Effects of Dwarfing Interstock Length on the Growth and Fruit of Apple Tree
Abstract
1. Introduction
2. Materials and Methods
2.1. Tree Size and Branch Types
2.2. Determination of Fruit Setand Yield
2.3. Effect on Fruit Quality
2.4. Calculation of Root Parameters
2.5. Data Analysis
3. Results
3.1. Effects of Dwarfing Interstock Length on the Vegetative Growth of Apple Trees
3.1.1. Dwarfing Interstock Lengths Effects on Tree Size
3.1.2. Effects of Interstock Length on the Branch Type
3.2. Effects of Dwarfing Interstock Length on Flowering and Fruit-Setting in Apple Trees
3.3. Impact on Yield
3.4. Effects on Fruit Quality
3.5. Effects of Dwarfing Interstock Length on Root Growth
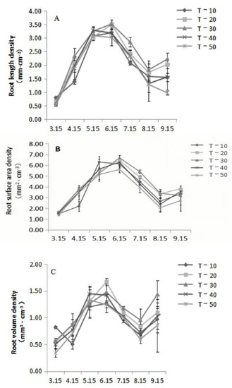
3.5.1. Effect on Root Length Density
3.5.2. Effect on Root Surface Density
3.5.3. Effect on Root Volume Density
3.5.4. Effect on Root Length Density of Dead Roots
3.5.5. Effect on Root Turnover Rate
4. Discussion
4.1. Effect of Dwarfing Interstock Length on the Growth of the Aboveground Part of Apple Trees
4.2. Effects of Dwarfing Interstock Length on Yield and Fruit Quality of Apple Trees
4.3. Effects of Dwarfing Interstock Length on Root Growth
5. Conclusions
Author Contributions
Funding
Data Availability Statement
Acknowledgments
Conflicts of Interest
Abbreviations
References
- Cline, J.A. Planting density and size-controlling rootstocks influence the performance of Montmorency Tart Cherry (Prunus cerasus L.). Can. J. Plant Sci. 2019, 100, 16–28. [Google Scholar] [CrossRef]
- Atkinson, C.; Else, M. Understanding how rootstocks dwarf fruit trees. Compact Fruit Tree. 2001, 34, 46–49. [Google Scholar]
- Costes, E.; Salles, J.C.; Garcia, G. Growth and branching pattern along the main axis of two apple cultivars grafted on two different rootstocks. Acta Hortic. 2001, 557, 131–138. [Google Scholar] [CrossRef]
- Goldschmidt, E.E. Plant grafting: New mechanisms, evolutionary implications. Front. Plant Sci. 2014, 5, 727. [Google Scholar] [CrossRef] [PubMed]
- Facundo, J.C.; Antonio, M.W.; Eduardo, R.T. Effects of different interstock length on vegetative growth and flowering in peach cv. Pavie Catherine. Sci. Hortic. 2021, 285, 110174. [Google Scholar]
- Karlidag, H.; Aslantas, R.; Esitken, A. Effects of interstock (M9) length grafted onto MM106 rootstock on sylleptic shoot formation, growth and yield in some apple cultivars. J. Agr. Sci. 2014, 20, 331–336. [Google Scholar]
- Camara, J.M.; Garcia-Sanchez, F.; Nieves, M.; Cerda, A. Effect of interstock (‘Salustiano’ orange) on growth, leaf mineral composition and water relations of one year old citrus under saline conditions. J. Hortic. Sci. Biotech. 2003, 78, 161–167. [Google Scholar] [CrossRef]
- Wang, T.; Xiong, B.; Tan, L.P.; Yang, Y.T.; Zhang, Y.; Ma, M.M.; Xu, Y.H.; Liao, L.; Sun, G.C.; Liang, D.; et al. Effects of interstocks on growth and photosynthetic characteristics in Yuanxiaochun Citrus seedlings. Funct. Plant Biol. 2020, 47, 977–987. [Google Scholar] [CrossRef]
- Yang, W.W.; Chen, X.L.; Saudreau, M.; Zhang, X.Y.; Zhang, M.R.; Liu, H.K.; Costes, E.; Han, M.Y. Canopy structure and light interception partitioning among shoots estimated from virtual trees: Comparison between apple cultivars grown on different interstocks on the Chinese Loess Plateau. Trees 2016, 30, 1723–1734. [Google Scholar] [CrossRef]
- George, A.P.; Nissen, R.J. Control of tree size and vigour in custard apple (Annona spp. hybrid) cv. African Pride in subtropical Australia. Aust. J. Exp. Agr. 2002, 42, 503–512. [Google Scholar]
- Di Vaio, C.; Cirillo, C.; Buccheri, M.; Limongelli, F. Effect of interstock (M. 9 and M. 27) on vegetative growth and yield of apple trees (cv “Annurca”). Sci. Hortic. 2009, 119, 270–274. [Google Scholar] [CrossRef]
- Marcon Filho, J.; Kretzschmar, A.A.; Hipólito, J.S.; Rufato, A.D.R.; Rufato, L.; Wurz, D.A. Increasing the length of EM-9 interstock enhances production efficiency in Imperial Gala apples. Rev. Ceres. 2019, 66, 178–183. [Google Scholar] [CrossRef]
- Gao, Y. Effects of Apple Dwarfing Interstock Type and Length on Tree Morphogenesis. Master’s Thesis, Northwest Agriculture&Forestry University, Yangling, China, 2016. [Google Scholar]
- Du, J. Effects of Apple Interstock Length and Soil Depth on Tree Growth and Fruit. Master’s Thesis, Northwest Agriculture & Forestry University, Yangling, China, 2015. [Google Scholar]
- Costes, E.; Garcia-Villanueva, E.; Jourdan, C.; Regnard, J.L.; Guedon, Y. Co-ordinated growth between aerial and root systems in young apple plants issued from in vitro Culture. Ann. Bot. 2006, 97, 85–96. [Google Scholar] [CrossRef] [PubMed]
- Zhang, X.; Li, Z.; Shao, J.; Chen, H.; Xu, J. A new apple dwarf rootstock variety Jizhen No.2. J. Hortic. 2020, 47, 1625–1626. [Google Scholar]
- Liang, B.; Sun, Y.; Li, Z.; Zhang, X.; Yin, B.; Zhou, S.; Xu, J. Crop load influences growth and hormone changes in the roots of “red fuji” apple. Front. Plant Sci. 2020, 11, 665. [Google Scholar] [CrossRef]
- Luo, F.; Hou, C.; Ma, L.; Wu, T.; Wang, Y.; Zhang, X.; Han, Z. Study on turnover dynamics of fine roots of apple trees grafted on different rootstocks. J. Hortic. 2014, 41, 1525–1534. [Google Scholar]
- Martínez-Ballesta, C.M.; Alcaraz-López, C.; Muries, B.; Mota-Cadenas, C.; Carjal, M. Physiological aspects of rootstock—Scion interactions. Sci. Hortic. 2010, 127, 112–118. [Google Scholar] [CrossRef]
- Wertheim, S.J.; Webster, A.D. Rootstocks andinterstems. In Fundamentals of Temperate Zone Tree Fruit Production; Tromp, J., Webster, A.D., Wertheim, S.J., Eds.; Backhuys Publishers: The Hague, The Netherlands, 2005; pp. 156–175. [Google Scholar]
- Menzel, C.M.; Le Lagadec, M.D. Can the productivity of mango orchards be increased by using high-density plantings? Sci. Hortic. 2017, 218, 222–263. [Google Scholar] [CrossRef]
- Yildırım, F.A.; Kankaya, A. The spontaneous growth and lateral branch habit of new apple cultivars in nursery. Int. J. Agr. Biol. 2004, 6, 492–499. [Google Scholar]
- Zhou, Y.; Hayat, F.; Yao, J.; Tian, X.; Wang, Y.; Zhang, X.; Li, W.; Wu, T.; Han, Z.; Xu, X.; et al. Size-controlling interstocks affect growth vigour by down regulating photosynthesis in eight-year-old ‘red fuji’ apple trees. Eur. J. Hortic. Sci. 2021, 86, 146–155. [Google Scholar] [CrossRef]
- Faust, M. Physiology of Temperate Zone Fruit Trees; Willey: Beltsville, DC, USA, 1989. [Google Scholar]
- Hartmann, H.T.; Kester, D.E.; Davies, F.T. Plant Propagation, Principles and Practices, 4th ed.; Prentise–Hall International Inc.: Hoboken, NJ, USA, 1990. [Google Scholar]
- Miller, S.S.; Toworkovski, T. Regulating vegetative growth in deciduous fruit trees. Pgrsa Q. 2003, 31, 8–46. [Google Scholar]
- Li, B.Z.; Wang, J.F.; Ren, X.F.; Bao, L.; Zhang, L.Q.; Zhang, L.S.; Han, M.Y.; Zhang, D. Root growth, yield and fruit quality of Red Fuji apple trees in relation to planting depth of dwarfing interstock on the Loess Plateau. Eur. J. Hortic. Sci. 2015, 80, 109–116. [Google Scholar] [CrossRef]
- Sun, Y.; Bi, H.; Xu, H.; Duan, H.; Peng, R.; Wang, J. Variation of Fine Roots Distribution in Apple (Malus pumila M.)–Crop Intercropping Systems on the Loess Plateau of China. Agronomy 2018, 8, 280. [Google Scholar] [CrossRef]
- Ren, X. Effects of Different Depths of Apple Dwarfing Interstock on Root Growth Distribution, Hormone Content and Fruit Yield and Quality. Master’s Thesis, Northwest Agriculture & Forestry University, Yangling, China, 2013. [Google Scholar]



| Treatment | Tree Height cm | Trunk Circumference cm | Shoot Length cm | |
|---|---|---|---|---|
| Interstock | Scion | |||
| T-10 | 234.00 ± 16.26 a | 15.17 ± 3.54 a | 12.91 ± 1.86 a | 39.56 ± 14.5 b | 
| T-20 | 222.40 ± 6.91 ab | 12.46 ± 1.19 b | 11.90 ± 0.98 ab | 52.60 ± 11.68 ab | 
| T-30 | 220.80 ± 47.52 ab | 12.17 ± 1.22 b | 11.33 ± 1.86 ab | 66.32 ± 11.85 a | 
| T-40 | 201.20 ± 17.71 ab | 11.82 ± 1.95 b | 10.33 ± 1.32 b | 61.34 ± 9.64 a | 
| T-50 | 189.00 ± 11.42 b | 11.56 ± 0.98 b | 10.45 ± 1.09 b | 41.60 ± 16.98 b | 
| Treatment | Tree Height cm | Stem Girth cm | Shoot Length cm | Crown Diameter cm | ||
|---|---|---|---|---|---|---|
| Interstock | Scion | in the Rows | between the Rows | |||
| T-10 | 378.00 ± 25.24 a | 27.00 ± 2.29 a | 21.33 ± 0.58 a | 23.94 ± 5.83 a | 184.70 ± 13.61 a | 183.30 ± 15.28 a | 
| T-20 | 363.33 ± 8.33 ab | 23.20 ± 0.72 b | 20.00 ± 0.5 ab | 19.91 ± 3.67 a | 165.30 ± 5.03 ab | 176.30 ± 3.22 ab | 
| T-30 | 357.67 ± 12.66 ab | 21.00 ± 3.61 bc | 19.00 ± 2.65 ab | 19.86 ± 1.81 a | 164.00 ± 11.53 ab | 160.70 ± 16.01 ab | 
| T-40 | 342.00 ± 13.86 bc | 19.40 ± 1.51 bc | 18.43 ± 1.60 ab | 19.63 ± 2.02 a | 150.00 ± 17.32 b | 156.70 ± 7.64 ab | 
| T-50 | 327.00 ± 4.58 c | 17.40 ± 0.53 c | 17.83 ± 1.26 b | 21.98 ± 3.73 a | 148.30 ± 15.28 b | 153.30 ± 20.82 b | 
| Treatment | Number of Long Branches | Share of Long Branch (%) | Number of Medium Branches | Share of Medium Branches (%) | Number of Short Branches | Share of Short Branches (%) | 
|---|---|---|---|---|---|---|
| T-10 | 47.67 ± 7.09 a | 27.41 ± 1.95 a | 17.33 ± 1.53 a | 8.37 ± 1.80 a | 106.67 ± 1.15 c | 64.22 ± 2.25 b | 
| T-20 | 32.00 ± 1.00 b | 21.25 ± 4.33 c | 16.67 ± 3.21 a | 9.80 ± 1.62 a | 124.33 ± 4.04 b | 68.95 ± 5.47 b | 
| T-30 | 28.00 ± 2.00 c | 14.43 ± 0.62 c | 18.67 ± 2.52 a | 8.38 ± 1.83 a | 149.00 ± 9.64 a | 77.19 ± 6.02 a | 
| T-40 | 42.33 ± 4.51 ab | 23.32 ± 1.71 b | 15.67 ± 4.04 a | 8.59 ± 1.17 a | 123.33 ± 2.52 b | 68.09 ± 3.62 b | 
| T-50 | 52.33 ± 6.43 a | 25.42 ± 1.99 ab | 21.67 ± 4.93 a | 8.53 ± 0.91 a | 123.67 ± 11.06 b | 66.05 ± 2.36 b | 
| Treatment | Flowers per Tree | Fruit Setting Rate of the Inflorescence (%) | Fruit Setting Rate of a Single Flower (%) | 
|---|---|---|---|
| T-10 | 143.00 ± 13.25 a | 77.00 ± 8.23 b | 27.00 ± 2.21 b | 
| T-20 | 141.25 ± 11.12 a | 84.00 ± 6.07 ab | 27.00 ± 1.56 b | 
| T-30 | 119.75 ± 17.43 ab | 87.00 ± 2.01 a | 34.00 ± 5.09 a | 
| T-40 | 105.00 ± 10.10 b | 86.00 ± 5.22 a | 31.00 ± 4.60 b | 
| T-50 | 110.00 ± 15.69 b | 84.00 ± 3.34 ab | 25.00 ± 5.66 b | 
| Treatment | Yield per Tree (kg) 2020 | Yield per Tree (kg) 2021 | Yield per Unit Cross-Sectional Area (kg/cm2) | |||
|---|---|---|---|---|---|---|
| According to Interstock 2020 | According to Scion 2020 | According to Interstock 2021 | According to Scion 2021 | |||
| T-10 | 2.93 ± 0.56 ab | 8.93 ± 0.49 b | 0.05 ± 0.004 b | 0.08 ± 0.007 b | 0.12 ± 0.007 b | 0.15 ± 0.01 c | 
| T-20 | 3.91 ± 0.94 a | 16.87 ± 1.86 a | 0.09 ± 0.01 ab | 0.12 ± 0.01 ab | 0.24 ± 0.01 a | 0.23 ± 0.02 a | 
| T-30 | 3.79 ± 0.69 ab | 12.92 ± 3.25 ab | 0.11 ± 0.01 a | 0.13 ± 0.008 a | 0.25 ± 0.01 a | 0.23 ± 0.02 a | 
| T-40 | 2.41 ± 0.48 b | 10.65 ± 1.85 b | 0.08 ± 0.007 b | 0.09 ± 0.007 b | 0.16 ± 0.009 b | 0.21 ± 0.02 ab | 
| T-50 | 3.07 ± 0.48 ab | 10.61 ± 2.45 b | 0.12 ± 0.009 a | 0.12 ± 0.01 ab | 0.19 ± 0.02 ab | 0.16 ± 0.02 bc | 
| Treatment | Single Fruit Weight (g) | Vertical Diameter (mm) | Transverse Diameter (mm) | Fruit Shape Index | Total Soluble Solids Content(%) | Flesh Firmness (kg/cm2) | Malic Acid Content (%) | Ratio of Soluble Solid to Acid | 
|---|---|---|---|---|---|---|---|---|
| T-10 | 237.56 ± 42.65 b | 65.57 ± 6.31 b | 80.87 ± 4.81 b | 0.81 ± 0.07 a | 14.79 ± 1.60 a | 8.31 ± 0.96 a | 0.41 ± 0.06 ab | 36.31 ± 4.56 b | 
| T-20 | 262.13 ± 35.55 ab | 69.10 ± 5.78 a | 85.09 ± 4.41 a | 0.81 ± 0.05 a | 14.75 ± 1.25 a | 7.99 ± 0.64 ab | 0.43 ± 0.14 a | 36.76 ± 9.40 b | 
| T-30 | 269.89 ± 41.75 a | 69.73 ± 4.67 a | 85.47 ± 2.48 a | 0.82 ± 0.05 a | 14.95 ± 0.47 a | 8.47 ± 0.85 a | 0.34 ± 0.06 c | 43.70 ± 6.09 a | 
| T-40 | 259.75 ± 41.33 ab | 69.16 ± 5.38 a | 84.17 ± 4.38 a | 0.82 ± 0.07 a | 14.38 ± 0.91 a | 7.98 ± 0.99 ab | 0.36 ± 0.06 bc | 40.48 ± 6.69 ab | 
| T-50 | 257.34 ± 44.41 ab | 67.34 ± 4.14 ab | 83.89 ± 5.01 ab | 0.80 ± 0.05 a | 14.19 ± 1.68 a | 7.47 ± 0.79 b | 0.44 ± 0.12 a | 36.45 ± 10.08 b | 
| Treatment | Single Fruit Weight (g) | Vertical Diameter (mm) | Transverse Diameter (mm) | Fruit Shape Index | Index of Peel Colors | Total Soluble Solids Content (%) | Flesh Firmness (kg/cm2) | Malic Acid Content (%) | Ratio of Soluble Solid to Acid | ||
|---|---|---|---|---|---|---|---|---|---|---|---|
| L* | a* | b* | |||||||||
| T-10 | 243.38 ± 37.22 b | 68.43 ± 2.60 b | 82.77 ± 1.97 a | 0.83 ± 0.02 ab | 44.72 ± 4.05 ab | 27.67 ± 3.66 ab | 11.57 ± 1.55 b | 15.33 ± 1.27 a | 7.71 ± 0.46 b | 0.35 ± 0.08 a | 46.21 ± 10.91 ab | 
| T-20 | 284.82 ± 41.99 a | 73.08 ± 1.76 a | 86.04 ± 1.85 a | 0.85 ± 0.01 a | 35.44 ± 2.22 c | 25.33 ± 8.56 b | 16.58 ± 1.48 a | 15.47 ± 1.50 a | 9.42 ± 0.65 a | 0.35 ± 0.11 a | 46.31 ± 11.21 ab | 
| T-30 | 276.05 ± 28.91 a | 69.49 ± 3.50 ab | 86.16 ± 2.22 a | 0.81 ± 0.03 b | 47.55 ± 4.53 a | 29.21 ± 4.71 a | 13.10 ± 1.89 b | 14.79 ± 1.21 a | 9.13 ± 0.42 a | 0.29 ± 0.09 b | 55.51 ± 16.30 a | 
| T-40 | 275.17 ± 30.21 a | 67.69 ± 0.88 b | 83.91 ± 3.56 a | 0.81 ± 0.01 b | 43.41 ± 2.85 b | 27.51 ± 4.96 ab | 9.73b ± 2.42 b | 14.77 ± 1.19 a | 7.59 ± 1.67 b | 0.34 ± 0.07 a | 44.48 ± 7.97 b | 
| T-50 | 276.06 ± 56.32 a | 71.58 ± 3.02 ab | 85.75 ± 2.26 a | 0.84 ± 0.03 ab | 42.22 ± 2.51 b | 26.69 ± 2.17 ab | 10.12 ± 1.27 b | 14.58 ± 1.31 a | 8.75 ± 0.88 a | 0.33 ± 0.11 a | 47.81 ± 12.56 ab | 
| Disclaimer/Publisher’s Note: The statements, opinions and data contained in all publications are solely those of the individual author(s) and contributor(s) and not of MDPI and/or the editor(s). MDPI and/or the editor(s) disclaim responsibility for any injury to people or property resulting from any ideas, methods, instructions or products referred to in the content. | 
© 2022 by the authors. Licensee MDPI, Basel, Switzerland. This article is an open access article distributed under the terms and conditions of the Creative Commons Attribution (CC BY) license (https://creativecommons.org/licenses/by/4.0/).
Share and Cite
Zhou, S.; Shen, Z.; Yin, B.; Liang, B.; Li, Z.; Zhang, X.; Xu, J. Effects of Dwarfing Interstock Length on the Growth and Fruit of Apple Tree. Horticulturae 2023, 9, 40. https://doi.org/10.3390/horticulturae9010040
Zhou S, Shen Z, Yin B, Liang B, Li Z, Zhang X, Xu J. Effects of Dwarfing Interstock Length on the Growth and Fruit of Apple Tree. Horticulturae. 2023; 9(1):40. https://doi.org/10.3390/horticulturae9010040
Chicago/Turabian StyleZhou, Shasha, Zhen Shen, Baoying Yin, Bowen Liang, Zhongyong Li, Xueying Zhang, and Jizhong Xu. 2023. "Effects of Dwarfing Interstock Length on the Growth and Fruit of Apple Tree" Horticulturae 9, no. 1: 40. https://doi.org/10.3390/horticulturae9010040
APA StyleZhou, S., Shen, Z., Yin, B., Liang, B., Li, Z., Zhang, X., & Xu, J. (2023). Effects of Dwarfing Interstock Length on the Growth and Fruit of Apple Tree. Horticulturae, 9(1), 40. https://doi.org/10.3390/horticulturae9010040
 
         
                                                
 
       