Ultraviolet-C Light and Peracetic Acid Extend the Shelf Life of Fresh and Frozen Strawberries
Abstract
1. Introduction
2. Materials and Methods
2.1. Materials
2.2. Preparation of Disinfection Equipment
2.3. Disinfection Treatments
2.4. Quality of Strawberries
2.4.1. Physiochemical Evaluation of Quality Parameters
2.4.2. Antioxidant Capacity
2.4.3. Phytochemical Assays
2.4.4. Microbiological Quality
2.5. Statistical Analysis
3. Results and Discussion
3.1. Working Solutions during Treatments
3.2. Fresh and Fresh-Cut Strawberries
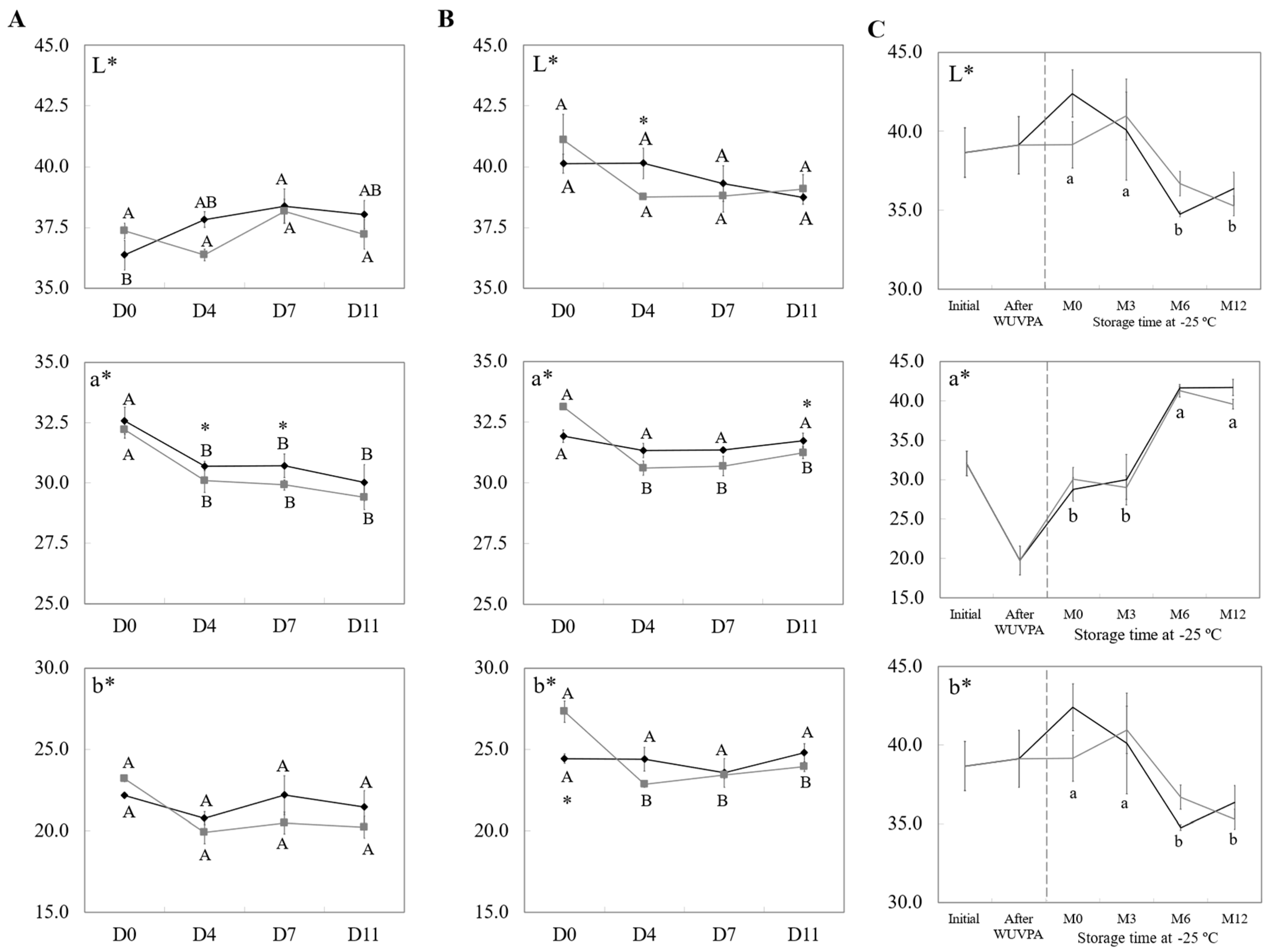
3.2.1. Commercial Quality of the Fruits
3.2.2. Antioxidant Capacity
3.2.3. Phytochemical Changes
3.2.4. Effect on Native Microbiota
3.3. Frozen Strawberries
3.3.1. Commercial Quality of the Fruits
3.3.2. Antioxidant Capacity
3.3.3. Phytochemical Changes
3.3.4. Effect on Native Microbiota
4. Conclusions
Supplementary Materials
Author Contributions
Funding
Data Availability Statement
Conflicts of Interest
Abbreviations
References
- Gani, A.A.; Baba, W.N.; Ahmad, M.; Shah, U.; Khan, A.A.; Wani, I.A.; Masoodi, F.A.; Gani, A.A. Effect of Ultrasound Treatment on Physico-Chemical, Nutraceutical and Microbial Quality of Strawberry. LWT-Food Sci. Technol. 2016, 66, 496–502. [Google Scholar] [CrossRef]
- Pinzon, M.I.; Sanchez, L.T.; Garcia, O.R.; Gutierrez, R.; Luna, J.C.; Villa, C.C. Increasing Shelf Life of Strawberries (Fragaria ssp.) by Using a Banana Starch-Chitosan-Aloe vera Gel Composite Edible Coating. Int. J. Food Sci. Technol. 2019, 55, 92–98. [Google Scholar] [CrossRef]
- Hazarika, T.K.K.; Lalrinfeli, L.; Lalchhanmawia, J.; Mandal, D. Alteration of Quality Attributes and Shelf-Life in Strawberry (Fragaria × ananassa) Fruits during Storage as Influenced by Edible Coatings. Indian J. Agric. Sci. 2019, 89, 28–34. [Google Scholar] [CrossRef]
- Kelly, K.; Madden, R.; Emond, J.P.; do Nascimento Nunes, M.C. A Novel Approach to Determine the Impact Level of Each Step along the Supply Chain on Strawberry Quality. Postharvest Biol. Technol. 2019, 147, 78–88. [Google Scholar] [CrossRef]
- Yang, Z.; Cao, S.; Cai, Y.; Zheng, Y. Combination of Salicylic Acid and Ultrasound to Control Postharvest Blue Mold Caused by Penicillium expansum in Peach Fruit. Innov. Food Sci. Emerg. Technol. 2011, 12, 310–314. [Google Scholar] [CrossRef]
- Bovi, G.G.; Rux, G.; Caleb, O.J.; Herppich, W.B.; Linke, M.; Rauh, C.; Mahajan, P.V. Measurement and Modelling of Transpiration Losses in Packaged and Unpackaged Strawberries. Biosyst. Eng. 2018, 174, 1–9. [Google Scholar] [CrossRef]
- Luo, Y.; Zhou, B.; Van Haute, S.; Nou, X.; Zhang, B.; Teng, Z.; Turner, E.R.; Wang, Q.; Millner, P.D. Association between Bacterial Survival and Free Chlorine Concentration during Commercial Fresh-Cut Produce Wash Operation. Food Microbiol. 2018, 70, 120–128. [Google Scholar] [CrossRef] [PubMed]
- European Food Safety Authority. Scientific Opinion on the Risk Posed by Pathogens in Food of Non-Animal Origin. Part 2 (Salmonella and Norovirus in Berries). EFSA J. 2014, 12, 3832. [Google Scholar] [CrossRef]
- Šamec, D.; Maretić, M.; Lugarić, I.; Mešić, A.; Salopek-Sondi, B.; Duralija, B. Assessment of the Differences in the Physical, Chemical and Phytochemical Properties of Four Strawberry Cultivars Using Principal Component Analysis. Food Chem. 2016, 194, 828–834. [Google Scholar] [CrossRef] [PubMed]
- Nicolau-Lapeña, I.; Abadias, M.; Viñas, I.; Bobo, G.; Lafarga, T.; Ribas-Agustí, A.; Aguiló-Aguayo, I. Water UV-C Treatment Alone or in Combination with Peracetic Acid: A Technology to Maintain Safety and Quality of Strawberries. Int. J. Food Microbiol. 2020, 335, 108887. [Google Scholar] [CrossRef]
- Ortiz-Solà, J.; Valero, A.; Abadias, M.; Nicolau-Lapeña, I.; Viñas, I. Evaluation of Water-Assisted UV-C Light and its Additive Effect with Peracetic Acid for the Inactivation of Listeria monocytogenes, Salmonella enterica and Murine Norovirus on Whole and Fresh-Cut Strawberries during Shelf-Life. J. Sci. Food Agric. 2022, 102, 5660–5669. [Google Scholar] [CrossRef] [PubMed]
- Nicolau-Lapeña, I.; Abadias, M.; Bobo, G.; Aguiló-Aguayo, I.; Lafarga, T.; Viñas, I. Strawberry Sanitization by Peracetic Acid Washing and Its Effect on Fruit Quality. Food Microbiol. 2019, 83, 159–166. [Google Scholar] [CrossRef] [PubMed]
- Meyers, K.J.; Watkins, C.B.; Pritts, M.P.; Liu, R.H. Antioxidant and Antiproliferative Activities of Strawberries. J. Agric. Food Chem. 2003, 51, 6887–6892. [Google Scholar] [CrossRef] [PubMed]
- Lafarga, T.; Bobo, G.; Viñas, I.; Zudaire, L.; Simó, J.; Aguiló-Aguayo, I. Steaming and Sous-Vide: Effects on Antioxidant Activity, Vitamin C, and Total Phenolic Content of Brassica Vegetables. Int. J. Gastron. Food Sci. 2018, 13, 134–139. [Google Scholar] [CrossRef]
- Montanez, J.C.; Rodríguez, F.A.S.; Mahajan, P.V.; Frías, J.M. Modelling the Effect of Gas Composition on the Gas Exchange Rate in Perforation-Mediated Modified Atmosphere Packaging. J. Food Eng. 2010, 96, 348–355. [Google Scholar] [CrossRef]
- Costa, F.B.; Duarte, P.S.; Puschmann, R.; Finger, F.L. Quality of Fresh-Cut Strawberry. Hortic. Bras. 2011, 29, 477–484. [Google Scholar] [CrossRef]
- Aday, M.S.; Temizkan, R.; Büyükcan, M.B.; Caner, C. An Innovative Technique for Extending Shelf Life of Strawberry: Ultrasound. LWT-Food Sci. Technol. 2013, 52, 93–101. [Google Scholar] [CrossRef]
- Aday, M.S.; Caner, C. Individual and Combined Effects of Ultrasound, Ozone and Chlorine Dioxide on Strawberry Storage Life; Elsevier Ltd.: Amsterdam, The Netherlands, 2014; Volume 57. [Google Scholar] [CrossRef]
- de São José, J.F.B.; Vanetti, M.C.D. Application of Ultrasound and Chemical Sanitizers to Watercress, Parsley and Strawberry: Microbiological and Physicochemical Quality. LWT-Food Sci. Technol. 2015, 63, 946–952. [Google Scholar] [CrossRef]
- Guo, M.; Jin, T.Z.; Gurteler, J.B.; Fan, X.; Yadav, M.P. Inactivation of Escherichia coli O157:H7 and Salmonella and Native Microbiota on Fresh Strawberries by Antimicrobial Washing and Coating. J. Food Prot. 2018, 81, 1227–1235. [Google Scholar] [CrossRef] [PubMed]
- Nunes, M.C.N.; Morais, A.M.M.B.; Brecht, J.K.; Sargent, S.A. Fruit Maturity and Storage Temperature Influence Response of Strawberries to Controlled Atmospheres. J. Am. Soc. Hortic. Sci. 2002, 127, 836–842. [Google Scholar] [CrossRef]
- Nadas, A.; Olmo, M.; García, J.M. Growth of Botrytis Cinerea and Strawberry Quality in Ozone-Enriched Atmospheres. Food Microbiol. Saf. 2003, 68, 1798–1802. [Google Scholar] [CrossRef]
- Sogvar, O.B.O.B.; Koushesh Saba, M.; Emamifar, A.; Saba, M.K.; Emamifar, A. Aloe vera and Ascorbic Acid Coatings Maintain Postharvest Quality and Reduce Microbial Load of Strawberry Fruit. Postharvest Biol. Technol. 2016, 114, 29–35. [Google Scholar] [CrossRef]
- Fierascu, R.C.; Temocico, G.; Fierascu, I.; Ortan, A.; Babeanu, N.E. Fragaria Genus: Chemical Composition and Biological Activities. Molecules 2020, 25, 498. [Google Scholar] [CrossRef] [PubMed]
- Schlesier, K.; Harwat, M.; Böhm, V.; Bitsch, R. Assessment of Antioxidant Activity by Using Different In Vitro Methods. Free Radic. Res. 2002, 36, 177–187. [Google Scholar] [CrossRef] [PubMed]
- Van De Velde, F.; Vaccari, M.C.; Piagentini, A.M.; Pirovani, M.É. Optimization of Strawberry Disinfection by Fogging of a Mixture of Peracetic Acid and Hydrogen Peroxide Based on Microbial Reduction, Color and Phytochemicals Retention. Food Sci. Technol. Int. 2016, 22, 485–495. [Google Scholar] [CrossRef] [PubMed]
- Li, M.; Li, X.; Han, C.; Ji, N.; Jin, P.; Zheng, Y. UV-C Treatment Maintains Quality and Enhances Antioxidant Capacity of Fresh-Cut Strawberries. Postharvest Biol. Technol. 2019, 156, 110945. [Google Scholar] [CrossRef]
- Ban, Z.; Zhang, J.; Li, L.; Luo, Z.; Chen, C.; Wang, Y.; Yuan, Q.; Cai, C.; Yu, L. Antioxidant Profiles of Strawberry (Fragaria × ananassa) in Relation to Fruit Maturity and Postharvest Storage. J. Biobased Mater. Bioenergy 2018, 12, 122–128. [Google Scholar] [CrossRef]
- Azmir, J.; Zaidul, I.S.M.; Rahman, M.M.; Sharif, K.M.; Mohamed, A.; Sahena, F.; Jahurul, M.H.A.; Ghafoor, K.; Norulaini, N.A.N.; Omar, A.K.M. Techniques for Extraction of Bioactive Compounds from Plant Materials: A Review. J. Food Eng. 2013, 117, 426–436. [Google Scholar] [CrossRef]
- Adisa, V.A. The Influence of Molds and Some Storage Conditions in Ascorbic Acid Content in Orange and Pineapple Fruits. Food Chem. 1986, 21, 139–146. [Google Scholar] [CrossRef]
- Lee, S.K.; Kader, A.A. Preharvest and Postharvest Factors Influencing Vitamin C Content of Horticultural Crops. Postharvest Biol. Technol. 2000, 20, 207–220. [Google Scholar] [CrossRef]
- Cordenunsi, B.R.; Nascimento, J.R.O.; Lajolo, F.M. Physico-Chemical Changes Related to Quality of Five Strawberry Fruit Cultivars during Cool-Storage. Food Chem. 2003, 83, 167–173. [Google Scholar] [CrossRef]
- Ortiz-Solà, J.; Viñas, I.; Colás-Medà, P.; Anguera, M.; Abadias, M. Occurrence of Selected Viral and Bacterial Pathogens and Microbiological Quality of Fresh and Frozen Strawberries Sold in Spain. Int. J. Food Microbiol. 2020, 314, 108392. [Google Scholar] [CrossRef] [PubMed]
- Barba, F.J.; Koubaa, M.; do Prado-Silva, L.; Orlien, V.; Sant’Ana, A.d.S. Mild Processing Applied to the Inactivation of the Main Foodborne Bacterial Pathogens: A Review. Trends Food Sci. Technol. 2017, 66, 20–35. [Google Scholar] [CrossRef]
- Rossi, S.; Antonelli, M.; Mezzanotte, V.; Nurizzo, C. Peracetic Acid Disinfection: A Feasible Alternative to Wastewater Chlorination. Water Environ. Res. 2007, 79, 341. [Google Scholar] [CrossRef]
- Kobayashi, R.; Suzuki, T. Effect of Supercooling Accompanying the Freezing Process on Ice Crystals and the Quality of Frozen Strawberry Tissue. Int. J. Refrig. 2019, 99, 94–100. [Google Scholar] [CrossRef]
- Jul, M. Quality Frozen Foods, 1st ed.; Academic Press: London, UK, 1984; pp. 377–415. [Google Scholar]
- Sirijariyawat, A.; Charoenrein, S. Freezing Characteristics and Texture Variation after Freezing and Thawing of Four Fruit Types. Songklanakarin J. Sci. Technol. 2012, 34, 517–523. [Google Scholar]
- Holzwarth, M.; Korhummel, S.; Carle, R.; Kammerer, D.R. Evaluation of the Effects of Different Freezing and Thawing Methods on Color, Polyphenol and Ascorbic Acid Retention in Strawberries (Fragaria × ananassa Duch.). Food Res. Int. 2012, 48, 241–248. [Google Scholar] [CrossRef]
- Velickova, E.; Tylewicz, U.; Dalla, M.; Winkelhausen, E.; Kuzmanova, S.; Romani, S. Effect of Pulsed Electric Field Coupled with Vacuum Infusion on Quality Parameters of Frozen/Thawed Strawberries. J. Food Eng. 2018, 233, 57–64. [Google Scholar] [CrossRef]
- Marques, K.K.; Renfroe, M.H.; Brevard, P.B.B.; Robert, E.; Gloeckner, J.W.; Marques, K.K.; Renfroe, M.H.; Brevard, P.B.B.; Robert, E. Differences in Antioxidant Levels of Fresh, Frozen and Freeze-Dried Strawberries and Strawberry Jam. Int. J. Food Sci. Nutr. 2010, 61, 759–769. [Google Scholar] [CrossRef]
- Alvarez-Suarez, J.M.; Mazzoni, L.; Forbes-Hernandez, T.Y.; Gasparrini, M.; Sabbadini, S.; Giampieri, F. The Effects of Pre-Harvest and Post-Harvest Factors on the Nutritional Quality of Strawberry Fruits: A Review. J. Berry Res. 2014, 4, 1–10. [Google Scholar] [CrossRef]
- Oliveira, A.; Coelho, M.; Alexandre, E.M.C.; Almeida, D.P.F. Long-Term Frozen Storage and Pasteurization Effects on Strawberry Polyphenols Content. Food Bioprocess Technol. 2015, 8, 1838–1844. [Google Scholar] [CrossRef]
- Bouzari, A.; Holstege, D.M.; Barrett, D.M. Vitamin Retention in Eight Fruits and Vegetables: A Comparison of Refrigerated and Frozen Storage. J. Agric. Food Chem. 2015, 63, 957–962. [Google Scholar] [CrossRef] [PubMed]
- Li, L.; Pegg, R.B.; Eitenmiller, R.R.; Chun, J.; Kerrihard, A.L. Ected Nutrient Analyses of Fresh, Fresh-Stored, and Frozen Fruits and Vegetables. J. Food Compos. Anal. 2020, 59, 8–17. [Google Scholar] [CrossRef]


| Format | Treatment 1 | D0 | D4 | D7 | D11 | |
|---|---|---|---|---|---|---|
| pH | Whole | W-CON | 3.5 ± 0.1 aB | 3.5 ± 0.1 aB | 3.6 ± 0.1 aA | 3.3 ± 0.1 aB |
| W-TREAT | 3.4 ± 0.1 aAB | 3.7 ± 0.1 bA | 3.6 ± 0.2 aAB | 3.3 ± 0.1 aB | ||
| Fresh-cut | C-CON | 3.3 ± 0.1 xB | 3.8 ± 0.2 xA | 3.8 ± 0.1 xB | 3.4 ± 0.1 xA | |
| C-TREAT | 3.4 ± 0.1 xB | 3.6 ± 0.1 xB | 4.1 ± 0.3 xA | 3.4 ± 0.1 xB | ||
| Total soluble solids (TSS, %) | Whole | W-CON | 6.3 ± 0.3 aA | 5.7 ± 0.1 aB | 5.7 ± 0.1 aB | 5.3 ± 0.2 aB |
| W-TREAT | 6.3 ± 0.1 aA | 5.2 ± 0.3 aB | 5.8 ± 0.3 aAB | 6.4 ± 0.1 b*A | ||
| Fresh-cut | C-CON | 5.9 ± 0.2 xAB | 6.5 ± 0.3 xA | 5.9 ± 0.3 xAB | 5.6 ± 0.1 xB | |
| C-TREAT | 6.3 ± 0.3 xA | 5.9 ± 0.8 xA | 6.0 ± 0.8 xA | 5.8 ± 0.1 x*A | ||
| Titratable acidity (TA, mg L−1) | Whole | W-CON | 8.7 ± 0.3 aA | 8.9 ± 0.8 aA | 6.6 ± 0.4 aB | 6.7 ± 0.4 aB |
| W-TREAT | 8.6 ± 0.2 aA | 7.3 ± 0.2 bB | 7.0 ± 0.6 aBC | 6.2 ± 0.3 aC | ||
| Fresh-cut | C-CON | 9.5 ± 0.4 xA | 6.8 ± 0.2 xB | 6.4 ± 0.1 xB | 6.2 ± 0.4 xB | |
| C-TREAT | 9.0 ± 0.4 xA | 7.0 ± 0.8 xB | 6.6 ± 0.2 xB | 6.1 ± 0.2 xB | ||
| Firmness (N) | Whole | W-CON | 1.7 ± 0.2 aB | 2.2 ± 0.3 aB | 1.9 ± 0.2 aB | 2.9 ± 0.2 aA |
| W-TREAT | 1.9 ± 0.2 aA | 1.6 ± 0.3 b*A | 1.9 ± 0.4 aA | 1.8 ± 0.2 aA | ||
| Fresh-cut | C-CON | 2.4 ± 0.3 xA | 1.7 ± 0.2 yA | 2.1 ± 0.6 xA | 2.5 ± 1.1 xA | |
| C-TREAT | 2.0 ± 0.1 yA | 2.3 ± 0.3 x*A | 2.3 ± 0.8 xA | 2.1 ± 0.2 xA | ||
| DPPH· (g kg−1) | Whole | W-CON | 4.907 ± 0.610 aA | 5.664 ± 0.251 aA | 5.471 ± 0.224 aA | 5.421 ± 0.736 aA |
| W-TREAT | 5.482 ± 0.247 aA | 5.613 ± 0.321 a*A | 5.566 ± 0.287 a*A | 5.244 ± 0.239 aA | ||
| Fresh-cut | C-CON | 5.642 ± 0.382 xAB | 5.757 ± 0.431 yA | 4.864 ± 0.487 xAB | 4.618 ± 0.451 xB | |
| C-TREAT | 5.816 ± 0.194 xA | 4.703 ± 0.270 y*B | 4.006 ± 0.369 y*C | 4.853 ± 0.118 xB | ||
| FRAP (g kg−1) | Whole | W-CON | 1.366 ± 0.106 aA | 1.455 ± 0.062 aA | 1.434 ± 0.027 aA | 1.391 ± 0.088 aA |
| W-TREAT | 1.323 ± 0.018 aA | 1.436 ± 0.034 aA | 1.480 ± 0.044 aA | 1.277 ± 0.211 aA | ||
| Fresh-cut | C-CON | 1.305 ± 0.020 xB | 1.492 ± 0.057 xA | 1.288 ± 0.091 xB | 1.326 ± 0.058 xB | |
| C-TREAT | 1.373 ± 0.049 xA | 1.269 ± 0.011 y*B | 1.179 ± 0.033 y*C | 1.333 ± 0.022 xAB | ||
| TPC (g kg−1) | Whole | W-CON | 0.229 ± 0.013 aA | 0.233 ± 0.009 aA | 0.234 ± 0.013 aA | 0.221 ± 0.004 aA |
| W-TREAT | 0.226 ± 0.006 aA | 0.230 ± 0.007 a*A | 0.210 ± 0.028 aA | 0.205 ± 0.025 aA | ||
| Fresh-cut | C-CON | 0.210 ± 0.004 xA | 0.227 ± 0.016 xA | 0.206 ± 0.010 xA | 0.208 ± 0.005 xAB | |
| C-TREAT | 0.220 ± 0.010 xA | 0.202 ± 0.002 y*B | 0.186 ± 0.004 xC | 0.210 ± 0.003 xA | ||
| TAC (g kg−1) | Whole | W-CON | 0.028 ± 0.001 aA | 0.028 ± 0.001 bA | 0.029 ± 0.001 bA | 0.029 ± 0.001 aA |
| W-TREAT | 0.027 ± 0.001 aA | 0.031 ± 0.001 a*B | 0.032 ± 0.001 a*B | 0.029 ± 0.002 aAB | ||
| Fresh-cut | C-CON | 0.022 ± 0.001 xA | 0.027 ± 0.001 xB | 0.028 ± 0.001 xB | 0.027 ± 0.001 xB | |
| C-TREAT | 0.027 ± 0.001 yAB | 0.028 ± 0.001 x*AB | 0.029 ± 0.001 x*A | 0.027 ± 0.001 xB | ||
| TAA (g kg−1) | Whole | W-CON | 0.267 ± 0.001 aB | 0.282 ± 0.001 aA | 0.271 ± 0.001 aAB | 0.219 ± 0.001 aC |
| W-TREAT | 0.278 ± 0.002 aAB | 0.288 ± 0.003 aA | 0.249 ± 0.002 aAB | 0.227 ± 0.006 aB | ||
| Fresh-cut | C-CON | 0.280 ± 0.001 xA | 0.258 ± 0.001 xB | 0.228 ± 0.001 xC | 0.195 ± 0.002 xD | |
| C-TREAT | 0.276 ± 0.001 xA | 0.256 ± 0.001 xA | 0.219 ± 0.001 xB | 0.233 ± 0.002 yB |
| Format | Treatment 1 | D0 | D4 | D7 | D11 | |
|---|---|---|---|---|---|---|
| TAM (log CFU g−1) | Whole | W-CON | 2.3 ± 0.1 aB | 2.7 ± 0.2 aAB | 2.9 ± 0.4 aAB | 3.1 ± 0.2 aA |
| W-TREAT | 1.8 ± 0.3 aA | 1.9 ± 0.4 aA | 1.0 ± 0.4 bA | 1.0 ± 0.1 b*A | ||
| Fresh-cut | C-CON | 1.2 ± 0.2 xA | 1.0 ± 0.1 xA | 1.0 ± 0.1 xA | 1.0 ± 0.1 xA | |
| C-TREAT | 1.8 ± 0.6 xA | 1.7 ± 0.4 xA | 1.0 ± 0.1 xA | 1.6 ± 0.1 y*A | ||
| Y&M (log CFU g−1) | Whole | W-CON | 2.3 ± 0.4 aB | 2.5 ± 0.1 aAB | 2.9 ± 0.4 aAB | 3.0 ± 0.2 aA |
| W-TREAT | 1.8 ± 0.5 aA | 2.1 ± 0.8 aA | 1.3 ± 0.1 bA | 1.9 ± 0.5 bA | ||
| Fresh-cut | C-CON | 1.4 ± 0.2 xA | 1.4 ± 0.2 xA | 1.5 ± 0.3 xA | 1.7 ± 0.1 xA | |
| C-TREAT | 1.8 ± 0.6 xA | 1.8 ± 0.4 xA | 1.3 ± 0.1 xA | 1.6 ± 0.2 xA |
| Packaging | Before WUVPA 1 | After WUVPA 1 | M0 | M3 | M6 | M12 | |
|---|---|---|---|---|---|---|---|
| pH | MAP 2 | 3.7 ± 0.1 | 3.5 ± 0.1 | 3.8 ± 0.1 aA | 3.6 ± 0.1 aB | 3.7 ± 0.1 aA | 3.8 ± 0.1 aA |
| Air | 3.6 ± 0.1 aA | 3.5 ± 0.1 aB | 3.7 ± 0.1 aA | 3.8 ± 0.1 aA | |||
| Total soluble solids (TSS, °Brix) | MAP 2 | 5.8 ± 0.3 | 6.4 ± 0.3 | 6.3 ± 0.3 aA | 5.9 ± 0.5 aA | 6.3 ± 0.3 aA | 6.2 ± 0.4 aA |
| Air | 5.9 ± 0.5 aA | 6.0 ± 0.5 aA | 6.4 ± 0.2 aA | 7.0 ± 0.4 aA | |||
| Titratable acidity (TA, mg L−1) | MAP 2 | 7.8 ± 0.3 | 7.8 ± 0.4 | 6.7 ± 1.1 aB | 6.5 ± 1.3 aB | 7.5 ± 1.7 aAB | 8.7 ± 1.4 aA |
| Air | 6.5 ± 0.8 aB | 6.6 ± 1.0 aB | 8.2 ± 0.4 aAB | 7.9 ± 0.3 aA | |||
| Firmness (N) | MAP 2 | 1.6 ± 0.1 | 1.6 ± 0.1 | 0.7 ± 0.1 aA | 1.2 ± 0.8 aA | 1.1 ± 0.3 aA | 1.3 ± 0.2 aA |
| Air | 0.8 ± 0.1 aA | 1.1 ± 0.5 aA | 1.1 ± 0.3 aA | 1.3 ± 0.1 aA | |||
| DPPH· (g kg−1) | MAP 2 | 6.948 ± 0.565 | 7.848 ± 0.610 | 6.919 ± 0.742 aA | 6.183 ± 0.316 aAB | 4.799 ± 0.378 aC | 6.619 ± 0.760 aB |
| Air | 7.594 ± 0.078 aA | 6.798 ± 0.680 aAB | 4.845 ± 0.641 aC | 6.255 ± 0.394 aB | |||
| FRAP (g kg−1) | MAP 2 | 7.594 ± 0.617 | 7.744 ± 0.544 | 7.400 ± 0.543 aA | 6.929 ± 0.528 aAB | 6.001 ± 0.337 aC | 6.677 ± 0.693 aBC |
| Air | 7.859 ± 0.646 aA | 8.048 ± 0.288 aAB | 6.257 ± 0.763 aC | 6.687 ± 0.522 aBC | |||
| TPC (g kg−1) | MAP 2 | 0.156 ± 0.012 | 0.177 ± 0.013 | 0.424 ± 0.029 aA | 0.307 ± 0.023 aB | 0.185 ± 0.012 aC | 0.075 ± 0.016 aD |
| Air | 0.449 ± 0.035 aA | 0.368 ± 0.007 bB | 0.214 ± 0.038 aC | 0.072 ± 0.015 aD | |||
| TAC (g kg−1) | MAP 2 | 0.025 ± 0.003 | 0.026 ± 0.020 | 0.029 ± 0.001 aA | 0.022 ± 0.002 aA | 0.026 ± 0.001 aA | 0.027 ± 0.001 aA |
| Air | 0.028 ± 0.003 aA | 0.021 ± 0.002 aA | 0.026 ± 0.011 aA | 0.024 ± 0.003 aA | |||
| TAA (g kg−1) | MAP 2 | 0.306 ± 0.026 | 0.315 ± 0.020 | 0.304 ± 0.010 aA | 0.312 ± 0.050 aA | 0.246 ± 0.060 aB | 0.294 ± 0.043 aA |
| Air | 0.295 ± 0.060 aA | 0.324 ± 0.010 aA | 0.261 ± 0.018 aA | 0.286 ± 0.015 aA |
Disclaimer/Publisher’s Note: The statements, opinions and data contained in all publications are solely those of the individual author(s) and contributor(s) and not of MDPI and/or the editor(s). MDPI and/or the editor(s) disclaim responsibility for any injury to people or property resulting from any ideas, methods, instructions or products referred to in the content. |
© 2024 by the authors. Licensee MDPI, Basel, Switzerland. This article is an open access article distributed under the terms and conditions of the Creative Commons Attribution (CC BY) license (https://creativecommons.org/licenses/by/4.0/).
Share and Cite
Nicolau-Lapeña, I.; Ortiz, J.; Viñas, I.; Abadias, M.; Bobo, G.; Aguiló-Aguayo, I. Ultraviolet-C Light and Peracetic Acid Extend the Shelf Life of Fresh and Frozen Strawberries. Horticulturae 2024, 10, 452. https://doi.org/10.3390/horticulturae10050452
Nicolau-Lapeña I, Ortiz J, Viñas I, Abadias M, Bobo G, Aguiló-Aguayo I. Ultraviolet-C Light and Peracetic Acid Extend the Shelf Life of Fresh and Frozen Strawberries. Horticulturae. 2024; 10(5):452. https://doi.org/10.3390/horticulturae10050452
Chicago/Turabian StyleNicolau-Lapeña, Iolanda, Jordi Ortiz, Inmaculada Viñas, Maribel Abadias, Gloria Bobo, and Ingrid Aguiló-Aguayo. 2024. "Ultraviolet-C Light and Peracetic Acid Extend the Shelf Life of Fresh and Frozen Strawberries" Horticulturae 10, no. 5: 452. https://doi.org/10.3390/horticulturae10050452
APA StyleNicolau-Lapeña, I., Ortiz, J., Viñas, I., Abadias, M., Bobo, G., & Aguiló-Aguayo, I. (2024). Ultraviolet-C Light and Peracetic Acid Extend the Shelf Life of Fresh and Frozen Strawberries. Horticulturae, 10(5), 452. https://doi.org/10.3390/horticulturae10050452

