Next Article in Journal
Ultrasound in Plant Life and Its Application Perspectives in Horticulture and Agriculture
Next Article in Special Issue
Variations in the Mineral Composition of Houpoea Officinalis Flowers at Different Stages of Development
Previous Article in Journal
Effects of Light Conditions on the Leaf Growth and Steviol Glycoside Yields of Hydroponically Cultivated Stevia Across Growth Stages
Previous Article in Special Issue
Three New Species and a New Record of Murdannia (Commelinaceae) for the Flora of Laos
 
 
Font Type:
Arial Georgia Verdana
Font Size:
Aa Aa Aa
Line Spacing:
Column Width:
Background:
Article

Integrated Assessment of Phenotypic Traits and Bioactive Compounds in Astragalus membranaceus var. mongholicus

1
Institute of Medicinal Plant Development, Chinese Academy of Medical Sciences and Peking Union Medical College, Beijing 100193, China
2
Inner Mongolia Shengqitang Ecological Pharmaceutical Plant Co., Ltd., Beijing 100011, China
*
Authors to whom correspondence should be addressed.
Horticulturae 2025, 11(3), 317; https://doi.org/10.3390/horticulturae11030317
Submission received: 23 January 2025 / Revised: 10 March 2025 / Accepted: 12 March 2025 / Published: 13 March 2025
(This article belongs to the Special Issue Breeding, Cultivation, and Metabolic Regulation of Medicinal Plants)

Abstract

Astragalus membranaceus var. mongholicus (AMM) is a widely used medicinal plant in China, primarily cultivated in the northern regions; however, the selection and breeding of superior varieties remains underdeveloped. To scientifically assess the germplasm resources of AMM and facilitate its breeding, this study collected 33 germplasm samples from five provinces and conducted a comprehensive evaluation of their botanical traits, agronomic traits, quality traits, and powdery mildew resistance. The results indicated that, among the 18 botanical and agronomic traits, the Shannon–Wiener diversity index (H′) for quantitative traits was higher than that for qualitative traits, with the coefficient of variation ranging from 6.82% to 34.14%. The characterization of five flavonoids and eight saponins based on the established UPLC-Q-TOF/MS technique revealed that 13 compounds showed significant abundance variations across germplasms. Correlation analysis revealed that plants with robust above-ground growth usually have higher yields. Moreover, the number of compound leaflets was positively correlated with flavonoid content in the roots, whereas germplasms with smaller above-ground biomass and thinner roots exhibited higher saponin content. Based on the comprehensive scores (F-value), the top three germplasms were An-31, An-26, and An-28, which may serve as promising breeding materials. Cluster analysis grouped the 33 germplasms into five categories, including high-content and high-yield groups. Five germplasms exhibiting strong disease resistance were identified, with An-26 demonstrating the best performance in yield, quality, and resistance. Furthermore, a negative correlation was observed between powdery mildew resistance and flavonoid content in roots. This study will provide a foundation for the AMM breeding and selection.

1. Introduction

Astragalus membranaceus var. mongholicus (AMM) is a perennial herb of the genus Astragalus in the family of Fabaceae. Its dried root has been used as medicine in China for more than 2000 years [1], with exports extending to more than 30 countries (or regions) such as South Korea, Japan, and the United States [2,3,4]. Pharmacological studies have shown that some extracts and active compounds in AMM can enhance immunity, inhibit tumor growth, and provide anti-oxidant effects [5,6]. In addition to its medicinal uses, AMM has been used traditionally as a food additive in soup and porridge for its nutritional and health benefits in China. In 2023, the National Health Commission of China officially included AMM in the food and medicinal material catalog [7].
Wild AMM is primarily distributed in Heilongjiang (Hulunbuir League), Inner Mongolia, Hebei, and Shanxi. Before the 1960s, the herb was mainly harvested from the wild. However, with the growing demand in both domestic and international markets, cultivation has now become the main source of supply for the herb. At present, it is mainly cultivated in Inner Mongolia, Gansu, Shanxi, Hebei, etc. [8,9]. Due to the lack of systematic scientific collation and evaluation of AMM germplasm resources, the progress in breeding superior varieties has been slow. To date, no more than six new varieties have been successfully selected and bred in China [8]. Cultivated AMM suffers from species confusion, unstable yields, and wide variations in medicinal material quality [10].
The collection, collation, and evaluation of AMM germplasm resources are the basis for the breeding of superior varieties. Plant phenotypes, which are influenced by a combination of genetic factors and the environment over a long period of evolution [11], intuitively reflect differences between germplasms and are a primary focus of research in plant breeding. As medicinal plants, the content of medicinal components is the most important factor in ensuring the quality of herbs [12]. More than 180 components of Astragalus have been reported, and the active components mainly include flavonoids, saponins, and polysaccharides [13,14,15]. There are about 60 published flavonoid constituents and 48 saponin constituents of AMM [15,16]. However, the concentration of each of these components within the plants is generally below 1% [17]. It is therefore essential to obtain as much information as possible on the content of multiple compounds for evaluating the quality of AMM. Currently, no studies have evaluated the chemical composition differences among various germplasm resources of AMM.
Research on AMM germplasm resources and their genetic diversity is relatively scarce. Jiang et al. [18] analyzed the genetic diversity of wild and cultivated Astragalus germplasm resources from 30 regions in Inner Mongolia using an optimized ISSR reaction system. Their results revealed a high level of genetic diversity among the germplasm, with genetic relationships correlated with geographic location. Zhang [19] screened four germplasm samples with superior comprehensive characteristics from 26 AMM materials based on Astragaloside IV content, combined with seed characteristics, agronomic traits, RAPD genetic diversity, and kinship analysis. Sun [20] evaluated 12 Astragalus germplasm resources and screened two with the potential for drought tolerance and high quality. The botanical, agronomic, and quality traits of Astragalus germplasm resources exhibit complex diversity [8,21]. However, combining botanical, agronomic, and chemical traits based on metabolomics characterization for a comprehensive evaluation of AMM germplasm and exploring the relationships among these traits has not been reported in relevant studies.
Powdery mildew is a major foliar disease that significantly impacts the cultivation of AMM. It is widespread across AMM growing regions in China and typically emerges at the beginning of summer [22,23]. During the initial infection stages, white, mold-like spots appear on the leaf surfaces, gradually spreading to the entire plant. As the disease progresses, black cleistothecia form, leading to plant death. In severe cases, the incidence rate can reach 100% in commonly affected areas [23]. Previous studies have primarily focused on pathogen identification [24,25], disease occurrence patterns, and screening of chemical control agents [26,27,28]. However, there are no reports on AMM powdery mildew resistant germplasm.
In this study, we collected 33 AMM germplasms from five major production areas in China and cultivated them in the same germplasm nursery. These germplasms were thoroughly evaluated based on 14 botanical traits, 4 agronomic traits, 13 quality traits (5 flavonoids and 8 saponins), and resistance to powdery mildew. The aim was to establish a comprehensive evaluation method combining phenotypic traits and active ingredients, in order to select germplasm with high yield, high active ingredient content, and resistance to powdery mildew. These selected germplasms will serve as valuable materials for breeding new varieties of AMM. Furthermore, we explored the correlations among these traits, providing important insights into genetic improvement and further utilization of key traits.

2. Materials and Methods

2.1. Materials

The seeds of 33 AMM germplasms were collected from Gansu, Inner Mongolia, Shaanxi, Shanxi, and Hebei provinces. They were sown in nutrient pots in a greenhouse next to the nursery at the Shengqitang Company Astragalus planting base in Helinger County, Hohhot City, Inner Mongolia (40°15′ N, 111°43′ E, altitude 1200 m) between late March and early April 2021. After germination, the seedlings were transplanted to the field of germplasm resource nursery on 7–8 June 2021. The experimental site is located in a mesothermal continental monsoon climate, with an annual average temperature of 6.2 °C, an annual average sunshine duration of 2942 h, a frost-free period of 118 days, and an annual average precipitation of 392.8 mm.
The field experiment was conducted from March to December 2023. A completely randomized group design was employed, with a total experimental area of 800 m2. Each plot contained 3–8 plant materials, with a uniform planting spacing of 70 cm between the rows and 70 cm between individual plants. From each germplasm, 5–10 phenotypically consistent plants were selected for marking to ensure the homogeneity of the survey subjects. The age and phenological stage of the plants were consistent throughout the process. Botanical traits such as stems, leaves, and flowers were observed and recorded in May–June; 5–15 plants per germplasm were randomly selected in August, and powdery mildew resistance in the field was counted. When the labeled plants were mature, 3–4 plants per germplasm were randomly selected and harvested for the determination of agronomic trait indexes and complete metabolomics analysis based on UPLC-ESI-QTOF-MSE. All the germplasms were subjected to uniform field management measures. The above plants were identified as Astragalus mongholicus Bunge (syn. A.membranaceus (Fisch.) Bunge var. mongholicus (Bunge) P. K. Hsiao) by Professor Bengang Zhang from the Institute of Medicinal Plants, Chinese Academy of Medical Sciences, Beijing, China. The names of the plant materials are shown in Table S1.

2.2. Chemicals and Reagents

The analytical-grade alcohol was used the brand of Beijing Chemical Works. Pure water (18.2 MΩ) was obtained from a Milli-Q System (Millipore, Billerica, MA, USA). Reference substances were used to compare the MS data, and retention time (RT) of the identified compounds consisting of Calycosin-7-glucoside, Ononin, 9-O-Methylnissolin 3-O-glucoside, Calycosin, Astraisoflavan-7-O-β-D-glucoside, Astragaloside I, Astragaloside II, Astragaloside III, Astragaloside IV, Isoastragaloside I, Isoastragaloside II, Cyclocephaloside II, Cycloastragenol, purchased from Chengdu Manster Biotechnology Co., Ltd. (Chengdu, China). For UPLC-MS analysis, LC/MS-grade acetonitrile, methanol, and formic acid were used the brand of Thermo Fisher (Waltham, MA, USA), and water was used the brand of Guangzhou Watsons Food and Beverage Co., Ltd. (Guangzhou, China).

2.3. Measurement of Phenotypic Traits

A total of 14 botanical and 4 agronomic traits were set (Table S2). Plant morphology was observed visually, while leaf color, stem color, and floret color were assessed using the PANTONE CMYK Coated color chart. The number of stem branches (NSB), the number of compound leaflets (NCL), the number of florets (NF) on a single inflorescence, and the number of seeds per pod (SP) were counted. The crown width (CW) and plant height (PH) were measured by a straightedge with 0.1 cm precision. The stem diameter (SD), compound leaf length (CLL) and width (CLW), leaflet length and width, and primary root diameter (RD) were measured by a vernier caliper with 0.01 mm precision. Root fresh weight (RFW) was evaluated by an electronic balance with 0.01 g precision and the number of lateral roots (NLR) was counted. The index of leaflet size and dry matter content were calculated as follows: l e a f l e t   a r e a   ( L A ) = ( 1 / 4 ) π × l e a f l e t   l e n g t h × l e a f l e t   w i d t h ; d r y   m a t t e r   c o n t e n t   ( D M C , % ) = ( r o o t   d r y   w e i g h t / r o o t   f r e s h   w e i g h t ) × 100 .

2.4. Measurement of Quality Traits

The fresh root segments of AMM were dried in an oven at 60 °C until reaching constant weight, then ground into a fine powder and passed through a No. 4 sieve. Subsequently, 20 mL of 80% methanol was added, and the mixture was weighed precisely. It was ultrasonicated (Power 250 W, Frequency 40 HZ) for 1 h, cooled down, and the lost weight was made up. After thorough shaking, the mixture was filtered. The resulting filtrate was injected into a liquid phase vial through a 0.22 μm filter membrane.
UPLC separation was achieved on a Waters ACQUITY I-Class system (Waters Corporation, Milford, MA, USA) using a Waters ACQUITY BEH C18 column (2.1 × 100 mm, 1.7 μm, MA, USA). The mobile phase consisted of 0.1% formic acid water (A) and acetonitrile (B). The gradient conditions were as follows: 0–5 min, 10–20% B; 5–20 min, 20–65% B; 20–25 min, 65–90% B; 25–26 min, 90–10% B; 26–30 min, 10% B. The online UV spectra were recorded in the range of 200–400 nm. The column and autosampler were maintained at 30 and 10 °C, respectively. The flow rate was 0.3 mL/min, and the injection volume was 1 μL.
Mass spectrometry was operated on the Waters Xevo G2-XS Q-TOF mass spectrometer (Waters Corporation, Milford, MA, USA) equipped with an electrospray ionization (ESI) source controlled by MassLynx 4.2 software (Waters, Corporation, Milford, MA, USA). A full scan was run in positive modes, with a mass range from m/z 100–1500 Da and with a 1 s scan time. Nitrogen was used as a nebulizer and auxiliary gas. In positive ion mode, the following parameters were found: capillary voltage of 3 kV; sampling cone voltage of 40 V; source temperature of 100 °C; desolvation temperature of 250 °C; cone gas flow of 50 L/h; desolvation gas flow of 600 L/h. The instrument was performed in both low-energy and high-energy scan functions, and the collision energy was 6 and 20–50 eV, respectively. Leucine enkephalin was used as a lock mass with a reference mass value at m/z = 556.2771 [29].
The sample data collected by UPLC-Q-TOF/MS were imported into Progenesis QI 2.3 (Waters, Milford, MA, USA) software and ion forms such as [M+H]+, [M+Na]+, [M+K]+, [M+NH4]+, [2M+H]+, [2M+Na]+, [M+H-H2O]+, and [M+H-2H2O]+ were selected to unwrap the spectral data to improve the identification rate of the data. The data were imported in a .raw format, then QI automatically selected a more standard sample for calibration based on the imported sample, followed by peak alignment, peak extraction, normalization, and compound identification based on the reference substance.

2.5. Measurement of the Disease Incidence and Disease Index of Powdery Mildew

The plants were scored on the disease grade on a scale of 0, 1, 3, 5, 7, 9, and the rating was based upon the percentage of diseased area to whole plant leaf area (Table 1).
The disease incidence and disease index were calculated based on the Formulas (1) and (2) as follows:
Disease incidence (%) = (NDP/TNP) × 100
Disease index (%) = Σ(NDPDG × SLDG)/(TNP × MDG) × 100
Note: NDP (number of diseased plants), TNP (total number of plants), NDPDG (number of diseased plants in each disease grade), SLDG (scale level of disease grade), and MDG (maximum disease grade).

2.6. Statistical Analysis

Based on the measurements, the mean values of each phenotypic trait were used for statistical analysis. Qualitative traits were graded and assigned values on a scale of 1–3. Morphological diversity was evaluated by the frequency of trait dispersion and the Shannon–Wiener diversity index (H′) [30]. Quantitative parameter statistics included minimum (Min), maximum (Max), mean, standard deviation (SD), coefficient of variation (CV, %) and H′. Based on the mean (X) and standard deviation (σ), quantitative traits were categorized into 10 levels, from level 1 [Xi < (X − 2σ)] to level 10 [Xi ≥ (X + 2σ)], with an interval of 0.5σ between each level. The relative frequency of each level was calculated to obtain H′. The H′ for each trait was calculated by using the following formula: H′ = −∑Pi × ln Pi (Pi is the proportion of the individual number of this trait in total individual number).
Correlation analysis (Pearson correlation was used when the absolute values of kurtosis < 10 and skewness < 3, otherwise Spearman correlation was used [31]), systematic clustering, and mapping were performed using Origin Pro 2021 software. Principal component analysis (PCA) was conducted using SPSS 26.0 software, with principal components extracted based on the characteristic value > 1. A comprehensive evaluation model was constructed, and the comprehensive scores for different germplasm resources were calculated using this model.

3. Results

3.1. Diversity Analysis of Phenotypic Traits

3.1.1. Diversity of Botanical Traits

The majority of the germplasms (72.73%) exhibited an oblique growth habit, while 27.27% were upright. In terms of leaf color, 78.79% of the germplasms had green leaves, and the remaining 21.21% displayed dark green leaves. For stem coloration, 27.27% of the germplasms featured green stems, 12.12% had purple stems, and the remaining 60.61% showed a mixed coloration. Regarding floret color, 69.70% of the germplasms bore yellowish florets, and 30.30% had lavender florets (Figure 1 and Table 2). H′ values varied between 0.52 and 0.91. Stem color was assigned at level 3 and had the maximum H′ value compared to the other three traits assigned at level 2.
The analysis revealed variation among ten quantitative traits (Table 3). The CV values ranged from 6.82% to 22.07%, with a mean of 14.30%. Among these traits, the NCL exhibited the smallest CV value (6.82%), with an observation range of 21.80–29.40. In contrast, the NF showed the highest CV value (22.07%), with an observation range was 4.40–10.83. H′ for the quantitative traits ranged from 1.90 to 2.00, with an average of 1.96. The highest H′ value was recorded for CLL, followed by NSB, PH and SD, reflecting substantial diversity among the quantitative traits across the evaluated germplasms.

3.1.2. Diversity of Agronomic Traits

Four agronomic traits, including RFW, RD, NLR, and DMC, were also different (Table 4). The RFW varied between 74.24 and 240.73 g with a mean value of 142.97 g. The RD ranged from 16.61 to 37.58 mm with a mean value of 25.15 mm. Additionally, the minimum value of the NLR was 2.25 and the maximum value was 12.33. The DMC ranged from 0.36 to 0.53%.
The CV values ranged from 7.74% to 34.14%, with an average of 23.34%. The DMC had the lowest variability (7.74%), indicating its relative stability. The NLR had the highest CV value (34.14%). The H′ values of agronomic traits ranged from 1.92 to 2.08 with a high level of diversity.

3.2. Distributional Chemical Characteristics of Germplasm Resources

3.2.1. Characterization of Compounds

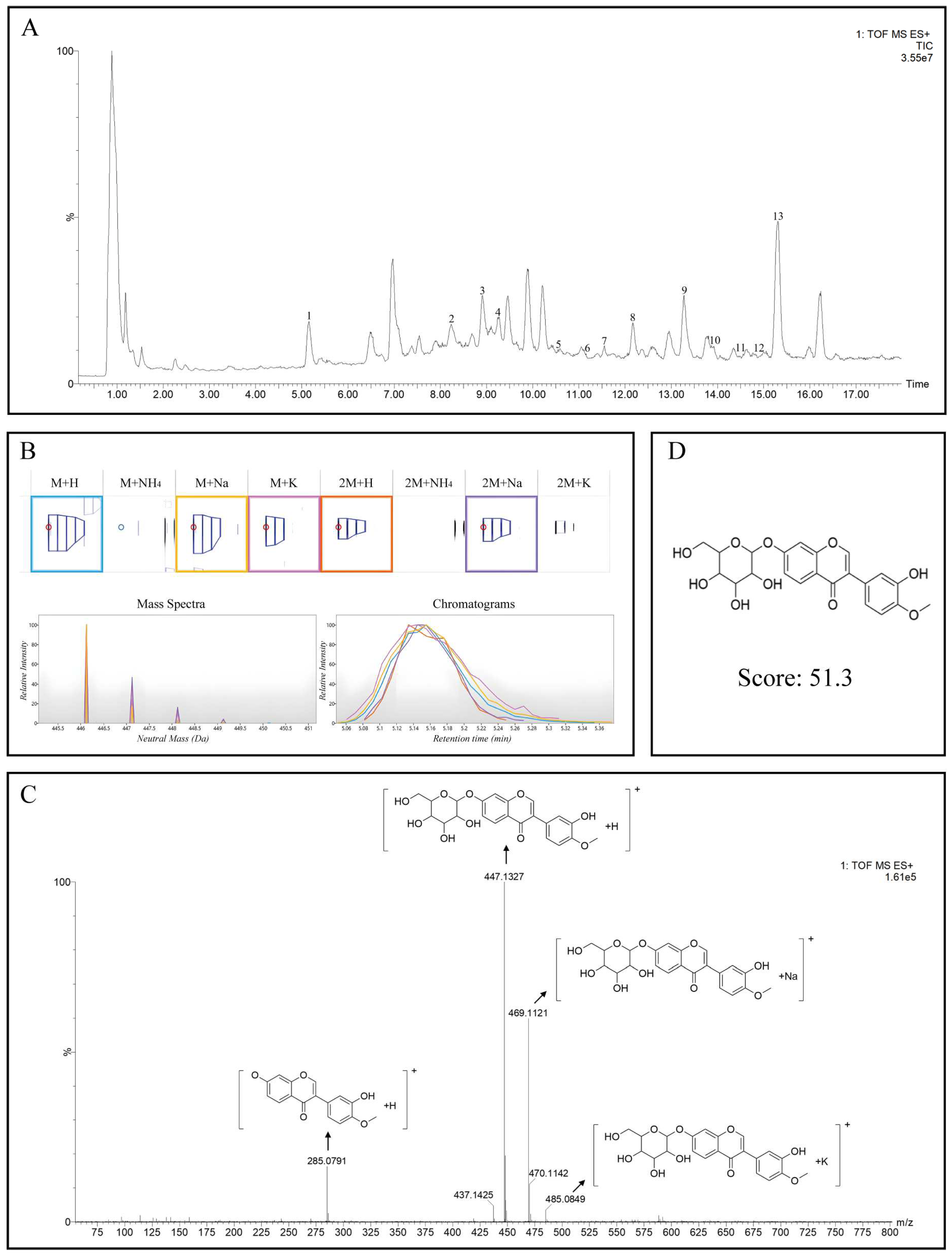
The total ion chromatograms (TIC) is shown in Figure 2A. The approach for the tentative identification of a single metabolite in Progenesis QI is presented in Figure 2B–D, taking Calycosin-7-glucoside as an example. After deconvolution, five adducts [M+H], [M+Na], [M+K], [2M+H], [2M+Na] were detected for the ion feature with m/z 446.1222 at 5.16 min (Figure 2B). In addition, the typical fragment ions (447.1327 m/z, C22H22O10+H; 469.1121 m/z, C22H22O10+Na; 485.0849 m/z, C22H22O10+K; 285.0791 m/z, C16H12O5+H) from the high-energy spectrum were further assigned by the informatics platform, providing a fragmentation score (Figure 2C). Based on mass error, isotope similarity and ion assignment, the feature was annotated as Calycosin-7-glucoside with a “Score” of 51.3 in Progenesis QI v2.4 (Figure 2D). This tentative identification was further verified by comparisons of the retention time and low- and high-energy MS data between the sample with the detected feature and the standard compound in coinjection experiments, indicating the reliable identification by Progenesis QI using the AMM. A total of 13 compounds were identified by this method, including 5 flavonoids and 8 saponins (Table 5).

3.2.2. Distributional Characteristics of 13 Compounds in Germplasm Resources

The abundance of the 13 compounds varied among different germplasm resources (Figure 3A). The compound composition patterns of An-31 and As-20 are more different than those of the other germplasms. Ag-16 and Ah-6 have a more similar compositional pattern, with lower relative amounts of all 13 compounds. Calycosin-7-glucoside and Astragaloside IV are the test indicators specified in the Chinese Pharmacopeia. Calycosin-7-glucoside was the highest in An-31, followed by An-25 and An-26, and lowest in Ag-16. Astragaloside IV was highest in As-20, followed by An-31, and lowest in Ax-3. Flavonoids were highest in An-26, followed by An-31 and An-25; saponins were highest in An-31, followed by As-20.
The relative proportions of the 13 characterized compounds were similar across the different germplasms (Figure 3B). Calycosin-7-glucoside had the highest content in 78.79% of the germplasms. The general trend was that the four compounds Calycosin-7-glucoside, Isoastragaloside II, Ononin, and Astragaloside IV were higher, while Calycosin, Astragaloside I, Astragaloside II, Astragaloside III, and Isoastragaloside I were lower. However, individual germplasm had specific compositional ratios, with As-20 containing higher levels of Astragaloside IV than the other compounds, and As-2, An-10, An-21, An-29, An-31 and An-32 containing higher levels of Isoastragaloside II than the other compounds.

3.3. Correlation Analysis Between Botanical, Agronomic, and Quality Traits

The Pearson correlation analyses of 16 quantitative trait indicators (including 10 botanical, 4 agronomic, and 2 quality traits) from 33 AMM germplasms showed that most botanical and agronomic traits were positively correlated, while quality traits were generally negatively correlated with botanical and agronomic traits (Figure 4). There were positive correlations between the growth indicators CW, PH, SD, NSB, CLL, CLW, NCL, LA, and NF in the above-ground portion except CW and NCL. The SP had significantly negative correlations with the NF (r = −0.38). Positive correlation were also found among the agronomic traits, such as the RFW exhibited a highly significant correlation with RD and NLR, with coefficients of 0.65 and 0.47, respectively. There were different degrees of positive correlations between the agronomic traits of RFW, RD, and NLR in the underground part and the growth indices in the above-ground part, with a significant correlation between the NLR and PH (r = 0.46). After analyzing the correlation between phenotypic indicators and constituent contents, it was found that there was a significant positive correlation between flavonoids and the NCL (r = 0.42) and a weak correlation with agronomic traits (r: −0.04~0.05), whereas saponins were negatively correlated with PH, RFW, NLR, and DMC, with a coefficient ranging from −0.25 to −0.31.

3.4. Principal Component Analysis of 33 AMM Germplasm Resources

Based on the correlation analysis results, ten representative indicators were selected for PCA. These included RFW and RD as primary agronomic traits, the top six chemical components, as well as the NCL and PH, both closely associated with flavonoids and saponins. Based on the criterion that eigenvalues greater than 1 were retained, these 10 quantitative traits were reduced to 4 independent comprehensive indicators, with a cumulative contribution rate of 77.931%, indicating that these principal components can capture most of the trait-relevant information (Table 6). Among them, the first principal component had the highest contribution rate (27.243%) with a characteristic value of 2.724, primarily including Calycosin-7-glucoside, Ononin, Astragaloside IV, and Isoastragaloside II as key indicators, with characteristic vectors of 0.713, 0.662, 0.652, and 0.773, respectively. The second principal component, with a contribution rate of 22.863% and a characteristic value of 2.286, where PH and NCL were the main indicators, with characteristic vectors of 0.412 and 0.765, representing botanical traits. The third principal component has a contribution rate of 15.385% and a characteristic value of 1.539, where traits such as 9-O-Methylnissolin 3-O-glucoside (−0.783) and Cycloastragenol (0.780), both quality-related, have high absolute values of eigenvectors. The fourth principal component, contributing 12.440% with a characteristic value of 1.244, where RFW and RD were the main indicators, with characteristic vectors of 0.469 and 0.687, representing agronomic traits.
Based on the PCA results, AMM germplasms were categorized into the first two components (PC1 and PC2) (Figure 5). These germplasms were distinctly separated based on 10 quantitative traits. Some germplasms such as An-25 and An-26 were located in the first quadrant, while most of the germplasms were clustered in the second and third quadrants, and a few germplasms such as As-20 and An-31 were located in the fourth quadrant. Chemical compositional features were distributed in quadrants I and IV, while RFW, RD and PH features were clustered in quadrant II.

3.5. Comprehensive Evaluation of 33 AMM Germplasm Resources

To eliminate the impact of data dimensions on the comprehensive scores of 33 AMM germplasm resources, the average values of the ten selected indicators were standardized. Based on the standardized values and the loading matrix, linear equations for F1, F2, F3, and F4 were derived. Fi represents the score for the ith principal component, and X1, X2, X3 … X10 represent the standardized data for the ten quantitative traits of AMM.
F1 = −0.233 X1 + 0.056 X2 − 0.269 X3 − 0.186 X4 + 0.432 X5 + 0.401 X6 + 0.218 X7 + 0.395 X8 + 0.468 X9 + 0.255 X10
F2 = 0.272 X1 + 0.506 X2 + 0.378 X3 + 0.372 X4 + 0.378 X5 + 0.368 X6 + 0.205 X7 − 0.227 X8 − 0.069 X9 − 0.108 X10
F3 = 0.335 X1 + 0.055 X2 + 0.242 X3 − 0.045 X4 + 0.002 X5 + 0.054 X6 − 0.631 X7 + 0.027 X8 + 0.162 X9 + 0.629 X10
F4 = −0.249 X1 − 0.226 X2 + 0.421 X3 + 0.616 X4 − 0.114 X5 − 0.147 X6 − 0.038 X7 + 0.382 X8 + 0.372 X9 − 0.103 X10
Using the contribution rates of the four principal components as weighting coefficients, a comprehensive evaluation model for overall scoring was constructed:
F = (27.243 F1 + 22.863 F2 + 15.385 F3+ 12.440 F4)/77.931
Using this model, the comprehensive scores of different AMM germplasm resources were calculated, with F values for the 33 samples ranging from −2.07 to 2.08 (Table 7). Higher F values indicate better overall performance, with the top three germplasm samples being An-31, An-26, and An-28.

3.6. Systematic Cluster Analysis of 33 AMM Germplasm Resources

A systematic cluster analysis was performed on botanical, agronomic, and chemical traits of 33 AMM germplasm resources. The results indicate that all germplasm samples can be grouped into five distinct categories (Figure 6). Group I contains only An-31, which has the highest levels of Calycosin-7-glucoside, Ononin, Isoastragaloside II, and Cycloastragenol, as well as the highest combined total of the top six flavonoids and saponins. Group II also includes one germplasm resource (As-20) with the highest Astragaloside IV content. Groups I and II can be used as the preferred choice of high-quality medicinal materials for breeding. Group III consists of three germplasm resources, featuring the highest content of 9-O-Methylnissolin 3-O-glucoside, though other active component levels are relatively low and root diameter is smaller. Group IV includes four germplasm resources with the highest, RFW, and RD indicators, making them suitable as high-yield breeding materials. Group V comprises 24 germplasm resources, accounting for 72.73% of the total germplasm. This group is characterized by taller plant height, the lowest Astragaloside IV content, and moderate values for other traits (Table 8).

3.7. Characteristics of Powdery Mildew in 33 AMM Germplasm Resources

The results of the field survey indicated significant variation in resistance to powdery mildew among the AMM germplasms (Figure 7A). Four germplasms (An-17, An-21, As-22, and An-31) exhibited incidence rates of 50% or lower, with An-17 displaying the lowest rate at 33.33%. The remaining 29 germplasms had an incidence rate above 50%, with 14 of them reaching 100%.
The disease index was employed as a metric to evaluate the resistance of AMM germplasms to powdery mildew (Figure 7B). No highly resistant or immune germplasms were identified. Five germplasms had a disease index below 30%. Among them, An-26 and An-5 exhibited incidence rates of 71.43% and 80.00%, respectively, but had the lowest disease indices. Similarly, An-21, An-17, and As-22 showed relatively low incidence rates and disease indices. The remaining 28 germplasms were classified as susceptible.
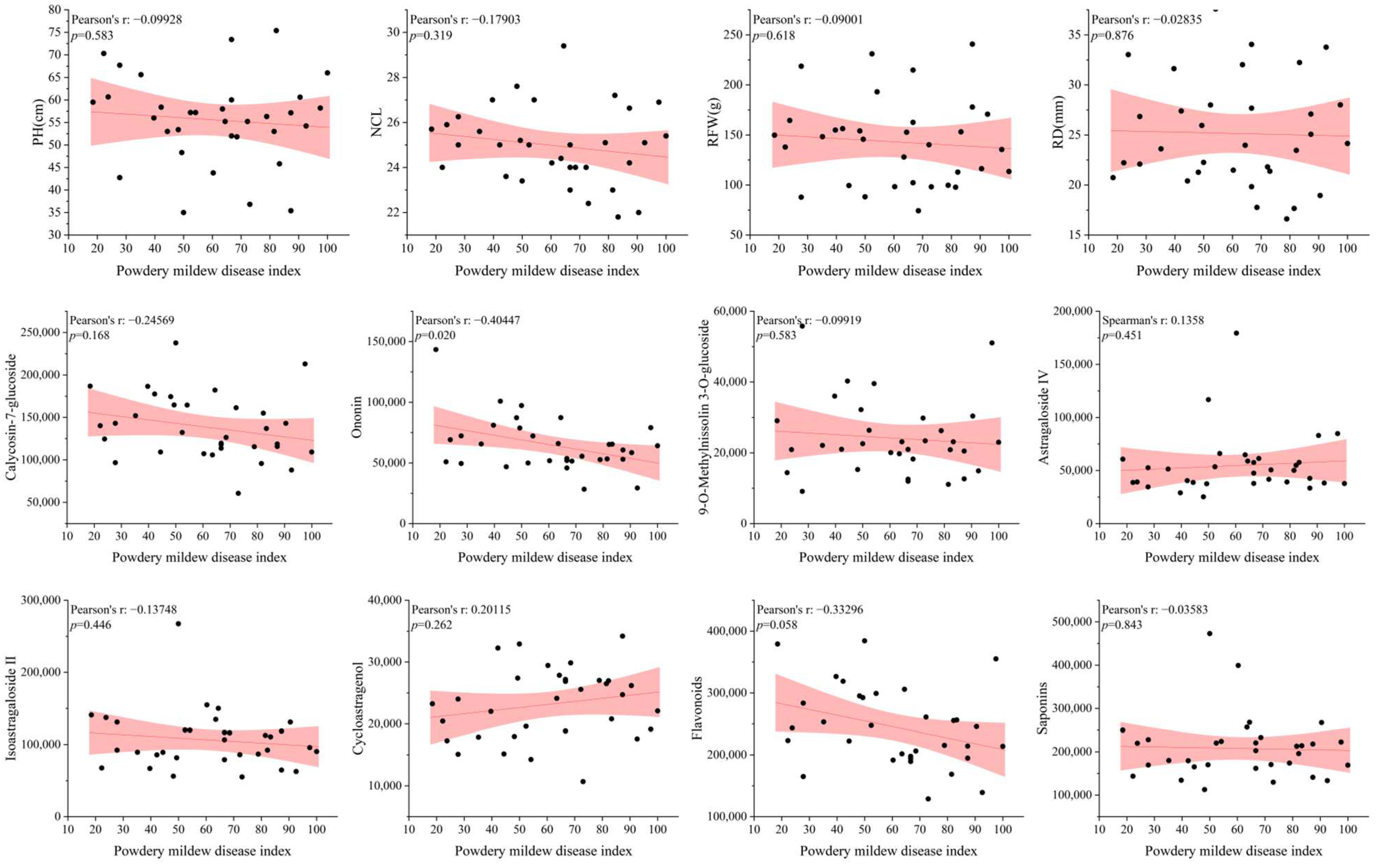
Correlation analysis between the powdery mildew disease index and ten representative indicators, as well as flavonoids and saponins, revealed a significant negative correlation between the disease index and Ononin (p < 0.05). Additionally, a negative correlation trend was observed between the disease index and flavonoids (p = 0.058), while the correlations with other traits were weak (Figure 8).

4. Discussion

The phenotypic traits of plants represent their external genetic characteristics and are often used as visible markers for the selection of superior germplasms [32]. The H′ value and CV are the main indices used to evaluate the diversity of germplasm resources. Generally, when the H′ value exceeds 1, it indicates rich diversity [33,34]. In this study, we analyzed the phenotypic traits of 33 AMM germplasm resources. The H′ values for the four qualitative traits were all below 1, while the H′ values for all 14 quantitative traits exceeded 1.9 (Table 2 and Table 3). The H′ values for quantitative traits were higher than that for qualitative traits, likely due to the fact that qualitative traits are more influenced by allelic variations, making them highly heritable and less affected by environmental factors [35,36], consistent with previous results in Medicago ruthenica L. [37]. When the CV is greater than 10%, it indicates considerable variation between individuals [38,39]. In this study, except for the NCL and DMC, the CV values of the remaining 12 quantitative traits were all greater than 10% (Table 3 and Table 4). We also found that the underground traits showed higher variation than the above-ground traits, which is similar to the previous results obtained by Zhang for 35 AMM cultivated germplasms grown in Beijing and Shanxi province [19]. We think this is probably due to AMM being drought-tolerant plants, and the high genetic diversity of root traits may contribute to adaptation to arid environments, although no relevant studies have been reported.
We developed a UPLC-Q-TOF/MS method that can simultaneously measure 13 secondary metabolites of AMM. The top six compounds by content in the AMM population were Calycosin-7-glucoside, Isoastragaloside II, Ononin, Astragaloside IV, 9-O-methylnissolin 3-O-glucoside, and Cycloastragenol (Figure 3B). They exhibit pharmacological activities such as anti-tumor, anti-oxidant, and anti-diabetic effects [40,41,42]. Additionally, the composition of flavonoids and saponins varied across AMM germplasms from different regions (Figure 3A). The comparison revealed that the three germplasms with the highest total flavonoid content were from Inner Mongolia (An-25, An-26, and An-31), while the germplasm with the lowest content was from Gansu (Ag-16). However, Chen et al. [43] found that the total flavonoid content of Astragalus in Inner Mongolia was lower than that in Gansu. Similarly, the top three germplasms with the highest total saponin content were from Shanxi and Inner Mongolia (As-20, An-28, and An-31), whereas the lowest content was found in a germplasm from Shaanxi (Ax-3). Zheng et al. [44] also reported that the total saponin content in Astragalus from Shanxi and Inner Mongolia was higher than that from Shaanxi. Since 69.70% of the germplasms in this study were sourced from Inner Mongolia, whether the levels of total flavonoids and total saponins are associated with geographical regions requires further investigation with an expanded sample size.
High content traits are a major breeding goal for AMM, and understanding the relationship between phenotypic traits and active compound content can aid in the early screening of germplasm based on visible traits. Correlation analysis revealed a significant positive correlation between flavonoid content and the number of leaflets, but a negative correlation with crown width and stem diameter (Figure 4). This suggests that a higher number of leaves promotes the synthesis of secondary metabolites, leading to a higher flavonoid content in the roots. In contrast, saponin content showed a negative correlation with botanical traits, with higher saponin levels observed when the above-ground parts were shorter. Similarly, saponin content was negatively correlated with agronomic traits as well. This may be because saponins in Astragalus are primarily located in the root phloem [45,46,47]. When the roots are thinner, the proportion of phloem increases, leading to higher saponin content. In summary, selecting breeding materials with taller plants, thicker stems, and abundant foliage is beneficial for achieving higher yields. Germplasm with more leaves is likely to have higher flavonoid content, while shorter plants with thinner roots may exhibit higher saponin content.
A comprehensive score (F-value) could be calculated based on the generated PCA, which fully accounts for the correlations and variations among multiple indicators, thus reflecting the overall quality of the germplasm. This method is commonly applied to the comprehensive evaluation of various crop varieties [48,49,50]. In addition, all germplasm resources were classified into five categories by cluster analysis, each exhibiting distinct characteristics (Figure 5). This classification allows for the selection of specific cluster materials based on practical breeding objectives in future improvement programs. Moreover, significant phenotypic differentiation was observed among the clusters, offering valuable references for selecting hybrid parents and optimizing breeding combinations [51].
Severe powdery mildew infection was observed in the AMM germplasm resource nursery. Our investigation found that there were two types of disease resistance, one with relatively lower incidence and a disease index below 30%, indicating mild symptoms, such as An-17 and An-21. The other type has a higher incidence but mild symptoms, which belong to the type of disease tolerance (Figure 6). This suggests diverse resistance mechanisms across germplasms, and their molecular basis needs to be further studied. Overall, the proportion of AMM disease-resistant germplasm was low (15.15%). In order to reduce the occurrence of powdery mildew and decrease pesticide use, disease-resistant breeding needs to be carried out. Additionally, we observed that the powdery mildew disease index was negatively correlated with Ononin and flavonoid content (Figure 7). For example, the germplasm An-26, which had the lowest disease index, exhibited higher flavonoid content compared to 28 highly susceptible germplasms. This may be related to powdery mildew-induced leaf senescence, which reduces photosynthesis and regulates gene expression in the flavonoid biosynthesis pathway [52,53,54]. Therefore, plants with a high flavonoid content may have strong resistance to powdery mildew, which provides us with a screening marker for breeding highly resistant varieties.

5. Conclusions

In this study, we conducted a diversity analysis and integrated assessment of biological traits, agronomic traits, bioactive compounds, and powdery mildew resistance in 33 AMM germplasms collected from five provinces in China. Considerable variations were observed across all traits. Germplasms with more leaves tended to have higher flavonoid content in their roots, while those with lower biomass and thinner roots exhibited higher saponin content. Additionally, powdery mildew-resistant germplasms contained higher flavonoid levels compared to highly susceptible ones. Several superior germplasms such as An-31, An-26, and An-28 were identified, with An-26 showing the best overall performance in terms of yield, quality, and disease resistance. This study provides valuable technical references and breeding materials for the utilization of AMM germplasm resources, genetic improvement of key traits, and future development of new varieties.

Supplementary Materials

The following supporting information can be downloaded at: https://www.mdpi.com/article/10.3390/horticulturae11030317/s1, Table S1: Character index of 33 AMM. Table S2: Indicators of phenotypic and agronomic traits and measurement methods.

Author Contributions

Conceptualization, W.G.; methodology, Y.L., X.W., Y.W., J.L. and W.G.; investigation, Y.L., X.W., M.Z., F.L., Y.F. and H.Y.; resources, Y.G.; data curation, Y.L. and J.L.; writing—original draft preparation, Y.L.; writing—review and editing, J.L. and W.G.; supervision, X.W., J.L. and W.G.; funding acquisition, W.G. All authors have read and agreed to the published version of the manuscript.

Funding

This research was funded by the National Key Research and Development Program of China (2022YFC3501504) and the CAMS Innovation Fund for Medical Sciences (CIFMS, 2021-I2M-1-031).

Data Availability Statement

Data are contained within the article and Supplementary Materials.

Conflicts of Interest

Author Yang Gu was employed by the company Inner Mongolia Shengqitang Ecological Pharmaceutical Plant Co., Ltd. The remaining authors declare that the research was conducted in the absence of any commercial or financial relationships that could be construed as a potential conflict of interest.

References

  1. Jiang, M.; Yan, S.; Ren, W.; Xing, N.; Li, H.; Zhang, M.; Liu, M.; Liu, X.; Ma, W. Genetic diversity of the Chinese medicinal plant Astragali Radix based on transcriptome-derived SSR markers. Electron. J. Biotechnol. 2023, 62, 13–20. [Google Scholar] [CrossRef]
  2. Cheng, M.; Chi, X.L.; Wang, H.; Yang, G. Analysis of Status and Problems of International Trade of Astragalus membranaceus in China. Mod. Chin. Med. 2019, 21, 424–428. [Google Scholar] [CrossRef]
  3. Wang, P.; Ning, L.H.; Li, A.P.; Huo, W. Analysis of Astragalus Export Price Trends. Mod. Chin. Med. 2014, 16, 577–578. [Google Scholar] [CrossRef]
  4. Yang, M.; Li, Z.; Liu, L.; Bo, A.; Zhang, C.; Li, M. Ecological niche modeling of Astragalus membranaceus var. mongholicus medicinal plants in Inner Mongolia, China. Sci. Rep. 2020, 10, 12482. [Google Scholar] [CrossRef]
  5. Salehi, B.; Carneiro, J.N.P.; Rocha, J.E.; Coutinho, H.D.M.; Morais Braga, M.F.B.; Sharifi-Rad, J.; Semwal, P.; Painuli, S.; Moujir, L.M.; de Zarate Machado, V.; et al. Astragalus species: Insights on its chemical composition toward pharmacological applications. Phytother. Res. 2021, 35, 2445–2476. [Google Scholar] [CrossRef] [PubMed]
  6. Wang, X.; Liu, Y.Q.; Peng, N.; Yu, H.T.; Ma, Y.; Zhang, M.X.; Wang, Y.Y.; Wang, Y.; Gao, W.W. Allelopathy and Identification of Volatile Components from the Roots and Aerial Parts of Astragalus mongholicus Bunge. Plants 2024, 13, 317. [Google Scholar] [CrossRef]
  7. Official Website of the National Health Commission of the People’s Republic of China. Available online: http://www.nhc.gov.cn/sps/s7892/202311/f0d6ef3033b54333a882e3d009ff49bf.shtml (accessed on 10 March 2025).
  8. Dong, P.; Wang, L.; Chen, Y.; Wang, L.; Liang, W.; Wang, H.; Cheng, J.; Chen, Y.; Guo, F. Germplasm Resources and Genetic Breeding of Huang-Qi (Astragali radix): A Systematic Review. Biology 2024, 13, 625. [Google Scholar] [CrossRef]
  9. Li, S.Y.; Wang, D.; Li, X.R.; Qin, X.M.; Du, Y.G.; Li, K. Identification and activity evaluation of Astragalus Radix from different germplasm resources based on specific oligosaccharide fragments. Chin. Herb. Med. 2021, 13, 33–42. [Google Scholar] [CrossRef]
  10. Wu, J.; Deng, S.; Yu, X.; Wu, Y.; Hua, X.; Zhang, Z.; Huang, Y. Identify production area, growth mode, species, and grade of Astragali Radix using metabolomics “big data” and machine learning. Phytomedicine 2024, 123, 155201. [Google Scholar] [CrossRef]
  11. Boquete, M.T.; Muyle, A.; Alonso, C. Plant epigenetics: Phenotypic and functional diversity beyond the DNA sequence. Am. J. Bot. 2021, 108, 553–558. [Google Scholar] [CrossRef]
  12. Dong, M.; Li, J.; Yang, D.; Li, M.; Wei, J. Biosynthesis and Pharmacological Activities of Flavonoids, Triterpene Saponins and Polysaccharides Derived from Astragalus membranaceus. Molecules 2023, 28, 5018. [Google Scholar] [CrossRef] [PubMed]
  13. Yao, J.; Peng, T.; Shao, C.; Liu, Y.; Lin, H.; Liu, Y. The Antioxidant Action of Astragali radix: Its Active Components and Molecular Basis. Molecules 2024, 29, 1691. [Google Scholar] [CrossRef] [PubMed]
  14. Yang, Q.; Meng, D.; Zhang, Q.; Wang, J. Advances in research on the anti-tumor mechanism of Astragalus polysaccharides. Front. Oncol. 2024, 14, 1334915. [Google Scholar] [CrossRef]
  15. Su, H.F.; Shaker, S.; Kuang, Y.; Zhang, M.; Ye, M.; Qiao, X. Phytochemistry and cardiovascular protective effects of Huang-Qi (Astragali radix). Med. Res. Rev. 2021, 41, 1999–2038. [Google Scholar] [CrossRef]
  16. Hu, P.; Suriguga; Zhao, M.; Chen, S.; Wu, X.; Wan, Q. Transcriptional regulation mechanism of flavonoids biosynthesis gene during fruit development in Astragalus membranaceus. Front. Genet. 2022, 13, 972990. [Google Scholar] [CrossRef] [PubMed]
  17. Guo, X.; Yan, X.; Wang, Y.; Shi, Z.; Niu, J.; Liang, J.; Jia, X. Integrated Transcriptomics and Metabolomics Analysis Reveals the Effects of Cutting on the Synthesis of Flavonoids and Saponins in Chinese Herbal Medicine Astragalus mongholious. Metabolites 2024, 14, 97. [Google Scholar] [CrossRef]
  18. Jiang, L.L.; Guo, J.F.; Zhang, C.L.; Wen, J.X.; Wang, X.J.; Niu, L.L. Genetic diversity analysis of germplasm of authentic Astragalus membranaceus in Inner Mongolia. Chin. Tradit. Herb. Drugs. 2015, 46, 2279–2283. [Google Scholar] [CrossRef]
  19. Zhang, L.T. The Study on Assessment of Germplasm Resources of Radix Astragali. Doctoral Dissertation, Peking Union Medical College, Beijing, China, 2009. [Google Scholar]
  20. Sun, S.Y. Study on Drought Resistance and Diversity of Astragali Radix Germplasm Resources. Doctoral Dissertation, Inner Mongolia University, Inner Mongolia, China, 2017. [Google Scholar]
  21. Zhang, X.L.; Feng, X.M.; Li, X.L.; Wang, R.J.; Xi, X.Q.; Feng, X.J.; Li, H. Review of Research on Genetic Diversity of Radix Astragali. Mol. Plant Breed. 2023, 1–10. Available online: http://kns.cnki.net/kcms/detail/46.1068.s.20230421.1905.018.html (accessed on 10 March 2025).
  22. Yang, C.Q.; Sun, M.S.; Ding, W.L. Investigation of the diseases and insect pests of Astragalus membranaceus. Chin. J. Chin. Mater. Med. 2004, 12, 12–14. [Google Scholar]
  23. Ma, Y.Y.; Guan, Y.M.; Wang, Q.X.; Li, M.J.; Pan, X.X.; Zhang, Y.Y. Research Progress on Main Diseases and Control Measures of Astragalus membranaceus. Spec. Wild Econ. Anim. Plant Res. 2019, 41, 101–107. [Google Scholar] [CrossRef]
  24. Wang, Y.F.; Yang, J.K.; Ma, D.Z.; Wang, H.Y.; Lei, J.M.; Lin, H.B.; Li, K.; Guo, X.Z.; Wang, S.; Wang, T.L.; et al. First Report of Erysiphe astragali Causing Powdery Mildew on Astragalus mongholicus in China. Plant Dis. 2023, 108, 802. [Google Scholar] [CrossRef]
  25. Li, J.H.; Xu, X.F.; Li, H.X.; Luo, N.; Ni, C.H.; Li, W.H.; Xu, Z.P. Pathogen identification and biological characteristics determination of Astragalus powdery mildew in Longxi County. J. Gansu Agric. Univ. 2020, 55, 37–42. [Google Scholar] [CrossRef]
  26. Zhao, Y.Q. Study on the Occurrence Pattern and Control Techniques of Astragalus Powdery Mildew in Yulin City. Mod. Agric. Sci. Technol. 2020, 5, 97–98. [Google Scholar]
  27. Guo, W.X.; He, Q.; Niu, H.; Wang, J.; Ge, A.G.; Yu, J.C.; Huang, C.Y.; Li, M.H.; Li, Z.N.; Zhang, C.H. Effects of Different Biogenic Pesticides on Field Control of Powdery Mildew of Astragalus membranaceus var. mongholicus in Inner Mongolia. Mod. Chin. Med. 2023, 25, 854–858. [Google Scholar] [CrossRef]
  28. Liu, J.Q.; Wang, Y.; Liu, X.; Yan, X.R.; Xue, G.Z.; Wang, J.P. Development of plant-derived emulsifiable concentrate by Sophorae flavescentis and Tripterygii wilfordii on prevention and treatment of Erysiphe pisi of Astragalus membranaceus. J. Shanxi Univ. Chin. Med. 2021, 22, 348–350+374. [Google Scholar] [CrossRef]
  29. Zhao, S.; Li, X.; Wang, Y.; Xu, R.; Li, X.; Liu, J.; Hou, X.; Liu, H. Comparison of the Immune Enhancing Activity and Chemical Constituents Between Imitation Wild and Cultivated Astragali Radix. Molecules 2025, 30, 923. [Google Scholar] [CrossRef]
  30. Hong, W.; Wu, C.Z. Modification of Shannon-wiener index. J. Trop. Subtrop. Bot. 1999, 7, 120–124. [Google Scholar]
  31. Kline, R.B. Becoming a Behavioral Science Researcher: A Guide to Producing Research That Matters; Guilford Press: New York, NY, USA, 2020. [Google Scholar]
  32. Moradi, Y.; Khadivi, A.; Salehi-Arjmand, H. Morphological and pomological characterizations of cornelian cherry (Cornus mas L.) to select the superior accessions. Sci. Hortic. 2019, 249, 208–218. [Google Scholar] [CrossRef]
  33. Wu, G.S.; Sun, L.D.; Hao, R.J.; Shi, W.F.; Zhang, J.; Chen, J.X. Study on the Phenotypic Diversity of P. mume Sieb. et Zucc.Germ Plasm Resources. J. Anhui Agric. Sci. 2011, 39, 12008–12009+12012. [Google Scholar] [CrossRef]
  34. Guo, Q.; Sun, Y.; Zhang, J.; Li, Y. Variation of phenotypic and physiological traits of Robinia pseudoacacia L. from 20 provenances. PLoS ONE 2022, 17, e0262278. [Google Scholar] [CrossRef]
  35. Zigene, Z.D.; Asfaw, B.T.; Bitima, T.D. Phenotypic diversity of rosemary (Salvia rosmarinus Schleid.) accessions for qualitative characters. Heliyon 2022, 8, e11895. [Google Scholar] [CrossRef] [PubMed]
  36. Aoun, M.; Carter, A.; Thompson, Y.A.; Ward, B.; Morris, C.F. Environment characterization and genomic prediction for end-use quality traits in soft white winter wheat. Plant Genome 2021, 14, e20128. [Google Scholar] [CrossRef] [PubMed]
  37. Du, K.; Huang, W.Y.; Hou, R.H.; Gao, J.H.; Tang, F. Genetic Diversity Analysis of Medicago ruthenica L. Based on Phenotypic Traits. Acta Agrestia Sin. 2024, 32, 3733–3742. [Google Scholar] [CrossRef]
  38. Zhou, A.Y.; Tian, Q. Comprehensive analysis of phenotypic character diversity of legumes in Gansu Province. J. Gansu Agric. Univ. 2023, 58, 155–168. [Google Scholar] [CrossRef]
  39. Dong, S.J.; Wang, R.X.; Zhang, H.K.; Chen, J.H.; Liu, L.X.; Yu, Q.F. Analysis on diversity of fruit phenotypic characters of Armeniaca mandshurica from different provenances. J. Plant Resour. Environ. 2020, 29, 42–50. [Google Scholar] [CrossRef]
  40. Yu, D.H.; Bao, Y.M.; An, L.J.; Yang, M. Protection of PC12 Cells against Superoxide-induced Damage by Isoflavonoids from Astragalus mongholicus. Biomed. Environ. Sci. 2009, 22, 50–54. [Google Scholar] [CrossRef]
  41. Li, L.; Hou, X.; Xu, R.; Liu, C.; Tu, M. Research review on the pharmacological effects of astragaloside IV. Fundam. Clin. Pharmacol. 2017, 31, 17–36. [Google Scholar] [CrossRef]
  42. Zhang, Y.M.; Miao, Z.M.; Chen, Y.P.; Song, Z.B.; Li, Y.Y.; Liu, Z.W.; Zhou, G.C.; Li, J.; Shi, L.L.; Chen, Y.; et al. Ononin promotes radiosensitivity in lung cancer by inhibiting HIF-1α/VEGF pathway. Phytomedicine 2024, 125, 155290. [Google Scholar] [CrossRef]
  43. Chen, X.; Zheng, M.R.; Zhan, N.; Mou, Z.T.; Fan, X.Y.; Zhang, Z.H.; Li, J.H. Comparison of contents in total flavonids in Astraglus among different areas. Tianjin Pharm. 2008, 20, 11–12. [Google Scholar]
  44. Zheng, M.R.; Chen, X.; Mou, Z.T.; Zhan, N.; Zhang, Z.H.; Fan, X.Y.; Li, J.H. Measurement of total astragaloside contents in astragalus grown in different areas by ultraviolet spectrophotometry. J. Jilin Med. Univ. 2009, 30, 80–81. [Google Scholar]
  45. Peng, H.S.; Wang, J.; Zhang, H.T.; Duan, H.Y.; Xie, X.M.; Zhang, L.; Cheng, M.E.; Peng, D.Y. Rapid identification of growth years and profiling of bioactive ingredients in Astragalus membranaceus var. mongholicus (Huangqi) roots from Hunyuan, Shanxi. Chin. Med. 2017, 12, 14. [Google Scholar] [CrossRef] [PubMed]
  46. Song, J.Z.; Yiu, H.H.; Qiao, C.F.; Han, Q.B.; Xu, H.X. Chemical comparison and classification of Radix Astragali by determination of isoflavonoids and astragalosides. J. Pharm. Biomed. Anal. 2008, 47, 399–406. [Google Scholar] [CrossRef]
  47. Kim, Y.B.; Thwe, A.A.; Li, X.; Tuan, P.A.; Lee, S.; Lee, J.W.; Arasu, M.V.; Al-Dhabi, N.A.; Park, S.U. Accumulation of astragalosides and related gene expression in different organs of Astragalus membranaceus Bge. var mongholicus (Bge.). Molecules 2014, 19, 10922–10935. [Google Scholar] [CrossRef]
  48. Chang, T.; Wu, J.J.; Wu, X.P.; Yao, M.Y.; Zhao, D.F.; Guan, C.Y.; Guan, M. Comprehensive evaluation of high-oleic rapeseed (Brassica napus) based on quality, resistance, and yield traits: A new method for rapid identification of high-oleic acid rapeseed germplasm. PLoS ONE 2022, 17, e0272798. [Google Scholar] [CrossRef] [PubMed]
  49. Wu, L.M.; Du, J.G.; Zhang, Y.D.; Xue, Y.Q.; Jiang, C.Y.; Lu, W.; Zheng, Y.X.; Zhou, C.B.; Xiong, A.S.; Li, M.Y. Identification and Evaluation of Celery Germplasm Resources for Salt Tolerance. Agronomy 2024, 14, 1048. [Google Scholar] [CrossRef]
  50. Song, M.; Xu, H.; Xin, G.; Liu, C.; Sun, X.; Zhi, Y.; Li, B.; Shen, Y. Comprehensive evaluation of Actinidia arguta fruit based on the nutrition and taste: 67 germplasm native to Northeast China. Food Sci. Hum. Wellness 2022, 11, 393–404. [Google Scholar] [CrossRef]
  51. Chen, T.; Liu, L.; Zhou, Y.; Zheng, Q.; Luo, S.; Xiang, T.; Zhou, L.; Feng, S.; Yang, H.; Ding, C. Characterization and comprehensive evaluation of phenotypic characters in wild Camellia oleifera germplasm for conservation and breeding. Front. Plant Sci. 2023, 14, 1052890. [Google Scholar] [CrossRef] [PubMed]
  52. Zhang, D.; Wu, S.; Li, N.; Gao, J.; Liu, S.; Zhu, S.; Li, Z.; Ren, G.; Kuai, B. Chemical induction of leaf senescence and powdery mildew resistance involves ethylene-mediated chlorophyll degradation and ROS metabolism in cucumber. Hortic. Res. 2022, 9, uhac101. [Google Scholar] [CrossRef]
  53. Tian, M.; Yu, R.; Yang, W.; Guo, S.; Liu, S.; Du, H.; Liang, J.; Zhang, X. Effect of Powdery Mildew on the Photosynthetic Parameters and Leaf Microstructure of Melon. Agriculture 2024, 14, 886. [Google Scholar] [CrossRef]
  54. Zhang, M.; Zhang, J.; Xiao, Q.; Li, Y.; Jiang, S. Reduction of flavonoid content in honeysuckle via Erysiphe lonicerae-mediated inhibition of three essential genes in flavonoid biosynthesis pathways. Front. Plant Sci. 2024, 15, 1381368. [Google Scholar] [CrossRef]
Figure 1. Phenotypic variation in qualitative characters of AMM germplasm resources: (A) plant growth habit (1: oblique, 2: upright); (B) leaf color (1: green [#00AF33], 2: dark green [#006400]); (C) stem color (1: green [#9ACD32], 2: mixed [#9ACD32 + #800080], 3: purple [#800080]); (D) floret color (1: yellowish [#FFFFAA], 2: lavender [#CC99CC]).
Figure 1. Phenotypic variation in qualitative characters of AMM germplasm resources: (A) plant growth habit (1: oblique, 2: upright); (B) leaf color (1: green [#00AF33], 2: dark green [#006400]); (C) stem color (1: green [#9ACD32], 2: mixed [#9ACD32 + #800080], 3: purple [#800080]); (D) floret color (1: yellowish [#FFFFAA], 2: lavender [#CC99CC]).
Horticulturae 11 00317 g001
Figure 2. (A) Chemical composition TIC mass spectrum of AMM in positive ion mode. 1. Calycosin-7-glucoside; 2. Ononin; 3. 9-O-Methylnissolin 3-O-glucoside; 4. Astraisoflavan-7-O-β-D-glucoside; 5. Astragaloside II; 6. Calycosin; 7. Astragaloside III; 8. Astragaloside IV; 9. Isoastragaloside II; 10. Cyclocephaloside II; 11. Astragaloside I; 12. Isoastragaloside I; 13. Cycloastragenol. (BD) Progenesis QI v2.4 showing the identification of Calycosin-7-glucoside from the filtered metabolic features. (B) Common adduct ions for Calycosin-7-glucoside. (C) Assignments of fragment ions created in high-energy mode. (D) Chemical structure of Calycosin-7-glucoside with a “Score” value.
Figure 2. (A) Chemical composition TIC mass spectrum of AMM in positive ion mode. 1. Calycosin-7-glucoside; 2. Ononin; 3. 9-O-Methylnissolin 3-O-glucoside; 4. Astraisoflavan-7-O-β-D-glucoside; 5. Astragaloside II; 6. Calycosin; 7. Astragaloside III; 8. Astragaloside IV; 9. Isoastragaloside II; 10. Cyclocephaloside II; 11. Astragaloside I; 12. Isoastragaloside I; 13. Cycloastragenol. (BD) Progenesis QI v2.4 showing the identification of Calycosin-7-glucoside from the filtered metabolic features. (B) Common adduct ions for Calycosin-7-glucoside. (C) Assignments of fragment ions created in high-energy mode. (D) Chemical structure of Calycosin-7-glucoside with a “Score” value.
Horticulturae 11 00317 g002
Figure 3. (A) Heatmap of 13 compounds from 33 germplasm resources (“Horticulturae 11 00317 i001” represent the 5 flavonoids; “Horticulturae 11 00317 i002” represent the 8 saponins; “Horticulturae 11 00317 i003Flavonoids” represent the sum of 5 flavonoids; “Horticulturae 11 00317 i004Saponins” represent the sum of 8 saponins); (B) the relative abundances of 13 compounds for 33 germplasm resources.
Figure 3. (A) Heatmap of 13 compounds from 33 germplasm resources (“Horticulturae 11 00317 i001” represent the 5 flavonoids; “Horticulturae 11 00317 i002” represent the 8 saponins; “Horticulturae 11 00317 i003Flavonoids” represent the sum of 5 flavonoids; “Horticulturae 11 00317 i004Saponins” represent the sum of 8 saponins); (B) the relative abundances of 13 compounds for 33 germplasm resources.
Horticulturae 11 00317 g003
Figure 4. Heat map for correlation analysis of 16 quantitative characteristics. Note: *** 0.001 and ** 0.01—extremely significant correlation; * 0.05—significant correlation.
Figure 4. Heat map for correlation analysis of 16 quantitative characteristics. Note: *** 0.001 and ** 0.01—extremely significant correlation; * 0.05—significant correlation.
Horticulturae 11 00317 g004
Figure 5. Loading and score plot of PCA for the 10 quantitative characters in AMM.
Figure 5. Loading and score plot of PCA for the 10 quantitative characters in AMM.
Horticulturae 11 00317 g005
Figure 6. Cluster map of 33 AMM germplasm resources. Those with similar distances are divided into one category; different colors represent a category.
Figure 6. Cluster map of 33 AMM germplasm resources. Those with similar distances are divided into one category; different colors represent a category.
Horticulturae 11 00317 g006
Figure 7. (A) The disease incidence of 33 AMM germplasms to powdery mildew. (B) The disease index of 33 AMM germplasms to powdery mildew. (Note: data are organized in ascending order of disease incidence/index).
Figure 7. (A) The disease incidence of 33 AMM germplasms to powdery mildew. (B) The disease index of 33 AMM germplasms to powdery mildew. (Note: data are organized in ascending order of disease incidence/index).
Horticulturae 11 00317 g007
Figure 8. Correlation analysis chart of powdery mildew disease index with representative indicators (“Flavonoids” represent the sum of 5 flavonoids; “Saponins” represent the sum of 8 saponins).
Figure 8. Correlation analysis chart of powdery mildew disease index with representative indicators (“Flavonoids” represent the sum of 5 flavonoids; “Saponins” represent the sum of 8 saponins).
Horticulturae 11 00317 g008
Table 1. Criteria for classifying disease grade.
Table 1. Criteria for classifying disease grade.
Disease GradeSeverity of Symptoms
0asymptomatic
10 < percentage of diseased area to whole plant leaf area ≤ 5%
35% < percentage of diseased area to whole plant leaf area ≤ 15%
515% < percentage of diseased area to whole plant leaf area ≤ 25%
725% < percentage of diseased area to whole plant leaf area ≤ 50%
950% < percentage of diseased area to whole plant leaf area ≤100%
Table 2. Variability and phenotypic diversity of qualitative characters.
Table 2. Variability and phenotypic diversity of qualitative characters.
CharactersFrequency Distribution (%)H
123
plant morphology72.7327.27 0.59
leaf color78.7921.21 0.52
stem color27.2760.6112.120.91
floret color69.7030.30 0.61
Note: H′, Shannon’s Diversity Index. Codes 1–3 correspond to the rating standard of qualitative characters, as shown in Figure 1.
Table 3. Variability and phenotypic diversity of quantitative characters.
Table 3. Variability and phenotypic diversity of quantitative characters.
TraitsMinMaxMeanSDCV (%)H
CW (cm)50.30107.7082.8514.8717.951.96
PH (cm)35.0075.4055.559.8117.661.98
SD (mm)5.379.337.370.9512.951.98
NSB16.2024.8020.682.2610.921.99
CLL (mm)85.34134.94109.3511.3310.362.00
CLW (mm)25.7543.3935.023.8711.041.96
NCL21.8029.4024.971.706.821.96
LA (mm2)84.70200.56128.1626.2620.491.96
NF4.4010.836.611.4622.071.90
SP5.369.087.060.9012.731.90
Note: CW: crown width; PH: plant height; SD: stem diameter; NSB: number of stem branches; CLL: compound leaf length; CLW: compound leaf width; NCL: number of compound leaflets; LA: leaflet area; NF: number of florets; SP: seeds per pod.
Table 4. Variability and phenotypic diversity of agronomic characters.
Table 4. Variability and phenotypic diversity of agronomic characters.
TraitsMinMaxMeanSDCV (%)H
RFW (g)74.24240.73142.9743.0530.111.92
RD (mm)16.6137.5825.155.3721.371.96
NLR2.2512.337.122.4334.142.08
DMC (%)0.360.530.460.047.742.03
Note: RFW: root fresh weight; RD: root diameter; NLR: number of lateral roots; DMC: dry matter content.
Table 5. Identification information of AMM methanol extract by positive ion mode mass spectrometry.
Table 5. Identification information of AMM methanol extract by positive ion mode mass spectrometry.
No.RT_EMPutative IdentificationAdductsFormula
15.16_446.1222nCalycosin-7-glucosideM+H, M+NaC22H22O10
28.21_430.1272nOnoninM+H, M+NaC22H22O9
38.91_462.1533n9-O-Methylnissolin 3-O-glucosideM+H, M+NaC23H26O10
49.27_464.1682nAstraisoflavan-7-O-β-D-glucosideM+NaC23H28O10
510.55_826.4367nAstragaloside IIM+NaC43H70O15
611.02_284.0902nCalycosinM+HC16H12O5
711.52_766.4498nAstragaloside IIIM+H-H2OC41H68O14
812.15_784.4610nAstragaloside IVM+HC41H68O14
913.23_826.4717nIsoastragaloside IIM+HC43H70O15
1013.88_826.4716nCyclocephaloside IIM+HC43H70O15
1114.26_868.4821nAstragaloside IM+HC45H72O16
1214.70_868.4821nIsoastragaloside IM+HC45H72O16
1315.26_490.3665nCycloastragenolM+H-2H2OC30H50O5
Table 6. Principal component feature vectors and contribution rates of 10 quantitative characters in AMM.
Table 6. Principal component feature vectors and contribution rates of 10 quantitative characters in AMM.
TraitsPrincipal
1234
PH−0.390.410.42−0.28
NCL0.090.770.07−0.25
RFW−0.440.570.300.47
RD−0.310.56−0.060.69
Calycosin-7-glucoside0.710.570.00−0.13
Ononin0.660.560.07−0.16
9-O-Methylnissolin 3-O-glucoside0.360.31−0.78−0.04
Astragaloside IV0.65−0.340.030.43
Isoastragaloside II0.77−0.100.200.42
Cycloastragenol0.42−0.160.78−0.12
eigenvalue2.722.291.541.24
Contribution rate/%27.2422.8615.3912.44
Cumulative contribution rate/%27.2450.1165.4977.93
Note: PH: plant height; NCL: number of compound leaflets; RFW: root fresh weight; RD: root diameter.
Table 7. Comprehensive evaluation about quantitative characters of AMM.
Table 7. Comprehensive evaluation about quantitative characters of AMM.
GermplasmPrincipal Component ScoreComprehensive Scores/FRanking
F1F2F3F4
An-31−1.850.211.64−0.292.081
An-26−0.26−2.480.78−0.781.372
An-28−0.391.53−0.12−1.621.303
An-25−0.032.43−0.87−0.400.834
An-15−1.48−0.290.54−1.030.815
An-33−2.83−0.12−0.311.170.776
An-10−0.11−1.750.74−0.770.547
An-4−0.85−0.61−0.330.350.478
As-200.510.69−0.32−0.460.399
An-21−0.900.752.530.860.2410
An-9−0.16−1.220.03−1.750.2411
An-140.00−0.28−0.21−0.700.2412
An-290.74−2.160.60−1.090.1213
As-23−0.020.891.15−1.520.1214
Ax-30.771.271.33−0.580.0315
An-32−2.01−2.99−2.570.12−0.0516
An-24−2.280.341.680.49−0.1217
An-271.03−1.670.05−0.15−0.1218
As-22−0.86−0.060.08−0.98−0.1419
An-182.54−2.990.561.73−0.1420
An-12−0.761.20−0.071.07−0.2421
An-171.520.22−3.29−0.56−0.2922
As-1−1.000.810.031.43−0.3123
An-13−0.22−0.65−0.611.70−0.4324
As-191.702.12−1.90−0.11−0.4625
Ag-82.611.860.30−0.92−0.4926
An-7−0.550.67−0.12−0.61−0.5327
An-51.801.901.01−0.52−0.6628
An-11−0.15−0.300.411.14−0.6929
As-2−0.66−1.17−2.28−0.80−0.7930
Ah-65.74−1.170.921.51−0.9031
An-30−1.510.330.152.24−1.1532
Ag-16−0.062.68−1.491.86−2.0733
Table 8. The mean value of 10 quantitative characteristics for each group.
Table 8. The mean value of 10 quantitative characteristics for each group.
TraitsGroups
IIIIIIIVV
PH35.0043.8044.1857.5357.99
NCL23.4024.2024.0827.2524.80
RFW88.1898.2595.11157.72150.64
RD22.2621.4721.2827.5725.50
Calycosin-7-glucoside237,683.22107,257.29104,296.39186,608.85132,152.36
Ononin97,200.4251,765.0149,106.0895,467.7760,813.31
9-O-Methylnissolin 3-O-glucoside22,553.6620,045.0639,813.8435,684.9720,548.92
Astragaloside IV116,755.73179,293.8547,303.8367,579.7345,698.63
Isoastragaloside II267,469.06154,836.9591,775.87126,678.8796,096.36
Cycloastragenol32,919.4929,432.6613,638.8221,120.1724,051.10
Disclaimer/Publisher’s Note: The statements, opinions and data contained in all publications are solely those of the individual author(s) and contributor(s) and not of MDPI and/or the editor(s). MDPI and/or the editor(s) disclaim responsibility for any injury to people or property resulting from any ideas, methods, instructions or products referred to in the content.

Share and Cite

MDPI and ACS Style

Liu, Y.; Wang, X.; Zhang, M.; Li, F.; Wang, Y.; Feng, Y.; Yu, H.; Gu, Y.; Liu, J.; Gao, W. Integrated Assessment of Phenotypic Traits and Bioactive Compounds in Astragalus membranaceus var. mongholicus. Horticulturae 2025, 11, 317. https://doi.org/10.3390/horticulturae11030317

AMA Style

Liu Y, Wang X, Zhang M, Li F, Wang Y, Feng Y, Yu H, Gu Y, Liu J, Gao W. Integrated Assessment of Phenotypic Traits and Bioactive Compounds in Astragalus membranaceus var. mongholicus. Horticulturae. 2025; 11(3):317. https://doi.org/10.3390/horticulturae11030317

Chicago/Turabian Style

Liu, Yaqi, Xiu Wang, Mingxin Zhang, Fuxin Li, Yaoyao Wang, Yu Feng, Haitao Yu, Yang Gu, Jiushi Liu, and Weiwei Gao. 2025. "Integrated Assessment of Phenotypic Traits and Bioactive Compounds in Astragalus membranaceus var. mongholicus" Horticulturae 11, no. 3: 317. https://doi.org/10.3390/horticulturae11030317

APA Style

Liu, Y., Wang, X., Zhang, M., Li, F., Wang, Y., Feng, Y., Yu, H., Gu, Y., Liu, J., & Gao, W. (2025). Integrated Assessment of Phenotypic Traits and Bioactive Compounds in Astragalus membranaceus var. mongholicus. Horticulturae, 11(3), 317. https://doi.org/10.3390/horticulturae11030317

Note that from the first issue of 2016, this journal uses article numbers instead of page numbers. See further details here.

Article Metrics

Back to TopTop