Adaptability and Resilience of Chaenomeles japonica (Thunb.) Lindl. ex Spach (Rosaceae) in Urban Landscape Design
Abstract
1. Introduction
2. Materials and Methods
2.1. Study Area
2.2. Processing of Data
3. Results
3.1. Patterns of Primary Flowering in Japanese Quince
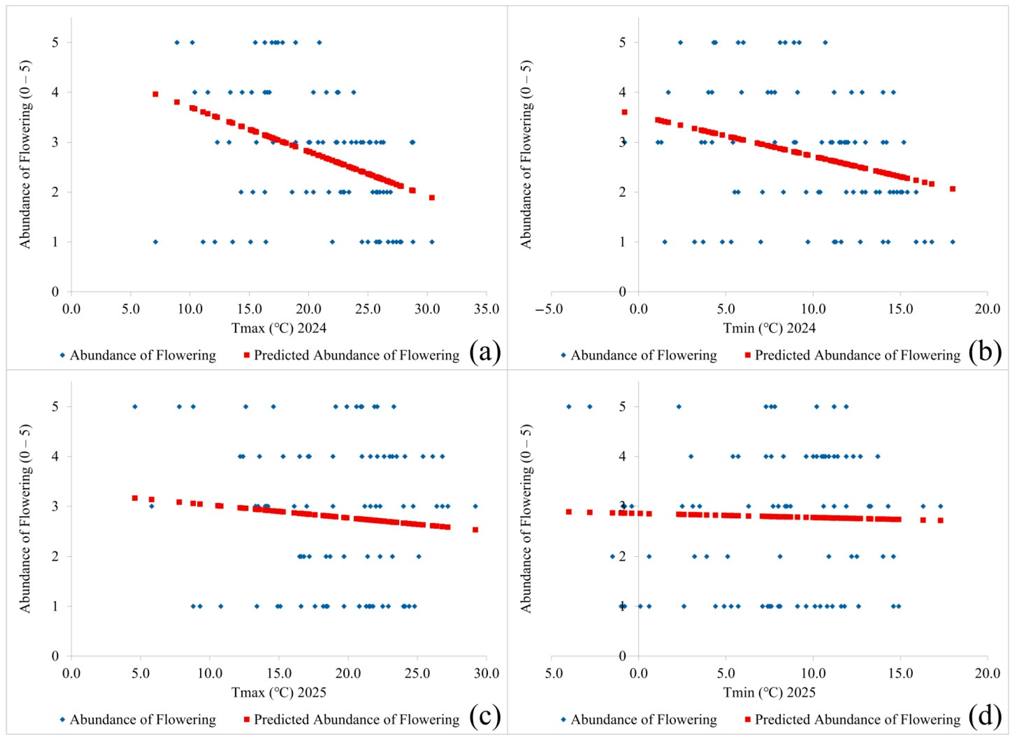
3.2. Evaluation of Flowering of Japanese Quince Genotype 1 During 2024 and 2025
4. Discussion
4.1. Phenology, Seasonality and Climatic Variables
4.2. Predictors for the Use of Japanese Quince in Landscape Design and Practical Implications
5. Conclusions
- -
- The key elements of the primary flowering patterns of Chaenomeles japonica in New Belgrade varied across the study years, reflecting the interactions between year and climatic variables.
- -
- Seasonal daily maximum and minimum air temperatures in 2024 and 2025 as well as varying monthly precipitation totals during the flowering seasons were the main factors influencing the flowering abundance of the selected individual.
- -
- The mean annual flowering abundance scores fell into the “low” category, while the primary flowering was classified in the “maximum flowering” category.
- -
- The ranges of mean daily temperatures for the flowering abundance scores correlate with the daily air temperature categories based on percentiles for the study years.
- -
- The ranges of mean daily air temperatures corresponding to the maximum flowering abundance scores varied from 5.6 °C to 15.9 °C in 2024 and from −0.2 °C to 16.9 °C in 2025.
- -
- The duration of maximum flowering during the primary flowering period was 16 days in 2024 and 13 days in 2025.
Supplementary Materials
Author Contributions
Funding
Data Availability Statement
Conflicts of Interest
References
- Wang, J.; Han, S.; Lin, H.; Wu, P.; Yuan, J. New-Type Urbanization Ecologically Reshaping China. Heliyon 2023, 9, e12925. [Google Scholar] [CrossRef] [PubMed]
- Hendricks, J.; Briercliffe, T.; Oosterom, B.; Treer, A.; Kok, G.; Edwards, T.; Kong, H. Ornamental Horticulture, A Growing Industry. In International Vision Project Reports; AIPH Horticulture House: Didcot, UK, 2019. [Google Scholar]
- Gabellini, S.; Scaramuzzi, S. Evolving consumption trends, marketing strategies, and governance settings in ornamental horticulture: A grey literature review. Horticulturae 2022, 8, 234. [Google Scholar] [CrossRef]
- Arslan, M.; Yanmaz, R. Use of ornamental vegetables, medicinal and aromatic plants in urban landscape design. In II International Conference on Landscape and Urban Horticulture; ISHS Acta Horticulturae 881; International Society for Horticultural Science: Leuven, Belgium, 2009; pp. 207–211. [Google Scholar]
- Sæbø, A.; Borzan, Ž.; Ducatillion, C.; Hatzistathis, A.; Lagerström, T.; Supuka, J.; Garcia-Valdecanthos, J.L.; Rego, F.; Van Slycken, J. The selection of plant materials for street trees, park trees and urban woodland. In Urban Forests and Trees: A Reference Book; Springer: Berlin/Heidelberg, Germany, 2005; pp. 257–280. [Google Scholar]
- Harris, V.; Kendal, D.; Hahs, A.K.; Threlfall, C.G. Green space context and vegetation complexity shape people’s preferences for urban public parks and residential gardens. Landsc. Res. 2018, 43, 150–162. [Google Scholar] [CrossRef]
- Lis, A.; Pardela, Ł.; Iwankowski, P. Impact of vegetation on perceived safety and preference in city parks. Sustainability 2019, 11, 6324. [Google Scholar] [CrossRef]
- Čukanović, J.; Ðorđević, S.; Petrov, D.; Ocokoljić, M.; Kolarov, R.; Ćurčić, M.; Ljubojević, M. The Sustainability of Rosa rugosa Thunb. Under Climate Change Conditions: A Study of Morphological Variability in Urban Areas. Horticulturae 2025, 11, 684. [Google Scholar] [CrossRef]
- Ocokoljić, M.; Petrov, D. Decorative Dendrology [Dekorativna dendrologija]; Univerzitet u Beogradu-Šumarski Fakultet: Belgrade, Serbia, 2022; 409p. (In Serbian) [Google Scholar]
- Bugallo, V.; Facciuto, G. Selection process in ornamental plant breeding. Ornam. Hortic. 2023, 29, 68–75. [Google Scholar] [CrossRef]
- Chen, M.; Zhang, J.-Z. Flowering and Flower Development in Plants. Agronomy 2024, 14, 256. [Google Scholar] [CrossRef]
- Rathcke, B.; Lacey, E.P. Phenological patterns of terrestrial plants. Annu. Rev. Ecol. Syst. 1985, 16, 179–214. [Google Scholar] [CrossRef]
- Hafdahl, C.E.; Craig, T.P. Flowering phenology in Solidago altissima: Adaptive strategies against temporal variation in temperature. J. Plant Interact. 2014, 9, 122–127. [Google Scholar] [CrossRef]
- Ehrlen, J.; Münzbergova, Z. Timing of flowering: Opposed selection on different fitness components and trait covariation. Am. Nat. 2009, 173, 819–830. [Google Scholar] [CrossRef] [PubMed]
- Chuine, I. Why does phenology drive species distribution? Philos. Trans. R. Soc. B Biol. Sci. 2010, 365, 3149–3160. [Google Scholar] [CrossRef] [PubMed]
- Zhu, J.K. Abiotic stress signaling and responses in plants. Cell 2016, 167, 313–324. [Google Scholar] [CrossRef]
- Opler, P.A.; Frankie, G.W.; Baker, H.G. Comparative phenological studies of treelet and shrub species in tropical wet and dry forests in the lowlands of Costa Rica. J. Ecol. 1980, 68, 167–188. [Google Scholar] [CrossRef]
- Ocokoljić, M.; Petrov, D.; Galečić, N.; Skočajić, D.; Košanin, O.; Simović, I. Phenological Flowering Patterns of Woody Plants in the Function of Landscape Design: Case Study Belgrade. Land 2023, 12, 706. [Google Scholar] [CrossRef]
- Skočajić, D.; Čukanović, J.; Petrov, D.; Galečić, N.; Kolarov, R.; Đorđević, S.; Ocokoljić, M. Rose ‘Casino’ as an Element of Landscape Architectural Composition in the Courtyard of the Church of St George in Belgrade Under Changing Climate Conditions. Contemp. Agric. 2025, 74, 75–85. [Google Scholar] [CrossRef]
- Chen, M.; Zhang, T.-L.; Hu, C.-G.; Zhang, J.-Z. The role of drought and temperature stress in the regulation of flowering time in annuals and perennials. Agronomy 2023, 13, 3034. [Google Scholar] [CrossRef]
- Weber, C. Cultivars in the genus Chaenomeles. Bulletin of popular information of the Arnold Arboretum, Harvard University. Arnoldia 1963, 23, 17–75. [Google Scholar] [CrossRef]
- Ocokoljić, M.; Petrov, D.; Galečić, N.; Skočajić, D.; Vujičić, D.; Čukanović, J.; Simović, I. Chaenomeles japonica (Thunb.) Lindl. ex Spach in the design of urban parks: Learning from nature. In 31th International Conference Ecological Truth and Environmental Research—Ecoter’24, Sokobanja, Serbia, 18–21 June 2024; University of Belgrade—Technical Faculty: Bor, Serbia, 2024; pp. 113–118. [Google Scholar]
- Mihova, T.; Kpndakova, V.; Monfeskha, P. Investigations of Chaenomeles japonica (Thunb.) Lindl. in the Region of Central Balkans. Banat. J. Biotechnol. 2012, III, 43–48. [Google Scholar] [CrossRef] [PubMed]
- Samatova, S.; Berdiyev, M.; Baysunov, B.; Zafar, M.; Majeed, S.; Ramadan, M.F.; Makhkamov, T.; Khan, M.R.; Ahmad, K.S.; Abbas, Q.; et al. Phenological and morphological adaptations of Japanese quince (Chaenomeles japonica—(Thunb.) Lindl. ex Spach.) [Rosaceae]: Insights from palynology and leaf histology. Genet. Resour. Crop Evol. 2025, 72, 8405–8417. [Google Scholar] [CrossRef]
- Opština Novi Beograd i USAID. Strateški Plan Lokalnog Ekonomskog Razvoja Opštine Novi Beograd. 2008. Available online: https://novibeograd.rs/wp-content/uploads/2016/07/strateskiplannbg.pdf (accessed on 29 January 2026).
- RHMZ. Republic Hydrometeorological Institute of Serbia. Available online: https://www.hidmet.gov.rs/index_eng.php (accessed on 30 January 2026).
- Anjos, L.; Gaistardo, C.; Deckers, J.; Dondeyne, S.; Eberhardt, E.; Gerasimova, M.; Harms, B.; Jones, A.; Krasilnikov, P.; Reinsch, T.; et al. World Reference Base for Soil Resources 2014: International Soil Classification System for Naming Soils and Creating Legends for Soil Maps; Schad, P., Van Huyssteen, C., Micheli, E., Eds.; World Soil Resources Reports No. 106; FAO: Rome, Italy, 2015. [Google Scholar]
- Meier, U. BBCH-Monograph. Growth Stages of Plants–Entwicklungsstadien von Pflanzen–Estadios de las plantas–Développement des Plantes. Wissenschaftsverlag, Berlin, Wien: Blackwell; Blackwell Wissenschafts-Verla: Berlin, Germany; Vienna, Austria, 1997; 622p. [Google Scholar]
- Lalić, B.; Ejcinger, J.; Dalamarta, A.; Orlandini, S.; Firanj Sremac, A.; Paher, B. Meteorology and Climatology for Agronomists [Meteorologija i klimatologija za agronome]; Univerzitet u Novom Sadu-Poljoprivredni Fakultet: Novi Sad, Serbia, 2021; 219p. (In Serbian) [Google Scholar]
- WMO. State of the Global Climate 2021: WMO Provisional Report; World Meteorological Organization (WMO): Geneva, Switzerland, 2021; 47p, Available online: https://library.wmo.int/records/item/56300-state-of-the-global-climate-2021 (accessed on 7 January 2026).
- RHMZ. Meteorological Yearbooks of Republic Hydrometeorological Institute of Serbia. Available online: https://www.hidmet.gov.rs/ciril/meteorologija/klimatologija_godisnjaci.php (accessed on 30 January 2026).
- OGIMET. Available online: https://www.ogimet.com/synopsc.phtml.en (accessed on 30 January 2026).
- Gilbert, R.O. Statistical Methods for Environmental Pollution Monitoring; Van Nostrand Reinhold: New York, NY, USA, 1987; 336p. [Google Scholar]
- Horvat, J.; Mijoč, J. Osnove Statistike [Basics of Statistics]; Naklada Ljevak: Zagreb, Croatia, 2012; 482p. [Google Scholar]
- Stilinović, S. Seed Production of Forest and Ornamental Trees and Shrubs [Semenarstvo šumskog i ukrasnog drveća i žbunja]; University of Belgrade—Faculty of Forestry: Belgrade, Serbia, 1985; 399p. (In Serbian) [Google Scholar]
- Bakkenes, M.; Alkemade, J.R.M.; Ihle, F.; Leemans, R.; Latour, J.B. Assessing effects of forecasted climate change on the diversity and distribution of European higher plants for 2050. Glob. Change Biol. 2002, 8, 390–407. [Google Scholar] [CrossRef]
- Wang, H.; Wu, C.; Ciais, P.; Penuelas, J.; Dai, J.; Fu, Y.; Ge, Q. Overestimation of the effect of climatic warming on spring phenology due to misrepresentation of chilling. Nat. Commun. 2020, 11, 4945. [Google Scholar] [CrossRef] [PubMed]
- Lanzes, T.; Khenrab, S.; Sharma, P. Low Chilling Apples: Sustainable Orchards Amidst Climate Change. Agric. Food E-Newsl. 2024, 6, 357–360. [Google Scholar]
- Ocokoljić, M.; Petrov, D.; Košanin, O.; Galečić, N.; Skočajić, D.; Vujičić, D.; Simović, I. Phenological patterns of Fraxinus ornus L. flowering in the context of ecosystem services preservation in urban forests: A case study of Košutnjak, Belgrade, Serbia. Sylwan 2024, 168, 801–821. [Google Scholar] [CrossRef]
- Petrov, D.; Ocokoljić, M.; Galečić, N.; Skočajić, D.; Simović, I. Chaenomeles × superba ‘Pink Lady’ in designing private gardens in conditions of climate change. In 30th International Conference Ecological Truth and Environmental Research—EcoTER’23; University of Belgrade—Technical Faculty: Bor, Serbia, 2023; pp. 62–68. [Google Scholar]
- Guo, L.; Dai, J.; Ranjitkar, S.; Yu, H.; Xu, J.; Luedeling, E. Chilling and Heat Requirements for Flowering Temperate Fruit Trees. Int. J. Biometeorol. 2014, 58, 1195–1206. [Google Scholar] [CrossRef]
- Szot, I.; Łysiak, G.P. Factors Influencing the Formation, Development of Buds, and Flowering of Temperate Fruit Trees. Agriculture 2025, 15, 1304. [Google Scholar] [CrossRef]
- Andersone, D.; Kaufmane, E. Flowering and Fruit Set in Japanese Quince (Chaenomeles japonica). 2001. Available online: https://pub.epsilon.slu.se/5182/1/4Flowering.pdf (accessed on 15 February 2026).
- Mihova, T.; Minkov, P.; Popski, G.; Stefanova, B.; Todorova, S. Perspective Genotypes from Chaenomeles sp. Lindl. for Fruit Production. Sci. Pap. Ser. B Hortic. 2023, LXVII, 119–124. [Google Scholar]
- Ocokoljić, M.; Galečić, N.; Skočajić, D.; Čukanović, J.; Đorđević, S.; Kolarov, R.; Petrov, D. Flowering Patterns of Cornus mas L. in the Landscape Phenology of Roadside Green Infrastructure Under Climate Change Conditions in Serbia. Sustainability 2025, 17, 5334. [Google Scholar] [CrossRef]
- Heide, O.M.; Rivero, R.; Sønsteby, A. Temperature Control of Shoot Growth and Floral Initiation in Apple (Malus × domestica Borkh.). CABI Agric. Biosci. 2020, 1, 8. [Google Scholar] [CrossRef]
- Rutkowski, K.; Łysiak, G.P.; Zydlik, Z. Effect of Nitrogen Fertilization in the Sour Cherry Orchard on Soil Enzymatic Activities, Microbial Population, and Fruit Quality. Agriculture 2022, 12, 2069. [Google Scholar] [CrossRef]
- Hassan, G.I.; Wani, A.W.; Dar, S.Q.; Wani, M.Y.; Sofi, J.A.; Baba, T.R.; Parray, E.; Rasool, A. Physiology of Fruit Set and Development in Apple under Temperate Conditions: A Review. Int. J. Curr. Microbiol. Appl. Sci. 2020, 9, 618–638. [Google Scholar] [CrossRef]
- Byczkiewicz, S.; Kobus-Cisowska, J.; Szulc, P.; Telichowska, A.; Szczepaniak, O.; Dziedzinski, M. Japanese Quince (Chaenomeles japonica L.) as a row material about health properties—Current state of knowledge. Tech. Rol. Ogrod. Leśna 2019, 5, 22–25. [Google Scholar]
- Marat, N.; Danowska-Oziewicz, M.; Narwojsz, A. Chaenomeles Species—Characteristics of Plant, Fruit and Processed Products: A Review. Plants 2022, 11, 3036. [Google Scholar] [CrossRef]
- Lacis, G.; Kaufmane, E.; Ruisa, S. Development of Japanese quince (Chaenomeles japonica) as a fruit crop and involvement in horticultural practice in the Baltics. In EHC2024: International Symposium on the History of Horticulture in Europe; ISHS Acta Horticulturae 1438; International Society for Horticultural Science: Leuven, Belgium, 2024; pp. 275–282. [Google Scholar]
- Van Huylenbroeck, J. Ornamental Crops; Springer International Publishing: Cham, Switzerland, 2018. [Google Scholar]
- Yeler, O.; Satir, Y.N. Overview and suggestions for common production base planning in the outdoor ornamental plants sector. Int. J. Sci. Technol. Res. 2020, 6, 79–85. [Google Scholar]
- Zandalinas, S.I.; Fritschi, F.B.; Mittler, R. Global warming, climate change, and environmental pollution: Recipe for a multifactorial stress combination disaster. Trends Plant Sci. 2021, 26, 588–599. [Google Scholar] [CrossRef]
- Dudkiewicz, M.; Kopacki, M.; Iwanek, M.; Hortynska, P. Problemy zachowania bioróżnorodności na przykładzie wybranych miast Polski. Agron. Sci. 2021, 76, 67–84. [Google Scholar] [CrossRef]
- Galečić, N.; Petrov, D.; Skočajić, D.; Čukanović, J.; Kolarov, R.; Đorđević, S.; Ocokoljić, M. Diversity, Growth Parameters, and Ecosystem Services of Urban Trees Under Climate-Change Conditions: A Case Study of Topčider Park. Forests 2026, 17, 114. [Google Scholar] [CrossRef]
- Hall, C.; Knuth, M. An update of the literature supporting the well-being benefits of plants: A review of the emotional and mental health benefits of plants. J. Environ. Hortic. 2019, 37, 30–38. [Google Scholar] [CrossRef]
- Bibri, S.E.; Krogstie, J. Smart Eco-City Strategies and Solutions for Sustainability: The Cases of Royal Seaport, Stockholm, and Western Harbor, Malmo, Sweden. Urban Sci. 2020, 4, 11. [Google Scholar] [CrossRef]
- Barthel, S.; Isendahl, C. Urban gardens, agriculture, and water management: Sources of resilience for long-term food security in cities. Ecol. Econ. 2013, 86, 215–225. [Google Scholar] [CrossRef]
- Mitrović, S.Ž.; Veselinović, M.M.; Poduška, Z.B.; Stojanović, V.Ž.; Marković, M.Ž.; Opelka, J.M.; Milosavljević, M.D. Vitality as an Indicator of Aesthetic Quality: An Initial Assessment of Urban Trees in Akademski Park, Belgrade. South-East Eur. For. SEEFOR 2025, 16, 207–213. [Google Scholar] [CrossRef]
- Ochoa, J.; Munoz, M.; Vicente, M.J.; Martínez-Sánchez, J.J.; Franco, J.A. Native ornamental species for urban landscaping and xero-gardening in semi-arid environments. Acta Hortic. 2010, 881, 425–428. [Google Scholar] [CrossRef]
- Đurašinović, R.; Zeković, M.; Mitrović, S.; Konstantinović, D.; Pejić, S.; Vemić, A. Indeterminacy as a Framework for Sustainable Architecture: Lessons from Spens, a Socialist Megastructure. Sustainability 2025, 17, 8527. [Google Scholar] [CrossRef]
- European Commission. Communication from the Commission. In A Clean Planet for All: A European Strategic Long-Term Vision for a Prosperous, Modern, Competitive and Climate Neutral Economy; COM(2018) 773 Final; European Commission: Brussels, Belgium, 2018. [Google Scholar]
- European Commission. Communication from the Commission to the European Parliament, The Council, The European Economic and Social Committee and The Committee of the Regions. Farm to Fork Strategy for a Fair, Healthy and Environmentally-Friendly Food System; COM(2020) 381 Final; European Commission: Brussels, Belgium, 2020. [Google Scholar]
- Prandecki, K.; Wrzaszcz, W.; Zielinski, M. Environmental and climate challenges to agriculture in Poland in the context of objectives adopted in the European green deal strategy. Sustainability 2021, 13, 10318. [Google Scholar] [CrossRef]













| Parameter\Test | Kendall’s Tau | p-Value | Sen’s Slope |
|---|---|---|---|
| 60BBCH DOY | −0.177 | 0.309 | −1.000 |
| 65BBCH DOY | −0.224 | 0.195 | −1.214 |
| 69BBCH DOY | −0.147 | 0.401 | −0.462 |
| 60BBCH GDD | 0.170 | 0.327 | 1.037 |
| 65BBCH GDD | 0.216 | 0.208 | 1.396 |
| 69BBCH GDD | −0.006 | 1.000 | −0.046 |
| Variables | 60BBCH | 65BBCH | 69BBCH | 60BBCH | 65BBCH | 69BBCH |
|---|---|---|---|---|---|---|
| DOY | GDD | |||||
| 60BBCH DOY | 0.932 | 0.617 | 0.374 | 0.459 | 0.446 | |
| 65BBCH DOY | <0.0001 | 0.631 | 0.215 | 0.366 | 0.362 | |
| 69BBCH DOY | 0.006 | 0.005 | 0.312 | 0.289 | 0.673 | |
| 60BBCH GDD | 0.115 | 0.375 | 0.194 | 0.753 | 0.607 | |
| 65BBCH GDD | 0.050 | 0.124 | 0.230 | 0.000 | 0.532 | |
| 69BBCH GDD | 0.057 | 0.128 | 0.002 | 0.007 | 0.021 | |
| Parameter | df | SS | MS | F | Significance F |
|---|---|---|---|---|---|
| 2024 | |||||
| Regression | 1 | 106.4811 | 106.4811 | 72.1681 | 0.0000 |
| Residual | 365 | 491.3279 | 1.475459 | ||
| Total | 366 | 597.809 | |||
| 2025 | |||||
| Regression | 1 | 132.7676 | 132.7676 | 98.66215 | 0.0000 |
| Residual | 364 | 488.4817 | 1.34568 | ||
| Total | 365 | 621.2493 | |||
| Variables | Tmax | Tmin | AF | Tmax | Tmin | AF | Tmax | Tmin | AF | Tmax | Tmin | AF |
|---|---|---|---|---|---|---|---|---|---|---|---|---|
| Winter | Spring | Summer | Autumn | |||||||||
| 2024 | ||||||||||||
| Tmax | 0.823 | 0.494 | 0.753 | −0.404 | 0.683 | −0.208 | 0.820 | −0.604 | ||||
| Tmin | <0.0001 | 0.392 | <0.0001 | −0.287 | <0.0001 | −0.058 | <0.0001 | −0.622 | ||||
| AF | <0.0001 | 0.002 | <0.0001 | 0.006 | 0.047 | 0.582 | <0.0001 | <0.0001 | ||||
| 2025 | ||||||||||||
| Tmax | 0.560 | −0.278 | 0.598 | −0.065 | 0.508 | −0.389 | 0.818 | −0.633 | ||||
| Tmin | <0.0001 | 0.091 | <0.0001 | 0.014 | <0.0001 | −0.328 | <0.0001 | −0.701 | ||||
| AF | 0.008 | 0.395 | 0.535 | 0.894 | 0.000 | 0.001 | <0.0001 | <0.0001 | ||||
Disclaimer/Publisher’s Note: The statements, opinions and data contained in all publications are solely those of the individual author(s) and contributor(s) and not of MDPI and/or the editor(s). MDPI and/or the editor(s) disclaim responsibility for any injury to people or property resulting from any ideas, methods, instructions or products referred to in the content. |
© 2026 by the authors. Licensee MDPI, Basel, Switzerland. This article is an open access article distributed under the terms and conditions of the Creative Commons Attribution (CC BY) license.
Share and Cite
Skočajić, D.; Petrov, D.; Galečić, N.; Čukanović, J.; Kolarov, R.; Đorđević, S.; Ocokoljić, M. Adaptability and Resilience of Chaenomeles japonica (Thunb.) Lindl. ex Spach (Rosaceae) in Urban Landscape Design. Horticulturae 2026, 12, 396. https://doi.org/10.3390/horticulturae12030396
Skočajić D, Petrov D, Galečić N, Čukanović J, Kolarov R, Đorđević S, Ocokoljić M. Adaptability and Resilience of Chaenomeles japonica (Thunb.) Lindl. ex Spach (Rosaceae) in Urban Landscape Design. Horticulturae. 2026; 12(3):396. https://doi.org/10.3390/horticulturae12030396
Chicago/Turabian StyleSkočajić, Dejan, Djurdja Petrov, Nevenka Galečić, Jelena Čukanović, Radenka Kolarov, Sara Đorđević, and Mirjana Ocokoljić. 2026. "Adaptability and Resilience of Chaenomeles japonica (Thunb.) Lindl. ex Spach (Rosaceae) in Urban Landscape Design" Horticulturae 12, no. 3: 396. https://doi.org/10.3390/horticulturae12030396
APA StyleSkočajić, D., Petrov, D., Galečić, N., Čukanović, J., Kolarov, R., Đorđević, S., & Ocokoljić, M. (2026). Adaptability and Resilience of Chaenomeles japonica (Thunb.) Lindl. ex Spach (Rosaceae) in Urban Landscape Design. Horticulturae, 12(3), 396. https://doi.org/10.3390/horticulturae12030396

