Neodymium Exerts Biostimulant and Synergistic Effects on the Nutrition and Biofortification of Lettuce with Zinc
Abstract
1. Introduction
2. Materials and Methods
2.1. Location and Experimental Conditions
2.2. Plant Material and Growth Conditions
2.3. Experimental Design and Application of Treatments
2.4. Variables Evaluated
2.5. Statistical Analysis
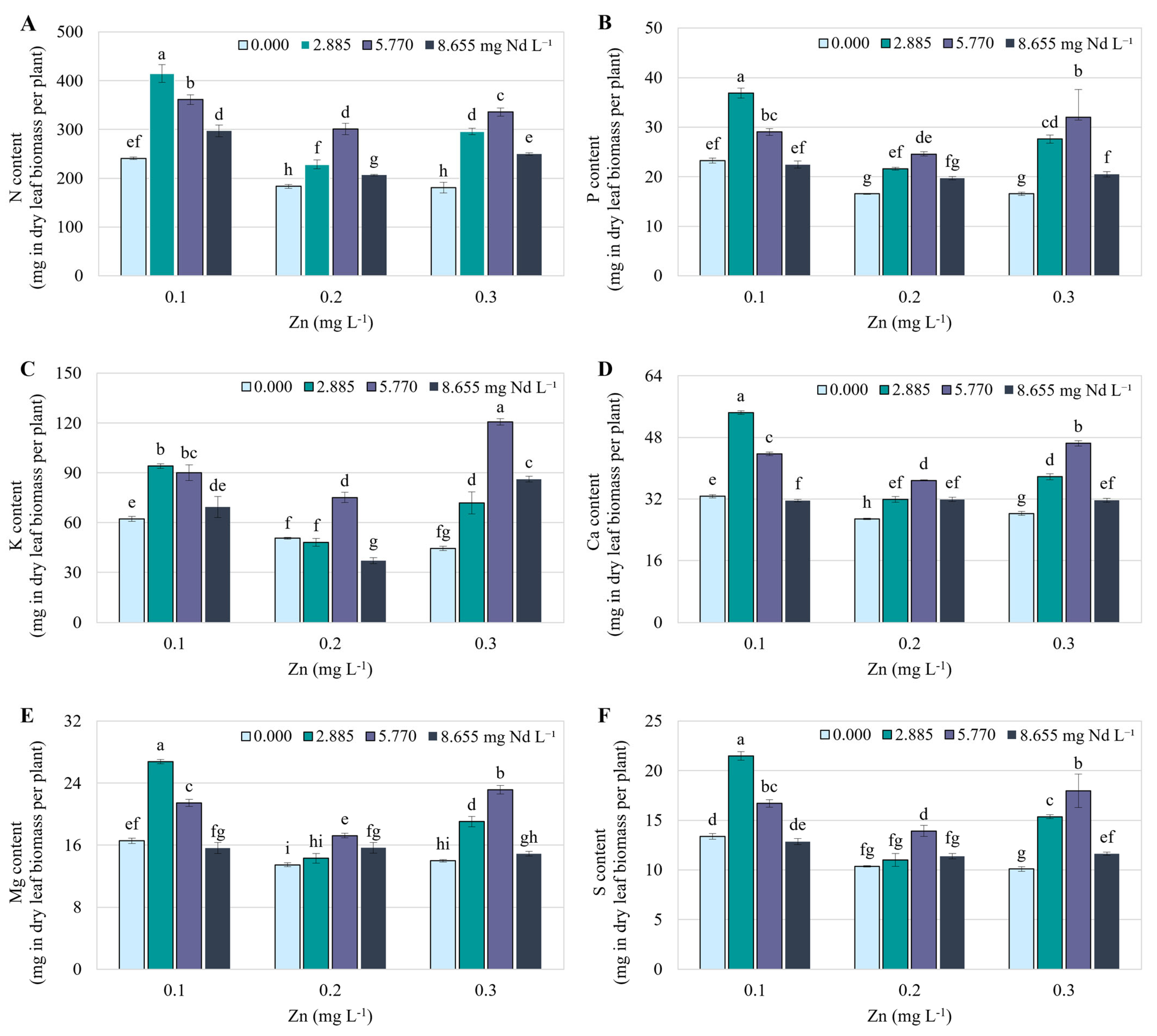
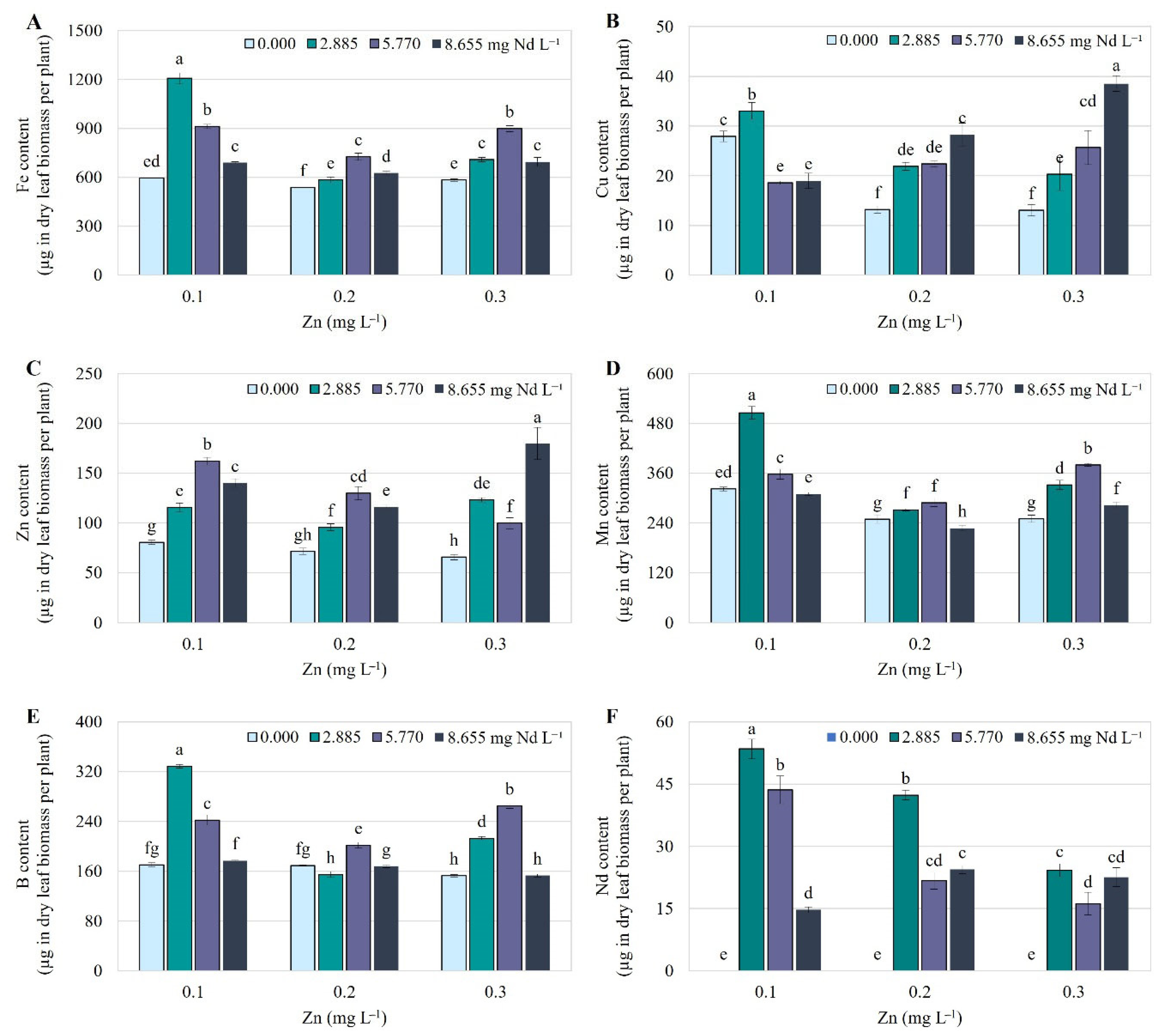
3. Results
4. Discussion
5. Conclusions
Author Contributions
Funding
Data Availability Statement
Acknowledgments
Conflicts of Interest
References
- Saleem, A.; Anwar, S.; Nawaz, T.; Fahad, S.; Saud, S.; Ur Rahman, T.; Khan, M.N.R.; Nawaz, T. Securing a sustainable future: The climate change threat to agriculture, food security, and sustainable development goals. J. Umm. Al-Qura Univ. Appl. Sci. 2024. [Google Scholar] [CrossRef]
- Calanca, P.P. Effects of abiotic stress in crop production. In Quantification of Climate Variability, Adaptation and Mitigation for Agricultural Sustainability; Ahmed, M., Stockle, C., Eds.; Springer: Cham, Switzerland, 2007; pp. 165–189. [Google Scholar]
- Godoy, F.; Olivos-Hernández, K.; Stange, C.; Handford, M. Abiotic stress in crop species: Improving tolerance by applying plant metabolites. Plants 2021, 10, 186. [Google Scholar] [CrossRef] [PubMed]
- Sangiorgio, D.; Cellini, A.; Donati, I.; Pastore, C.; Onofrietti, C.; Spinelli, F. Facing climate change: Application of microbial biostimulants to mitigate stress in horticultural crops. Agronomy 2020, 10, 794. [Google Scholar] [CrossRef]
- Rezvi, H.U.A.; Tahjib-Ul-Arif, M.; Azim, M.A.; Tumpa, T.A.; Tipu, M.M.H.; Najnine, F.; Dawood, M.F.A.; Skalicky, M.; Brestič, M. Rice and food security: Climate change implications and the future prospects for nutritional security. Food Energy Secur. 2023, 12, e430. [Google Scholar] [CrossRef]
- Praharaj, S.; Skalicky, M.; Maitra, S.; Bhadra, P.; Shankar, T.; Brestic, M.; Hejnak, V.; Vachova, P.; Hossain, A. Zinc biofortifcation in food crops could alleviate the zinc malnutrition in human health. Molecules 2021, 26, 3509. [Google Scholar] [CrossRef]
- Szerement, J.; Szatanik-Kloc, A.; Mokrzycki, J.; Mierzwa-Hersztek, M. Agronomic biofortification with Se, Zn, and Fe: An effective strategy to enhance crop nutritional quality and stress defense a review. J. Soil Sci. Plant. Nutr. 2021, 22, 1129–1159. [Google Scholar] [CrossRef]
- Kumar, V.; Kumar, A.; Singh, K.; Avasthi, K.; Kim, J.J. Neurobiology of zinc and its role in neurogenesis. Eur. J. Nutr. 2021, 60, 55–64. [Google Scholar] [CrossRef]
- Lowe, N.M.; Hall, A.G.; Broadley, M.R.; Foley, J.; Boy, E.; Bhutta, Z.A. Preventing and controlling zinc deficiency across the life course: A call to action. Adv. Nutr. 2024, 15, 100181. [Google Scholar] [CrossRef]
- de Moraes, C.C.; Silveira, N.M.; Mattar, G.S.; Sala, F.C.; Mellis, E.V.; Purquerio, L.F.V. Agronomic biofortification of lettuce with zinc under tropical conditions: Zinc content, biomass production and oxidative stress. Sci. Hortic. 2022, 303, 111218. [Google Scholar] [CrossRef]
- de Almeida, H.J.; Vergara-Carmona, V.M.; Ferreira-Inocêncio, M.; Furtini-Neto, A.E.; Cecílio-Filho, A.B.; Mauad, M. Soil type and zinc doses in agronomic biofortification of lettuce genotypes. Agronomy 2020, 10, 124. [Google Scholar] [CrossRef]
- Marqués, E.; Darby, H.M.; Kraft, J. Benefits and limitations of non-transgenic micronutrient biofortification approaches. Agronomy 2021, 11, 464. [Google Scholar] [CrossRef]
- Cakmak, I.; Kutman, U.B. Agronomic biofortification of cereals with zinc: A review. Eur. J. Soil Sci. 2018, 69, 172–180. [Google Scholar] [CrossRef]
- Maxfield, L.; Shukla, S.; Crane, J.S. Zinc Deficiency. StatPearls: St.Petersburg, FL, USA, 2023. Available online: https://www.ncbi.nlm.nih.gov/books/NBK493231/ (accessed on 28 May 2025).
- Samtiya, M.; Aluko, R.E.; Dhewa, T. Plant food anti-nutritional factors and their reduction strategies: An overview. Food Prod. Process. Nutr. 2020, 2, 6. [Google Scholar] [CrossRef]
- Clemens, S. How metal hyperaccumulating plants can advance Zn biofortification. Plant Soil 2017, 411, 111–120. [Google Scholar] [CrossRef]
- de Lima, B.M.; Noboa, C.S.; de Lima, F.M.; Mello, S.D.C.; Purquerio, L.F.V.; Sala, F.C. Agronomic biofortification with zinc in hydroponically cultivated lettuce. Aust. J. Crop Sci. 2023, 17, 198–205. [Google Scholar]
- Preciado-Rangel, P.; Sánchez-Chávez, E.; Fortis-Hernández, M.; Gaucin-Delgado, J.M.; Avalos, R.G.; Hermosillo-Alba, M.C.; Peña-Revuelta, B.P.; Guillén-Enríquez, R.R. Enhanced enzymatic and bioactive compounds in lettuce via zinc oxide nanoparticles. Not. Sci. Biol. 2024, 16, 12088. [Google Scholar] [CrossRef]
- Sible, C.N.; Seebauer, J.R.; Below, F.E. Plant biostimulants: A categorical review, their implications for row crop production, and relation to soil health indicators. Agronomy 2021, 11, 1297. [Google Scholar] [CrossRef]
- Gupta, S.; Kulkarni, M.G.; White, J.F.; Stirk, W.A.; Papenfus, H.B.; Doležal, K.; Ördög, V.; Norrie, J.; Critchley, A.T.; Van Staden, J. Categories of various plant biostimulants–mode of application and shelf-life. In Biostimulants for Crops from Seed Germination to Plant Development; Gupta, S., van Staden, J., Eds.; Academic Press: Cambridge, MA, USA, 2021; pp. 1–60. [Google Scholar]
- Hawrylak-Nowak, B.; Hasanuzzaman, M.; Wójcik, M. Biostimulation and biofortification of crop plants-new challenges for modern agriculture. Acta Agrobot. 2019, 72, 1777. [Google Scholar] [CrossRef]
- Ramírez-Antonio, V.J.; Trejo-Téllez, L.I.; Gómez-Merino, F.C.; Hidalgo-Contreras, J.V. Neodymium stimulates growth, nutrient concentration, and metabolism in sugarcane in hydroponics. Sugar Tech 2023, 25, 1385–1395. [Google Scholar] [CrossRef]
- Rueda-López, I.; Trejo-Téllez, L.I.; Gómez-Merino, F.C.; Peralta-Sánchez, M.G.; Ramírez-Olvera, S.M. Neodymium and zinc stimulate growth, biomass accumulation and nutrient uptake of lettuce plants in hydroponics. Folia Hortic. 2024, 36, 283–297. [Google Scholar] [CrossRef]
- Steiner, A.A. The universal nutrient solution. In Proceedings of the Sixth International Congress on Soilless Culture, ISOSC, Lunteren, The Netherlands, 29 April–5 May 1984; pp. 633–650. [Google Scholar]
- SAS Institute Inc. SAS/STAT Software: Changes and Enhancements, Release 6.10; SAS Institute Inc.: Cary, NC, USA, 2009. [Google Scholar]
- R Core Team. R: A Language and Environment for Statistical Computing; R Foundation for Statistical Computing: Vienna, Austria, 2025; Available online: https://www.R-project.org/ (accessed on 20 June 2025).
- Gómez-Merino, F.C.; Gómez-Trejo, L.F.; Ruvalcaba-Ramírez, R.; Trejo-Téllez, L.I. Lanthanides as Beneficial Elements for Plants. In Beneficial Chemical Elements of Plants: Recent Developments and Future Prospects; Pandey, S., Tripathi, D.K., Singh, V.P., Sharma, S., Chauhan, D.K., Eds.; Wiley: New York, NY, USA, 2023; pp. 349–369. [Google Scholar]
- Carbajal-Vázquez, V.H.; Gómez-Merino, F.C.; Trejo-Téllez, L.I.; Hidalgo-Contreras, J.V. Application and effects of rare earth elements in agricultural production systems. Agro Product. 2025, 18, 205–214. [Google Scholar]
- Ozturk, M.; Metin, M.; Altay, V.; Prasad, M.N.V.; Gul, A.; Bhat, R.A.; Darvash, M.A.; Hasanuzzaman, M.; Nahar, K.; Unal, D.; et al. Role of rare earth elements in plants. Plant Mol. Biol. Rep. 2023, 41, 345–368. [Google Scholar] [CrossRef]
- Kaur, P.; Mahajan, M.; Gambhir, H.; Khan, A.; Khan, M.I.R. Rare earth metallic elements in plants: Assessing benefits, risks and mitigating strategies. Plant Cell Rep. 2024, 43, 216. [Google Scholar] [CrossRef]
- Ramos, S.J.; Dinali, G.S.; Oliveira, C.; Martins, G.C.; Moreira, C.G.; Siqueira, J.O.; Guilherme, L.R.G. Rare earth elements in the soil environment. Curr. Pollut. Rep. 2016, 2, 28–50. [Google Scholar] [CrossRef]
- Rezaee, A.; Hale, B.; Santos, R.M.; Chiang, Y.W. Accumulation and toxicity of lanthanum and neodymium in horticultural plants (Brassica chinensis L. and Helianthus annuus L.). Can. J. Chem. Eng. 2018, 96, 2263–2272. [Google Scholar] [CrossRef]
- de Oliveira, C.; Ramos, S.J.; Dinali, G.S.; de Carvalho, T.S.; Martins, F.A.D.; Faquin, V.; de Castro, E.M.; Sarkis, J.E.S.; Siquiera, J.O.; Guilherme, L.R.G. Biostimulant response of foliar application of rare earth elements on physiology, growth, and yield of rice. Plants 2024, 13, 1435. [Google Scholar] [CrossRef]
- Fu, Y.; Feifei, L.; Xu, T.; Cai, S.; Chu, W.; Qiu, H.; Sha, S.; Cheng, G.; Xu, Q.S. Bioaccumulation, subcellular, and molecular localization and damage to physiology and ultrastructure in Nymphoides peltata (Gmel.) O. Kuntze exposed to yttrium. Environ. Sci. Pollut. Res. 2014, 21, 2935–2942. [Google Scholar] [CrossRef]
- Shi, K.; Liu, C.; Liu, D.; Lyu, K.; Chen, J.; Wang, X. The bioaccumulation and detoxification mechanism of neodymium on the shoot of rice seedlings. Am. J. Biochem. Biotechnol. 2021, 17, 140–147. [Google Scholar] [CrossRef]
- d’Aquino, L.; de Pinto, M.C.; Nardi, L.; Morgana, M.; Tommasi, F. Effect of some light rare earth elements on seed germination, seedling growth and antioxidant metabolism in Triticum durum. Chemosphere 2009, 75, 900–905. [Google Scholar] [CrossRef]
- Emmanuel, E.S.C.; Vignesh, V.; Anandkumar, B.; Maruthamuthu, S. Bioaccumulation and physiological impact of rare earth elements on wheat (Triticum aestivum). Indian J. Plant. Physiol. 2010, 15, 177–180. [Google Scholar]
- Ramírez-Martínez, M.; Trejo-Téllez, L.I.; Gómez-Merino, F.C.; Castillo-González, A.M.; Hernández-Ríos, I.; Hernández-Acosta, E. Bioacumulación de potasio, calcio y lantano en tulipán tratado con lantano. Terra Latinoam. 2012, 30, 229–238. [Google Scholar]
- Shtangeeva, I.; Niemelä, M.; Perämäki, P. Bioavailability and toxicity of bromine and neodymium for plants grown in soil and water. Environ. Geochem. Health 2022, 44, 285–293. [Google Scholar] [CrossRef] [PubMed]
- Kim, M.J.; Moon, Y.; Tou, J.C.; Mou, B.; Waterland, N.L. Nutritional value, bioactive compounds and health benefits of lettuce (Lactuca sativa L.). J. Food Compos. Anal. 2016, 49, 19–34. [Google Scholar] [CrossRef]
- Samreen, T.; Shah, H.U.; Ullah, S.; Javid, M. Zinc effect on growth rate, chlorophyll, protein and mineral contents of hydroponically grown mungbeans plant (Vigna radiata). Arab. J. Chem. 2017, 10, 1802–1807. [Google Scholar] [CrossRef]
- Barrameda-Medina, Y.; Lentini, M.; Esposito, S.; Ruiz, J.M.; Blasco, B. Zn-biofortification enhanced nitrogen metabolism and photorespiration process in green leafy vegetable Lactuca sativa L. J. Sci. Food Agric. 2017, 97, 1828–1836. [Google Scholar] [CrossRef]
- Beal, T.; Massiot, E.; Arsenault, J.E.; Smith, M.R.; Hijmans, R.J. Global trends in dietary micronutrient supplies and estimated prevalence of inadequate intakes. PLoS ONE 2017, 12, e0175554. [Google Scholar] [CrossRef]
- White, P.J.; Thompson, J.A.; Wright, G.; Rasmussen, S.K. Biofortifying Scottish potatoes with zinc. Plant Soil 2017, 411, 151–165. [Google Scholar] [CrossRef]
- Bączek-Kwinta, R.; Baran, A.; Simlat, M.; Lang, J.; Bieniek, M.; Florek, B. Enrichment of different plant seeds with zinc and assessment of health risk of Zn-fortified sprouts consumption. Agronomy 2020, 10, 937. [Google Scholar] [CrossRef]
- Ciriello, M.; Formisano, L.; Zarrelli, A.; Corrado, G.; Kyriacou, M.C.; De Pascale, S.; Rouphael, Y. Zinc biofortification of Genovese basil: Influence on mineral profile and estimated daily intake in adults and children. Food Res. Int. 2023, 164, 112374. [Google Scholar] [CrossRef]
- Bhardwaj, A.K.; Chejara, S.; Malik, K.; Kumar, R.; Kumar, A.; Yadav, R.K. Agronomic biofortification of food crops: An emerging opportunity for global food and nutritional security. Front. Plant. Sci. 2022, 13, 1055278. [Google Scholar] [CrossRef]
- Gupta, N.; Ram, H.; Kumar, B. Mechanism of zinc absorption in plants: Uptake, transport, translocation and accumulation. Rev. Environ. Sci. Biotechnol. 2016, 15, 89–109. [Google Scholar] [CrossRef]
- Olsen, L.I.; Palmgren, M.G. Many rivers to cross: The journey of zinc from soil to seed. Front. Plant. Sci. 2014, 5, 30. [Google Scholar] [CrossRef] [PubMed]
- Hailei, Z.; Chunguang, Z.; Zhongqiu, Z.; Jianhua, M.; Li, L. Effects of La3+ on H+ transmembrane gradient and membrane potential in rice seedling roots. J. Rare Earths 2002, 20, 234–237. [Google Scholar]
- Li, Y.; Yan, C.; Liu, J.; Chen, Y.; Hu, J.; Xue, B. Effects of La3+ on ATPase activities of plasma membrane vesicles isolated from Casuarina equisetifolia seedlings under acid rain stress. J. Rare Earths 2003, 21, 675–679. [Google Scholar]
- Wang, L.; Huang, X.; Zhou, Q. Effects of rare earth elements on the distribution of mineral elements and heavy metals in horseradish. Chemosphere 2008, 73, 314–319. [Google Scholar] [CrossRef]
- Liu, D.; Wang, X.; Lin, Y.; Chen, Z.; Xu, H.; Wang, L. The effects of cerium on the growth and some antioxidant metabolisms in rice seedlings. Environ. Sci. Pollut. Res. 2012, 19, 3282–3291. [Google Scholar] [CrossRef]
- Zang, X.; Du, Y.; Wang, L.; Zhou, Q.; Huang, X.; Sun, Z. Combined effects of lanthanum (III) and acid rain on antioxidant enzyme system in soybean roots. PLoS ONE 2015, 10, e0134546. [Google Scholar]
- Basu, A.; Kar, S.S.; Panda, S.S.; Dhal, N.K. Bioaccumulation of neodymium oxide (REE) and its effects on the growth and physiological changes of wheat and rice seedlings: A hydroponics study under plant growth chamber. e-Planet 2016, 14, 33–40. [Google Scholar]
- Zhan, J.; Huang, H.; Yu, H.; Zhang, X.; Zheng, Z.; Wang, Y.; Liu, T.; Li, T. The combined effects of Cd and Pb enhanced metal binding by root cell walls of the phytostabilizer Athyrium wardii (Hook.). Environ. Pollut. 2020, 258, 113663. [Google Scholar] [CrossRef]
- Shi, K.; Liu, C.; Liu, D.; Lyu, K.; Chen, J.; Wang, X. The accumulation and effect of rare earth element neodymium on the root of rice seedlings. Environ. Sci. Pollut. Res. Int. 2021, 28, 48656–48665. [Google Scholar] [CrossRef]
- Shan, X.; Wang, H.; Zhang, S.; Zhou, H.; Zheng, Y.; Yu, H.; Wen, B. Accumulation and uptake of light rare earth elements in a hyperaccumulator Dicropteris dichotoma. Plant Sci. 2003, 165, 1343–1353. [Google Scholar] [CrossRef]
- Wang, X.; Liu, D. Integration of cerium chemical forms and subcellular distribution to understand cerium tolerance mechanism in the rice seedlings. Environ. Sci. Pollut. Res. 2017, 24, 16336–16343. [Google Scholar] [CrossRef] [PubMed]
- Zheng, S.; Zhang, C.; Shi, K.; Wang, J.; Sun, G.; Hu, Q.; Zhao, F.; Wang, X. Bioaccumulation, subcellular distribution and chemical forms of yttrium in rice seedling. J. Rare Earths 2018, 36, 331–336. [Google Scholar] [CrossRef]
- de Oliveira, C.; Ramos, S.J.; Siquiera, J.O.; Faquin, V.; De Castro, E.M.; Amaral, D.C.; Techio, V.H.; Coelho, L.C.; Silva, P.H.; Schnug, E.; et al. Bioaccumulation and effects of lanthanum on growth and mitotic index in soybean plants. Ecotox. Environ. Saf. 2015, 122, 136–144. [Google Scholar] [CrossRef]
- Balaram, V. Rare earth elements: A review of applications, occurrence, exploration, analysis, recycling, and environmental impact. Geosci. Front. 2019, 10, 1285–1303. [Google Scholar] [CrossRef]
- Zadokar, A.; Negi, S.; Kumar, P.; Bhargava, B.; Sharma, R.; Irfan, M. Molecular insights into rare earth element (REE)-mediated phytotoxicity and its impact on human health. Environ. Sci. Pollut. Res. 2023, 30, 84829–84849. [Google Scholar] [CrossRef]
- Wang, Y.M.; Yu, Z.; Zhao, Z.M.; Jia, L.; Fang, H.Q.; Zhang, T.F.; Yuan, X.Y.; Shu, Y.L.; He, J.; Peng, H.; et al. Subchronic toxicity study of yttrium nitrate by 90-day repeated oral exposure in rats. Regul. Toxicol. Pharm 2017, 90, 116–125. [Google Scholar] [CrossRef]
- Yin, X.; Martineau, C.; Demers, I.; Basiliko, N.; Fenton, N.J. The potential environmental risks associated with the development of rare earth element production in Canada. Environ. Rev. 2021, 29, 354–377. [Google Scholar] [CrossRef]
- Zhuang, M.; Wang, L.; Wu, G.; Wang, K.; Jiang, X.; Liu, T.; Xiao, P.; Yu, L.; Jiang, Y.; Song, J.; et al. Health risk assessment of rare earth elements in cereals from mining area in Shandong, China. Sci. Rep. 2017, 7, 9772. [Google Scholar] [CrossRef]
- Zhuang, M.; Zhao, J.; Li, S.; Liu, D.; Wang, K.; Xiao, P.; Yu, L.; Jiang, Y.; Song, J.; Zhou, J.; et al. Concentrations and health risk assessment of rare earth elements in vegetables from mining area in Shandong, China. Chemosphere 2017, 168, 578–582. [Google Scholar] [CrossRef]
- Fang, H.Q.; Yu, Z.; Zhi, Y.; Fang, J.; Li, C.X.; Wang, Y.M.; Peng, S.Q.; Jia, X.D. Subchronic oral toxicity evaluation of lanthanum: A 90-day, repeated dose study in rats. Biomed. Environ. Sci. 2018, 3, 363–375. [Google Scholar]
- Wu, Y.N.; Liu, P.; Chen, J.S. Food safety risk assessment in China: Past, present and future. Food Control 2018, 90, 212–221. [Google Scholar] [CrossRef]
- Bao, H.; Song, Y.; Zhou, Y.; Sui, H.; Yong, L.; Mao, W.; Wang, Y.; Bao, H.; Xiao, X.; Zhang, L.; et al. The concentrations and health risk assessment of rare earth elements in tea in China. RSC 2021, preprint. [Google Scholar]
- Yang, D.; Sui, H.; Mao, W.; Wang, Y.; Yang, D.; Zhang, L.; Liu, Z.; Yong, L.; Song, Y. Dietary exposure assessment of rare earth elements in the Chinese population. Int. J. Environ. Res. Public Health 2022, 19, 15583. [Google Scholar] [CrossRef]
- Yuksel, C.; Ankarali, S.; Yuksel, N.A. The use of neodymium magnets in healthcare and their effects on health. North Clin. Istanb. 2018, 5, 268–273. [Google Scholar] [CrossRef]
- Wang, N. Quantitative study on hepatic genotoxicity of neodymium and its molecular mechanisms based on Benchmark Dose method. Front. Pharmacol. 2024, 15, 1484111. [Google Scholar] [CrossRef]
- Zhang, C.; Geng, N.; Dai, Y.; Ahmad, Z.; Li, Y.; Han, S.; Zhang, H.; Chen, J.; Yang, J. Accumulation and distribution characteristics of rare earth elements (REEs) in the naturally grown marigold (Tagetes erecta L.) from the soil. Environ. Sci. Pollut. Res. 2023, 30, 46355–46367. [Google Scholar] [CrossRef]
- Kanwal, F.; Riaz, A.; Ali, S.; Zhang, G. NRAMPs and manganese: Magic keys to reduce cadmium toxicity and accumulation in plants. Sci. Total Environ. 2024, 921, 171005. [Google Scholar] [CrossRef]
- Zheng, H.X.; Liu, W.S.; Sun, D.; Zhu, S.C.; Li, Y.; Yang, Y.L.; Liu, R.R.; Feng, H.Y.; Cai, X.; Cao, Y.; et al. Plasma-membrane-localized transporter NREET1 is responsible for rare earth element uptake in hyperaccumulator Dicranopteris linearis. Environ. Sci. Technol. 2023, 57, 6922–6933. [Google Scholar] [CrossRef]
- Bozzi, A.T.; Gaudet, R. Molecular Mechanism of Nramp-Family Transition Metal Transport. J. Mol. Biol. 2021, 433, 166991. [Google Scholar] [CrossRef]




| Study Factors | N | P | K | Ca | Mg | S |
|---|---|---|---|---|---|---|
| Nd | <0.0001 * | <0.0001 * | <0.0001 * | <0.0001 * | <0.0001 * | <0.0001 * |
| Zn | <0.0001 * | <0.0001 * | <0.0001 * | <0.0001 * | <0.0001 * | <0.0001 * |
| Nd × Zn | <0.0001 * | <0.0001 * | <0.0001 * | <0.0001 * | <0.0001 * | <0.0001 * |
| Study Factors | Fe | Cu | Zn | Mn | B | Nd |
|---|---|---|---|---|---|---|
| Nd | <0.0001 * | <0.0001 * | <0.0001 * | <0.0001 * | <0.0001 * | <0.0001 * |
| Zn | <0.0001 * | <0.0001 * | <0.0001 * | <0.0001 * | <0.0001 * | 0.0217 * |
| Nd × Zn | <0.0001 * | <0.0001 * | <0.0001 * | <0.0001 * | <0.0001 * | <0.0001 * |
Disclaimer/Publisher’s Note: The statements, opinions and data contained in all publications are solely those of the individual author(s) and contributor(s) and not of MDPI and/or the editor(s). MDPI and/or the editor(s) disclaim responsibility for any injury to people or property resulting from any ideas, methods, instructions or products referred to in the content. |
© 2025 by the authors. Licensee MDPI, Basel, Switzerland. This article is an open access article distributed under the terms and conditions of the Creative Commons Attribution (CC BY) license (https://creativecommons.org/licenses/by/4.0/).
Share and Cite
Rueda-López, I.; Gómez-Merino, F.C.; Peralta Sánchez, M.G.; Trejo-Téllez, L.I. Neodymium Exerts Biostimulant and Synergistic Effects on the Nutrition and Biofortification of Lettuce with Zinc. Horticulturae 2025, 11, 776. https://doi.org/10.3390/horticulturae11070776
Rueda-López I, Gómez-Merino FC, Peralta Sánchez MG, Trejo-Téllez LI. Neodymium Exerts Biostimulant and Synergistic Effects on the Nutrition and Biofortification of Lettuce with Zinc. Horticulturae. 2025; 11(7):776. https://doi.org/10.3390/horticulturae11070776
Chicago/Turabian StyleRueda-López, Imelda, Fernando C. Gómez-Merino, María G. Peralta Sánchez, and Libia I. Trejo-Téllez. 2025. "Neodymium Exerts Biostimulant and Synergistic Effects on the Nutrition and Biofortification of Lettuce with Zinc" Horticulturae 11, no. 7: 776. https://doi.org/10.3390/horticulturae11070776
APA StyleRueda-López, I., Gómez-Merino, F. C., Peralta Sánchez, M. G., & Trejo-Téllez, L. I. (2025). Neodymium Exerts Biostimulant and Synergistic Effects on the Nutrition and Biofortification of Lettuce with Zinc. Horticulturae, 11(7), 776. https://doi.org/10.3390/horticulturae11070776

