Dynamics of Physicochemical Properties, Flavor, and Microbial Communities of Salt-Free Bamboo Shoots during Natural Fermentation: Correlation between Microorganisms and Metabolites
Abstract
1. Introduction
2. Materials and Methods
2.1. Preparation of Bamboo Shoots
2.2. Texture Analysis
2.3. Determination of pH and Total Acid (TA)
2.4. Determination of Reducing Sugar Content
2.5. Determination of Nitrite Content
2.6. Determination of Volatile Compounds
2.7. Microbial Analysis
2.8. Statistical Analysis
3. Results and Discussion
3.1. Physiochemical Property Analysis
3.1.1. Texture Analysis of Bamboo Shoots
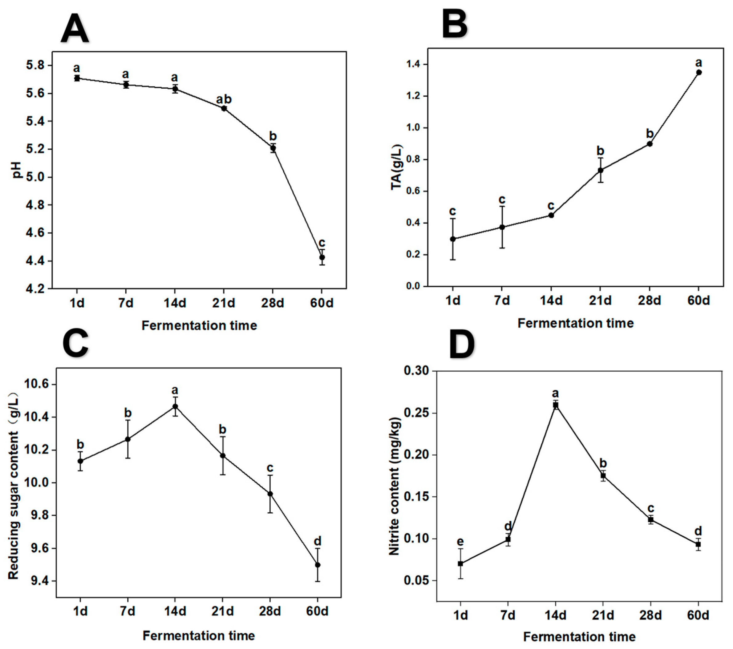
3.1.2. Physicochemical Properties of Fermentation Liquids
3.2. Volatile Compounds
3.2.1. Dynamic Changes in Volatile Compounds of Fermented Bamboo Shoots
3.2.2. Characteristic Volatile Compounds of Fermented Bamboo Shoots
3.3. Microorganisms
3.3.1. Analysis of Beta Diversity during the Fermentation Process of Sour Bamboo Shoots
3.3.2. Representative Bacteria in Sour Bamboo Shoots
3.3.3. The Relationship between the Physicochemical Properties, Flavor, and Microbial Composition of Bamboo Shoots
4. Conclusions
Supplementary Materials
Author Contributions
Funding
Institutional Review Board Statement
Informed Consent Statement
Data Availability Statement
Acknowledgments
Conflicts of Interest
References
- Liu, A.; Li, X.Y.; Pu, B.; Ao, X.L.; Zhou, K.; He, L.; Chen, S.J.; Liu, S.L. Use of psychrotolerant lactic acid bacteria (Lactobacillus spp. and Leuconostoc spp.) isolated from chinese traditional paocai for the quality improvement of Paocai products. J. Agric. Food Chem. 2017, 65, 2580–2587. [Google Scholar] [CrossRef] [PubMed]
- Qin, Y.L.; Zhao, X.Y.; Shen, Y.Y.; Yu, F.T.; Liu, X.L. Screening and identification of anti-inflammatory lactic acid bacteria in pickled bamboo shoots. Food Sci. 2022, 43, 121–127. [Google Scholar]
- Xiao, Y.S.; Huang, T.; Huang, C.L.; Hardie, J.; Peng, Z.; Xie, M.Y.; Xiong, T. The microbial communities and flavour compounds of Jiangxi yancai, Sichuan paocai and Dongbei suancai: Three major types of traditional Chinese fermented vegetables. LWT-Food Sci. Technol. 2020, 121, 108865. [Google Scholar] [CrossRef]
- Jeong, S.H.; Jung, J.Y.; Lee, S.H.; Jin, H.M.; Jeon, C.O. Microbial succession and metabolite changes during fermentation of dongchimi, traditional Korean watery kimchi. Int. J. Food Microbiol. 2013, 164, 46–53. [Google Scholar] [CrossRef] [PubMed]
- Li, Q.Q.; Kang, J.M.; Ma, Z.; Li, X.P.; Liu, L.; Hu, X.Z. Microbial succession and metabolite changes during traditional serofluid dish fermentation. LWT-Food Sci. Technol. 2017, 84, 771–779. [Google Scholar] [CrossRef]
- Liang, H.P.; Chen, H.Y.; Zhang, W.X.; Yu, C.X.; Ji, C.F.; Lin, X.P. Investigation on microbial diversity of industrial Zhacai paocai during fermentation using high-throughput sequencing and their functional characterization. LWT-Food Sci. Technol. 2018, 91, 460–466. [Google Scholar] [CrossRef]
- Wang, Z.X.; Shao, Y.Y. Effects of microbial diversity on nitrite concentration in pao cai, a naturally fermented cabbage product from China. Food Microbiol. 2018, 72, 185–192. [Google Scholar] [CrossRef]
- Xu, X.X.; Wu, B.B.; Zhao, W.T.; Pang, X.L.; Lao, F.; Liao, X.J.; Wu, J.H. Correlation between autochthonous microbial communities and key odorants during the fermentation of red pepper (Capsicum annuum L.). Food Microbiol. 2020, 91, 103510. [Google Scholar] [CrossRef]
- Xue, B.J.; Hu, R.; Wu, L.R.; Yang, J.L.; Li, B.; Zhang, F.S.; Zheng, J. Advances in research on microbial flora succcession and flavor substance formation mechanism in Suansun. Food Ferment. Ind. 2023, 1–7. [Google Scholar]
- Chen, C.X.; Cheng, G.G.; Liu, Y.P.; Yi, Y.X.; Chen, D.J.; Zhang, L.; Wang, X.J.; Cao, J.X. Correlation between microorganisms and flavor of Chinese fermented sour bamboo shoot: Roles of Lactococcus and Lactobacillus in flavor formation. Food Biosci. 2022, 50, 101994. [Google Scholar] [CrossRef]
- Guan, Q.Q.; Huang, T.; Peng, F.; Huang, J.Q.; Liu, Z.G.; Peng, Z.; Xie, M.Y.; Xiong, T. The microbial succession and their correlation with the dynamics of flavor compounds involved in the natural fermentation of suansun, a traditional Chinese fermented bamboo shoots. Food Res. Int. 2022, 157, 111216. [Google Scholar] [CrossRef] [PubMed]
- GB/T 12456-2021; Determination of Total Acid in Foods. Standards Press of China: Beijing, China, 2021.
- GB 5009.7-2021; Determination of Reducing Sugar in Foods. Standards Press of China: Beijing, China, 2021.
- GB 5009.33-2016; Determination of Nitrite and Nitrate in Food. Standards Press of China: Beijing, China, 2016.
- He, Z.; Chen, H.Y.; Wang, X.Y.; Lin, X.P.; Ji, C.F.; Li, S.J.; Liang, H.P. Effects of different temperatures on bacterial diversity and volatile flavor compounds during the fermentation of suancai, a traditional fermented vegetable food from northeastern China. LWT-Food Sci. Technol. 2020, 118, 108773. [Google Scholar] [CrossRef]
- Drakula, S.; Mustač, N.Č.; Novotni, D.; Voučko, B.; Krpan, M.; Hruškar, M.; Ćurić, D. Optimization and validation of a HS-SPME/GC–MS method for the analysis of gluten-free bread volatile flavor compounds. Food Anal. Methods 2021, 15, 1155–1170. [Google Scholar] [CrossRef]
- Liu, Y.Y.; Lin, H.; Yang, C.; Yang, W.Y.; Peng, B.Z. Development and quality analysis of Liuzhou sour bamboo shoots with low nitrite. Food Ferment. Ind. 2022, 48, 220–224. [Google Scholar]
- Ren, T.; Liu, Y.L.; Peng, Y.M.; Zeng, S.; He, Y.C.; Yang, B.; Luan, X.X.; Luo, Y.L. Effect of mixed starter cultures on quality of tumorous stem mustard (Brassica Juncea Var. Tumida Tsen et Lee) pickle. Food Sci. Technol. 2020, 45, 29–35. [Google Scholar]
- You, S.-Y.; Yang, J.-S.; Kim, S.H.; Hwang, I.M. Changes in the Physicochemical Quality Characteristics of Cabbage Kimchi with respect to Storage Conditions. J. Food Qual. 2017, 2017, 9562981. [Google Scholar] [CrossRef]
- Jeyaram, K.; Romi, W.; Singh, T.A.; Devi, A.R.; Devi, S.S. Bacterial species associated with traditional starter cultures used for fermented bamboo shoot production in Manipur state of India. Int. J. Food Microbiol. 2010, 143, 1–8. [Google Scholar] [CrossRef] [PubMed]
- Zhou, X.R.; Chen, X.Y.; Jiang, L.W.; Liu, C.G.; Huang, H. Changes of flavor substances in natural fermentation of bamboo shoots. Chin. Brew. 2019, 38, 20–24. [Google Scholar]
- Zhuo, J.W.; Peng, S.Y.; Qin, L.; Yang, Q.; Mao, R.F. Effect of addition of red yeast rice on the properties of lactic acid fermentation agent. Chin. Condiment 2023, 48, 65–70. [Google Scholar]
- Fan, L.Q.; Huang, Q.; Wang, Y.F. Effects of Astragalus extract on physicochemical properties, microbial flora, and sensory quality of low-salt naturally fermented pickles. Food Ferment. Ind. 2022, 48, 213–218. [Google Scholar]
- Paik, H.D.; Lee, J.Y. Investigation of reduction and tolerance capability of lactic acid bacteria isolated from kimchi against nitrate and nitrite in fermented sausage condition. Meat Sci. 2014, 97, 609–614. [Google Scholar] [CrossRef]
- Lu, H.H.; Huang, C.J.; Yu, K.; Liu, Z.M. Effects of mixed inoculation of Leuconostoc citreum and Lactobacillus plantarum on suansun (Sour bamboo shoot) fermentation. Food Biosci. 2022, 47, 101688. [Google Scholar] [CrossRef]
- Cui, N.; Hui, X.; Wang, Y.X.; Wang, B.; Ao, Y.F.; Gong, X. Effects of different fermentation methods on the content of nitrite in sour bamboo shoots. Food Saf. Guide 2022, 33, 46–49. [Google Scholar]
- Li, H.; Liu, F.; Kun-Farkas, G.; Kiss, Z. Quantitative analysis of flavor volatiles in beer using headspace solid-phase microextraction and gas chromatography–flame ionization detection (HS-SPME-GC-FID). J. Am. Soc. Brew. Chem. 2015, 73, 261–265. [Google Scholar] [CrossRef]
- Corrëa Lelles Nogueira, M.; Lubachevsky, G.; Rankin, S.A. A study of the volatile composition of Minas cheese. LWT-Food Sci. Technol. 2005, 38, 555–563. [Google Scholar] [CrossRef]
- Sompong, S.; Apirak, P.; Preecha, M. Biological activity and inhibition potential against α-glucosidase and α-amylase of 2,4-di-tert-butylphenol from bamboo shoot extract by in vitro and in silico studies. Process Biochem. 2022, 126, 15–22. [Google Scholar]
- Cai, Y.; Jia, L.R.; Du, M.; Guo, H.Y. Analysis of volatile flavor components of Guangxi sour bamboo shoots. Chin. Condiment 2021, 46, 142–145+150. [Google Scholar]
- Li, J.M.; Duan, H.; Zhao, R.H.; Xu, Y.; Wang, D. Study on main components of apple wine. Food Sci. 2007, 28, 362–365. [Google Scholar]
- Liu, H.; Wang, Z.Y.; Zhang, D.Q.; Shen, Q.W.; Pan, T.; Hui, T.; Ma, J.R. Characterization of key aroma compounds in Beijing roasted duck by Gas Chromatography–Olfactometry–Mass Spectrometry, Odor-Activity Values, and Aroma-Recombination Experiments. J. Agric. Food Chem. 2019, 67, 5847–5856. [Google Scholar] [CrossRef]
- Tian, Y.F.; Sun, M.H.; Xu, J.M.; Huang, Y.F.; Ma, Z.Z.; Ma, Y.C.; Chen, C.J.; Liu, X.L.; Li, S.B. Characterization of key aroma compounds in Guangxi fermented bamboo shoots. Food Ferment. Ind. 2023, 1–10. [Google Scholar] [CrossRef]
- Zhu, Z.H. Study on Fermented Bamboo Shoot Nutrition and Flavor Components. Master’s Thesis, Guangxi University, Nanning, China, 2014. [Google Scholar]
- Sun, Y.L.; Huang, Y.G.; Zhu, X.C.; Ma, Y.; Jiang, X.; Yin, S.M. Analysis of characteristic flavor compounds of Chinese light-soy sauce aroma type liquors. Food Sci. 2020, 41, 199–208. [Google Scholar]
- Zhang, W.T.; Dong, P.; Lao, F.; Liu, J.Y.; Liao, X.J.; Wu, J.H. Characterization of the major aroma-active compounds in Keitt mango juice: Comparison among fresh, pasteurization and high hydrostatic pressure processing juices. Food Chem. 2019, 289, 215–222. [Google Scholar] [CrossRef] [PubMed]
- Wu, Y. Study on Reaction Mechanism of Carbonylating Synthesis of 2,4-Dimethylbenzaldehyde from Meta-xylene. Chem. Eng. Technol. Dev. 2011, 40, 10–12+44. [Google Scholar]
- Caporaso, J.G.; Kuczynski, J.; Stombaugh, J.; Bittinger, K.; Bushman, F.D.; Costello, E.K.; Fierer, N.; Peña, A.G.; Goodrich, J.K.; Gordon, J.I.; et al. QIIME allows analysis of high-throughput community sequencing data. Nat. Methods 2010, 7, 335–336. [Google Scholar] [CrossRef]
- Sun, C.; Liu, Y. The distribution of lactic acid bacteria in traditional liquor production and main metabolites. Chin. Brew. 2012, 31, 1–4. [Google Scholar]
- Chen, M.C.; Zhu, Y.J.; Liu, B.; Wang, J.P.; Liu, X.G.; Yang, W.J. Diversity research of the soil bacteria of jasminum sambac Ait based on metagenome. J. Agric. Biotechnol. 2018, 26, 1480–1493. [Google Scholar]
- Bao, W.; Han, J.J.; Zhang, Z.X.; Lu, C.Y.; Zhou, J.; Ming, T.H.; Li, Y.; Su, X.R. Analysis of microbial diversity in traditional fermented vegetables in Zhejiang based on high-throughput sequencing technology. Food Sci. 2021, 42, 178–185. [Google Scholar]
- Xia, F.; Chen, X.; Guo, M.Y.; Bai, X.H.; Liu, Y.; Shen, G.R.; Li, Y.L.; Lin, J.; Zhou, X.W. High-throughput sequencing-based analysis of endogenetic fungal communities inhabiting the Chinese Cordyceps reveals unexpectedly high fungal diversity. Sci. Rep. 2016, 6, 33437. [Google Scholar] [CrossRef]
- Zhong, Y.; Zhang, Y.W.; Lv, J.M.; Chen, M.L.; Ma, H.W.; Guo, A.L.; Tang, D.P. Analysis of microbial diversity of Guangxi sour bamboo shoots and study on their lactic acid bacteria characteristics. Chin. Condiments 2023, 48, 1–9. [Google Scholar]
- Li, X.Y. Study on the Variation Law of Microbial Community and Main Components in Natural Fermentation of Sour Bamboo Shoots. Master’s Thesis, Hunan Agricultural University, Changsha, China, 2020. [Google Scholar]
- Nirmala, C.; Bisht, M.S.; Laishram, M. Bioactive compounds in bamboo shoots: Health benefits and prospects for developing functional foods. Int. J. Food Sci. Technol. 2014, 49, 1425–1431. [Google Scholar] [CrossRef]
- Wang, S.Q.; Bao, Y.; Dong, X.M.; Su, F.; Yao, G.Q.; Zhang, H.P. Physiological function and application of Lactobacillus plantarum. China Agric. Sci. Technol. Bull. 2010, 12, 49–55. [Google Scholar]
- Liu, Y.Y. Characterization of Microflora and Their Functions on Flavor Compounds in Shaoxing Rice Wine. Master’s Thesis, Jiangnan University, Wuxi, China, 2015. [Google Scholar]
- Chen, C.; Li, J.; Cheng, G.G.; Liu, Y.P.; Yi, Y.X.; Chen, D.J.; Wang, X.J.; Cao, J.X. Flavor changes and microbial evolution in fermentation liquid of sour bamboo shoots. J. Food Compos. Anal. 2023, 120, 105273. [Google Scholar] [CrossRef]
- Xiao, Y.S.; Xiong, T.; Peng, Z.; Liu, C.G.; Huang, T.; Yu, H.; Xie, M.Y. Correlation between microbiota and flavours in fermentation of Chinese Sichuan Paocai. Food Res. Int. 2018, 114, 123–132. [Google Scholar] [CrossRef] [PubMed]
- Zheng, X.J.; Liu, F.; Li, K.X.; Shi, X.W.; Ni, Y.Q.; Li, B.K.; Bin, Z.G. Evaluating the microbial ecology and metabolite profile in Kazak artisanal cheeses from Xinjiang, China. Food Res. Int. 2018, 111, 130–136. [Google Scholar] [CrossRef]
- Zhao, H.W.; Chen, Y.F.; Yan, P.M. Study on microorganisms in fermentation of pickles. Chin. Condiments 2022, 47, 211–216. [Google Scholar]






| Compounds | VIP |
|---|---|
| 1-Heptanol | 4.64 |
| 2,4-Di-tert-butylphenol | 3.50 |
| Silanediol, dimethyl- | 3.18 |
| Oxime-, methoxy-phenyl-_ | 2.96 |
| Benzaldehyde, 2,4-dimethyl- | 2.84 |
| Oxalic acid, isobutyl hexyl ester | 2.63 |
| (-)-O-Acetylmalic anhydride | 2.57 |
| 1,2-Benzenedicarboxylic acid, bis(2-methylpropyl) ester | 2.46 |
| 3,6-Nonadien-1-ol, (E,Z)- | 1.71 |
| o-Xylene | 1.12 |
| Isophorone | 1.11 |
| D-Limonene | 1.05 |
Disclaimer/Publisher’s Note: The statements, opinions and data contained in all publications are solely those of the individual author(s) and contributor(s) and not of MDPI and/or the editor(s). MDPI and/or the editor(s) disclaim responsibility for any injury to people or property resulting from any ideas, methods, instructions or products referred to in the content. |
© 2023 by the authors. Licensee MDPI, Basel, Switzerland. This article is an open access article distributed under the terms and conditions of the Creative Commons Attribution (CC BY) license (https://creativecommons.org/licenses/by/4.0/).
Share and Cite
Xu, X.; Long, Z.; Du, W.; Chen, Q.; Zhang, Y.; Hu, S. Dynamics of Physicochemical Properties, Flavor, and Microbial Communities of Salt-Free Bamboo Shoots during Natural Fermentation: Correlation between Microorganisms and Metabolites. Fermentation 2023, 9, 733. https://doi.org/10.3390/fermentation9080733
Xu X, Long Z, Du W, Chen Q, Zhang Y, Hu S. Dynamics of Physicochemical Properties, Flavor, and Microbial Communities of Salt-Free Bamboo Shoots during Natural Fermentation: Correlation between Microorganisms and Metabolites. Fermentation. 2023; 9(8):733. https://doi.org/10.3390/fermentation9080733
Chicago/Turabian StyleXu, Xiaofeng, Zhijian Long, Wanning Du, Qiyang Chen, Yu Zhang, and Shanglian Hu. 2023. "Dynamics of Physicochemical Properties, Flavor, and Microbial Communities of Salt-Free Bamboo Shoots during Natural Fermentation: Correlation between Microorganisms and Metabolites" Fermentation 9, no. 8: 733. https://doi.org/10.3390/fermentation9080733
APA StyleXu, X., Long, Z., Du, W., Chen, Q., Zhang, Y., & Hu, S. (2023). Dynamics of Physicochemical Properties, Flavor, and Microbial Communities of Salt-Free Bamboo Shoots during Natural Fermentation: Correlation between Microorganisms and Metabolites. Fermentation, 9(8), 733. https://doi.org/10.3390/fermentation9080733

