicals. Hence, further evaluation into the genus Combretum would be of pharmacological importance.

3.2. Total Phenolic Content

Phenolic compounds may be considered as the most copious phytometabolite found within plants [28,29]. These compounds are known to express anti-mutagenic, anti-inflammatory, apoptosis-inducing, anti-carcinogenic, and antioxidant properties, mainly due to their phytoalexin potential (compounds produced within the plant, as a mechanism to alleviate biotic and abiotic stresses) [30]. In order to quantify the total phenolic content of the tested crude extract, the Folin–Ciocalteu reagent (FCR) assay was carried out. This assay was performed on the crude hexane, chloroform, and methanolic leaf and stembark extracts of C. erythrophyllum (at varying concentrations). Upon the addition of FCR, crude extracts enriched with high concentrations of phenolic compounds displayed a dark blue colour change [13].
From this study, it was deduced, that all extracts contained phenolic compounds (chloroform < hexane < methanol) (Table 3). The chloroform stembark appeared to have the lowest phenolic content (119.79 ± 1.90 mg/GAE/g). whereas the methanolic extracts appeared to quantify the largest amount of compositional phenolic content (1341.05 ± 4.4 mg/GAE/g). This finding correlates to the fact the polar solvents such as methanol (low boiling point and high penetration rate) allow for the maximum extraction of low molecular weight polyphenols [31].
There are three main phytometabolite classes namely, terpenoids, phenols and alkaloids [32]. Phenols are the most researched and medicinally valued of the three [13]. Current research suggests that numerous health benefits are associated to the consumption of plants rich in phenols. Researchers have mentioned that Combretum species are characterized by high flavonoid and phenolic compound levels [33]. To date, a few Combretum species that have been quantified for its total phenolic content, viz., C. leprosum, Combretum micranthum, Combretum lanceolatum, Combretum indicum and Combretum molle [22,34,35,36]. These species were found to exhibit high levels of phenolic compounds which correlates to the results obtained from this research. Researchers have highlighted the use of integrating natural products derived from these species, with commercially produced medicine [37].

3.3. Total Flavonoid Content

Flavonoids are the largest phytometabolite group within the phenolic compound class [38]. Flavonoids are known for their anti-cancer, antiviral, anti-allergic, anti-inflammatory, cholesterol-reducing, antioxidant, and antibacterial properties [13,39]. In order to quantify the total flavonoid content of the tested extract, an aluminium chloride assay was carried out. Essentially, the use of aluminium chloride is fundamental for determining the presence of flavonoids within plant extracts, as the aluminium ions tend to form a complex with the carbonyl and hydroxyl groups present within flavonoids, thus inducing a yellow colouration [40]. This assay was performed on the crude hexane, chloroform, and methanolic leaf and stembark extracts of C. erythrophyllum (at varying concentrations).
From the emanating study, it was deduced that all of the extracts contained flavonoids (hexane < chloroform < methanol) (Table 4). The hexane stembark appeared to have the lowest flavonoid content (1.73 ± 0.46 mg/QE/g), whereas the methanolic leaf extracts appeared to quantify the largest amount of compositional flavonoid content (39.42 ± 1.86 mg/QE/g). As previously mentioned, the extraction of phenolic compounds and flavonoids were expected to be the highest in methanolic extracts, primarily due to the polar nature of the solvent.
Structurally, flavonoids can occur in three types, namely glycosides, aglycones, and methylated forms [41,42]. Thus far, flavonoids were isolated from C. erythrophyllum, Combretum apiculatum, and Combretum leprosum [22,43,44]. Furthermore, research shows that the secretory scales of Combretum roxburghii are enriched with saponins, flavonoids, and tannins [45]. The extracted flavonoids are said to have antioxidant, anti-estrogenic, and anti-proliferative properties [46]. Martini et al. (2004) identified seven different flavonoids present in C. erythrophyllum that are believed to be responsible for their antibacterial effect, numerous health benefits, and antioxidant and anti-microbial properties.

3.4. Cytotoxicity

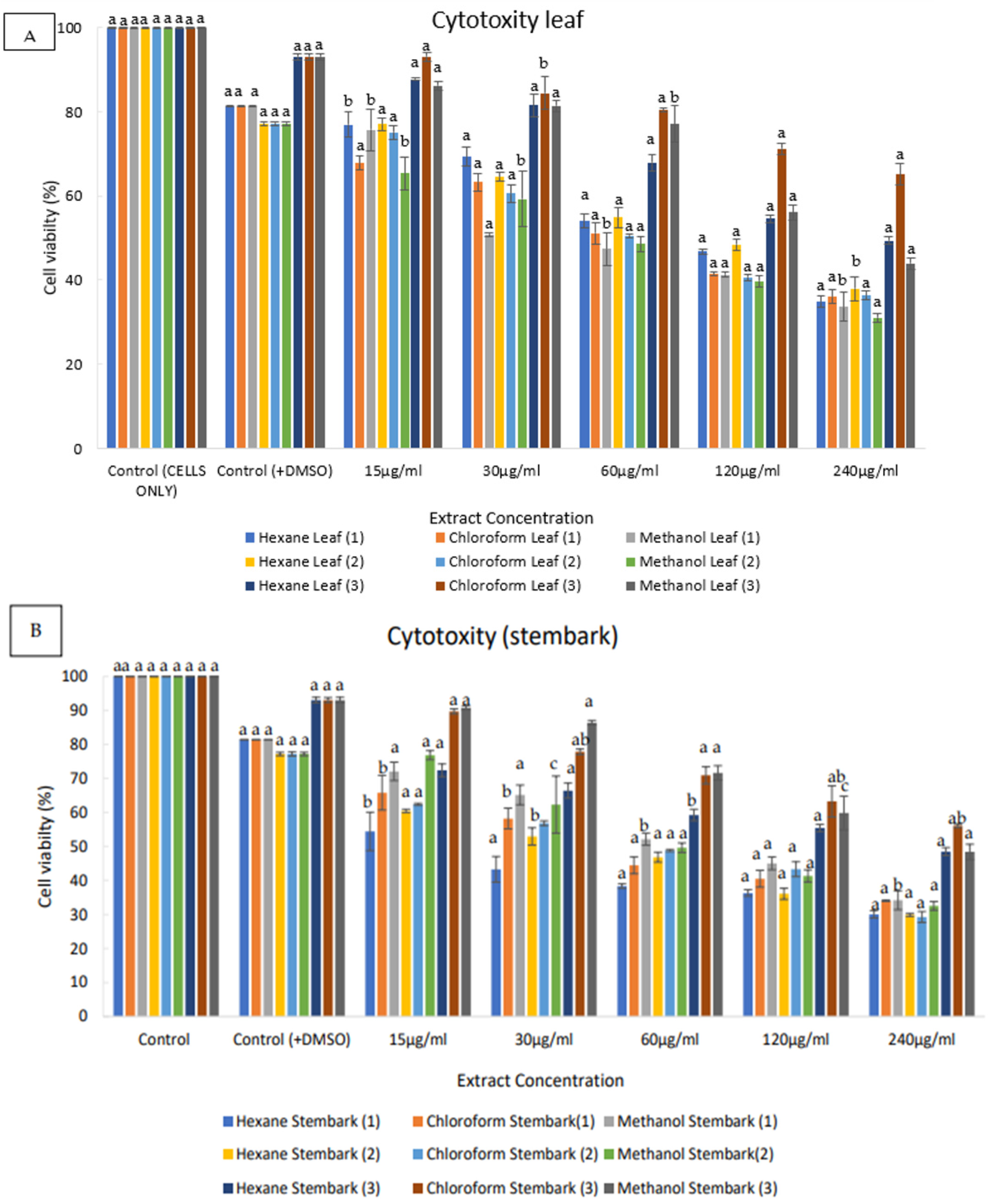
The cytotoxic potential of the generated crude leaf and stembark extracts of C. erythrophyllum (hexane, chloroform, and methanol) was evaluated against three cell lines HEK293, HeLa, and MFC-7) using the MTT assay. The results obtained showed that the hexane, chloroform, and methanolic extracts exerted a cytotoxic effect on various cells. Noticeably, a high potent activity was seen from the methanolic stembark extracts when tested against the HEK293 cells. The US National Cancer Institute indicated that a crude plant extract with an IC50 value of less than 20 µg/mL is considered to display cytotoxicity activity [47]. The emanating study revealed that the methanolic stembark extract appeared to have an IC50 value <20 µg/mL, making it a favourable option to be further developed and considered as a conventional anti-cancer drug (Table 5). Because of the low IC50 value obtained from this study for this extract, further isolation of its bioactive compounds is key to discover its true pharmacology capabilities. As indicated in Table 5, methanolic extracts were the best performing, with the overall lowest IC50 values when tested against HeLa and HEK293 cells (leaf 54.53 µg/mL and stembark 18.30 µg/mL). The lowest cell viability (30%) was noted within the HeLa cell lines when treated with the methanolic stembark extract (at 240 µg/mL there was the strongest cytotoxic effect). Furthermore, the highest cell viability (93%) was noted within the MFC-7 cell line when treated with the chloroform leaf extract (at 15 µg/mL there was the weakest cytotoxic effect). Overall, the crude methanolic extracts performed the best, yielding the lowest IC50 values. Many Combretum species have been extensively researched for their potential cytotoxic activity, e.g., C. fruticosum, C. erythrophyllum, C.quadrangulare, C. fragrans, C. leprosum, C. apiculatum, C. paniculatum, and C. woodii etc. [22,48,49,50,51]. Researchers evaluated the integrated use of conventional cancer drugs with compounds isolated from C. zeyheri and C. platypetalum against Jurkat T Cells and HL-60 cells [48]]. As a result, the above integration facilitated the inhibition of the growth of the cells significantly. The integrative effect of the conventional drugs with compounds isolated from medicinal plants is a novel approach that yields promising results. This novel approach needs to be expanded further by possibly incorporating the methanolic stembark extracts (IC50 < 20 µg/mL) of C. erythrophyllum to unlock its true value in the pharmacological world (Figure 3).

3.5. Apoptosis

Apoptosis is a genetically controlled process that may result in the disintegration of the nuclei structure and DNA, ultimately resulting in overall cell death (Al-Nasser et al., 2021). This process is primarily initiated by the presence of allelochemicals, which in turn results in the onset of oxidative stress within the cell, initiating apoptosis [52]. During apoptosis, the following cellular variations are noticed: disintegration of the nucleus and chromatin network, and distortion and shrinkage of the cell membrane [53]. The importance of being able to influence cell death (apoptosis) is highly beneficial in pharmaceutical therapies [54]. In ailments such as cancer (uncontrolled cell growth), mediators are required to eliminate the cancer cells while exhibiting a slight impact on normal cells, as the research indicates high cellular resistance against conventional treatments, i.e., chemotherapy [55]. This may be naturally induced through apoptosis, which may be lacking (cancer) or over expressed (neurodegenerative diseases) in certain ailments. Phytometabolites, alkaloids, and phenols extracted from medicinal plants may exhibit an apoptotic activity, which can be integrated with conventional drug therapy for better results [56].
This study integrated the use of fluorescence microscopy with acridine orange staining in order to accurately determine the viability of the cells. This method is favoured as it is time and cost effective [57]. When stained with AO/EB, viable cells appear green, with a fully formed nucleus. Apoptotic cells initially appear to have yellow green dots, signalling a disintegrating chromatin network. Upon reaching the completion of apoptosis, the cells exhibit an orange nucleus, which shows some form of disintegration. Distinctively, necrotic cells at this stage also appear orange, but display a structurally intact nucleus (Figure 4, Figure 5 and Figure 6).
A direct correlation can be seen between the results obtained from the cytotoxicity and apoptosis assay. At high IC50 concentrations, cell viability was high while the apoptotic index was low, while at low IC50 concentrations, cell viability was low and the apoptotic index was high, and the cell appeared to stain orange in colour, indicating their low cell viability (Figure 4, Figure 5 and Figure 6). This phenomenon is further confirmed by the results obtained from the apoptotic index (Figure 7). Methanolic extracts displayed the greatest apoptosis, whereas the hexanoic extracts appeared to have least apoptotic activity (Figure 7). This is a novel technique deployed on C. erythrophyllum; however, similar results have been noted within species such as Combretum apiculatum, Combretum zeyteri, Combretum platypetalum, Combretum leprosum, and Combretum fragans [48,50,51,58].
Overall, the generated crude extracts from C. erythrophyllum showed a promising cytotoxic activity against cancer cells, with the possibility of inducing controlled apoptosis within these cells. This ability could prove highly effective in possibly treating cancer.

4. Conclusions

This study aimed to determine a comparative analysis of the biological activity of the leaf and stembark extracts of C. erythrophyllum. The following characteristics were elucidated from the emanating study: the total flavonoid and phenolic content, antioxidant properties, apoptosis, and cytotoxic activity of the leaf and stembark extract. The presence of phenols, sterols, flavonoids, saponins, and alkaloids possibly indicates cytotoxic, antibacterial, and antioxidant properties within C. erythrophyllum. The biological activity of this species was further substantiated by the results obtained from the emanating study. It may be concluded that the antioxidant properties that the total phenolic and total flavonoid content are directly proportional to the apoptotic and cytotoxic activity expressed by the tested extracts. The stembark appeared to have a better biological activity, with more prominent results seen in every assay. Furthermore, the integration of conventional treatments with naturally derived compounds could prove to be pharmacologically beneficial and is indeed an avenue that needs to be further explored.

Author Contributions

Conceptualization, S.B. and Y.N.; methodology, S.B. and Y.N.; formal analysis, S.B., Y.N., Y.H.D., M.S., and AB.; investigation and data curation, S.B..; validation, A.B. and S.B.; writing—original draft preparation, S.B.; writing—review and editing, S.B., Y.N., Y.H.D., A.B., and M.S.; supervision, Y.N., M.S., and Y.H.D. All authors have read and agreed to the published version of the manuscript.

Funding

The National Research Foundation, University of KwaZulu Natal Research office, and Researchers Supporting Project number (RSP-2023R375), King Saud University, Riyadh, Saudi Arabia.

Institutional Review Board Statement

Not applicable.

Informed Consent Statement

Not applicable.

Data Availability Statement

All data are presented within the article.

Acknowledgments

The authors acknowledge Researchers Supporting Project number (RSP-2023R375), King Saud University, Riyadh, Saudi Arabia. The authors would like to thank the National research foundation for funding this research.

Conflicts of Interest

The authors declare no conflict of interest.

References

  1. Soyemi, T. Neglect of common infectious disease outbreaks during the COVID-19 pandemic: An impending crisis in Nigeria? Afr. J. Clin. Exp. Microbiol. 2021, 22, 113–116. [Google Scholar] [CrossRef]
  2. Sharaf, M.H.; El-Sherbiny, G.M.; Moghannem, S.A.; Abdelmonem, M.; Elsehemy, I.A.; Metwaly, A.M.; Kalaba, M.H. New combination approaches to combat methicillin-resistant Staphylococcus aureus (MRSA). Sci. Rep. 2021, 11, 4240. [Google Scholar] [CrossRef] [PubMed]
  3. More, M.P.; Pardeshi, S.R.; Pardeshi, C.; Sonawane, G.A.; Shinde, M.N.; Deshmukh, P.K.; Naik, J.B.; Kulkarni, A.D. Recent advances in phytochemical based Nano-formulation for drug resistant Cancer. Med. Drug Discov. 2021, 10, 100082. [Google Scholar] [CrossRef]
  4. Hussain, Y.; Islam, L.; Khan, H.; Filosa, R.; Aschner, M.; Javed, S. Curcumin-cisplatin chemotherapy: A novel strategy in promoting chemotherapy efficacy and reducing side effects. Phytother. Res. 2021, 35, 6514–6529. [Google Scholar] [CrossRef]
  5. Sundaram, M.K.; Silas, S.; Hussain, A. Combinational therapy using chemotherapeutic agents and dietary bioactive compounds: A pragmatic approach to cancer treatment. In Treating Endocrine and Metabolic Disorders with Herbal Medicines; IGI Global: Hershey, PA, USA, 2021; pp. 188–214. [Google Scholar]
  6. Zheng, R.R.; Zhao, L.P.; Liu, L.S.; Deng, F.A.; Chen, X.Y.; Jiang, X.Y.; Wang, C.; Yu, X.Y.; Cheng, H.; Li, S.Y. Self-delivery nanomedicine to overcome drug resistance for synergistic chemotherapy. Biomater. Sci. 2021, 9, 3445–3452. [Google Scholar] [CrossRef]
  7. Tagde, P.; Tagde, P.; Tagde, S.; Bhattacharya, T.; Garg, V.; Akter, R.; Rahman, M.H.; Najda, A.; Albadrani, G.M.; Sayed, A.A.; et al. Natural bioactive molecules: An alternative approach to the treatment and control of glioblastoma multiforme. Biomed. Pharmacother. 2021, 141, 111928. [Google Scholar] [CrossRef]
  8. Kayser, O. Ethnobotany and medicinal plant biotechnology: From tradition to modern aspects of drug development. Planta Med. 2018, 84, 834–838. [Google Scholar] [CrossRef] [PubMed]
  9. Burman, S.; Bhattacharya, K.; Mukherjee, D.; Chandra, G. Antibacterial efficacy of leaf extracts of Combretum album Pers. against some pathogenic bacteria. BMC Complement. Altern. Med. 2018, 18, 213. [Google Scholar] [CrossRef]
  10. Thorat, B. Chemical extraction and biomedical importance of secondary organic metabolites from plants—A review. J. Biomed. Ther. Sci. 2018, 5, 9–42. [Google Scholar]
  11. Martini, N.; Eloff, J.N. The preliminary isolation of several antibacterial components from Combretum erythrophyllum (Combretaceae). J. Ethnopharmacol. 1998, 62, 255–263. [Google Scholar] [CrossRef]
  12. Singh, S.; Gupta, A.; Verma, S. In vitro antioxidant activities of two medicinal plants on the basis of dpph free radical scavenging activity. Ann. Rom. Soc. Cell Biol. 2021, 25, 4807–4811. [Google Scholar]
  13. Phuyal, N.; Jha, P.K.; Raturi, P.P.; Rajbhandary, S. Total phenolic, flavonoid contents, and antioxidant activities of fruit, seed, and bark extracts of Zanthoxylum armatum DC. Sci. World J. 2020, 2020, 8780704. [Google Scholar] [CrossRef] [PubMed]
  14. Bantho, S.; Naidoo, Y.; Dewir, Y.H.; Bantho, A.; Murthy, H.N. Chemical Composition of Combretum erythrophyllum Leaf and Stem Bark Extracts. Horticulturae 2022, 8, 755. [Google Scholar] [CrossRef]
  15. Van der Goot, A.J.; Pelgrom, P.J.; Berghout, J.A.; Geerts, M.E.; Jankowiak, L.; Hardt, N.A.; Keijer, J.; Schutyser, M.A.; Nikiforidis, C.V.; Boom, R.M. Concepts for further sustainable production of foods. J. Food Eng. 2016, 168, 42–51. [Google Scholar] [CrossRef]
  16. Bantho, S.; Naidoo, Y.; Dewir, Y.H. The secretory scales of Combretum erythrophyllum (Combretaceae): Micromorphology, ultrastructure and histochemistry. S. Afr. J. Bot. 2020, 131, 104–117. [Google Scholar] [CrossRef]
  17. Kitts, D.D.; Wijewickreme, A.N.; Hu, C. Antioxidant properties of a North American ginseng extract. Mol. Cell Biochem. 2000, 203, 1–10. [Google Scholar] [CrossRef]
  18. Annadurai, P.; Annadurai, V.; Yongkun, M.; Pugazhendhi, A.; Dhandayuthapani, K. Phytochemical composition, antioxidant and antimicrobial activities of Plecospermum spinosum Trecul. Process Biochem. 2021, 100, 107–116. [Google Scholar] [CrossRef]
  19. Akwu, N.A.; Naidoo, Y.; Singh, M.; Nundkumar, N.; Lin, J. Phytochemical screening, in vitro evaluation of the antimicrobial, antioxidant and cytotoxicity potentials of Grewia lasiocarpa E. Mey. ex Harv. S. Afr. J. Bot. 2019, 123, 180–192. [Google Scholar] [CrossRef]
  20. Neri, T.S.; Silva, K.W.L.; Maior, L.P.S.; Oliveira-Silva, S.K.; Azevedo, P.V.M.; Gomes, D.C.S.; Souza, M.A.; Pavão, J.M.S.J.; Costa, J.G.; Cunha, A.L.; et al. Phytochemical characterization, antioxidant potential and antibacterial activity of the Croton argyrophylloides Muell. Arg. (Euphorbiaceae). Braz. J. Biol. 2021, 83, e236649. [Google Scholar] [CrossRef] [PubMed]
  21. Hamza, R.Z.; Al-Bogami, N.M.; Mansour, A.A.; El-Megharbel, S.M. Possible antioxidant and antidiabetic effects of Combretum Molle extract in a diabetes mellitus experimental model in male rats. Nat. Prod. Commun. 2021, 16, 1934578X211043964. [Google Scholar]
  22. Sousa, H.G.; Uchôa, V.T.; Cavalcanti, S.M.G.; de Almeida, P.M.; Chaves, M.H.; Lima Neto, J.D.S.; Nunes, P.H.M.; da Costa Júnior, J.S.; Rai, M.; Do Carmo, I.S.; et al. Phytochemical screening, phenolic and flavonoid contents, antioxidant and cytogenotoxicity activities of Combretum leprosum Mart.(Combretaceae). J. Toxicol. Environ. Health Part A 2021, 84, 399–417. [Google Scholar] [CrossRef] [PubMed]
  23. Coulidiati, T.H.; Millogo-Kone, H.; Lamien-Meda, A.; Lamien, C.E.; Lompo, M.; Kiendrebeogo, M.; Bakasso, S.; Yougbaré-Ziébrou, M.; Millogo-Rasolodimby, J.; Nacoulma, O.G. Antioxidant and antibacterial activities of Combretum nioroense Aubrév. ex Keay (Combretaceae). Pak. J. Biol. Sci. 2009, 12, 264–269. [Google Scholar] [CrossRef] [PubMed]
  24. Masoko, P.; Eloff, J.N. Screening of twenty-four South African Combretum and six Terminalia species (Combretaceae) for antioxidant activities. Afr. J. Tradit. Complement. Altern. Med. 2007, 4, 231–239. [Google Scholar] [CrossRef]
  25. Burman, S.; Chandra, G. Phytochemical screening and in-vitro antibacterial and DPPH free radical scavenging activities of methanol extract of root of Combretum album Pers. Plant Sci. Today 2021, 8, 820–829. [Google Scholar] [CrossRef]
  26. Daniel, A.O.; Temikotan, T. Antioxidant and Radical Scavenging of Piliostigma reticulatum using FRAP and DPPH. J. Pharm. Res. Dev. 2021, 2, 1–6. [Google Scholar]
  27. Ghissing, U.; Goswami, A.; Mitra, A. Temporal accumulation of pigments during colour transformation from white to red in Combretum indicum (L.) DeFilipps (syn. Quisqualis indica L.) flowers. Nat. Prod. Res. 2021, 37, 529–533. [Google Scholar] [CrossRef]
  28. Ibrahim, A.; Onyike, E.; Nok, A.J.; Umar, I.A. Combined effect on antioxidant properties of Gymnema Sylvestre and Combretum Micranthum leaf extracts and the relationship to hypoglycemia. Eur. Sci. J. 2017, 13, 266–281. [Google Scholar]
  29. Ladekan-Yayi, E.C.; Toklo, P.M.; Dah-Nouvlessounon, D.; Assogba, M.F.; Wouamba, S.C.N.; Tchegnitegni, B.T.; Alowanou, G.G.; Baba-Moussa, L.; Hounzangbe-Adote, S.; Lenta, B.N.; et al. Anthelmintic and antimicrobial activities of tannin extracts of Mitragyna inermis (Willd.) Kuntze (Rubiaceae) and Combretum glutinosum Perr. ex DC (Combretaceae). Am. J. Appl. Chem. 2021, 9, 145–153. [Google Scholar] [CrossRef]
  30. Garcia-Macias, P.; Ordidge, M.; Vysini, E.; Waroonphan, S.; Battey, N.H.; Gordon, M.H. Changes in the flavonoid and phenolic acid contents and antioxidant activity of red leaf lettuce (Lollo rosso) due to cultivation under plastic films varying in ultraviolet transparency. J. Agric. Food Chem. 2007, 55, 10168–10172. [Google Scholar] [CrossRef]
  31. Do, Q.D.; Angkawijaya, A.E.; Tran-Nguyen, P.L.; Huynh, L.H.; Soetaredjo, F.E.; Ismadji, S.; Ju, Y.H. Effect of extraction solvent on total phenol content, total flavonoid content, and antioxidant activity of Limnophila aromatica. J. Food Drug Anal. 2014, 22, 296–302. [Google Scholar] [CrossRef]
  32. Gupta, S.; Jain, R.; Kachhwaha, S.; Kothari, S.L. Nutritional and medicinal applications of Moringa oleifera Lam. Review of current status and future possibilities. J. Herb. Med. 2018, 11, 1–11. [Google Scholar] [CrossRef]
  33. Williamson, A.; Day, A.J.; Plumb, G.W.; Couteau, D. Human metabolic pathways of dietary flavonoids and cinnamates. Biochem. Soc. Trans. 2000, 28, 16–22. [Google Scholar] [CrossRef]
  34. da Silva, A.W.; Ferreira, M.K.A.; Pereira, L.R.; Rebouças, E.L.; Coutinho, M.R.; Dos, J.; Lima, R.; Guedes, M.I.F.; Bandeira, P.N.; Magalhães, F.E.A.; et al. Combretum lanceolatum extract reverses anxiety and seizure behavior in adult zebrafish through GABAergic neurotransmission: An in vivo and in silico study. J. Biomol. Struct. Dyn. 2021, 40, 9801–9814. [Google Scholar] [CrossRef] [PubMed]
  35. Mashi, R.L.; Abu, M.S.; Jalo, A.; Lawal, J.Y. Antioxidant and angiotensin converting enzyme inhibitory activity of fractionated extract of Combretum Micranthum leaves. J. Biol. Sci. 2022, 22, 57–64. [Google Scholar] [CrossRef]
  36. Forid, M.; Rahman, M.; Aluwi, M.F.F.M.; Uddin, M.; Roy, T.G.; Mohanta, M.C.; Huq, A.K.M.; Amiruddin Zakaria, Z. Pharmacoinformatics and UPLC-QTOF/ESI-MS-Based Phytochemical Screening of Combretum indicum against Oxidative Stress and Alloxan-Induced Diabetes in Long–Evans Rats. Molecules 2021, 26, 4634. [Google Scholar] [CrossRef] [PubMed]
  37. Nascimento, G.G.F.; Locatelli, C.F.; Paulo, C.F.; Silva, G. The antimicrobial activity of plant extract and phytochemical on antibiotic resistant bacteria. Braz. J. Microbiol. 2000, 31, 247–256. [Google Scholar] [CrossRef]
  38. Karim, N.; Khan, I.; Khan, H.; Ayub, B.; Abdel-Halim, H.; Gavande, N. Anxiolytic potential of natural flavonoids. SM J. Steroids Horm. 2018, 1, 1001–1010. [Google Scholar]
  39. Fernández, J.; Silván, B.; Entrialgo-Cadierno, R.; Villar, C.J.; Capasso, R.; Uranga, J.A.; Lombó, F.; Abalo, R. Antiproliferative and palliative activity of flavonoids in colourectal cancer. Biomed. Pharmacother. 2021, 143, 112241. [Google Scholar] [CrossRef] [PubMed]
  40. Wu, Y.; Xu, L.; Liu, X.; Hasan, K.F.; Li, H.; Zhou, S.; Zhang, Q.; Zhou, Y. Effect of thermosonication treatment on blueberry juice quality: Total phenolics, flavonoids, anthocyanin, and antioxidant activity. LWT 2021, 150, 112021. [Google Scholar] [CrossRef]
  41. Wang, T.Y.; Li, Q.; Bi, K.S. Bioactive flavonoids in medicinal plants: Structure, activity and biological fate. Asian J. Pharm. Sci. 2018, 13, 12–23. [Google Scholar] [CrossRef]
  42. Yang, B.; Liu, H.; Yang, J.; Gupta, V.K.; Jiang, Y. New insights on bioactivities and biosynthesis of flavonoid glycosides. Trends Food Sci. Technol. 2018, 79, 116–124. [Google Scholar] [CrossRef]
  43. Rogers, C.B.; Verotta, L. Chemistry and Biological Properties of the African Combretaceae; UZ Publications: Harare, Zimbabwe, 1996. [Google Scholar]
  44. Martini, N.; Katerere, D.R.P.; Eloff, J.N. Biological activity of five antibacterial flavonoids isolated from Combretum erythrophyllum (Combretaceae). J. Ethnopharmacol. 2004, 93, 207–212. [Google Scholar] [CrossRef]
  45. Bhatnagar, S.; Sahoo, S.; Mohapatra, K.A.; Behera, D.R. Phytochemical analysis, antioxidant and cytotoxic activity of medicinal plant Combretum roxburghii (Family, Combretaceae). Int. J. Drug Dev. Res. 2012, 4, 193–202. [Google Scholar]
  46. Cutler, G.; Nettleton, J.; Ross, J.; Harnack, L.; Jacobs, R.D., Jr.; Scrafford, C.; Barraj, L.; Mink, P.; Robien, K. Dietary flavonoid intake and risk of cancer in postmenopausal women: The Iowa Women’s Health Study. Int. J. Cancer 2008, 123, 664–671. [Google Scholar] [CrossRef]
  47. Alabsi, A.M.; Lim, K.L.; Paterson, I.C.; Ali-Saeed, R.; Muharram, B.A. Cell cycle arrest and apoptosis induction via modulation of mitochondrial integrity by Bcl-2 family members and caspase dependence in Dracaena cinnabari-treated H400 human oral squamous cell carcinoma. BioMed Res. Int. 2016, 2016, 4904016. [Google Scholar] [CrossRef] [PubMed]
  48. Wende, M.; Sithole, S.; Fru, C.G.; Stevens, M.Y.; Mukanganyama, S. The effects of combining cancer drugs with compounds isolated from Combretum zeyheri Sond. and Combretum platypetalum Welw. ex MA Lawson (Combretaceae) on the Viability of Jurkat T Cells and HL-60 Cells. BioMed Res. Int. 2021, 2021, 6049728. [Google Scholar] [CrossRef] [PubMed]
  49. Nguyen, H.H.; Nguyen, T.P.; Trung, N.T.; Phan, C.T.D.; Mai, D.T.; Sichaem, J.; Nguyen, N.H.; Tran, C.L.; Duong, T.H. Two new cycloartanes from the leaves of Combretum quadrangulare growing in Vietnam and their biological activities. Arab. J. Chem. 2021, 14, 103189. [Google Scholar] [CrossRef]
  50. Gade, I.S.; Richard, T.S.; Chadeneau, C.; Seite, P.; Vannier, B.; Atchade, A.D.T.; Etet, P.F.S.; Talla, E.; Kamdje, A.H.N.; Muller, J.M. Anticancer activity of Combretum fragrans F. Hoffm on glioblastoma and prostate cancer cell lines. Asian Pac. J. Cancer Prev. 2021, 22, 1087. [Google Scholar] [CrossRef]
  51. Maphutha, J.; Twilley, D.; Lall, N. Inhibition of phosphatidylinositol 3-kinase (PI3K) enzyme and human skin carcinoma cell growth by Combretum apiculatum Sond. S. Afr. J. Bot. 2021, 140, 95–102. [Google Scholar] [CrossRef]
  52. Al-Nasser, M.M.; Al-Dosari, M.S.; Parvez, M.K.; Al-Anazi, M.R.; Alkahtane, A.A.; Alothaid, H.; Alahmari, A.; Alarifi, S.; Albasher, G.; Almeer, R.; et al. The potential effects of Indigofera coerulea extract on THP-1 human cell line. J. King Saud Univ.-Sci. 2021, 33, 101446. [Google Scholar] [CrossRef]
  53. Ali, S.; Khan, M.R.; Batool, R.; Shah, S.A.; Iqbal, J.; Abbasi, B.A.; Yaseen, T.; Zahra, N.; Aldhahrani, A.; Althobaiti, F. Characterization and phytochemical constituents of Periploca hydaspidis Falc crude extract and its anticancer activities. Saudi J. Biol. Sci. 2021, 28, 5500–5517. [Google Scholar] [CrossRef] [PubMed]
  54. Basu, A. The interplay between apoptosis and cellular senescence: Bcl-2 family proteins as targets for cancer therapy. Pharmacol. Ther. 2021, 230, 107943. [Google Scholar] [CrossRef]
  55. Thapa, S.; Rather, R.A.; Singh, S.K.; Bhagat, M. Insights into the Role of Defective Apoptosis in Cancer Pathogenesis and Therapy; Intech Open: London, UK, 2021; pp. 1–6. [Google Scholar]
  56. Safarzadeh, E.; Sandoghchian Shotorbani, S.; Baradaran, B. Herbal medicine as inducers of apoptosis in cancer treatment. Adv. Pharm. Bull. 2014, 4 (Suppl. 1), 421–427. [Google Scholar] [CrossRef] [PubMed]
  57. Anitha, J.; Selvakumar, R.; Hema, S.; Murugan, K.; Premkumar, T. Facile Green Synthesis of Nano-Sized ZnO Using Leaf Extract of Morinda tinctoria: MCF-7 cell cycle arrest, antiproliferation, and apoptosis studies. J. Ind. Eng. Chem. 2021, 105, 520–529. [Google Scholar] [CrossRef]
  58. Silva, F.C.O.; de Menezes, J.E.S.A.; Ferreira, M.K.A.; da Silva, A.W.; Holanda, C.L.A.; dos Reis Lima, J.; Campos, A.R.; Evaristo, F.F.V.; Teixeira, E.H.; Magalhães, F.E.A.; et al. Antinociceptive activity of 3β-6β-16β-trihydroxylup-20 (29)-ene triterpene isolated from Combretum leprosum leaves in adult zebrafish (Danio rerio). Biochem. Biophys. Res. Commun. 2020, 533, 362–367. [Google Scholar] [CrossRef] [PubMed]
Figure 1. DPPH free radical scavenging activity of the C. erythrophyllum leaf and stembark extracts extracted in hexane, chloroform, and methanol. Microplates with wells containing the reaction mixture and different concentrations of each of the (A) leaf and (B) stembark extracts. The positive control was ascorbic acid. (C) DPPH free radical scavenging activity (%) compared to the control for each extraction solvent and each leaf or stembark extract concentration. a–c letters above the bars indicate significantly different data (Tukey’s honest significant difference multiple range post hoc test, p < 0.05).
Figure 1. DPPH free radical scavenging activity of the C. erythrophyllum leaf and stembark extracts extracted in hexane, chloroform, and methanol. Microplates with wells containing the reaction mixture and different concentrations of each of the (A) leaf and (B) stembark extracts. The positive control was ascorbic acid. (C) DPPH free radical scavenging activity (%) compared to the control for each extraction solvent and each leaf or stembark extract concentration. a–c letters above the bars indicate significantly different data (Tukey’s honest significant difference multiple range post hoc test, p < 0.05).
Horticulturae 09 00305 g001
Figure 2. FRAP free radical scavenging activity of the C. erythrophyllum leaf and stembark extracts extracted in hexane, chloroform, and methanol. Microplates with wells containing the reaction mixture and different concentrations of each of the (A) leaf and (B) stembark extracts. The positive control was gallic acid. (C) FRAP free radical scavenging activity (%) compared to the control for each extraction solvent and each leaf or stembark extract concentration. a–c letters above the bars indicate significantly different data (Tukey’s honest significant difference multiple range post hoc test, p < 0.05).
Figure 2. FRAP free radical scavenging activity of the C. erythrophyllum leaf and stembark extracts extracted in hexane, chloroform, and methanol. Microplates with wells containing the reaction mixture and different concentrations of each of the (A) leaf and (B) stembark extracts. The positive control was gallic acid. (C) FRAP free radical scavenging activity (%) compared to the control for each extraction solvent and each leaf or stembark extract concentration. a–c letters above the bars indicate significantly different data (Tukey’s honest significant difference multiple range post hoc test, p < 0.05).
Horticulturae 09 00305 g002
Figure 3. Cytotoxic activity of (A) leaf: hexane, chloroform, and methanolic, and (B) stembark: hexane, chloroform, and methanolic extracts of C. erythrophyllum, against three cell lines, HEK293 = (1), HeLa = (2) and MCF7 = (3). a–c letters above the bars indicate significantly different data (Tukey’s honest significant difference multiple range post hoc test p < 0.05 IBM SPSS version 27).
Figure 3. Cytotoxic activity of (A) leaf: hexane, chloroform, and methanolic, and (B) stembark: hexane, chloroform, and methanolic extracts of C. erythrophyllum, against three cell lines, HEK293 = (1), HeLa = (2) and MCF7 = (3). a–c letters above the bars indicate significantly different data (Tukey’s honest significant difference multiple range post hoc test p < 0.05 IBM SPSS version 27).
Horticulturae 09 00305 g003
Figure 4. Light micrographs indicating the cell viability of HEK293 cells stained using acridine orange and exposed to the following extracts: (a) leaf and (b) stembark hexane extract, (c) leaf and (d) stembark chloroform extract, and (e) leaf and (f) stembark methanolic extracts of C. erythrophyllum (A—apoptotic cell; V—viable cell; NV—non-viable cell).
Figure 4. Light micrographs indicating the cell viability of HEK293 cells stained using acridine orange and exposed to the following extracts: (a) leaf and (b) stembark hexane extract, (c) leaf and (d) stembark chloroform extract, and (e) leaf and (f) stembark methanolic extracts of C. erythrophyllum (A—apoptotic cell; V—viable cell; NV—non-viable cell).
Horticulturae 09 00305 g004aHorticulturae 09 00305 g004b
Figure 5. Light micrographs indicating the cell viability of HeLa cells stained using acridine orange and exposed to the following extracts: (a) leaf and (b) stembark hexane extract, (c) leaf and (d) stembark chloroform extract, and (e) leaf and (f) stembark methanolic extracts of C. erythrophyllum (A—apoptotic cell; V—viable cell; NV—non-viable cell).
Figure 5. Light micrographs indicating the cell viability of HeLa cells stained using acridine orange and exposed to the following extracts: (a) leaf and (b) stembark hexane extract, (c) leaf and (d) stembark chloroform extract, and (e) leaf and (f) stembark methanolic extracts of C. erythrophyllum (A—apoptotic cell; V—viable cell; NV—non-viable cell).
Horticulturae 09 00305 g005aHorticulturae 09 00305 g005b
Figure 6. Light micrographs indicating the cell viability of MCF-7 cells stained using acridine orange and exposed to the following extracts: (a) leaf and (b) stembark hexane extract, (c) leaf and (d) stembark chloroform extract, and (e) leaf and (f) stembark methanolic extracts of C. erythrophyllum (A—apoptotic cell; V—viable cell; NV—non-viable cell).
Figure 6. Light micrographs indicating the cell viability of MCF-7 cells stained using acridine orange and exposed to the following extracts: (a) leaf and (b) stembark hexane extract, (c) leaf and (d) stembark chloroform extract, and (e) leaf and (f) stembark methanolic extracts of C. erythrophyllum (A—apoptotic cell; V—viable cell; NV—non-viable cell).
Horticulturae 09 00305 g006aHorticulturae 09 00305 g006b
Figure 7. Apoptotic index of three cell lines against C. erythrophyllum leaf and stembark extracts (240 μg/mL) extracted in three different solvents. Mean values ± SD, n = 3. a–c letters above the bars indicate significantly different data (Tukey’s honest significant difference multiple range post hoc test, p < 0.05).
Figure 7. Apoptotic index of three cell lines against C. erythrophyllum leaf and stembark extracts (240 μg/mL) extracted in three different solvents. Mean values ± SD, n = 3. a–c letters above the bars indicate significantly different data (Tukey’s honest significant difference multiple range post hoc test, p < 0.05).
Horticulturae 09 00305 g007
Table 1. DPPH free radical scavenging activities (IC50 values) of the leaf and stembark extracts (hexane, chloroform, and methanol) of C. erythrophyllum (a–c indicate significantly different data. Tukey’s honest significant difference multiple range post hoc test p < 0.05 IBM SPSS version 27).
Table 1. DPPH free radical scavenging activities (IC50 values) of the leaf and stembark extracts (hexane, chloroform, and methanol) of C. erythrophyllum (a–c indicate significantly different data. Tukey’s honest significant difference multiple range post hoc test p < 0.05 IBM SPSS version 27).
ExtractsIC50 (µg/mL)
LeavesStembark
Hexane31.25 a13.56 b
Chloroform120.71 a26.41 c
Methanol5.23 b4.29 c
Table 2. FRAP free radical reducing activities (IC50 values) of the leaf and stembark extracts (hexane, chloroform, and methanol) of C. erythrophyllum (a–c indicate significantly different data. Tukey’s honest significant difference multiple range post hoc test p < 0.05 IBM SPSS version 27).
Table 2. FRAP free radical reducing activities (IC50 values) of the leaf and stembark extracts (hexane, chloroform, and methanol) of C. erythrophyllum (a–c indicate significantly different data. Tukey’s honest significant difference multiple range post hoc test p < 0.05 IBM SPSS version 27).
ExtractsIC50 (µg/mL)
LeavesStembark
Hexane>1000 b250.51 c
Chloroform593.44 c>1000 b
Methanol<1 a<1 a
Table 3. Quantification of the total phenolic content of the leaf and stembark extracts (hexane, chloroform and methanol) of C. erythrophyllum.
Table 3. Quantification of the total phenolic content of the leaf and stembark extracts (hexane, chloroform and methanol) of C. erythrophyllum.
ExtractsTotal Phenolic Content (mg/GAE/g)
LeavesStembark
Hexane163.13 ± 2.22253.13 ± 1.73
Chloroform178.54 ± 1.63119.79 ± 1.90
Methanol713.13 ± 0.51341.05 ± 4.4
Table 4. Quantification of the total flavonoid content of the leaf and stembark extracts (hexane, chloroform, and methanol) of C. erythrophyllum.
Table 4. Quantification of the total flavonoid content of the leaf and stembark extracts (hexane, chloroform, and methanol) of C. erythrophyllum.
ExtractsTotal Flavonoid Content (mg/QE/g)
LeavesStembark
Hexane16.99 ± 0.261.73 ± 0.46
Chloroform22.50 ± 0.215.94 ± 1.96
Methanol39.42 ± 1.8637.05 ± 17.8
Table 5. IC50 values of the cytotoxic analysis of the leaf and stembark extract of C. erythrophyllum extracted in three solvents and tested on three cell lines.
Table 5. IC50 values of the cytotoxic analysis of the leaf and stembark extract of C. erythrophyllum extracted in three solvents and tested on three cell lines.
Cell LinesExtractsCytotoxicity (µg/mL)
LeavesStembark
HEK293Hexane90.8978.40
Chloroform70.2553.37
Methanol59.0118.30
HeLaHexane97.1573.04
Chloroform72.3450.92
Methanol54.5339.23
MCF7Hexane202.88227.38
Chloroform1083.11371.86
Methanol198.87204.77
Disclaimer/Publisher’s Note: The statements, opinions and data contained in all publications are solely those of the individual author(s) and contributor(s) and not of MDPI and/or the editor(s). MDPI and/or the editor(s) disclaim responsibility for any injury to people or property resulting from any ideas, methods, instructions or products referred to in the content.

Share and Cite

MDPI and ACS Style

Bantho, S.; Naidoo, Y.; Dewir, Y.H.; Singh, M.; Bantho, A. Biological Activity of Combretum erythrophyllum: Antioxidant, Apoptotic, and Cytotoxic Activity of the Leaf and Stembark Extract. Horticulturae 2023, 9, 305. https://doi.org/10.3390/horticulturae9030305

AMA Style

Bantho S, Naidoo Y, Dewir YH, Singh M, Bantho A. Biological Activity of Combretum erythrophyllum: Antioxidant, Apoptotic, and Cytotoxic Activity of the Leaf and Stembark Extract. Horticulturae. 2023; 9(3):305. https://doi.org/10.3390/horticulturae9030305

Chicago/Turabian Style

Bantho, Sahejna, Yougasphree Naidoo, Yaser Hassan Dewir, Moganavelli Singh, and Ayuvna Bantho. 2023. "Biological Activity of Combretum erythrophyllum: Antioxidant, Apoptotic, and Cytotoxic Activity of the Leaf and Stembark Extract" Horticulturae 9, no. 3: 305. https://doi.org/10.3390/horticulturae9030305

APA Style

Bantho, S., Naidoo, Y., Dewir, Y. H., Singh, M., & Bantho, A. (2023). Biological Activity of Combretum erythrophyllum: Antioxidant, Apoptotic, and Cytotoxic Activity of the Leaf and Stembark Extract. Horticulturae, 9(3), 305. https://doi.org/10.3390/horticulturae9030305

Note that from the first issue of 2016, this journal uses article numbers instead of page numbers. See further details here.

Article Metrics

Back to TopTop