Dynamics of Energy Metabolism in Carbon Starvation-Induced Fruitlet Abscission in Litchi
Abstract
:1. Introduction
2. Materials and Methods
2.1. Plant Material and Treatments
2.2. Measurement of Energy Metabolites
2.3. Enzyme Activity Analysis
2.4. RNA Extraction
2.5. Real-Time PCR Analysis
2.6. Data Analysis
3. Result
3.1. Carbon Starvation Induced Fruitlet Abscission in Litchi
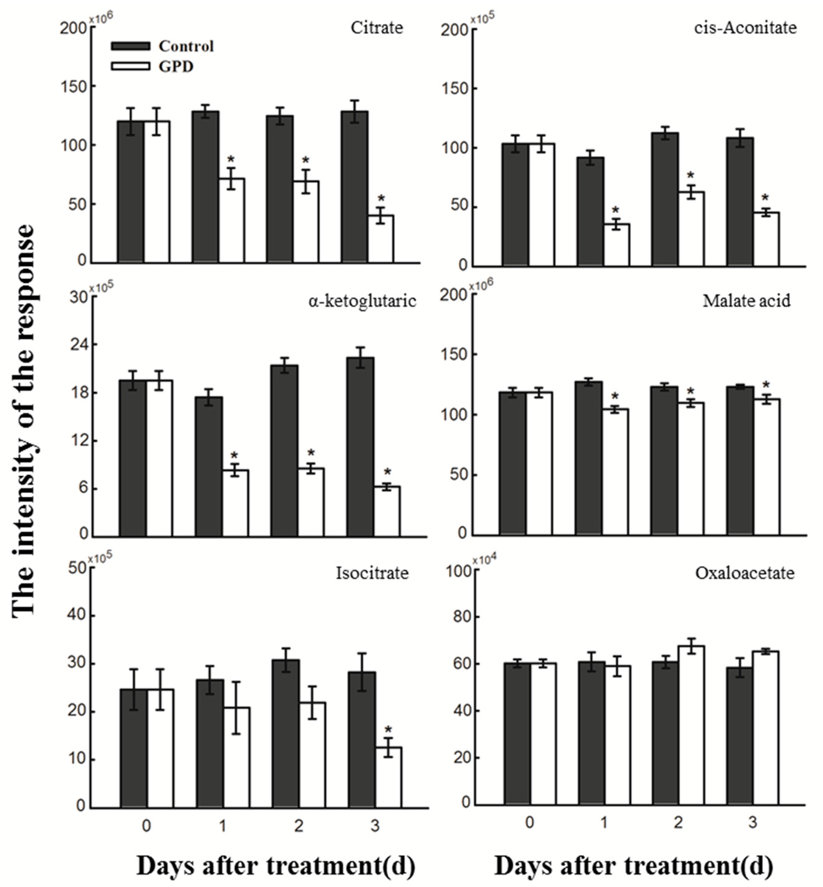
3.2. Effect of Carbon Starvation on Energy Metabolites in Litchi Fruitlet
3.3. Effect of Carbon Starvation on the Activity of Enzymes Related to Energy Metabolism
3.4. The Expression of Genes Related to Energy Metabolism in GPD-Treated Fruitlet in Litchi
4. Discussion
Author Contributions
Funding
Informed Consent Statement
Data Availability Statement
Conflicts of Interest
References
- Zhao, M.L.; Li, J.G. Molecular events involved in fruitlet abscission in litchi. Plants 2020, 9, 151. [Google Scholar] [CrossRef] [PubMed] [Green Version]
- Megguer, C.A.; Fugate, K.K.; Lafta, A.M.; Ferrareze, J.P.; Deckard, E.L.; Campbell, L.G.; Lulaie, C.; Finger, F.L. Glycolysis is dynamic and relates closely to respiration rate in stored sugarbeet roots. Front. Plant Sci. 2017, 8, 861. [Google Scholar] [CrossRef] [Green Version]
- Omena-Garcia, R.P.; Araújo, W.L.; Gibon, Y.; Fernie, A.R.; Nunes-Nesi, A. Measurement of tricarboxylic acid cycle enzyme activities in plants. In Plant Respiration and Internal Oxygen; Humana Press: New York, NY, USA, 2017; Volume 1670. [Google Scholar]
- Kadenbach, B. Intrinsic and extrinsic uncoupling of oxidative phosphorylation. Biochim. Biophys. Acta-Bioenerg. 2003, 1604, 77–94. [Google Scholar] [CrossRef] [Green Version]
- Fernie, A.R.; Carrari, F.; Sweetlove, L.J. Respiratory metabolism: Glycolysis, the TCA cycle and mitochondrial electron transport. Curr. Opin. Plant Biol. 2004, 7, 254–261. [Google Scholar] [CrossRef] [PubMed]
- Millar, A.H.; Whelan, J.; Soole, K.L.; Day, D.A. Organization and regulation of mitochondrial respiration in plants. Annu. Rev. Plant Biol. 2011, 62, 79–104. [Google Scholar] [CrossRef]
- O’leary, B.; Plaxton, W.C. Multifaceted functions of post-translational enzyme modifications in the control of plant glycolysis. Curr. Opin. Plant Biol. 2020, 55, 28–37. [Google Scholar] [CrossRef] [PubMed]
- Liu, L.; Wang, B.; Liu, D.; Zou, C.L.; Wu, P.R.; Wang, Z.Y.; Wang, Y.B.; Li, C.F. Transcriptomic and metabolomic analyses reveal mechanisms of adaptation to salinity in which carbon and nitrogen metabolism is altered in sugar beet roots. BMC Plant Biol. 2020, 20, 615–620. [Google Scholar] [CrossRef] [PubMed] [Green Version]
- Ye, T.T.; Shi, H.T.; Wang, Y.P.; Yang, F.; Chan, Z.L. Contrasting proteomic and metabolomic responses of bermudagrass to drought and salt stresses. Front. Plant Sci. 2016, 7, 1694. [Google Scholar] [CrossRef] [PubMed] [Green Version]
- Huang, C.Y.; Roessner, U.; Eickmeier, I.; Genc, U.; Callahan, D.L.; Shirley, N.; Langridge, P.; Bacic, A. Metabolite profiling reveals distinct changes in carbon and nitrogen metabolism in phosphate-deficient barley plants (Hordeum vulgare L.). Plant Cell Physiol. 2008, 49, 691. [Google Scholar] [CrossRef] [Green Version]
- Guo, R.; Zhou, J.; Yang, F.; LI, F.; LI, H.R.; Xia, X.; Liu, Q. Growth metabolism of wheat under drought stress at the jointing-booting stage. Chin. J. Plant Ecol. 2016, 40, 1319–1327. [Google Scholar]
- Li, D.; Limwachiranon, J.; Li, L.; Du, R.X.; Luo, Z.S. Involvement of energy metabolism to chilling tolerance induced by hydrogen sulfide in cold-stored banana fruit. Food Chem. 2016, 208, 272–278. [Google Scholar] [CrossRef] [PubMed]
- Zhao, H.D.; Jiao, W.X.; Cui, K.B.; Fan, X.G.; Shu, C.; Zhang, W.L.; Cao, J.K.; Jiang, W.B. Near-freezing temperature storage enhances chilling tolerance in nectarine fruit through its regulation of soluble sugars and energy metabolism. Food Chem. 2019, 289, 426–435. [Google Scholar] [CrossRef] [PubMed]
- Zhou, C.J.; Lakso, A.N.; Robinson, T.L.; Gan, S.S. Isolation and characterization of genes associated with shade-induced apple abscission. Mol. Genet. Genom. 2008, 280, 83–92. [Google Scholar] [CrossRef] [PubMed]
- Domingos, S.; Scafidi, P.; Cardoso, V.; Leitao, A.E.; Di, L.R.; Oliveira, C.M.; Goulao, L.F. Flower abscission in Vitis vinifera L. triggered by gibberellic acid and shade discloses differences in the underlying metabolic pathways. Front. Plant Sci. 2015, 6, 457. [Google Scholar] [CrossRef] [PubMed] [Green Version]
- Yang, Z.Q.; Li, M.; Zhang, X.Y.; Yu, Y.; Wang, H.C.; Huang, X.M. Effects of starvation stress on fruit abscission and sugar metabolism in longan. J. Fruit Sci. 2011, 28, 428–432. [Google Scholar]
- Kuang, J.; Wu, J.Y.; Zhong, H.Y.; Li, C.Q.; Chen, J.Y.; Lu, W.J.; Li, J.G. Carbohydrate stress affecting fruitlet abscission and expression of genes related to auxin signal transduction pathway in litchi. Int. J. Mol. Sci. 2012, 13, 16084–16103. [Google Scholar] [CrossRef] [PubMed]
- Domingos, S.; Fino, J.; Cardoso, V.; Sánchez, C.; Ramalho, J.C.; Larcher, R.; Paulo, O.S.; Oliveira, C.M.; Goulao, L.F. Shared and divergent pathways for flower abscission are triggered by gibberellic acid and carbon starvation in seedless Vitis vinifera L. BMC Plant Biol. 2016, 16, 38. [Google Scholar] [CrossRef] [Green Version]
- Li, C.Q.; Wang, Y.; Huang, X.M.; Li, J.; Wang, H.C.; Li, J.G. An improved fruit transcriptome and the identification of the candidate genes involved in fruit abscission induced by carbohydrate stress in litchi. Front. Plant Sci. 2015, 6, 439. [Google Scholar] [CrossRef] [Green Version]
- Wang, S.T.; Li, X.N.; Wang, J.; Ling, X.M. Metabonomics and its analytical technique. Chin. J. Pharm. Anal. 2010, 30, 1792–1799. [Google Scholar]
- Jenner, H.L.; Winning, B.M.; Millar, A.H.; Tomlinson, K.L.; Leaver, C.J.; Hill, S.A. NAD Malic enzyme and the control of carbohydrate metabolism in potato tubers. Plant Physiol. 2001, 126, 1139–1149. [Google Scholar] [CrossRef] [PubMed] [Green Version]
- Burrell, M.M.; Mooney, P.J.; Blundy, M.; Carter, D.; Wilson, F.; Green, J.; Blundy, K.S.; Rees, T. Genetic manipulation of 6-phosphofructokinase in potato tubers. Planta 1994, 194, 95–101. [Google Scholar] [CrossRef]
- Danson, M.J.; Black, S.C.; Woodland, D.L.; Wood, P.A. Citric acid cycle enzymes of the archaebacteria: Citrate synthase and succinate thiokinase. FEBS Lett. 1985, 179, 120–124. [Google Scholar] [CrossRef] [Green Version]
- Schirawski, J.; Unden, G. Anaerobic respiration of bacillus macerans with fumarate, TMAO, nitrate and nitrite and regulation of the pathways by oxygen and nitrate. Arch. Microbiol. 1995, 163, 148–154. [Google Scholar] [CrossRef]
- Zhang, J.H.; Liu, Y.P.; Pan, Q.H.; Zhan, J.C.; Wang, X.Q.; Huang, W.D. Changes in membrane-associated H+-ATPase activities and amounts in young grape plants during the cross adaptation to temperature stresses. Plant Sci. 2006, 170, 768–777. [Google Scholar] [CrossRef]
- Zhong, H.Y.; Chen, J.W.; Li, C.Q.; Chen, L.; Wu, J.Y.; Chen, J.Y.; Liu, W.J.; Li, J.G. Selection of reliable reference genes for expression studies by reverse transcription quantitative real-time PCR in litchi under different experimental conditions. Plant Cell Rep. 2011, 30, 641–653. [Google Scholar] [CrossRef] [PubMed]
- Yuan, R.C.; Huang, H.B. Litchi fruit abscission: Its patterns, effect of shading and relation to endogenous abscisic acid. Sci. Hortic. 1988, 36, 281–292. [Google Scholar] [CrossRef]
- Xiang, X.; Zhang, Z.W.; Qiu, Y.P.; Yuan, P.Y.; Wang, B.Q. The relationship between fruit setting and endogenous hormones in ‘Nuomici’ litchi. Acta Hortic. Sin. 1994, 1, 1–6. [Google Scholar]
- Zhou, X.J.; Huang, D.Y.; Huang, H.B.; Wu, D.Y. Effect of the spiral girdling made on fruit setting, carbohydrate and hormone on ‘Nuomici’ litchi fruit abscission. Acta Hortic. Sin. 1999, 26, 77–80. [Google Scholar]
- Mehouachi, J.; Serna, D.; Zaragoza, S.; Agustib, M.; Talona, M.; Primo-Milloa, E. Defoliation increases fruit abscission and reduces carbohydrate levels in developing fruits and woody tissues of Citrus unshiu. Plant Sci. 1995, 107, 189–197. [Google Scholar] [CrossRef]
- Givan, C.V. Evolving concepts in plant glycolysis: Two centuries of progress. Biol. Rev. 1999, 74, 277–309. [Google Scholar] [CrossRef]
- Plaxton, W.C.; Podestá, F.E. The functional organization and control of plant respiration. Crit. Rev. Plant Sci. 2006, 25, 159–198. [Google Scholar] [CrossRef]
- Sweetlove, L.J.; Beard, K.F.; Nunes-Nesi, A.; Fernie, A.R.; Ratcliffe, R.G. Not just a circle: Flux modes in the plant TCA cycle. Trends Plant Sci. 2010, 15, 462. [Google Scholar] [CrossRef] [PubMed]
- Yang, F.Y. The mechanism of oxidative phosphorylat about recent studies. Bull. Biol. 1988, 9, 16–18. [Google Scholar]








| Name | Forward Primer (5′-3′) | Reverse Primer (3′-5′) |
|---|---|---|
| LcPFK | AGACTGCTTTCTTCTACCAACC | TCAGACTTTCTCCATCCAACA |
| LcPK1 | GGAGTTTTAGTGGAGCCTTTG | TTGTAGACTCGGCAGGATGT |
| LcPK2 | TCGCAATCAAAGCGTCCG | TTCCCACTCACCTGCGTCA |
| LcCS1 | GCGGCTGCGTTAAATGGT | GCTCCTTGGTTGCGTTCTC |
| LcCS2 | ATTCGGGTGGTGGCTATTA | ATGGTTCCAGCAGTGTCGC |
| LcSDH | CTCTTCCCTCTTGGTCCTCC | GGTTAGCAACTTCCTGTCCG |
| LcSAT | AGGAGTCGCTGCTTCTTCG | CCACCCTTGAGACCACTTTTA |
| LcFUM | CGGTGAGATTGCTGGGTGA | CCTTGTGGGCTTTCTTTGC |
| LcMDH1 | GTTGTCACTTCTCAAATCCGTC | TCTGATCCAGAAAATTGTGCTGACT |
| LcMDH2 | GATGGAGGGACAGAAGTCGT | AAGGTAATTCGGTGATGGTTG |
| LcH+-ATPase1 | GTTCATCATCCGCTACGCTT | CTCCCTTTCCATAGTCTTTCTTG |
| LcH+-ATPase2 | AGTTCGATTTCTCGCCTTTC | TGGATCTTACACCGAATTTGTC |
Publisher’s Note: MDPI stays neutral with regard to jurisdictional claims in published maps and institutional affiliations. |
© 2021 by the authors. Licensee MDPI, Basel, Switzerland. This article is an open access article distributed under the terms and conditions of the Creative Commons Attribution (CC BY) license (https://creativecommons.org/licenses/by/4.0/).
Share and Cite
Wu, Q.; Ma, X.; Chen, Q.; Yuan, Y.; Wang, H.; He, X.; Zhao, M.; Li, J. Dynamics of Energy Metabolism in Carbon Starvation-Induced Fruitlet Abscission in Litchi. Horticulturae 2021, 7, 576. https://doi.org/10.3390/horticulturae7120576
Wu Q, Ma X, Chen Q, Yuan Y, Wang H, He X, Zhao M, Li J. Dynamics of Energy Metabolism in Carbon Starvation-Induced Fruitlet Abscission in Litchi. Horticulturae. 2021; 7(12):576. https://doi.org/10.3390/horticulturae7120576
Chicago/Turabian StyleWu, Qian, Xingshuai Ma, Qingxin Chen, Ye Yuan, Huicong Wang, Xinhua He, Minglei Zhao, and Jianguo Li. 2021. "Dynamics of Energy Metabolism in Carbon Starvation-Induced Fruitlet Abscission in Litchi" Horticulturae 7, no. 12: 576. https://doi.org/10.3390/horticulturae7120576
APA StyleWu, Q., Ma, X., Chen, Q., Yuan, Y., Wang, H., He, X., Zhao, M., & Li, J. (2021). Dynamics of Energy Metabolism in Carbon Starvation-Induced Fruitlet Abscission in Litchi. Horticulturae, 7(12), 576. https://doi.org/10.3390/horticulturae7120576

